Comprehensive Examination of the Determinants of Damage to Houses in Two Wildfires in Eastern Australia in 2013
Abstract
:1. Introduction
- (1)
- Preparedness actions. This is management of fuels up to 30 m around the house, commonly referred to as the creation of ‘Defensible Space’ [13];
- (2)
- Responsive actions. These are primarily actions taken to defend the house from attack;
- (3)
- House construction (materials, shape, gaps);
- (4)
- Landscape fuels (i.e., beyond the Defensible Space, >30 m from houses);
- (5)
- Topography;
- (6)
- Weather.
2. Method
The Study Area and Fires
3. Data Sources
4. Analysis
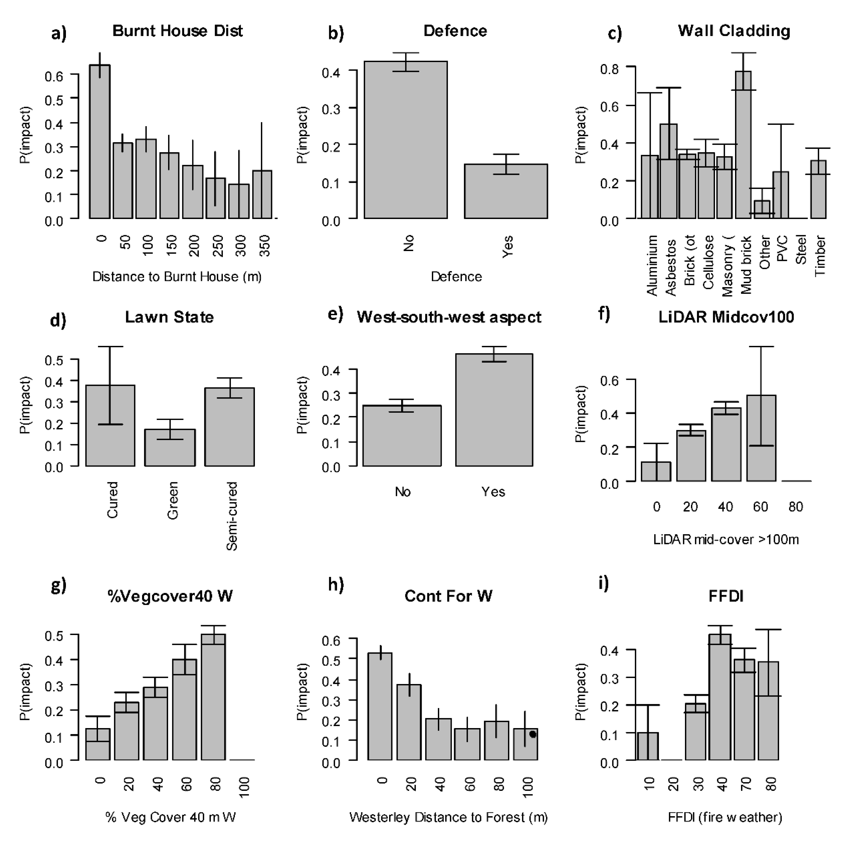
5. Results
6. Discussion
7. Defensive Action
8. Preparedness Actions
9. House Construction
10. Landscape Fuels
11. Topography
12. Weather
13. Other Factors
14. Limitations
- The study did not examine all potential risk factors and we were forced to discard many promising variables because of small sample size or potential bias. These included factors such as the presence of doormats or open windows and fuel loads further than 100 m from the house. This is why we focused on themes rather than the specific variables identified in the study.
- There is some uncertainty as to whether defended houses were attended by firefighters or residents because the criteria we used to discriminate relied largely on subjective ‘signs’ or the memories of interviewees who were present at only a small proportion of the houses. However, our estimates were corroborated by the Incident Reporting system that indicated a small contingent of firefighters were active in the Linksview Fire. It would be possible to be more definitive about what defence was carried out at each house and by whom by interviewing a larger number of householders and firefighters in the weeks after a fire (it is too late for this one). However, such a project would require a huge effort to obtain a sample as large as the one used here.
- Although our analysis suggests that structure-to-structure ignition was common, we do not know which houses ignited that way or whether the determinants of impact were different for houses exposed via burning vegetation or other burning houses. Further research on this phenomenon is needed because stemming this ‘contagion’ could dramatically decrease the impact of bushfires [65].
- There is some uncertainty about whether the houses in the sample are truly representative of the exposed houses. The RFS team focussed most of their effort on houses in the centre of the fires, rather than those on the edge. This probably reduces the potential bias, but those on the edge experienced variable and uncertain exposure. The statistical method and our inclusion of weather as a predictor controls for this variation in exposure to some extent.
- Being a statistical approach, this method overlooks risk factors that affected only a small proportion of the houses. For example, the presence of a stack of firewood next to a house is a known risk factor, but if only five houses had such a stack, our method would not identify it as important.
- Our analysis did not differentiate burnt and unburnt features as risk factors. The decision not to do so influences the results. For example, it is likely that knowing whether a tree overhanging the house was burnt would improve the accuracy of the model. However, our aim was to focus on risk factors that could be measured before the fire and so used in a predictive sense. The exception was distance to the nearest burnt house, which we did include because doing so identified an important risk factor.
15. Conclusions
Author Contributions
Funding
Institutional Review Board Statement
Informed Consent Statement
Data Availability Statement
Acknowledgments
Conflicts of Interest
References
- Nauslar, N.J.; Abatzoglou, J.T.; Marsh, P.T. The 2017 North Bay and Southern California Fires: A Case Study. Fire 2018, 1, 18. [Google Scholar] [CrossRef] [Green Version]
- DaCamara, C.; Trigo, R.M.; Pinto, M.M.; Nunes, S.A.; Trigo, I.F. The Tragic Fire Event of 17 June 2017 in Portugal: The Meteorological Perspective; American Geophysical Union: Washington, DC, USA, 2017. [Google Scholar]
- Filkov, A.I.; Ngo, T.; Matthews, S.; Telfer, S.; Penman, T.D. Impact of Australia’s catastrophic 2019/20 bushfire season on communities and environment. Retrospective analysis and current trends. J. Saf. Sci. Resil. 2020, 1, 44–56. [Google Scholar] [CrossRef]
- Syphard, A.D.; Brennan, T.J.; Keeley, J.E. The role of defensible space for residential structure protection during wildfires. Int. J. Wildland Fire 2014, 23, 1165–1175. [Google Scholar] [CrossRef]
- Gibbons, P.; van Bommel, L.; Gill, A.M.; Cary, G.J.; Driscoll, D.A.; Bradstock, R.A.; Knight, E.; Moritz, M.A.; Stephens, S.L.; Lindenmayer, D.B. Land management practices associated with house loss in wildfires. PLoS ONE 2012, 7, e29212. [Google Scholar] [CrossRef]
- Ramsay, G.C.; McArthur, N.A.; Dowling, V.P. Preliminary Results from an Examination of House Survival in the 16 February 1983 Bushfires in Australia. Fire Mater. 1987, 111, 49–51. [Google Scholar] [CrossRef]
- Price, O.F.; Bradstock, R. Landscape scale influences of forest area and housing density on house loss in the 2009 Victorian bushfires. PLoS ONE 2013, 8, e73421. [Google Scholar] [CrossRef] [PubMed] [Green Version]
- Cole, R.E. A Survey of the Effects of the Hobart Fire of 1967 and the Blue Mountains of 1968; Experimental Building Station, Department of Housing and Construction: Chatswood, Australia, 1983. [Google Scholar]
- Whittaker, J.; Haynes, K.; Handmer, J.; McLennan, J. Community safety during the 2009 Australian ‘Black Saturday’ bushfires: An analysis of household preparedness and response. Int. J. Wildland Fire 2013, 22, 841–849. [Google Scholar] [CrossRef] [Green Version]
- Leonard, J.; Blanchi, R.; Lipkin, F.; Newnham, G.; Siggins, A.; Opie, K.; Culvenor, D.; Cechet, B.; Corby, N.; Thomas, C.; et al. Building and Land-Use Planning Research after the 7th February Victorian Bushfires: Preliminary Findings; CSIRO and Bushfires CRC: Melbourne, Australia, 2009. [Google Scholar]
- Brillinger, D.R.; Autrey, B.S.; Cattaneo, M.D. Probabilistic risk modeling at the wildland urban interface: The 2003 Cedar Fire. Environmetrics 2009, 20, 607–620. [Google Scholar] [CrossRef] [Green Version]
- Cohen, J.D. Relating flame radiation to home ignition using modeling and experimental crown fires. Can. J. For. Res. Rev. Can. Rech. For. 2004, 34, 1616–1626. [Google Scholar] [CrossRef]
- Cohen, J.D. Preventing disaster—Home ignitability in the wildland-urban interface. J. For. 2000, 98, 15–21. [Google Scholar]
- Alexandre, P.M.; Stewart, S.I.; Keuler, N.S.; Clayton, M.K.; Mockrin, M.H.; Bar-Massada, A.; Syphard, A.D.; Radeloff, V.C. Factors related to building loss due to wildfires in the conterminous United States. Ecol. Appl. 2016, 26, 2323–2338. [Google Scholar] [CrossRef] [PubMed]
- RFS. Planning for Bushfire Protection; Rural Fire Service of New South Wales: Sydney, Australia, 2006. [Google Scholar]
- Clarke, H.; Lucas, C.; Smith, P. Changes in Australian fire weather between 1973 and 2010. Int. J. Climatol. 2013, 33, 931–944. [Google Scholar] [CrossRef]
- Gill, A.M.; Stephens, S.L. Scientific and social challenges for the management of fire-prone wildland-urban interfaces. Environ. Res. Lett. 2009, 4, 034014. [Google Scholar] [CrossRef]
- Cohen, J.D.; Butler, B.W. Modeling potential structure ignitions from flame radiation exposure with implications for wildland/urban interface fire management. In Proceedings of the 13th Fire and Forest Meteorology Conference, Lawne, Australia, 27–31 October 1998; pp. 81–86. [Google Scholar]
- Alexandre, P.M.; Stewart, S.I.; Mockrin, M.H.; Keuler, N.S.; Syphard, A.D.; Bar-Massada, A.; Clayton, M.K.; Radeloff, V.C. The relative impacts of vegetation, topography and spatial arrangement on building loss to wildfires in case studies of California and Colorado. Landsc. Ecol. 2016, 31, 415–430. [Google Scholar] [CrossRef]
- Syphard, A.D.; Brennan, T.J.; Keeley, J.E. The importance of building construction materials relative to other factors affecting structure survival during wildfire. Int. J. Disaster Risk Reduct. 2017, 21, 140–147. [Google Scholar] [CrossRef]
- Wilson, A.A.G.; Ferguson, I.S. Predicting the probability of house survival during bushfires. J. Environ. Manag. 1986, 23, 259–270. [Google Scholar]
- Maranghides, A.; McNamara, D.; Mell, W.; Trook, J.; Toman, B. A Case Study of a Community Affected by the Witch and Guejito Fires: Report #2—Evaluating the Effects of Hazard Mitigation Actions on Structure Ignitions; NIST Technical Note 1796; NIST: Gaithersburg, MA, USA, 2003. [Google Scholar]
- Blanchi, R.; Leonard, J. Property Safety: Judging Structural Safety. In Community Bushfire Safety; Handmer, J., Haynes, K., Eds.; Bushfire Co-Operative Research Centre: Melbourne, Australia, 2008; pp. 77–85. [Google Scholar]
- Haynes, K. Australian bushfire fatalities 1900-2008: Exploring trends in relation to the ’Prepare, stay and defend or leave early’ policy. Environ. Sci. Policy 2010, 13, 185–194. [Google Scholar] [CrossRef]
- McFarlane, B.L.; McGee, T.K.; Faulkner, H. Complexity of Homeowner Wildfire Risk Mitigation: An Integration of Hazard Theories. Int. J. Wildland Fire 2011, 20, 921–931. [Google Scholar] [CrossRef] [Green Version]
- McCaffrey, S.M.; Rhodes, A. Public Response to Wildfire: Is the Australian “Stay and Defend or Leave Early” Approach an Option for Wildfire Management in the United States? J. For. 2009, 107, 9–15. [Google Scholar]
- Moritz, M.A. Learning to coexist with wildfire. Nature 2014, 515, 58–66. [Google Scholar] [CrossRef]
- Whittaker, J. Ten years after the Black Saturday fires, what have we learnt from post-fire research with communities? Aust. J. Emerg. Manag. 2019, 34, 32–37. [Google Scholar]
- Ramsay, G.C.; McArthur, N.A.; Dowling, V.P. Building in a Fire-Prone Environment: Research on Building Survival in Two Major Bushfires. Proc. Linnean Soc. N. S. W. 1996, 116, 133–140. [Google Scholar]
- Leonard, J.E.; McArthur, N.A. A History of Research into Building Performance in Australian Bushfires. In Australian Bushfire Conference; School of Environment and Information Sciences, Charles Sturt University: Albury, Australia, 1999. [Google Scholar]
- Chen, K.P.; McAneney, J. Quantifying bushfire penetration into urban areas in Australia. Geophys. Res. Lett. 2004, 31, 12. [Google Scholar] [CrossRef]
- Syphard, A.D.; Keeley, J.E.; Brennan, T.J. Comparing the role of fuel breaks across southern California national forests. For. Ecol. Manag. 2011, 261, 2038–2048. [Google Scholar] [CrossRef]
- Penman, T.D. Prescribed burning: How can it work to conserve the things we value? Int. J. Wildland Fire 2011, 20, 721–733. [Google Scholar] [CrossRef]
- Maranghides, A.; Mell, W. A Case Study of a Community Affected by the Witch and Guejito Fires; NIST Technical Note 1635; NIST: Gaithersburg, MA, USA, 2009. [Google Scholar]
- Harris, S. The Relationship Between Fire Behaviour Measures and Community Loss: An Exploratory Analysis for Developing a Bushfire Severity Scale. Nat. Hazards 2012, 63, 391–415. [Google Scholar] [CrossRef] [Green Version]
- Price, O.F.; Bradstock, R. The Efficacy of Fuel Treatment in Mitigating Property Loss During Wildfires: Insights from Analysis of the Severity of the Catastrophic Fires in 2009 in Victoria, Australia. J. Environ. Manag. 2012, 113, 146–157. [Google Scholar] [CrossRef]
- Blanchi, R. Meteorological conditions and wildfire-related house loss in Australia. Int. J. Wildland Fire 2010, 19, 914–926. [Google Scholar] [CrossRef] [Green Version]
- McArthur, A.G. Fire Behaviour in Eucalypt Forests; Forestry and Timber Bureau: Canberra, Australia, 1967; p. 36. [Google Scholar]
- Rothermel, R.C. A Mathematical Model for Predicting Fire Spread in Wildland Fuels; USDA Forest Service: Washington, DC, USA, 1972; p. 40. [Google Scholar]
- Bradstock, R.A. Effects of Weather, Fuel and Terrain on Fire Severity in Topographically Diverse Landscapes of South-Eastern Australia. Landsc. Ecol. 2010, 25, 607–619. [Google Scholar] [CrossRef]
- Noble, I.R.; Bary, G.A.V.; Gill, A.M. McArthur’s fire-danger meters expressed as equations. Austral. J. Ecol. 1980, 5, 201–203. [Google Scholar] [CrossRef]
- Van Wagner, C.E. The Development and Structure of the Canadian Forest Fire Weather Index System; Canadian Forest Service: Ottowa, ON, Canada, 1987. [Google Scholar]
- Moritz, M.A. Spatial variation in extreme winds predicts large wildfire locations in chaparral ecosystems. Geophys. Res. Lett. 2010, 37, L04801. [Google Scholar] [CrossRef] [Green Version]
- Price, O.F. An empirical wildfire risk analysis: The probability of a fire spreading to the urban interface in Sydney, Australia. Int. J. Wildland Fire 2015, 24, 597–606. [Google Scholar] [CrossRef] [Green Version]
- Storey, M.; Price, O.; Tasker, E. The role of weather, past fire and topography on crown fire occurrence across NSW. Int. J. Wildland Fire 2016, 25, 1048–1060. [Google Scholar] [CrossRef]
- Ellis, S.; Kanowski, P.; Whelan, R. National Inquiry on Bushfire Mitigation and Management; Council of Australian Governments (COAG): Canberra, Australia, 2004; p. 415. [Google Scholar]
- Wright, L. Community Understanding and Awareness of Bushfire Safety: October 2013 Bushfires; Bushfire Cooperative Research Centre: Melbourne, Australia, 2014; p. 10. [Google Scholar]
- Keith, D.A. Ocean Shores to Desert Dunes: The Native Vegetation of New South Wales and the ACT; Department of Environment and Conservation: Hurstville, Australia, 2004. [Google Scholar]
- McCaw, W.L.; Gould, J.S.; Cheney, N.P. Quantifying the effectiveness of fuel management in modifying wildfire behaviour. In Fire, Environment and Society: From Research to Practice: 15th AFAC Conference; Australian Fire and Emergency Services Authorities Council: Adelaide, Australia, 2008. [Google Scholar]
- Price, O.F.; Gordon, C.E. The potential for LiDAR technology to map fire fuel hazard over large areas of forest. J. Environ. Manag. 2016, 181, 663–673. [Google Scholar] [CrossRef]
- Ching, S.E.; Fawcett, R.J.B.; Kepert, J.D. Modelling the fire weather of the Blue Mountains fires, October 2013. In Proceedings of the CAWCR 9th Annual Workshop, Melbourne, Australia, 19–22 October 2014. [Google Scholar]
- McNamara, D.; Mell, W.; Maranghides, A. Object-based post-fire aerial image classification for building damage, destruction and defensive actions at the 2012 Colorado Waldo Canyon Fire. Int. J. Wildland Fire 2020, 29, 174–189. [Google Scholar] [CrossRef]
- Breiman, L. Random forests. Mach. Learn. 2001, 45, 5–32. [Google Scholar] [CrossRef] [Green Version]
- Kokla, M. Random forest-based imputation outperforms other methods for imputing LC-MS metabolomics data: A comparative study. BMC Bioinform. 2019, 20, 1. [Google Scholar] [CrossRef] [Green Version]
- Hothorn, T.; Hornik, K.; Zeileis, A. Unbiased Recursive Partitioning: A Conditional Inference Framework. J. Comput. Graph. Stat. 2006, 15, 651–674. [Google Scholar] [CrossRef] [Green Version]
- Hothorn, T. Survival Ensembles. Biostatistics 2006, 7, 355–373. [Google Scholar] [CrossRef] [PubMed]
- Victorian 2009 Bushfire Research Response: Final Report; Bushfire CRC: Melbourne, Australia, 2009; p. 400.
- Teague, B.; Mcleod, R.; Pascoe, S. 2009 Victorian Bushfires Royal Commission Final Report; Parliament of Victoria: Melbourne, Australia, 2010. [Google Scholar]
- Blanchi, R. Environmental circumstances surrounding bushfire fatalities in Australia 1901–2011. Environ. Sc. Policy 2014, 37, 192–203. [Google Scholar] [CrossRef] [Green Version]
- Gibbons, P. Options for reducing house-losses during wildfires without clearing trees and shrubs. Landsc. Urban Plan. 2018, 174, 10–17. [Google Scholar] [CrossRef]
- Bhandary, U.; Muller, B. Land use planning and wildfire risk mitigation: An analysis of wildfire-burned subdivisions using high-resolution remote sensing imagery and GIS data. J. Environ. Plan. Manag. 2009, 52, 939–955. [Google Scholar] [CrossRef]
- Newnham, G. Bushfire Decision Support Toolbox Radiant Heat Flux Modelling: Case Study Three; CSIRO Climate Adaptation Flagship: Springwood Fire, Australia, 2014; p. 35. [Google Scholar]
- Lydersen, J.M.; North, M.P.; Collins, B.M. Severity of an uncharacteristically large wildfire, the Rim Fire, in forests with relatively restored frequent fire regimes. For. Ecol. Manag. 2014, 328, 326–334. [Google Scholar] [CrossRef] [Green Version]
- Penman, T.D. Defining adequate means of wildfire preparation for property protection. Int. J. Disaster Risk Reduct. 2013, 6, 67–77. [Google Scholar] [CrossRef]
- Maranghides, A. A Case Study of a Community Affected by the Waldo Fire—Event Timeline and Defensive Actions; NIST Technical Note 1910; NIST: Gaithersburg, MA, USA, 2015; p. 227. [Google Scholar]





| Variable (and Source) | Description | Theme | % Deviance | Sample Size |
|---|---|---|---|---|
| Building Survey | ||||
| Base Supp | Most vulnerable support type? | CON | 4.00 | 181 |
| Cladding | What is the most vulnerable wall cladding material type? | CON | 3.63 | 540 |
| Deck Type | What was the decking board type? | CON | 4.36 | 110 |
| Deck Flamm | Does the deck including its support system contain any combustible elements? | CON | 2.40 | 134 |
| Deck Mater | What is the decking material? | CON | 0.05 | 95 |
| Sub Ht | Enclosure height above ground at highest point (cm)? | CON | 2.85 | 107 |
| Roof Mater | What is the roof material? | CON | 0.63 | 540 |
| Deck Roof | Does the deck have a roof? | CON | 0.10 | 540 |
| Base Type | Structure base type? | CON | 0.29 | 540 |
| House Fram | What was the house framing material? | CON | 0.45 | 424 |
| Roof Profile | What is the roof profile? | CON | 0.25 | 488 |
| Storeys | Number of functional levels? | CON | 0.37 | 540 |
| Timb Wind | Number of timber framed windows | CON | 0.26 | 295 |
| Gap Size | How big is the gap between the house base and enclosure? | CON | 0.12 | 85 |
| Carport | Is there a carport under the common roof? | CON | 0.07 | 540 |
| Base Encl | Is the subfloor enclosed on all side? | CON | 0.42 | 181 |
| Window Ht | What is the distance between the bottom of the window and ground? | CON | 0.06 | 289 |
| Garage | Is there a garage under the common roof? | CON | 0.01 | 540 |
| Lawn State | What was the state of the grass? | PREP | 4.05 | 179 |
| Carport Co | Were there combustibles in the carport? | PREP | 4.18 | 63 |
| Maint Lev | What was the overall maintenance level? | PREP | 3.59 | 540 |
| Grass Ht | What was the height of the grass (cm)? | PREP | 0.20 | 179 |
| Nrblddist | Distance to the nearest outbuilding (shed or garage) | PREP | 1.35 | 540 |
| Vegoverhan | Was there overhanging foliage? | PREP | 1.03 | 540 |
| Tree Bark | What type of bark does the tree have? | PREP | 0.76 | 124 |
| Gas Bottle | Is there a gas bottle? | PREP | 21.78 | 69 |
| Shed Combu | Were there other combustibles inside the structure? | PREP | 0.69 | 263 |
| Fence Mtrl | What is the object material? | PREP | 1.33 | 236 |
| Mulch Dpth | What was the depth of mulch (cm)? | PREP | 0.41 | 95 |
| Nrtre Dist | Distance to the nearest tree? | PREP | 0.46 | 540 |
| Fencedist | Distance to the nearest fence? | PREP | 0.70 | 540 |
| Nrshr Dist | Distance to the nearest shrub? | PREP | 0.23 | 540 |
| Veg Type | What type of vegetation? | PREP | 0.07 | 350 |
| Branch Ht | Height of lowest branch? | PREP | 0.00 | 167 |
| Tree Type | What type of tree is it? | PREP | 0.09 | 186 |
| Fence Ht | What is the height of the fence or wall (m)? | PREP | 0.01 | 540 |
| Vegtouchin | Was there foliage against the house? | PREP | 0.00 | 540 |
| Fence Open | What is the percentage of openings? | PREP | 0.08 | 130 |
| Defence | Was the house defended? | RESP | 6.22 | 540 |
| Burnhs_Dis | Distance to nearest burnt house? | RESP | 3.14 | 414 |
| Water Used | Was the tank or pool relied upon for structure defence? | RESP | 4.12 | 208 |
| Leave | When did the residents leave? | RESP | 8.82 | 44 |
| Water Type | What Type of Tank or pool was it? | RESP | 0.99 | 208 |
| Crew Supp | Did firefighters attend the house? | RESP | 1.68 | 507 |
| Person Day | Was somebody present on the day of the fire? | RESP | 0.40 | 55 |
| Crew Access | Is it easily accessibility for fire trucks? | RESP | 0.64 | 540 |
| Tankcapaci | What was the tank capacity? | RESP | 0.01 | 208 |
| LiDAR | ||||
| Midcov_Over | LiDAR cover 4–8 m height overhanging the house | PREP | 1.56 | 414 |
| Upcov_Over | LiDAR cover > m height overhanging the house | PREP | 0.00 | 414 |
| Nearcov2 | LiDAR cover up to 50 cm height within 2 m of house | PREP | 1.90 | 414 |
| Elcov2 | LiDAR cover 0.5–4 m height within 2 m of house | PREP | 2.49 | 414 |
| Midcov2 | LiDAR cover 4-8 m height within 2 m of house | PREP | 2.18 | 414 |
| Upov2 | LiDAR cover >8 m height within 2 m of house | PREP | 0.27 | 414 |
| Nearcov10 | LiDAR cover up to 50 cm height 2–10 m of house | PREP | 2.90 | 414 |
| Elcov10 | LiDAR cover 0.5–4 m height 2–10 m of house | PREP | 2.07 | 414 |
| Midcov10 | LiDAR cover 4–8 m height 2–10 m of house | PREP | 5.46 | 414 |
| Upcov10 | LiDAR cover >8 m height 2-10 m of house | PREP | 1.76 | 414 |
| Elcov30 | LiDAR cover 0.5–4 m height 10–30 m of house | PREP | 0.80 | 414 |
| Nearcov30 | LiDAR cover up to 50 cm height 10–30 m of house | PREP | 2.40 | 414 |
| Midcov30 | LiDAR cover 4–8 m height 10–30 m of house | PREP | 3.04 | 414 |
| Upcov30 | LiDAR cover >15 m height 10–30 m of house | PREP | 0.61 | 414 |
| Midcov100 | LiDAR cover up to 50 cm height within 30–100 m of house | LF | 3.18 | 414 |
| Nearcov100 | LiDAR cover up to 50 cm height 30–100 m of house | LF | 3.62 | 414 |
| Elcov100 | LiDAR cover 0.5–4 m height 30–100 m of house | LF | 0.59 | 414 |
| Upcov100 | LiDAR cover 4–8 m height 30–100 m of house | LF | 0.83 | 414 |
| Air Photos | ||||
| Distance To Veg N | Distance from the edge of each house to nearest woody vegetation in North compass quarter | PREP | 1.02 | 540 |
| Distance To Veg E | As above for East compass quarter | PREP | 1.41 | 540 |
| Distance To Veg S | As above for South compass quarter | PREP | 1.43 | 540 |
| Distance To Veg W | As above for West compass quarter | PREP | 1.02 | 540 |
| % Vegcover10 N | Visual estimate of % woody vegetation (tree and shrub) within North compass quarter with radius (10 m) from the centroid of each house | PREP | 1.74 | 540 |
| % Vegcover10 E | As above for East compass quarter | PREP | 2.92 | 540 |
| % Vegcover10 S | As above for South compass quarter | PREP | 1.16 | 540 |
| % Vegcover10 W | As above for West compass quarter | PREP | 3.69 | 540 |
| % Vegcover40 N | Visual estimate of % woody vegetation (tree and shrub) within North compass quarter with radius (10 m) from the centroid of each house | PREP | 1.48 | 540 |
| % Vegcover40 E | As above for East compass quarter | PREP | 0.35 | 540 |
| % Vegcover40 S | As above for South compass quarter | PREP | 4.19 | 540 |
| % Vegcover40 W | As above for West compass quarter | PREP | 5.27 | 540 |
| Cont For N | Distance from each house to nearest contiguous forest (from mapped source, Keith 2004) | PREP | 4.14 | 540 |
| Cont For E | As above for East compass quarter | PREP | 0.60 | 540 |
| Cont For S | As above for South compass quarter | PREP | 1.80 | 540 |
| Cont For W | As above for West compass quarter | PREP | 6.17 | 540 |
| Topography | ||||
| Slope | Slope in degrees for a point 15 m west of house | TOPO | 2.17 | 540 |
| West-South-West | Was the aspect in the west-south-west quadrant | TOPO | 3.72 | 540 |
| Weather | ||||
| Ffdi | Forest Fire Danger Index (Penrith Station half hourly) | WEATH | 0.00 | 539 |
| Windspeed | Wind speed (km/h) at Penrith (half hourly) | WEATH | 0.47 | 539 |
Publisher’s Note: MDPI stays neutral with regard to jurisdictional claims in published maps and institutional affiliations. |
© 2021 by the authors. Licensee MDPI, Basel, Switzerland. This article is an open access article distributed under the terms and conditions of the Creative Commons Attribution (CC BY) license (https://creativecommons.org/licenses/by/4.0/).
Share and Cite
Price, O.F.; Whittaker, J.; Gibbons, P.; Bradstock, R. Comprehensive Examination of the Determinants of Damage to Houses in Two Wildfires in Eastern Australia in 2013. Fire 2021, 4, 44. https://doi.org/10.3390/fire4030044
Price OF, Whittaker J, Gibbons P, Bradstock R. Comprehensive Examination of the Determinants of Damage to Houses in Two Wildfires in Eastern Australia in 2013. Fire. 2021; 4(3):44. https://doi.org/10.3390/fire4030044
Chicago/Turabian StylePrice, Owen F., Joshua Whittaker, Philip Gibbons, and Ross Bradstock. 2021. "Comprehensive Examination of the Determinants of Damage to Houses in Two Wildfires in Eastern Australia in 2013" Fire 4, no. 3: 44. https://doi.org/10.3390/fire4030044
APA StylePrice, O. F., Whittaker, J., Gibbons, P., & Bradstock, R. (2021). Comprehensive Examination of the Determinants of Damage to Houses in Two Wildfires in Eastern Australia in 2013. Fire, 4(3), 44. https://doi.org/10.3390/fire4030044
