Identification of Critical Locations for Improvement of Air Quality Developing a Prioritized Clean Air Assessment Tool (PCAT)
Abstract
1. Introduction
2. Methodology
2.1. National Air Quality Index (NAQI)
- = the sub-index value for Pollutant “p” (rounded to the nearest integer).
- = the actual ambient concentration of pollutant “p”.
- = the upper end breakpoint concentration that is greater than or equal to .
- = the lower end breakpoint concentration that is less than or equal to .
- = the sub-index value corresponding to .
- = the sub-index value corresponding to .
2.2. Development of Prioritized Clean Air Assessment Tool (PCAT)
2.2.1. Determination of Weights Using Analytic Hierarchy Process (AHP)
2.2.2. Development of Fuzzy Membership Functions
2.2.3. Aggregation
2.2.4. Defuzzification
3. Results and Discussion
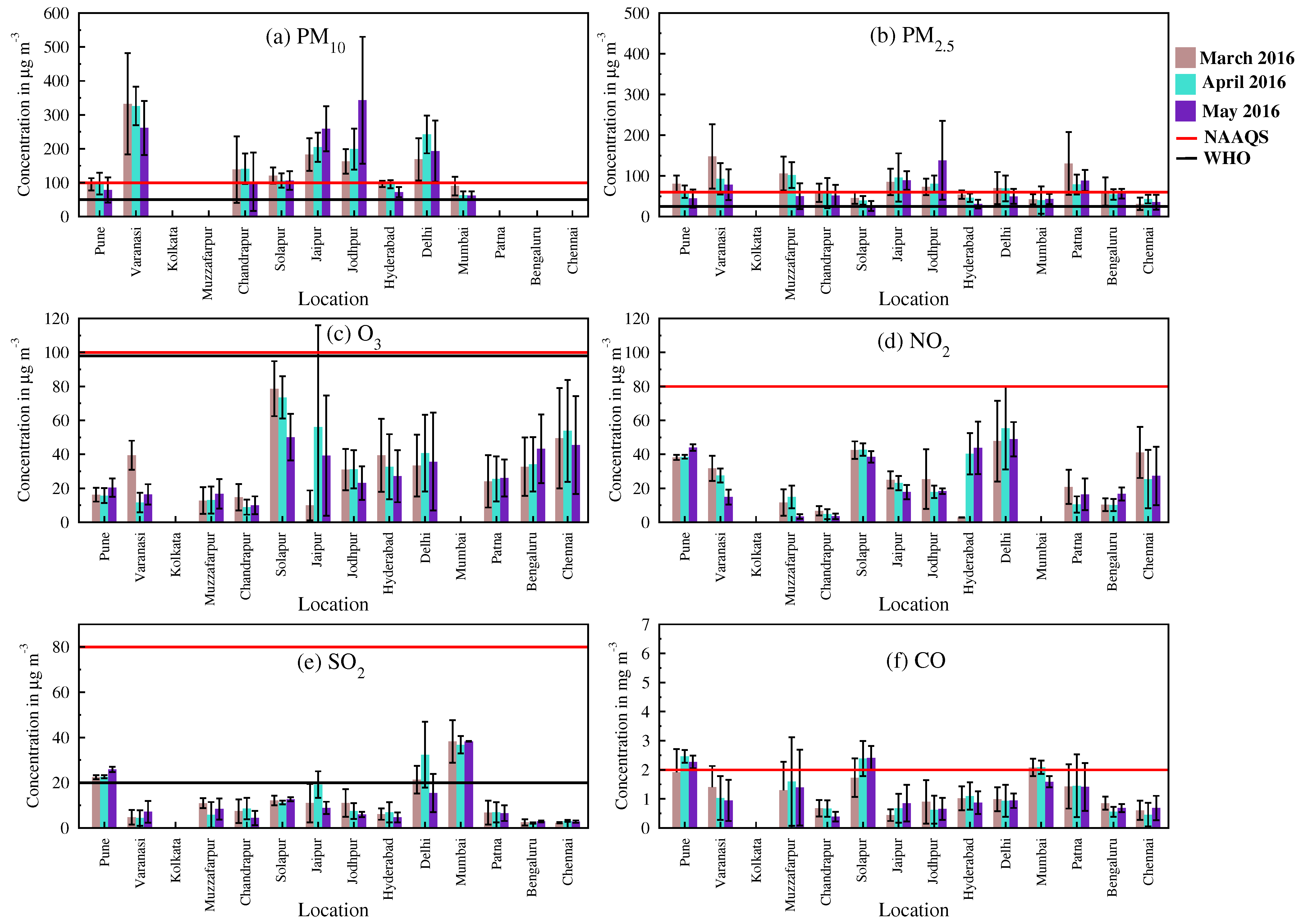
3.1. Concentration of Criteria Pollutants
3.2. Assessment of Prioritized Air Quality Management
4. Conclusions
Supplementary Materials
Author Contributions
Funding
Data Availability Statement
Acknowledgments
Conflicts of Interest
References
- USEPA. Criteria Air Pollutants. 2015. Available online: https://www.epa.gov/sites/production/files/2015-10/documents/ace3_criteria_air_pollutants.pdf (accessed on 10 August 2022).
- Chakraborty, P.; Gadhavi, H.; Prithiviraj, B.; Mukhopadhyay, M.; Khuman, S.N.; Nakamura, M.; Spak, S.N. Passive Air Sampling of PCDD/Fs, PCBs, PAEs, DEHA, and PAHs from Informal Electronic Waste Recycling and Allied Sectors in Indian Megacities. Environ. Sci. Technol. 2021, 55, 9469–9478. [Google Scholar] [CrossRef] [PubMed]
- Chakraborty, P.; Shappell, N.W.; Mukhopadhyay, M.; Onanong, S.; Rex, K.R.; Snow, D. Surveillance of plasticizers, bisphenol A, steroids and caffeine in surface water of River Ganga and Sundarban wetland along the Bay of Bengal: Occurrence, sources, estrogenicity screening and ecotoxicological risk assessment. Water Res. 2021, 190, 116668. [Google Scholar] [CrossRef] [PubMed]
- National Air Quality Index Report. Central Pollution Control Board, Ministry of Environment, Forest and Climate Change. 2014. Available online: https://app.cpcbccr.com/ccr_docs/FINAL-REPORT_AQI_.pdf (accessed on 5 August 2022).
- Kumar, A.; Goyal, P. Forecasting of air quality in Delhi using principal component regression technique. Atmos. Pollut. Res. 2011, 2, 436–444. [Google Scholar] [CrossRef]
- Kumar, A.; Goyal, P. Forecasting of air quality index in Delhi using neural network based on principal component analysis. Pure Appl. Geophys. 2013, 170, 711–722. [Google Scholar] [CrossRef]
- Abdullah, L.; Khalid, N.D. Classification of air quality using fuzzy synthetic multiplication. Environ. Monit. Assess. 2012, 184, 6957–6965. [Google Scholar] [CrossRef] [PubMed]
- Swamee, P.K.; Tyagi, A. Formation of an air pollution index. J. Air Waste Manag. Assoc. 1999, 49, 88–91. [Google Scholar] [CrossRef]
- Zadeh, L.A. Fuzzy sets. Inf. Control 1965, 8, 338–353. [Google Scholar] [CrossRef]
- Gorai, A.K.; Upadhyay, A.; Tuluri, F.; Goyal, P.; Tchounwou, P.B. An innovative approach for determination of air quality health index. Sci. Total. Environ. 2015, 533, 495–505. [Google Scholar] [CrossRef]
- Upadhyay, A.; Kanchan, P.G.; Yerramilli, A.; Gorai, A.K. Development of fuzzy pattern recognition model for air quality assessment of Howrah city. Aerosol Air Qual. Res 2014, 14, 1639–1652. [Google Scholar] [CrossRef]
- Onkal-Engin, G.; Demir, I.; Hiz, H. Assessment of urban air quality in Istanbul using fuzzy synthetic evaluation. Atmos. Environ. 2004, 38, 3809–3815. [Google Scholar] [CrossRef]
- Yang, Z.; Wang, J. A new air quality monitoring and early warning system: Air quality assessment and air pollutant concentration prediction. Environ. Res. 2017, 158, 105–117. [Google Scholar] [CrossRef]
- Sowlat, M.H.; Gharibi, H.; Yunesian, M.; Mahmoudi, M.T.; Lotfi, S. A novel, fuzzy-based air quality index (FAQI) for air quality assessment. Atmos. Environ. 2011, 45, 2050–2059. [Google Scholar] [CrossRef]
- Jain, S.; Sharma, S.K.; Srivastava, M.K.; Chatterjee, A.; Vijayan, N.; Tripathy, S.S.; Kumari, K.M.; Mandal, T.K.; Sharma, C. Chemical characterization, source apportionment and transport pathways of PM2.5 and PM10 over Indo Gangetic Plain of India. Urban Clim. 2021, 36, 100805. [Google Scholar] [CrossRef]
- Murari, V.; Singh, N.; Ranjan, R.; Singh, R.; Banerjee, T. Source apportionment and health risk assessment of airborne particulates over central Indo-Gangetic Plain. Chemosphere 2020, 257, 127145. [Google Scholar] [CrossRef] [PubMed]
- Yadav, R.; Korhale, N.; Anand, V.; Rathod, A.; Bano, S.; Shinde, R.; Latha, R.; Sahu, S.; Murthy, B.; Beig, G. COVID-19 lockdown and air quality of SAFAR-India metro cities. Urban Clim. 2020, 34, 100729. [Google Scholar] [CrossRef]
- Daellenbach, K.R.; Uzu, G.; Jiang, J.; Cassagnes, L.E.; Leni, Z.; Vlachou, A.; Stefenelli, G.; Canonaco, F.; Weber, S.; Segers, A.; et al. Sources of particulate-matter air pollution and its oxidative potential in Europe. Nature 2020, 587, 414–419. [Google Scholar] [CrossRef]
- WHO. WHO Global Urban Ambient Air Pollution Database. 2016. Available online: https://www.who.int/data/gho/data/themes/air-pollution/who-air-quality-database (accessed on 5 August 2022).
- Ostro, B.; Feng, W.Y.; Broadwin, R.; Green, S.; Lipsett, M. The effects of components of fine particulate air pollution on mortality in California: Results from CALFINE. Environ. Health Perspect. 2007, 115, 13–19. [Google Scholar] [CrossRef]
- Xue, X.; Chen, J.; Sun, B.; Zhou, B.; Li, X. Temporal trends in respiratory mortality and short-term effects of air pollutants in Shenyang, China. Environ. Sci. Pollut. Res. 2018, 25, 11468–11479. [Google Scholar] [CrossRef] [PubMed]
- Harrison, R.M.; Yin, J. Particulate matter in the atmosphere: Which particle properties are important for its effects on health? Sci. Total. Environ. 2000, 249, 85–101. [Google Scholar] [CrossRef]
- Fisher, B.E. Fuzzy approaches to environmental decisions: Application to air quality. Environ. Sci. Policy 2006, 9, 22–31. [Google Scholar] [CrossRef]
- Saaty, T.L. Decision making with the analytic hierarchy process. Int. J. Serv. Sci. 2008, 1, 83–98. [Google Scholar] [CrossRef]
- Lippmann, M. Health effects of tropospheric ozone. Environ. Sci. Technol. 1991, 25, 1954–1962. [Google Scholar] [CrossRef]
- Beck, J.; Krzyzanowski, M.; Koffi, B. Tropospheric Ozone in EU—The Consolidated Report; EEA Topic Report; EEA: Copenhagen, Denmark, 1998; Chapter 6. [Google Scholar]
- Rombout, P.J.; Lioy, P.J.; Goldstein, B.D. Rationale for an eight-hour ozone standard. J. Air Pollut. Control. Assoc. 1986, 36, 913–917. [Google Scholar] [CrossRef]
- Burnett, R.T.; Stieb, D.; Brook, J.R.; Cakmak, S.; Dales, R.; Raizenne, M.; Vincent, R.; Dann, T. Associations between short-term changes in nitrogen dioxide and mortality in Canadian cities. Arch. Environ. Health Int. J. 2004, 59, 228–236. [Google Scholar] [CrossRef]
- WHO. Air Quality Guidelines: Global Update 2005: Particulate Matter, Ozone, Nitrogen Dioxide and Sulfur Dioxide; World Health Organization: Geneva, Switzerland, 2005. [Google Scholar]
- Castillejos, M.; Borja-Aburto, V.H.; Dockery, D.W.; Gold, D.R.; Loomis, D. Airborne coarse particles and mortality. Inhal. Toxicol. 2000, 12, 61–72. [Google Scholar] [CrossRef]
- Sharma, M.; Kumar, V.N.; Katiyar, S.K.; Sharma, R.; Shukla, B.P.; Sengupta, B. Effects of particulate air pollution on the respiratory health of subjects who live in three areas in Kanpur, India. Arch. Environ. Health Int. J. 2004, 59, 348–358. [Google Scholar] [CrossRef]
- WHO. Air Quality Guidelines for Europe; World Health Organization: Geneva, Switzerland, 2000. [Google Scholar]
- Saaty, T.L. The analytic hierarchy and analytic network processes for the measurement of intangible criteria and for decision-making. In Multiple Criteria Decision Analysis: State of the Art Surveys; Springer: Berlin, Germany, 2005; pp. 345–405. [Google Scholar]
- Lu, R.S.; Lo, S.L.; Hu, J.Y. Analysis of reservoir water quality using fuzzy synthetic evaluation. Stoch. Environ. Res. Risk Assess. 1999, 13, 327–336. [Google Scholar] [CrossRef]
- Sadiq, R.; Rodriguez, M.J. Fuzzy synthetic evaluation of disinfection by-products—A risk-based indexing system. J. Environ. Manag. 2004, 73, 1–13. [Google Scholar] [CrossRef]
- Silvert, W. Fuzzy indices of environmental conditions. Ecol. Model. 2000, 130, 111–119. [Google Scholar] [CrossRef]
- CPCB. Delhi Ambient Air Quality Standards, India. 2009. Available online: https://cpcb.nic.in/uploads/National_Ambient_Air_Quality_Standards.pdf (accessed on 5 August 2022).
- Krzyzanowski, M.; Cohen, A. Update of WHO air quality guidelines. Air Qual. Atmos. Health 2008, 1, 7–13. [Google Scholar] [CrossRef]
- Singh, V.; Singh, S.; Biswal, A. Exceedances and trends of particulate matter (PM2.5) in five Indian megacities. Sci. Total. Environ. 2021, 750, 141461. [Google Scholar] [CrossRef]
- Gupta, A.; Karar, K.; Ayoob, S.; John, K. Spatio-temporal characteristics of gaseous and particulate pollutants in an urban region of Kolkata, India. Atmos. Res. 2008, 87, 103–115. [Google Scholar] [CrossRef]
- Tiwari, S.; Rai, R.; Agrawal, M. Annual and seasonal variations in tropospheric ozone concentrations around Varanasi. Int. J. Remote Sens. 2008, 29, 4499–4514. [Google Scholar] [CrossRef]
- Tiwari, S.; Srivastava, A.; Bisht, D.; Parmita, P.; Srivastava, M.K.; Attri, S. Diurnal and seasonal variations of black carbon and PM2.5 over New Delhi, India: Influence of meteorology. Atmos. Res. 2013, 125, 50–62. [Google Scholar] [CrossRef]
- Pani, S.; Verma, S. Variability of winter and summertime aerosols over eastern India urban environment. Atmos. Res. 2014, 137, 112–124. [Google Scholar] [CrossRef]
- Ghosh, S.; Verma, S.; Kuttippurath, J.; Menut, L. Wintertime direct radiative effects due to black carbon (BC) over the Indo-Gangetic Plain as modelled with new BC emission inventories in CHIMERE. Atmos. Chem. Phys. 2021, 21, 7671–7694. [Google Scholar] [CrossRef]
- Yerramsetti, V.S.; Sharma, A.R.; Navlur, N.G.; Rapolu, V.; Dhulipala, N.C.; Sinha, P. The impact assessment of Diwali fireworks emissions on the air quality of a tropical urban site, Hyderabad, India, during three consecutive years. Environ. Monit. Assess. 2013, 185, 7309–7325. [Google Scholar] [CrossRef]
- Verma, S.; Pani, S.; Kumar, D.B.; Faruqi, A.; Bhanja, S.; Mandal, M.; Priyadharshini, B. Aerosol extinction properties over coastal West Bengal Gangetic plain under inter-seasonal and sea breeze influenced transport processes. Atmos. Res. 2016, 167, 224–236. [Google Scholar] [CrossRef]
- Aneja, V.P.; Agarwal, A.; Roelle, P.A.; Phillips, S.B.; Tong, Q.; Watkins, N.; Yablonsky, R. Measurements and analysis of criteria pollutants in New Delhi, India. Environ. Int. 2001, 27, 35–42. [Google Scholar] [CrossRef]
- Bhowmik, H.S.; Naresh, S.; Bhattu, D.; Rastogi, N.; Prévôt, A.S.; Tripathi, S.N. Temporal and spatial variability of carbonaceous species (EC; OC; WSOC and SOA) in PM2.5 aerosol over five sites of Indo-Gangetic Plain. Atmos. Pollut. Res. 2021, 12, 375–390. [Google Scholar] [CrossRef]
- Jain, S.; Sharma, S.; Vijayan, N.; Mandal, T. Seasonal characteristics of aerosols (PM2.5 and PM10) and their source apportionment using PMF: A four year study over Delhi, India. Environ. Pollut. 2020, 262, 114337. [Google Scholar] [CrossRef] [PubMed]
- Pipal, A.S.; Tiwari, S.; Satsangi, P.G. Seasonal chemical characteristics of atmospheric aerosol particles and its light extinction coefficients over Pune, India. Aerosol Air Qual. Res. 2016, 16, 1805–1819. [Google Scholar] [CrossRef]
- Saaty, T.L. The Analytical Hierarchy Process, Planning, Priority. Resource Allocation; RWS Publications: Pittsburgh, PA, USA, 1980. [Google Scholar]
- Saaty, T.L.; Takizawa, M. Dependence and independence: From linear hierarchies to nonlinear networks. Eur. J. Oper. Res. 1986, 26, 229–237. [Google Scholar] [CrossRef]






| MPI | Category |
|---|---|
| 1–1.5 | Good (G) |
| 1.5–2.5 | Monitoring for mitigation (MM) |
| 2.5–3.5 | Mitigation (M) |
| 3.5–4.5 | Desired mitigation (DM) |
| 4.5–5.5 | Urgent mitigation (UM) |
| 5.5–6 | Very urgent mitigation (VUM) |
| Standard/Guideline | Seasons | Cities Exceeding Permissible NAQI | Cities Needing Mitigation (as Obtained through PCAT) |
|---|---|---|---|
| NAAQS | Winter | All cities except Bengaluru | Delhi and Varanasi |
| Summer | Patna, Delhi, Pune, Chandrapur, Solapur, Jaipur, Jodhpur, Muzaffarpur, and Varanasi | Varanasi | |
| WHO | Winter | All cities except Bengaluru | Pune, Patna, Delhi, Jaipur, Jodhpur and Varanasi |
| Summer | Patna, Delhi, Pune, Chandrapur, Solapur, Jaipur, Jodhpur, Muzaffarpur, and Varanasi | Delhi, Pune, Solapur, Jaipur, Jodhpur and Varanasi |
Disclaimer/Publisher’s Note: The statements, opinions and data contained in all publications are solely those of the individual author(s) and contributor(s) and not of MDPI and/or the editor(s). MDPI and/or the editor(s) disclaim responsibility for any injury to people or property resulting from any ideas, methods, instructions or products referred to in the content. |
© 2023 by the authors. Licensee MDPI, Basel, Switzerland. This article is an open access article distributed under the terms and conditions of the Creative Commons Attribution (CC BY) license (https://creativecommons.org/licenses/by/4.0/).
Share and Cite
Dubey, K.; Verma, S.; Santra, S.; Kumar, M. Identification of Critical Locations for Improvement of Air Quality Developing a Prioritized Clean Air Assessment Tool (PCAT). Urban Sci. 2023, 7, 75. https://doi.org/10.3390/urbansci7030075
Dubey K, Verma S, Santra S, Kumar M. Identification of Critical Locations for Improvement of Air Quality Developing a Prioritized Clean Air Assessment Tool (PCAT). Urban Science. 2023; 7(3):75. https://doi.org/10.3390/urbansci7030075
Chicago/Turabian StyleDubey, Kanishtha, Shubha Verma, Sauvik Santra, and Mukul Kumar. 2023. "Identification of Critical Locations for Improvement of Air Quality Developing a Prioritized Clean Air Assessment Tool (PCAT)" Urban Science 7, no. 3: 75. https://doi.org/10.3390/urbansci7030075
APA StyleDubey, K., Verma, S., Santra, S., & Kumar, M. (2023). Identification of Critical Locations for Improvement of Air Quality Developing a Prioritized Clean Air Assessment Tool (PCAT). Urban Science, 7(3), 75. https://doi.org/10.3390/urbansci7030075

