Next Article in Journal
Simulations of the EAS Development in the Atmosphere and Detectors for Experiments with the High-Altitude Ionization Calorimeter ADRON-55
Next Article in Special Issue
Cosmological Models within f(T, B) Gravity in a Holographic Framework
Previous Article in Journal
CPT Symmetry Searches in the Neutral Meson System
 
 
Font Type:
Arial Georgia Verdana
Font Size:
Aa Aa Aa
Line Spacing:
Column Width:
Background:
Article

Generalized Finslerian Wormhole Models in f(R,T) Gravity

1
Department of PG Studies and Research in Mathematics, Kuvempu University, Shankaraghatta, Shivamogga 577 451, Karnataka, India
2
School of Physics, Damghan University, Damghan 3671641167, Iran
*
Author to whom correspondence should be addressed.
Particles 2024, 7(3), 747-767; https://doi.org/10.3390/particles7030043
Submission received: 10 July 2024 / Revised: 6 August 2024 / Accepted: 15 August 2024 / Published: 20 August 2024

Abstract

This article explores wormhole solutions within the framework of Finsler geometry and the modified gravity theory. Modifications in gravitational theories, such as f ( R , T ) gravity, propose alternatives that potentially avoid the exotic requirements. We derive the field equations from examining the conditions for Finslerian wormhole existence and investigate geometrical and material characteristics of static wormholes using a polynomial shape function in Finslerian space–time. Furthermore, we address energy condition violations for different Finsler parameters graphically. We conclude that the proposed models, which assume a constant redshift function, satisfy the necessary geometric constraints and energy condition violations indicating the presence of exotic matter at the wormhole throat. We also discuss the anisotropy factors of the wormhole models. The results are validated through analytical solutions and 3-D visualizations, contributing to the broader understanding of wormholes in Finsler-modified gravity contexts.

1. Introduction

A wormhole (WH) has a tube-like geometric structure with asymptotical flatness on either side. These are the hypothetical passages that connect the two distinct regions of space–time. For the first time in 1935, Einstein and Rosen provided mathematical evidence supporting the existence of these hypothetical passages, commonly known as Einstein–Rosen bridges [1]. The concept of WH was first brought by Flamm [2]. Misner and Wheeler later made the first use of the phrase wormhole [3]. Although WH models in General Relativity (GR) call for the presence of exotic matter, now it is recognized that they can also occur in modified gravity theories with ordinary matter [4,5]. The radius of the throat of the WH can be thought of as either fixed in the case of static wormholes (SWHs) or variable in the case of non-static or cosmic WHs [1].
It is claimed that WHs offer a feasible technique for quick interstellar travel, although, in practice, there is no evidence that this is possible at the moment. They are the solution to Einstein’s field equations and link two far-off cosmological locations. A traversable WH was first introduced by Morris and Thorne [6]. They examined spherically symmetric static objects using GR and demonstrated that they must violate energy conditions, necessitating the existence of exotic matter. This exotic matter would possess physical properties that violate conventional physics laws, including particles with negative mass. Recent studies, such as [7,8,9], authors demonstrate that exotic forms of matter with negative energy and positive pressure can be extremely helpful in addressing some pressing cosmological tensions afflicting the Λ cold dark matter ( Λ CDM) model. Phantom matter, in particular, preserves the strong energy condition while possessing negative energy density, which could be imagined to be made from particles with negative mass necessary for WH stability. WHs are a tremendously intriguing issue in theoretical physics because of these exceptional characteristics [10,11,12].
T. Harko and colleagues presented an expansion of the f ( R ) theories of gravity mentioned above by including the energy-momentum tensor trace T as well as a general dependency on the Ricci scalar R in the model’s gravitational action, known as the f ( R , T ) gravity [13]. In fields including cosmology, thermodynamics, gravitational waves, and astrophysics, this alternative gravity hypothesis has been tested [14,15]. Despite these attempts, WHs in f ( R , T ) gravity theories still have a low information content. A specific instance of the SWH geometry was explored, in which its redshift function is independent of both time and spatial coordinates [16,17]. Since the dependency of T in this modified f ( R , T ) gravity appears from the inclusion of the quantum processes, it could be fascinating to examine more generic WH theories.
Riemannian geometry forms the basis for describing space–time in Einstein’s General Relativity. However, given the challenges faced by GR, scientists have proposed modifications to the theory of gravity through advancements in differential geometry. Finsler geometry, as a generalization of Riemannian geometry, Refs. [18,19] offers a framework where the line element depends on both space–time coordinates and tangent vectors. Recently, Finsler geometry has generated significant interest among physicists due to its potential to address several issues that Einstein’s gravity cannot resolve. Presently, GR is used to explain a wide range of facts with remarkable precision. This theory faces a few drawbacks in bulk and negligible scales [20]. This Finsler framework holds GR without altering the dimensionality of space–time, making it better suitable for simultaneously explaining observers, gravity, and causal structures [21]. Instead of changing the action of GR, Finslerian gravity theory is constructed by changing the geometric structure of the equations. The Finslerian space–time geometry is defined by a function on the tangent bundle rather than a base manifold. The investigation of extended dispersion relations within the Finsler space–time geometry yields results that are consistent with recent experimental observations [22]. Finsler–Lagrange–Hamilton geometry studies and Finsler cosmological models can be found in Refs. [23,24]. Also, Quantum gravity benefits greatly from Finslerian space–time geometry. Experimental findings and current conventional high-energy theories are compatible with Finsler-like gravity theories. Without relying on the dark matter hypothesis, Finsler geometry offers a superior tool to address the problems by the experimental findings of spiral galaxies, including their flat rotation curves [25].
In our investigation, we look at the WH solution through the perspectives of Finsler geometry [18], offering an alternative context to GR. This study treats the four-velocity vector, a distinguishing feature of Riemannian geometry, as an independent variable. It is worth noting that in 1935 [26], Cartan introduced self-consistent Finslerian models. Later, in 1950 [27], Cartan d-connections were developed for Einstein–Finsler equations. This development prompted additional research into various Finsler geometry models applied to specific physics scenarios. While some studies used Finsler pseudo-Riemannian configurations, researchers had difficulty obtaining precise solutions in some cases.
In 2016, F. Rahaman et al. [28] presented WH models under the Finsler structure of space–time by considering the distinct options for shape function and energy density. This study was a follow-up to their last work [29] that built a model for the compact stars based on Finsler geometry. Then, they developed their paper and investigated traversable WHs by modifying some new solutions to WHs in the framework of Finsler geometry supported by phantom energy [30]. Moraes and Sahoo later (in 2017) modeled static WHs in f ( R , T ) gravity, examining different matter content hypotheses, pressure components, and equations of state [31]. In 2022, H. M. Manjunatha studied WH models in f ( R ) gravity with exponential shape function in the Finsler space–time geometry Ref. [32] and discussed the WH solutions to the Einstein field equations in the view of anisotropic energy-momentum tensor by adopting Finslerian framework. Recently, M. Malligawad et al. [33] investigated the characteristics of WH models in the specific f ( R , T ) gravity. They analyzed WH solutions by adopting an exponential-type shape function. With continuous progress in the discovery of WH efforts, it is necessary to compile more predictions regarding their geometry of matter content. We aim to examine the WH model by deriving the new polynomial shape function in the perspective of the f ( R , T ) gravity theory in the Finslerian approach.
The paper is arranged as follows. In Section 2, we have discussed the Finslerian WH structure and its geometric formulations. In Section 3, we derived WH field equations in f ( R , T ) gravity. In Section 4, we constructed two distinct exact WH models from various hypotheses regarding their matter-geometry content, followed by discussions on the violation of energy conditions and anisotropy factor of those WH models. Section 5 is devoted to a discussion and results. And finally, we conclude our article in Section 6.

2. Finslerian Wormhole Structure

The Finsler geometry, rooted in the Finsler structure F , is defined as described in [18] and is represented by the equation F ( x , κ y ) = κ F ( x , y ) for all positive values of κ . Here, x denotes the position within a four-dimensional smooth manifold M , and y = d x d t signifies the velocity. The metric tensor g μ ν for Finsler geometry is expressed as follows:
g μ ν = 1 2 2 F 2 ( x , y ) y μ y ν .
In Finsler space–time, the geodesic equation describes the paths of free particles moving under the influence of gravity and other related forces. The geodesic equation in Finsler space–time is given as:
d 2 x μ d τ 2 + 2 G μ ( x , y ) = 0 ,
where G μ denotes the geodesic spray coefficient. In Finsler geometry, it describes the geodesic flow in a Finsler manifold [18], and is given by:
G μ = 1 4 g μ ν 2 F 2 x λ y ν y λ F 2 x ν ,
the Akbar-Zadeh [34] proposed an equation for the Finslerian modified Ricci tensor, and it is written as
R i c μ ν = 2 1 2 F 2 R i c y μ y ν ,
where R i c is the Ricci scalar, which is the invariant value in Finsler space–time, and it is expressed in Finsler geometry as [18],
R i c R μ μ = 1 F 2 2 G μ x μ y ι 2 G μ x ι y μ + 2 G ι 2 G μ y ι y μ G μ y ι G ι y μ ,
R ν μ = 1 F 2 R ι ν σ μ y ι y σ ,
where R ν μ depends mainly on Finsler structure F and R ι ν σ μ .
According to Birkhoff’s theorem, all the static vacuum solutions can be reduced to the Schwarzschild form. Finsler geometry extends conventional Riemannian geometry by introducing a new metric structure, allowing for the consideration of more general geometric spaces. Therefore, we will consider the Finsler structure F to be of the form [28,35].
F 2 = B ( r ) y t y t A ( r ) y r y r r 2 F ¯ 2 ( θ , ϕ , y θ , y ϕ ) .
Here, y i -variables are the induced coordinates on the fibers of tangent manifold T M , t is the time coordinate, r represents the radial coordinate, θ and ϕ are the angular coordinates. B ( r ) = e 2 a ( r ) , where a ( r ) represents red shift function and A ( r ) = 1 b ( r ) r 1 , where b ( r ) is shape function of the WH that must obey the following conditions:
  • The radial coordinate r ranges from r 0 to , with r 0 being the throat radius of the WH metric.
  • At the throat, where r = r 0 , the shape function satisfies:
    b ( r 0 ) = r 0 ,
    For the region outside the throat i.e., r > r 0 , the condition is:
    1 b ( r ) r > 0 .
  • The shape function must satisfy the flaring-out condition at the throat,
    b ( r 0 ) < 1 ,
    where = d d r .
  • To ensure that the space–time geometry should be asymptotically flat, the following is required:
    b ( r ) r 0 a s | r | .
  • a ( r ) must be finite and non-vanishing at the throat r 0 .
    With the reference [36,37], we can consider a ( r ) = k , where k is a constant, is used to achieve the anti-de Sitter and de Sitter asymptotic behaviors. Since a constant redshift function can be absorbed into the normalized time coordinate, we take a = 1 .
From Equation (7), the Finsler metric and its reciprocal can be written as in [38],
g μ ν = d i a g e 2 a ( r ) , 1 b ( r ) r 1 , r 2 g ¯ i j ,
g μ ν = d i a g e 2 a ( r ) , 1 b ( r ) r , r 2 g ¯ i j ,
where g ¯ i j and g ¯ i j are derived from F ¯ and the indices i, j are assigned to the angular coordinates θ , ϕ . Since F ¯ represents the two-dimensional Finsler space. So, we consider F ¯ 2 as follows:
F ¯ 2 = y θ y θ + f ( θ , ϕ ) y ϕ y ϕ .
We may obtain the Finsler metric for the two-dimensional Finsler structure F ¯ as
g ¯ i j = d i a g 1 , f ( θ , ϕ ) , g ¯ i j = d i a g 1 , 1 f ( θ , ϕ ) ,
where i , j = θ , ϕ .
We have obtained the geodesic spray coefficients for F ¯ 2 using Equation (3) as
G ¯ ϕ = 1 4 f θ y ϕ y ϕ ,
G ¯ ϕ = 1 4 f 2 f θ y ϕ y θ + f ϕ y ϕ y ϕ ,
from these, we can obtain Ricci scalar R i c ¯ :
R i c ¯ = 1 2 f 2 f θ 2 + 1 4 f 2 f θ 2 ,
which might be a function of the θ constant. For any constant η , we can have F ¯ 2 in three different cases:
F ¯ 2 = y θ y θ + C sin 2 ( η θ ) y ϕ y ϕ , η > 0 y θ y θ + C θ 2 ( y ϕ ) 2 , η = 0 y θ y θ + C sinh 2 ( η θ ) y ϕ y ϕ η < 0 .
We take C = 1 , which is trivial. Now Equation (7) can be expressed as
F 2 = B ( r ) y t y t A ( r ) y r y r r 2 y θ y θ r 2 sin 2 θ y ϕ y ϕ + r 2 sin 2 θ y ϕ y ϕ r 2 sin 2 ( η θ ) y ϕ y ϕ ,
which is,
F 2 = α 2 + r 2 χ ( θ ) y ϕ y ϕ ,
where α represents Riemannian metric and χ ( θ ) = sin 2 θ sin 2 ( η θ ) . Hence
F = α 1 + r 2 χ ( θ ) y ϕ y ϕ α 2 .
We choose b ϕ = r χ ( θ ) , we have
F = α ϕ ( s ) ,
where ϕ ( s ) = 1 + s 2 , s = b ϕ y ϕ α = β α , b μ = ( 0 , 0 , 0 , b ϕ ) , b ϕ y ϕ = b μ y μ = β ( β is 1-form).
Thus, F is a ( α , β ) type Finsler space.
Killing equation K V ( F ) = 0 can be obtained in the Finsler space after the isometric transformations of the above Finsler structure Ref. [35]:
ϕ ( s ) s ϕ ( s ) s K V ( α ) + ϕ ( s ) s K V ( β ) = 0 ,
K V ( α ) = 1 2 α ( V μ ν + V ν μ ) y μ y ν ,
K V ( β ) = V μ b ν x μ + b μ V μ x ν y ν .
Here “∣” specifies the covariant derivative regarding α .
From the above, we have
K V ( α ) + s K V ( β ) = 0 or α K V ( α ) + β K V ( β ) = 0 ,
which implies
K V ( α ) = 0 and K V ( β ) = 0 ,
or
V μ ν + V ν μ = 0 and V μ b ν x μ + b μ V μ x ν = 0 .
It is interesting to note that the first Killing equation is constrained by the second Killing equation. As a result, it is mainly responsible for shattering the Riemannian space’s isometric symmetry.
The current Finsler metric space for F ¯ 2 , considered as a quadric in y θ and y ϕ , can be derived from the Riemannian manifold ( M , g μ ν ( x ) ) as follows: F ( x , y ) = g μ ν ( x ) y μ y ν .
It is important to note that this represents a semi-definite Finsler space. Consequently, the covariant derivative from the Riemannian space can be utilized. We can then express the components of the Finsler metric (7), where the metric g ¯ i j = d i a g ( 1 , sin 2 η θ ) [39]. That is,
g μ ν = d i a g ( e 2 a ( r ) , 1 b ( r ) r 1 , r 2 , r 2 sin 2 η θ ) .
g μ ν = d i a g ( e 2 a ( r ) , 1 b ( r ) r , r 2 , r 2 sin 2 η θ ) .
Here, η plays an important role in the outcoming field equations in the Finsler geometry and, therefore, influences the WH problem in our models.
Equation (7) gives geodesic spray coefficients:
G t = 0 , G r = r b b 4 r ( r b ) y r y r r b 2 y θ y θ r b 2 sin 2 ( η θ ) y ϕ y ϕ , G θ = 1 r y r y θ η 2 sin ( η θ ) cos ( η θ ) y ϕ y ϕ , G ϕ = 1 r y r y ϕ + η cot ( η θ ) y θ y ϕ .
Now, we incorporate the geodesic spray coefficients from Equation (27) into Equation (18). Then we have
F 2 R i c = r b b r 2 ( r b ) y r y r + η 1 + b 2 r + b 2 y θ y θ + η 1 + b 2 r + b 2 sin 2 ( η θ ) y ϕ y ϕ .
Now we define scalar curvature R in Finsler metric space as R = g μ ν R i c μ ν . Therefore, the modified Einstein tensors in the Finsler space–time can be derived as Ref. [28]
G μ ν = R i c μ ν 1 2 R g μ ν ,
where R i c μ ν and G μ ν are the Ricci and Einstein tensors, respectively. Chang and Li in Ref. [40] proved the covariant conservation of G μ ν in Finsler geometry, i.e., G ν | μ μ = 0 . The Bianchi identities in Finsler space coincide with those in Riemannian space, representing the covariant conservation of the Einstein tensor. When the current Finsler space reduces to the Riemannian space, the gravitational field equations can be obtained. According to Li et al. [41], the gravitational field equations can also be discovered alternatively. They have demonstrated the covariance-preserving properties of the G ν μ tensor regarding the covariant derivative in Finsler space–time using the Chern–Rund connection (details in Appendix A). It is important to note that the gravitational field equation in Finsler space is restricted to the base manifold of Finsler space [35], with the fiber coordinates y i set as the velocities of the cosmic components (energy-momentum tensor velocities). Ref. [35] shows that field equation can be obtained from the approximation work in [42]. Pfeifer et al. studied the dynamics of gravitation in Finsler geometry using an action integral on the unit tangent bundle. The Ricci scalar depends solely on the Finsler metric structure F and is inconsiderate to the connection. Consequently, the gravitational field equation in Finsler space, being derived from the Ricci scalar, is inconsiderate to the connection. Thus, the Finsler gravitational field equation is given as follows (with c = G = 1 ), [21,32]:
G ν μ = 8 π F T ν μ ,
where T ν μ is the energy-momentum tensor. 4 π F represents the volume of the Finsler space–time structure F ¯ . Suppose we take F ¯ in the form of the Finslerian sphere [35,43], then π F becomes equal to π . The constituents of Finsler-modified Einstein tensor are obtained from Equation (29) as follows Ref. [30]:
G t t = 1 r 2 ( b + η 1 ) , G r r = b r 3 + 1 r 2 ( η 1 ) , G θ θ = G ϕ ϕ = r b b 2 r 3 .
In Finsler geometry, the Finsler structure F depends on both position and direction. This leads to an intrinsic anisotropy in the geometry. Unlike Riemannian geometry, where the metric is solely position-dependent, Finsler geometry incorporates directional dependence, which can introduce anisotropic effects. The field equation in Finsler gravity is derived from the analogy between geodesic deviation equations in Finsler and Riemannian space–time. The vanishing of the Ricci scalar in Finsler gravity implies parallel geodesic rays and is insensitive to connection types, reflecting an inherent anisotropy in how space–time curvature is treated. Models based on Finsler space–time have been developed to study cosmological preferred directions and anisotropy. For instance, Stavrinos et al. [44] studied cosmological anisotropy using an osculating Riemannian space method, highlighting the anisotropic nature of cosmological solutions in Finsler geometry. The concept of flag curvature in Finsler geometry is a generalization of sectional curvature in Riemannian geometry. The Finslerian sphere, a model used to represent spherical symmetry in Finsler space–time, has constant flag curvature, which introduces anisotropic effects compared to the isotropic nature of spherical symmetry in Riemannian geometry.
We consider the general anisotropic energy-momentum tensor Ref. [37] in the following form,
T ν μ = ( ρ + p t ) u μ u ν + ( p r p t ) δ μ δ ν p t g ν μ .
In Finsler gravity, the total action explaining the gravitational interactions is structured similarly to Riemannian gravity but with notable distinctions owing to the unique features of Finsler geometry. In this context, the energy density ρ = ρ ( r ) , radial pressure p r = p r ( r ) , and lateral pressure p t = p t ( r ) (measured orthogonally to the radial direction) are the key components characterizing the gravitational system. Additionally, there is the four-velocity u μ satisfying the condition u μ u μ = 1 , and the space-like unit vector δ μ , with δ μ δ μ = 1 , considered in the radial direction.
In the formalism of Finsler gravity, the total action, as proposed by Harko [13], adopts a structure akin to that of Riemannian gravity. However, due to the distinct nature of Finsler geometry, there are significant differences in the formulation of the action, accounting for the specific geometric properties and gravitational interactions inherent in this framework. Stavrinos et al. [45] investigated modified gravity theories that modeled by the gravitational Lagrange density functionals f ( R , T , F ) with generalized/ modified scalar curvature R , trace of the matter field tensors T and the modified Finsler-like generating function F
S = 1 16 π d 4 x g f ( R , T ) + d 4 x g L m ,
where L m represents the matter Lagrangian density, g is the determinant of the Finsler metric. Here, we concentrate on the functional form f ( R , T ) = R + 2 λ T , where R and T are scalar curvature and a function of the trace of the stress-energy tensor of matter, respectively.
T μ ν = 2 g ( g L m ) g μ ν x ς ( g L m ) ( g μ ν x ς ) .
As in the Ref. [13], we suppose L m depends only on the metric components and not on its derivatives, such that we obtain
T μ ν = g μ ν L m 2 L m g μ ν .
By varying the action S of the gravitational field regarding the metric tensor components of g μ ν , we intend to derive the modified gravity field equation is close to the described method in Ref. [31]
R i c μ ν 1 3 R g μ ν 1 6 f ( R , T ) g μ ν = 8 π F T μ ν 1 3 T g μ ν 2 λ T μ ν 1 3 T g μ ν 2 λ Θ μ ν 1 3 Θ g μ ν ,
where Θ μ ν = g α β δ T α β δ g μ ν .
In our current models, we let the matter Lagrangian L m = ρ . We discover the modified gravitational field equation Finsler space–time as
G ν μ = ( 8 π F + 2 λ ) T ν μ + λ ( 2 ρ + T ) g ν μ ,
Equation (37) reduce to Equation (30) when λ = 0 . To obtain the gravitation field equations, we assume an anisotropic fluid obeying the matter content of the following form,
T ν μ = d i a g ( ρ , p r , p t , p t ) .
The trace T appears to be T = ρ p r 2 p t .

3. Wormhole Field Equations in F ( R , T ) Gravity

The constituents of the gravitational field Equations (37) for the considered metric (20) with Equation (38) are
G t t = ( 8 π F + λ ) ρ λ ( p r + 2 p t ) : 1 r 2 ( b + η 1 ) = ( 8 π F + λ ) ρ λ ( p r + 2 p t ) , G r r = λ ρ + ( 8 π F + 3 π ) p r + 2 λ p t : b r 3 1 r 2 ( η 1 ) = λ ρ + ( 8 π F + 3 π ) p r + 2 λ p t , G θ θ = G ϕ ϕ = λ ρ + λ p r + ( 8 π F + λ ) p t : b r b 2 r 3 = λ ρ + λ p r + ( 8 π F + λ ) p t .
The above set of field equations concede the solutions
ρ = b + ( η 1 ) r 2 ( 8 π F + 2 λ ) ,
p r = b r + r ( η 1 ) r 3 ( 8 π F + 2 λ ) ,
p t = b b r 2 r 3 ( 8 π F + 2 λ ) .
Field equations derived from the Ricci scalar remain independent of the connections and are thus insensitive to their variations. Additionally, these field equations could be deduced through a Lagrangian perspective. Notably, the contribution of η , representing the beta component of the fundamental function in Finsler space, is evident in these field equations, providing the distinctive Finslerian influence. In studying gravitational field equations within GR and gravitation, it is essential to consider the approach of the Cartesian connection. This method is more conventional and crucial as it maintains an angle between 2 vectors passing along the geodesics and preserves their norm. This aspect is fundamental in deriving Einstein’s gravitational equations. While we have chosen to avoid this approach in our study, it remains a feasible option for exploration.

4. Wormhole Models

In this section, we will develop WH models based on the different hypotheses regarding their matter content.

4.1. Model 1

Here, we suppose the pressure p t and p r can be related as
p t = n p r ,
with n as an arbitrary constant. Such relations are taken in [46], for instance.
Substituting Equations (40) and (41) in Equation (42), we obtain
b ( r ) = ( 1 η ) r + A r 1 + 2 n ,
where A = integral constant. The above Equation (43) is stable when n is negative and A is positive because of the asymptotic flatness of the metric and flaring-out condition is satisfied.
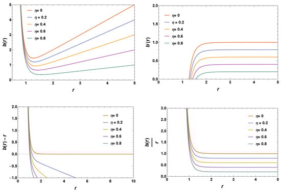
The shape function is plotted regarding r in Figure 1 with n = 4 and A = 1 . From such a figure, all the basic WH conditions are satisfied.
At the throat of the WH i.e., r = r 0 , then Equation (8) gives
A = η r 0 2 n .
And we have energy density,
ρ = ( 1 + 2 n ) A 8 π F + 2 λ r 2 ( n 1 ) ,
radial pressure and lateral pressure
p r = A 8 π F + 2 λ r 2 ( n 1 ) ,
and
p t = nA 8 π F + 2 λ r 2 ( n 1 ) .
From Equations (45)–(47) we have
ρ + p r = nA 4 π F + λ r 2 ( n 1 ) ,
ρ + p t = A ( 1 + n ) 8 π F + 2 λ r 2 ( n 1 ) .
The presence of the exotic matter inside the WH violates energy conditions. Specifically, the null energy condition (NEC) is violated by the energy-momentum tensor at the throat of the WH [47]. We can note from Equation (48) violation of the NEC, i.e., ρ + p r 0 that implies λ > 4 π .
The dominant energy condition (DEC) is given by,
ρ p r = A ( 1 + n ) 4 π F + λ r 2 ( n 1 ) ,
ρ p t = A ( 1 + 3 n ) 8 π F + 2 λ r 2 ( n 1 ) .

4.2. Model 2

In this model, we consider the matter along with the equation of state (EoS)
p r + ω ( r ) ρ = 0 ,
is stuffing WH, where ω ( r ) > 0 , for the radial coordinate. A similar EoS with the varying parameter ω ( r ) is considered in the Ref. [48], for instance. Taking Equation (52) into account, from Equations (39) and (40) we can obtain
ω ( r ) = b + r ( η 1 ) r ( b + ( η 1 ) ) .
Furthermore, we shall enquire about two cases for Equation (53), as follows in [48].

4.2.1. Case I

ω ( r ) = ω ( a constant ) .
Now Equation (53) becomes,
b ( r ) = ( 1 η ) r + b 0 r 1 / ω ,
given that b 0 = integral constant, and considering the asymptotical flatness of the metric, Equation (54) remains stable when ω > 1 . By selecting specific parameter values, we plot b ( r ) in Figure 2. It can be observed that r > r 0 and b ( r ) r < 0 is a crucial condition to fulfill for shape function. Additionally, b ( r ) r is a decreasing function for r > r 0 , which satisfies the flaring-out condition.
At the throat of the WH i.e., r = r 0 , that implies b ( r ) = r 0 , which gives
r 0 = b 0 η ω ω 1 ,
utilizing Equation (54) in Equations (39)–(41), we have
ρ = ( η 1 ) r 2 ω + b 0 r 1 3 ω ω ω ( 8 π F + 2 λ ) ,
p r = ( η 1 ) r 2 b 0 r 1 3 ω ω 8 π F + 2 λ ,
p t = b 0 ( ω 1 ) r 1 3 ω ω 2 ω ( 8 π F + 2 λ ) .
NEC is given by
ρ + p r = b 0 ( 1 ω ) r 1 3 ω ω ω ( 8 π F + 2 λ ) ,
ρ + p t = 2 ( η 1 ) r 2 ω + b 0 ( 1 ω ) r 1 3 ω ω 2 ω ( 8 π F + 2 λ ) ,
from Equation (59) NEC is the violated for the values b 0 > 0 and λ > 4 π . NEC for the present case can be seen in Figure 3.
DEC is given by,
ρ p r = 2 ( η 1 ) r 2 ω + b 0 ( 1 + ω ) r 1 3 ω ω ω ( 8 π F + 2 λ ) ,
ρ p t = 2 ( η 1 ) r 2 ω + b 0 ( 3 ω ) r 1 3 ω ω 2 ω ( 8 π F + 2 λ ) .
DEC for this case can be seen in Figure 4.

4.2.2. Case II

ω ( r ) = B r m .
In this case, we assume ω ( r ) = B r m , where B and m are positive constants. From Equation (53), b ( r ) is obtained as
b ( r ) = r ( η 1 ) + exp c 1 m B r m ,
where c is the integration constant.
At the WH throat, we can have
c = ln ( η r 0 ) + 1 m B r 0 m ,
so Equation (63) implies
b ( r ) = r ( η 1 ) + exp ln ( η r 0 ) + 1 m B 1 r 0 m 1 r m .
Since m > 0 and ω > 1 , we have r > r 0 > ( 1 B ) ( 1 m ) , which satisfies the asymptotic flatness. Therefore, our assumption of EoS is true. From the Figure 5, we observe, when r > r 0 , b ( r ) r is a decreasing function of r for r r 0 and b ( r 0 ) < 1 , which satisfies the metric flaring-out condition. Thus, the plotted shape function b ( r ) indeed represents a structure of WH.
Using Equation (63) into Equations (39)–(41), we obtain
ρ = ( η 1 ) B r ( m + 1 ) + exp ( c 1 m B r m ) B r ( m + 3 ) ( 8 π F + 2 λ ) ,
p r = r ( η 1 ) exp ( c 1 m B r m ) r 3 ( 8 π F + 2 λ ) ,
p t = ( B r m 1 ) exp ( c 1 m B r m ) 2 B r ( m + 3 ) ( 8 π F + 2 λ ) .
NEC for this model is given by
ρ + p r = exp ( c 1 m B r m ) ( 1 B r m ) B r ( m + 3 ) ( 8 π F + 2 λ ) ,
ρ + p t = 2 ( η 1 ) B r ( m + 1 ) + exp ( c 1 m B r m ) ( B r m + 1 ) 2 ( B r ( m + 3 ) ) ( 8 π F + 2 λ ) .
DEC is given by
ρ p r = 2 ( η 1 ) ( B r ( m + 1 ) + 1 ) + exp ( c 1 m B r m ) ( 1 + B r m ) B r ( m + 3 ) ( 8 π F + 2 λ ) ,
ρ p t = 2 ( η 1 ) B r ( m + 1 ) + exp ( c 1 m B r m ) ( 3 B r m ) 2 ( B r ( m + 3 ) ) ( 8 π F + 2 λ ) .

4.2.3. Anisotropy Factor

Anisotropy in the context of wormholes refers to the directional dependence of physical properties within the space–time structure. In anisotropic systems, the properties such as pressure and density vary depending on the direction considered. This contrasts with isotropic systems, whose properties are uniform in all directions. Anisotropy is crucial in modeling realistic astrophysical objects, allowing for a more accurate representation of the internal structure and dynamics.
Mathematically, anisotropy is characterized by the stress-energy tensor T μ ν , which describes the distribution of matter and energy in space–time. In anisotropic models, the components of the stress-energy tensor are not equal in all directions. For instance, if p r is the radial pressure and p t is the lateral pressure, anisotropy is defined by p r p t . This can be expressed as: Δ p = p t p r , where Δ p represents the anisotropy factor [49,50]. In our models, we consider the role of pressure anisotropy in maintaining the WH structure. The radial and lateral pressures are treated as independent components, and their differences are critical in achieving stable configurations. This approach allows for a more realistic and physically plausible description of WHs in the Finsler geometry within the framework of f ( R , T ) gravity.
When Δ p is positive, the geometry of the WHs is described as having a repulsive nature. Conversely, a negative Δ p indicates an attractive geometry for the WHs. If Δ p = 0 , it implies that the matter distribution within the WHs possesses isotropic pressure, meaning the pressures in the radial and lateral directions are equal. One can notice from Figure 6 a, b that the graphical response of anisotropy factor ( Δ p ) for γ > 0 reveals negative and attractive nature WH geometry.

5. Discussion and Results

In the present theory, we have studied the SWH models with f ( R , T ) gravitation theory with the context of Finsler geometry using polynomial shape function and discovered a few interesting characteristics. Here, we mainly focused on f ( R , T ) = R + 2 f ( T ) , where f ( T ) = λ T and λ is parameter of constant value. The uncertainty of f ( R , T ) gravity WHs will depend on the range of choice of parameter. Regarding this, many researchers have been working on f ( R , T ) MGT, among them H. M. Manjunatha et al. [32] (2022) investigated the models of WH in the f ( R ) gravity with Finslerian approach with exponential-type shape function by taking λ = 0. In Ref. [33] (2024), authors discussed WH models using an exponential shape function in the perspective of Finsler geometry with f ( R , T ) MGT by taking λ = 12.5 .
By the GR theory, WHs are stuffed with matter that is completely distinct from ordinary matter, known as exotic matter, and has negative mass. Many researchers have found that exotic matter is needful in studying the violation of various modified gravitation theories that account for the energy violation conditions through the effective energy-momentum tensor. As we discussed in the last sections, throat condition, i.e., b ( r 0 ) = r 0 at r = r 0 , the flaring condition b ( r 0 ) < 1 and asymptotic flatness that is necessary to illustrate the solutions of WH, is obeyed in each model that we have constructed.
Furthermore, the redshift function has been assumed to be constant ( a ( r ) = const), which means that the hypothetical traveler’s experience of tidal gravitational force is negligible. Considering the famous article by M. S. Morris and K. S. Thorne [6], the authors have discovered, in a SWH, ρ r 2 , and we can observe that the proportionality for r when ω 1 is predicted by our solution for the ρ in the Case I of Model 2 with the similar precision. In this instance, however, our results for ρ are consistent with that for the Morris-Thorne WHs along with cosmological constant Ref. [51] and the WHs minimally violating the NEC [52].
And we discussed NEC and DEC in Figure 3, Figure 4, Figure 7 and Figure 8. The study of the traversable WH’s geometry has revealed a violation of NEC at WH’s throat. Thus, NEC’s violation may confirm the presence of exotic matter at the WH throat, which is the fundamental requirement for the existence of traversable WH. In our present model, at the throat, weaker inequality ρ ( r 0 ) + p r ( r 0 ) 0 holds, which implicates the violation of NEC. The authors in [53] derived validity of the NEC, ρ + p r 0 , by assuming the negative energy density. Moreover, SEC is also holding for both the cases of Model 2, i.e., ρ + p r + 2 p t = 0 , as one can check Equations (39) and (41). Violation of all the energy conditions provides strong evidence for the existence of the exotic matter in WH throat, which is displayed in Table 1. Additionally, we have discussed anisotropic factors for both the cases of Model 2, which appear to be negative and reveal the attractive geometry of the WHs.
We have plotted the embedded 2-D graph for Finslerian WH Figure 9. Now, we will analyze our results by comparing them with the work done by Manjunath Malligawad [33].
In Figure 10, one can spot the difference between two various kinds of shape functions, b ( r ) = r 0 e 1 r r 0 (exponential) and b ( r ) = ( 1 η ) r + A r 1 + 2 n (polynomial), respectively. The polynomial shape function shows a gradual increase, reflecting a smooth and steady geometry. This results in a well-behaved structure that remains regular as the radial coordinate increases. Conversely, the exponential shape function demonstrates a rapid rise that indicates a sharper transition in the WH’s geometry. This abrupt change can lead to more pronounced features in the WH’s throat region.
In the 3-D embedded plots Figure 11, the polynomial shape function generates more uniformly expanding WH, while the exponential shape function produces a narrower throat with a more significant flaring out. This highlights the stark differences in spatial profiles and stability properties of the WH models, with the polynomial shape providing a more gradual and potentially more stable configuration compared to the more dramatic exponential shape function.

6. Conclusions

In this study, we have investigated WH solutions within the framework of Finsler geometry and modified f ( R , T ) gravity. The f ( R , T ) function used in our models incorporates both the Ricci scalar R and the trace of the energy-momentum tensor T , provides a robust foundation for exploring modifications to GR that address cosmic acceleration and other large-scale phenomena.
We derived the field equations necessary for exploring the existence and stability of SWHs. To achieve this, we obtained the polynomial shape function using the field equations and by varying the EoS parameter in Finslerian space–time. Our analysis highlights the conditions under which energy violations occur, indicating the presence of exotic matter at the WH throat, a feature consistent with Finsler-modified gravity models. The geometric constraints and energy conditions were graphically validated, demonstrating the feasibility of traversable WHs without relying on exotic matter, which is a significant advancement over traditional GR models.
The Finsler parameter η plays a pivotal role in our WH models by extending the geometric structure of space–time beyond the conventional Riemannian framework. In Finsler geometry, the metric depends not only on the position in the manifold but also on the direction of the tangent vectors at each point. This directional dependence, encapsulated by the parameter η , allows for a more versatile and comprehensive description of space–time [18]. The significance of η in our models is multifaceted. It influences the shape and size of the WH throat and the distribution of matter and energy around it. Specifically, η determines the degree of violation of the NEC, which is crucial for the existence of traversable WHs. Different values of η lead to varying degrees of NEC violation, directly affecting the stability of the WH.
Moreover, the choice of η modifies the geometric structure of the WH, impacting parameters such as the throat radius and flare-out conditions. These modifications are essential to ensure WH stability and prevent gravitational collapse. Additionally, η affects the distribution of exotic matter around the WH throat, which is necessary to maintain an open throat and ensure the traversability of the WH. Overall, the Finsler parameter η is integral to our models, providing a flexible framework to explore the properties and stability of WHs in a modified gravitational context. Our findings highlighted that the Finslerian approach, coupled with f ( R , T ) gravity, supports the existence of SWHs that satisfy the required geometric constraints and exhibit energy condition violations indicative of exotic matter presence at the WH throat [13].
The specificity of the f ( R , T ) function in our model allowed for a nuanced examination of the gravitational and material characteristics of these WHs. Our results contribute to the ongoing efforts to reconcile theoretical predictions with observed cosmic phenomena, providing a promising avenue for future research in Finsler-modified gravity and its applications to cosmology and astrophysics. This study underscores the potential of Finsler geometry to address unresolved issues in gravitational theories and pave the way for more comprehensive models that incorporate both quantum processes and large-scale structure formation.
Through analytical solutions and 3-D visualizations, we validated our proposed models and contributed to the broader understanding of WHs in modified gravity contexts. The results suggest that Finsler geometry, in conjunction with f ( R , T ) gravity, offers a promising avenue for further research into the fundamental nature of space–time and gravitational interactions. A similar method can be incorporated in the same scenarios for different alternative gravity theories. These approaches provide a broader context for understanding how modified gravity theories like f ( R , T ) can contribute to singularity resolution [54,55]. Integrating these insights into our Finslerian wormhole models may open new avenues for exploring non-singular solutions within a unified theoretical framework.

Author Contributions

B.R.Y.: Writing manuscript and plotting graphs. Z.N. and S.K.N.: Editing, reviewing and analysis. All authors have read and agreed to the published version of the manuscript.

Funding

This article received no external funding.

Data Availability Statement

The authors confirm that data supporting the findings of this research study are completely available within the paper.

Conflicts of Interest

The authors declare no conflicts of interest.

Appendix A

Appendix A.1. Chern–Rund Connection

In 1943, S.S. Chern introduced the Chern connection. Later on, H. Rund independently introduced this connection in a different setting. Therefore, the Chern connection is also called the Rund connection in some literature [56].
Chern connection is calculated using the expression [57]
Γ ν σ μ = 2 G μ y ν y σ C ν σ | l μ y l F
where C ν σ μ represents the Cartan connection and is given by [58]
C ν σ μ = F 4 3 F 2 μ ν σ .
For the Finslerian WH structure Equation (20) we have C ν σ μ = 0 for all indices μ ν σ . Hence, we conclude that the Cartan connection vanishes for the Finslerian WH space–time. Chern connection coefficients are calculated as follows:
Γ μ ν t = 0 ( for all indices μ , ν ) , Γ r θ θ = Γ r ϕ ϕ = 1 r , Γ r r r = r b b 2 r ( r b ) , Γ r t r = Γ r θ r = Γ r ϕ r = 0 , Γ θ θ r = ( r b ) , Γ ϕ ϕ r = ( r b ) sin 2 ( η θ ) , Γ θ θ θ = Γ θ t θ = Γ θ ϕ θ = 0 , Γ ϕ t ϕ = Γ ϕ ϕ ϕ = 0 , Γ ϕ θ ϕ = η cot ( η θ ) .
The covariant derivative of G ν μ can be evaluated using the expression
G ν | μ μ = δ δ x μ G ν μ + Γ μ σ μ G ν σ Γ μ ν σ G σ μ ,
where δ δ x μ is the “ δ ” derivative defined as
δ δ x μ = x μ G σ y μ y σ .
From Equation (A4) all the covariant derivative components becomes G t | μ μ = G r | μ μ = G θ | μ μ = G ϕ | μ μ = 0 . This leads us to the conclusion that the covariant derivative of G ν μ for the Finslerian modified Einstein tensor is conserved.

Appendix A.2. Embedded Surface of the WH

We have constructed embedded 2−D and 3-D diagrams for the shape function Equation (43) for better visualization of the WH. We used an equatorial plane θ = π 2 at a fixed time or t = const, and η = 1 , from these conditions Equation (20) reduce into the form
F 2 = 1 b ( r ) r 1 d r 2 r 2 d ϕ 2 ,
the above equation can be written in cylindrical coordinates as
F 2 = d z 2 d r 2 r 2 d ϕ 2 .
z = z ( r ) represents the embedded surface in 3-dim Euclidean space. We can rewrite Equation (A7) as
F 2 = 1 + d z d r 2 d r 2 r 2 d ϕ 2 .
Now comparing Equations (A6) and (A8) we have
d z d r = ± 1 b ( r ) r 1 1 .
Using Equation (A9), we plotted the embedded surface of the WH.

Appendix A.3. Dynamical Stability of WHs in f ( R , T ) Gravity Compared to WHs in GR

The dynamical stability of WHs is a fundamental aspect that determines their viability as traversable structures. In GR, stability analyses often involve examining the response of the WH to small perturbations. A stable WH returns to its equilibrium mode, while an unstable one collapses or expands uncontrollably [59]. In the context of f ( R , T ) gravity, the additional degrees of freedom introduced by the f ( R , T ) function necessitate a modified approach to stability analysis [13]. The coupling between matter and curvature in f ( R , T ) gravity can lead to different stability behaviors compared to GR. The inclusion of the Finsler parameter η adds further complexity, requiring a detailed examination of how η influences the perturbative behavior of the WH structure.
To address the stability of our WH solutions, we propose a linear stability analysis, solving the perturbation equations derived from the modified field equations in f ( R , T ) gravity. This analysis will help determine the eigenvalues and assess the stability criteria. By comparing these results with the known stability behaviors in GR, we can highlight the distinct characteristics of WHs in f ( R , T ) gravity.

References

  1. Einstein, A.; Rosen, N. The particle problem in the general theory of relativity. Phys. Rev. 1935, 48, 73–77. [Google Scholar] [CrossRef]
  2. Flamm, L. Black Holes and Wormholes—The Physics of the Universe. Phys. Z. 1916, 17, 448. [Google Scholar]
  3. Misner, C.W.; Wheeler, J.A. Classical physics as geometry. Ann. Phys. 1957, 2, 525. [Google Scholar] [CrossRef]
  4. Bhawal, B.; Kar, S. Lorentzian wormholes in Einstein-Gauss-Bonnet theory. Phys. Rev. D 1992, 46, 2464. [Google Scholar] [CrossRef] [PubMed]
  5. Maeda, H.; Nozawa, M. Static and symmetric wormholes respecting energy conditions in Einstein–Gauss–Bonnet gravity. Phys. Rev. D 2008, 78, 024005. [Google Scholar] [CrossRef]
  6. Morris, M.S.; Thorne, K.S. Wormholes in spacetime and their use for interstellar travel: A tool for teaching general relativity. Am. J. Phys. 1988, 56, 395. [Google Scholar] [CrossRef]
  7. Gomez-Valent, A.; Peracaula, J.S. Phantom matter: A challenging solution to the cosmological tensions. arXiv 2024, arXiv:2404.18845. [Google Scholar]
  8. Mavromatos, N.E.; Peracaula, J.S. Inflationary physics and trans-Planckian conjecture in the stringy running vacuum model: From the phantom vacuum to the true vacuum. Eur. Phys. J. Plus 2021, 136, 1152. [Google Scholar] [CrossRef]
  9. Grande, J.; Sola, J.; Stefancic, H. ΛXCDM: A cosmon model solution to the cosmological coincidence problem? JCAP 2006, 8, 011. [Google Scholar] [CrossRef]
  10. Jusufi, K.; Channuie, P.; Jamil, M. Traversable wormholes supported by GUP corrected Casimir energy. Eur. Phys. J. C 2020, 80, 127. [Google Scholar] [CrossRef]
  11. Richarte, M.G.; Salako, I.G.; Morais Graca, J.P.; Moradpour, H.; Ovgun, A. Relativistic Bose-Einstein condensates thin-shell wormholes. Phys. Rev. D 2017, 96, 084022. [Google Scholar] [CrossRef]
  12. Halilsoy, M.; Ovgun, A.; Habib Mazharimousavi, S. Thin-shell wormholes from the regular Hayward black hole. Eur. Phys. J. C 2014, 74, 2796. [Google Scholar] [CrossRef]
  13. Harko, T.; Lobo, F.S.N.; Nojiri, S.; Odintsov, S.D. f(R,T) gravity. Phys. Rev. D 2011, 84, 024020. [Google Scholar] [CrossRef]
  14. Momeni, D.; Moraes, P.H.R.S.; Myrzakulov, R. Generalized second law of thermodynamics in f(R,T) theory of gravity. Astrophys. Space Sci. 2016, 361, 228. [Google Scholar] [CrossRef]
  15. Noureen, I.; Zubair, M.; Bhatti, A.A.; Abbas, G. Shear-free condition and dynamical instability in f(R,T) gravity. Eur. Phys. J. C 2015, 75, 323. [Google Scholar] [CrossRef]
  16. Azizi, T. Wormhole geometries in f(R,T) gravity. Int. J. Theor. Phys. 2013, 52, 3486. [Google Scholar] [CrossRef]
  17. Zubair, M.; Waheed, S.; Ahmad, Y. Static spherically symmetric wormholes in f(R,T) gravity. Eur. Phys. J. C 2016, 76, 444. [Google Scholar] [CrossRef]
  18. Bao, D.; Chern, S.S.; Shen, Z. An Introduction to Riemann-Finsler Geometry; Springer: New York, NY, USA, 2000. [Google Scholar]
  19. Roxburgh, I.W. Finsler spaces with Riemannian geodesics. Gen. Relativ. Grav. 1991, 23, 1071–1080. [Google Scholar] [CrossRef]
  20. Nekouee, Z.; Narasimhamurthy, S.K.; Manjunatha, H.M.; Srivastava, S.K. Finsler–Randers model for anisotropic constant-roll inflation. Eur. Phys. J. Plus 2022, 137, 1388. [Google Scholar] [CrossRef]
  21. Pfeifer, C. The Finsler Spacetime Framework: Backgrounds for Physics beyond Metric Geometry. Ph.D. Thesis, Universitat Hamburg, Hamburg, Germany, 2013. [Google Scholar]
  22. Lämmerzahl, C.; Lorek, D.; Dittus, H. Confronting Finsler space–time with experiment. Gen. Relativ. Gravit. 2009, 41, 1345–1353. [Google Scholar] [CrossRef][Green Version]
  23. Bubuianu, L.; Vacaru, S.I. Axiomatic formulations of modified gravity theories with nonlinear dispersion relations and Finsler–Lagrange–Hamilton geometry. Eur. Phys. J. C 2018, 78, 969. [Google Scholar] [CrossRef]
  24. Vacaru, S.I. Principles of Einstein–Finsler gravity and perspectives in modern cosmology. Int. J. Mod. Phys. D 2012, 21, 1250072. [Google Scholar] [CrossRef]
  25. Chang, Z.; Li, X. Modified Newton’s gravity in Finsler Space as a possible alternative to dark matter hypothesis. Phys. Lett. B 2008, 668, 453–456. [Google Scholar] [CrossRef]
  26. Cartan, E. Les Espaces de Finsler, Actualite Scientifiques et Industrielles; Hermann: Paris, France, 1934. [Google Scholar]
  27. Horvath, J.I. A Geometrical Model for the Unified Theory of Physical Fields. Phys. Rev. 1950, 80, 901. [Google Scholar] [CrossRef]
  28. Rahaman, F.; Paul, N.; Banerjee, A.; De, S.S.; Ray, S.; Usmani, A.A. The Finslerian wormhole models. Eur. Phys. J. C 2016, 76, 246. [Google Scholar] [CrossRef]
  29. Rahaman, F.; Paul, N.; De, S.S.; Ray, S.; Jafry, M.A.K. The Finslerian compact star model. Eur. Phys. J. C 2015, 75, 564. [Google Scholar] [CrossRef]
  30. Singh, K.; Rahaman, F.; Deb, D.; Maurya, S.K. Traversable Finslerian wormholes supported by phantom energy. Front. Phys. 2023, 10, 1038905. [Google Scholar] [CrossRef]
  31. Moraes, P.H.R.S.; Sahoo, P.K. Modeling wormholes in f(R,T) gravity. Phys. Rev. D 2017, 96, 044038. [Google Scholar] [CrossRef]
  32. Manjunatha, H.M.; Narasimhamurthy, S.K. The wormhole model with an exponential shape function in the Finslerian framework. Chin. J. Phys. 2022, 77, 1561–1578. [Google Scholar] [CrossRef]
  33. Malligawad, M.; Narasimhamurthy, S.K.; Nekouee, Z.; Kumbar, M.Y. Finslerian wormhole solution in the framework of modified gravity. Phys. Scr. 2024, 99, 045206. [Google Scholar] [CrossRef]
  34. Akbar-Zadeh, H. On Finsler spaces with constant sectional curvature. Acad. R. Belg. Bull. Cl. Sci. 1988, 74, 281–322. [Google Scholar]
  35. Li, X.; Chang, Z. Exact solution of vacuum field equation in Finsler spacetime. Phys. Rev. D 2014, 90, 064049. [Google Scholar] [CrossRef]
  36. Cataldo, M.; Meza, P.; Minning, P. N-dimensional static and evolving Lorentzian wormholes with a cosmological constant. Phys. Rev. D 2011, 83, 044050. [Google Scholar] [CrossRef]
  37. Rahaman, F.; Kalam, M.; Sarker, M.; Ghosh, A.; Raychaudhuri, B. Wormhole with varying cosmological constant. Gen. Relativ. Gravit. 2007, 39, 145–151. [Google Scholar] [CrossRef]
  38. Wang, H.C. On Finsler Spaces with Completely Integrable Equations of Killing. J. Lond. Math. Soc. 1947, s1–s22, 5–9. [Google Scholar] [CrossRef]
  39. Roy Chowdhury, S.; Deb, D.; Rahaman, F.; Ray, S.; Guha, B.K. Anisotropic strange star inspired by Finsler geometry. Int. J. Mod. Phys. D 2020, 29, 2050001. [Google Scholar] [CrossRef]
  40. Chang, Z.; Li, X. Lorentz invariance violation and symmetry in Randers–Finsler spaces. Phys. Lett. B 2008, 663, 103–106. [Google Scholar] [CrossRef]
  41. Li, X.; Wang, S.; Chang., Z. Finslerian Perturbation for the λCDM Model. Commun. Theor. Phys. 2014, 61, 781. [Google Scholar] [CrossRef]
  42. Pfeifer, C.; Wohlfarth, M.N.R. Finsler geometric extension of Einstein gravity. Phys. Rev. D 2012, 85, 064009. [Google Scholar] [CrossRef]
  43. Li, X. Special Finslerian generalization of the Reissner-Nordström spacetime. Phys. Rev. D 2018, 98, 084030. [Google Scholar] [CrossRef]
  44. Kouretsis, A.P.; Stathakopoulos, M.; Stavrinos, P.C. The General Very Special Relativity in Finsler Cosmology. Phys. Rev. D 2009, 79, 104011. [Google Scholar] [CrossRef]
  45. Stavrinos, P.; Vacaru, O.; Vacaru, S.I. Modified Einstein and Finsler like theories on tangent Lorentz bundles. Int. J. Mod. Phys. D 2014, 23, 1450094. [Google Scholar] [CrossRef]
  46. Garcia, N.M.; Lobo, F.S.N. Wormhole geometries supported by a nonminimal curvature-matter coupling. Phys. Rev. D 2010, 82, 104018. [Google Scholar] [CrossRef]
  47. Hochberg, D.; Visser, M. Null Energy Condition in Dynamic Wormholes. Phys. Rev. Lett. 1998, 81, 786. [Google Scholar] [CrossRef]
  48. Rahaman, F.; Kalam, M.; Rahman, K.A. Conical thin shell wormhole from global monopole: A theoretical construction. Acta Phys. Pol. B 2009, 40, 1575–1590. [Google Scholar]
  49. Rahaman, F.; Kalam, M.; Rahman, K.A. Wormhole Geometry from Real Feasible Matter Sources. Int. J. Theor. Phys. 2009, 48, 471–475. [Google Scholar] [CrossRef]
  50. Sharif, M.; Saba, S. Gravitational Decoupled Anisotropic Solutions in f(G) Gravity. Eur. Phys. J. C 2018, 78, 921. [Google Scholar] [CrossRef]
  51. Lemos, J.P.S.; Lobo, F.S.N.; Quinet de Oliveira, S. Morris-Thorne wormholes with a cosmological constant. Phys. Rev. D 2003, 68, 064004. [Google Scholar] [CrossRef]
  52. Bouhmadi-Lopez, M.; Lobo, F.S.N.; Martin-Moruno, P. Wormholes minimally violating the null energy condition. JCAP 2014, 11, 7. [Google Scholar] [CrossRef]
  53. Nandi, K.K.; Bhattacharjee, B.; Alam, S.M.K.; Evans, J. Brans-Dicke wormholes in tha Jordan and Einstein frames. Phys. Rev. D 1998, 57, 823. [Google Scholar] [CrossRef]
  54. Husain, V.; Winkler, O. Singularity resolution in quantum gravity. Phys. Rev. D 2004, 69, 084016. [Google Scholar] [CrossRef]
  55. Kuntz, I.; Casadio, R. Singularity avoidance in quantum gravity. Phys. Lett. B 2020, 802, 135219. [Google Scholar] [CrossRef]
  56. Rund, H. The Differential Geometry of Finsler Spaces; Springer: Berlin, Germany, 1959; Volume 101. [Google Scholar]
  57. Vacaru, S.I. Nonholonomic Ricci Flows, Exact Solutions in Gravity, and Symmetric and Nonsymmetric Metrics. Int. J. Theor. Phys. 2009, 48, 579–606. [Google Scholar] [CrossRef]
  58. Vacaru, S.I. The entropy of Lagrange-Finsler spaces and Ricci flows. Rep. Math. Phys. 2009, 63, 95–110. [Google Scholar] [CrossRef]
  59. Gonzalez, J.A.; Guzman, F.S.; Sarbach, O. Instability of wormholes supported by a ghost scalar field. II. Nonlinear evolution. Class. Quantum Gravity 2009, 26, 015011. [Google Scholar] [CrossRef]
Figure 1. Characteristic graphs of the shape function ( b ( r ) ) described by Model 1, for A = 1 , n = 4 . .
Figure 1. Characteristic graphs of the shape function ( b ( r ) ) described by Model 1, for A = 1 , n = 4 . .
Particles 07 00043 g001
Figure 2. Characteristic graphs of the shape function ( b ( r ) ) described by Model 2 (case I), for the values b 0 = 1 and ω = 10 .
Figure 2. Characteristic graphs of the shape function ( b ( r ) ) described by Model 2 (case I), for the values b 0 = 1 and ω = 10 .
Particles 07 00043 g002
Figure 3. (a) Violation of the NEC, ρ + p r 0 , for b 0 = 1 , and λ = 12 . (b) Validity region of the NEC, ρ + p t 0 , for b 0 = 1 , and λ = 12 .
Figure 3. (a) Violation of the NEC, ρ + p r 0 , for b 0 = 1 , and λ = 12 . (b) Validity region of the NEC, ρ + p t 0 , for b 0 = 1 , and λ = 12 .
Particles 07 00043 g003
Figure 4. (a) Validity region of the DEC, ρ | p r | , for b 0 = 1 , and λ = 12 . (b) Validity region of the DEC, ρ | p t | , for b 0 = 1 , and λ = 12 .
Figure 4. (a) Validity region of the DEC, ρ | p r | , for b 0 = 1 , and λ = 12 . (b) Validity region of the DEC, ρ | p t | , for b 0 = 1 , and λ = 12 .
Particles 07 00043 g004
Figure 5. Characteristic graphs of the shape function ( b ( r ) ) described by Model 2 (case II), for the values r 0 = 1 , m = 2 , and B = 3 .
Figure 5. Characteristic graphs of the shape function ( b ( r ) ) described by Model 2 (case II), for the values r 0 = 1 , m = 2 , and B = 3 .
Particles 07 00043 g005
Figure 6. Graphs illustrating the anisotropic parameter Δ p = p t p r , for Model 2, (a) for Case 1, with ω = 10 , b 0 = 1 , and λ = 12 , (b) for Case 2, ω = B r m , with B = 3 , m = 2 .
Figure 6. Graphs illustrating the anisotropic parameter Δ p = p t p r , for Model 2, (a) for Case 1, with ω = 10 , b 0 = 1 , and λ = 12 , (b) for Case 2, ω = B r m , with B = 3 , m = 2 .
Particles 07 00043 g006
Figure 7. (a) Validity region of the NEC, ρ + p r 0 , for r 0 = 1 , m = 3 , B = 4 , and λ = 12 . (b) Validity region of the NEC, ρ + p t 0 , for r 0 = 1 , m = 3 , B = 4 , and λ = 12 .
Figure 7. (a) Validity region of the NEC, ρ + p r 0 , for r 0 = 1 , m = 3 , B = 4 , and λ = 12 . (b) Validity region of the NEC, ρ + p t 0 , for r 0 = 1 , m = 3 , B = 4 , and λ = 12 .
Particles 07 00043 g007
Figure 8. (a) Validity region of the DEC, ρ | p r | , (b) Validity region of the DEC, ρ | p t | , for r 0 = 1 , m = 3 , B = 4 and λ = 12 .
Figure 8. (a) Validity region of the DEC, ρ | p r | , (b) Validity region of the DEC, ρ | p t | , for r 0 = 1 , m = 3 , B = 4 and λ = 12 .
Particles 07 00043 g008
Figure 9. Nature of the shape function Equation (43), at r 0 = 1 . .
Figure 9. Nature of the shape function Equation (43), at r 0 = 1 . .
Particles 07 00043 g009
Figure 10. Comparison of polynomial and exponential shape functions with r 0 = 1 .
Figure 10. Comparison of polynomial and exponential shape functions with r 0 = 1 .
Particles 07 00043 g010
Figure 11. (left) Embedded 3-D WH plot for the Polynomial shape function, (right) Embedded 3-D WH plot for the Exponential shape function.
Figure 11. (left) Embedded 3-D WH plot for the Polynomial shape function, (right) Embedded 3-D WH plot for the Exponential shape function.
Particles 07 00043 g011
Table 1. Summary of the results of energy conditions at r 0 = 1 , η 0 ( 0 η 1 ) and r 0 ( 0 r 25 ) for distinct η values for two models.
Table 1. Summary of the results of energy conditions at r 0 = 1 , η 0 ( 0 η 1 ) and r 0 ( 0 r 25 ) for distinct η values for two models.
Energy ConditionsTerms λ = 12
WEC p r 0
p t 0
ρ 0
DEC ρ | p r | 0
ρ | p t | 0
NEC ρ + p r 0
ρ + p t 0
SEC ρ + p r + 2 p t = 0
ρ p r 2 p t 0
Disclaimer/Publisher’s Note: The statements, opinions and data contained in all publications are solely those of the individual author(s) and contributor(s) and not of MDPI and/or the editor(s). MDPI and/or the editor(s) disclaim responsibility for any injury to people or property resulting from any ideas, methods, instructions or products referred to in the content.

Share and Cite

MDPI and ACS Style

Yashwanth, B.R.; Narasimhamurthy, S.K.; Nekouee, Z. Generalized Finslerian Wormhole Models in f(R,T) Gravity. Particles 2024, 7, 747-767. https://doi.org/10.3390/particles7030043

AMA Style

Yashwanth BR, Narasimhamurthy SK, Nekouee Z. Generalized Finslerian Wormhole Models in f(R,T) Gravity. Particles. 2024; 7(3):747-767. https://doi.org/10.3390/particles7030043

Chicago/Turabian Style

Yashwanth, B. R., S. K. Narasimhamurthy, and Z. Nekouee. 2024. "Generalized Finslerian Wormhole Models in f(R,T) Gravity" Particles 7, no. 3: 747-767. https://doi.org/10.3390/particles7030043

APA Style

Yashwanth, B. R., Narasimhamurthy, S. K., & Nekouee, Z. (2024). Generalized Finslerian Wormhole Models in f(R,T) Gravity. Particles, 7(3), 747-767. https://doi.org/10.3390/particles7030043

Article Metrics

Back to TopTop