Energetic and Biomechanical Contributions for Longitudinal Performance in Master Swimmers
Abstract
1. Introduction
2. Materials and Methods
2.1. Subjects
2.2. Study Design
2.3. Performance Data Collection
2.4. Energetic and Biomechanical Data Collection
2.5. Statistical Procedures
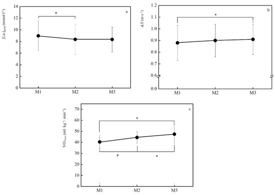
3. Results
4. Discussion
4.1. Performance
4.2. Biomechanics
4.3. Energetics
5. Conclusions
Author Contributions
Funding
Acknowledgments
Conflicts of Interest
References
- Unterweger, C.M.; Knechtle, B.; Nikolaidis, P.T.; Rosemann, T.; Rüst, C.A. Increased participation and improved performance in age group backstroke master swimmers from 25–29 to 100–104 years at the FINA World Masters Championships from 1986 to 2014. Springerplus 2016, 5, 645. [Google Scholar] [CrossRef] [PubMed]
- Tanaka, H.; Seals, D.R.; Tanaka, H.; Seals, D.R. Endurance Exercise Performance in Masters Athletes: Age-Associated Changes and Underlying Physiological Mechanisms. J. Physiol. 2008, 586, 55–63. [Google Scholar] [CrossRef] [PubMed]
- Larson, H.K.; McHugh, T.L.F.; Young, B.W.; Rodgers, W.M. Pathways from Youth to Masters Swimming: Exploring Long-Term Influences of Youth Swimming Experiences. Psychol. Sport Exerc. 2019. [Google Scholar] [CrossRef]
- Tantrum, M.; Hodge, K. Motives for Participating in Masters Swimming. N. Z. J. Heal. Phys. Educ. Recreat. 1993, 26, 3–7. [Google Scholar]
- Barbosa, T.M.; Bragada, J.A.; Reis, V.M.; Marinho, D.A.; Carvalho, C.; Silva, A.J. Energetics and Biomechanics as Determining Factors of Swimming Performance: Updating the State of the Art. J. Sci. Med. Sport 2010, 13, 262–269. [Google Scholar] [CrossRef]
- Costa, M.J.; Bragada, J.A.; Mejias, J.E.; Louro, H.; Marinho, D.A.; Silva, A.J.; Barbosa, T.M. Tracking the Performance, Energetics and Biomechanics of International versus National Level Swimmers during a Competitive Season. Eur. J. Appl. Physiol. 2012, 112, 811–820. [Google Scholar] [CrossRef]
- Ferreira, M.I.; Barbosa, T.M.; Costa, M.J.; Neiva, H.P.; Marinho, D.A. Energetics, Biomechanics, and Performance in Masters’ Swimmers: A Systematic Review. J. Strength Cond. Res. 2016, 30, 2069–2081. [Google Scholar] [CrossRef]
- Morais, J.E.; Garrido, N.D.; Marques, M.C.; Silva, A.J.; Marinho, D.A.; Barbosa, T.M. The Influence of Anthropometric, Kinematic and Energetic Variables and Gender on Swimming Performance in Youth Athletes. J. Hum. Kinet. 2013, 39, 203–211. [Google Scholar] [CrossRef]
- Pyne, D.B.; Lee, H.; Swanwick, K.M. Monitoring the Lactate Threshold in World-Ranked Swimmers. Med. Sci. Sports Exerc. 2001, 33, 291–297. [Google Scholar] [CrossRef]
- Termin, B.; Pendergast, D.R. Training Using the Stroke Frequency-Velocity Relationship to Combine Biomechanical and Metabolic Paradigms. J. Swim. Res. 2000, 14, 9–17. [Google Scholar]
- Mejias, J.E.; Bragada, J.A.; Costa, M.J.; Reis, V.M.; Garrido, N.D.; Barbosa, T.M. “Young” masters vs. elite swimmers: Comparison of performance, energetics, kinematics and efficiency. Int. SportMed J. 2014, 15, 165–177. [Google Scholar]
- Reaburn, P.; Dascombe, B. Anaerobic Performance in Masters Athletes. Eur. Rev. Aging Phys. Act. 2009, 6, 39–53. [Google Scholar] [CrossRef]
- Macaluso, A.; Vito, G. Muscle Strength, Power and Adaptations to Resistance Training in Older People. Eur. J. Appl. Physiol. 2004, 91, 450–472. [Google Scholar] [CrossRef] [PubMed]
- Eskurza, I.; Donato, A.J.; Moreau, K.L.; Seals, D.R.; Tanaka, H. Changes in Maximal Aerobic Capacity with Age in Endurance-Trained Women: 7-Yr Follow-Up. J. Appl. Physiol. 2002, 92, 2303–2308. [Google Scholar] [CrossRef] [PubMed]
- Rubin, R.T.; Lin, S.; Curtis, A.; Auerbach, D.; Win, C. Declines in swimming performance with age: A longitudinal study of Masters swimming champions. Open Access J. Sports Med. 2013, 4, 63–70. [Google Scholar] [CrossRef] [PubMed]
- Zamparo, P.; Gatta, G.; Prampero, P.E. The Determinants of Performance in Master Swimmers: An Analysis of Master World Records. Eur. J. Appl. Physiol. 2012, 112, 3511–3518. [Google Scholar] [CrossRef]
- Donato, A.J.; Tench, K.; Glueck, D.H.; Seals, D.R.; Eskurza, I.; Tanaka, H. Declines in Physiological Functional Capacity with Age: A Longitudinal Study in Peak Swimming Performance. J. Appl. Physiol. 2003, 94, 764–769. [Google Scholar] [CrossRef]
- Barbosa, T.M.; Costa, M.; Marinho, D.A.; Coelho, J.; Moreira, M.; Silva, A.J. Modeling the Links between Young Swimmers’ Performance: Energetic and Biomechanic Profiles. Pediatr. Exerc. Sci. 2010, 22, 379–391. [Google Scholar] [CrossRef]
- Craig, A.; Skehan, P.; Pawelczyk, J.; Boomer, W. Velocity, Stroke Rate, and Distance per Stroke during Elite Swimming Competition. Med. Sci. Sports Exerc. 1985, 17, 625–634. [Google Scholar] [CrossRef]
- Costill, D.L.; Kovaleski, J.; Porter, D.; Kirwan, J.; Fielding, R.; King, D. Energy Expenditure during Front Crawl Swimming: Predicting Success in Middle-Distance Events. Int. J. Sports Med. 1985, 6, 266–270. [Google Scholar] [CrossRef]
- Toussaint, H.M. Differences in Propelling Efficiency between Competitive and Triathlon Swimmers. Med. Sci. Sports Exerc. 1990, 22, 409–415. [Google Scholar] [CrossRef] [PubMed]
- Zamparo, P.; Gatta, G.; Dall’Ora, A.; Toneatto, A.; Cortes, M. The Determinants of Performance in Master Swimmers: A Cross-Sectional Study on the Age-Related Changes in Propelling Efficiency, Hydrodynamic Position and Energy Cost of Front Crawl. Eur. J. Appl. Physiol. 2012, 112, 3949–3957. [Google Scholar] [CrossRef] [PubMed]
- Daly, D.J.; Vanlandewijck, Y. Some Criteria for Evaluating the " Fairness " of Swimming Classification. Adapt. Phys. Act. Q. 1999, 16, 271–289. [Google Scholar] [CrossRef]
- Maglischo, E. Swimming Fastest; Human Kinetics Books: Campaign, IL, USA, 2003; pp. 319–450. [Google Scholar]
- Thanopoulos, V. The 5 × 200 m Step Test Lactate Curve Model: Gender Specific Characteristics in Elite Greek Senior Freestyle Swimmers. Serb. J. Sports Sci. 2010, 4, 153–160. [Google Scholar]
- Laffite, L.P.; Vilas-Boas, J.P.; Demarle, A.; Silva, J.; Fernandes, R.; Billat, V.L. Changes in Physiological and Stroke Parameters during a Maximal 400-m Free Swimming Test in Elite Swimmers. Can. J. Appl. Physiol. 2004, 29, S17–S31. [Google Scholar] [CrossRef]
- Mader, A.; Heck, H.; Hollman, W. Evaluation of lactic acid anaerobic energy contribution by determination of post exercise lactic acid concentration of ear capillary blood in middle-distance runners and swimmers. In Exercise Physiology; Landry, F., Orban, W., Eds.; Symposia Specialists: Miami, FL, USA, 1978; pp. 187–200. [Google Scholar]
- Olbrecht, J.; Madsen, O.; Mader, A.; Liesen, H.; Hollmann, W. Relationship between swimming velocity and lactic concentration during continuous and intermittent training exercises. Int. J. Sports Med. 1985, 6, 74–77. [Google Scholar] [CrossRef]
- Zamparo, P.; Pendergast, D.R.; Mollendorf, J.; Termin, A.; Minetti, A.E. An Energy Balance of Front Crawl. Eur. J. Appl. Physiol. 2005, 94, 134–144. [Google Scholar] [CrossRef]
- Gatta, G.; Benelli, P.; Ditroilo, M. The Decline of Swimming Performance with Advancing Age: A Cross-Sectional Study. J. Strength Cond. Res. 2006, 20, 932–938. [Google Scholar] [CrossRef][Green Version]
- Zamparo, P. Effects of Age and Gender on the Propelling Efficiency of the Arm Stroke. Eur. J. Appl. Physiol. 2006, 97, 52–58. [Google Scholar] [CrossRef]
- Favaro, O.; Lima, F.T. Influence of the Age in the Performance, Stroke Rate and Stroke Length in Masters Male Swimmers of the 50 Meters Freestyle. Braz. J. Sci. Mov. 2005, 13, 67–72. [Google Scholar]
- Sharp, R.L.; Vitelli, C.A.; Costill, D.L.; Thomas, R. Comparison between Blood Lactate and Heart Rate Profiles during a Season of Competitive Swim Training. J. Swim. Res. 1984, 1, 17–20. [Google Scholar]
- Ryan, R.; Coyle, E.; Quick, R.; Randa, R.; Coyle, F.; Quick, W.; Team, T.P. Blood Lactate Profile throughout a Training Season in Elite Female Swimmers. J. Swim. Res. 1990, 6, 5–10. [Google Scholar]
- Weir, P.L.; Kerr, T.; Hodges, N.J.; McKay, S.M.; Starkes, J.L. Master Swimmers: How Are They Different from Younger Elite Swimmers? An Examination of Practice and Performance Patterns. J. Aging Phys. Act. 2002, 10, 41–63. [Google Scholar] [CrossRef]
- Costa, M.J.; Bragada, J.A.; Mejias, J.E.; Louro, H.; Marinho, D.A.; Silva, A.J.; Barbosa, T.M. Effects of swim training on energetics and performance. Int. J. Sports Med. 2013, 34, 507–513. [Google Scholar] [CrossRef][Green Version]
- Ferreira, M.I.; Barbosa, T.M.; Costa, M.J.; Neiva, H.P.; Vilaca, J.; Marinho, D.A. Effects of swim training on energetic and performance in women masters’ swimmers. J. Hum. Sport Exerc. 2016, 11, 99–106. [Google Scholar] [CrossRef]




| Participants | Height (m) | Body Mass (kg) | 200 m Front Crawl (s) | FINA Points 200 m Front Crawl |
|---|---|---|---|---|
| Male (n = 12) | 1.75 ± 0.06 | 74.81 ± 7.70 | 170.42 ± 27.77 | 315.00 ± 128.60 |
| Female (n = 11) | 1.63 ± 0.05 | 58.52 ± 5.41 | 200.72 ± 25.02 | 254.30 ± 110.80 |
| All (n = 23) | 1.69 ± 0.06 | 66.67 ± 6.65 | 185.20 ± 31.51 | 286.02 ± 121.71 |
| 200 m Time (s) | |||
|---|---|---|---|
| Swimmer | M1 | M2 | M3 |
| m1 | 158 | 153 | 152 |
| m2 | 152 | 162 | 158 |
| m3 | 224 | 229 | 211 |
| m4 | 188 | 181 | 179 |
| m5 | 232 | 242 | 220 |
| m6 | 165 | 162 | 162 |
| m7 | 169 | 167 | 167 |
| m8 | 144 | 141 | 140 |
| m9 | 159 | 162 | 162 |
| m10 | 150 | 148 | 147 |
| m11 | 188 | 186 | 183 |
| m12 | 175 | 172 | 174 |
| Mean ± SD | 175.33 ± 28.26 | 175.42 ± 30.91 | 171.21 ± 24.24 |
| f1 | 192 | 193 | 191 |
| f2 | 183 | 180 | 185 |
| f3 | 231 | 208 | 205 |
| f4 | 210 | 205 | 200 |
| f5 | 218 | 211 | 205 |
| f6 | 207 | 207 | 195 |
| f7 | 207 | 195 | 185 |
| f8 | 220 | 211 | 197 |
| f9 | 248 | 233 | 231 |
| f10 | 171 | 163 | 168 |
| f11 | 170 | 166 | 166 |
| Mean ± SD | 205.18 ± 24.47 | 197.45 ± 20.97 | 193.45 ± 18.12 |
| Total (m + f); Mean ± SD | 189.61 ± 30.06 | 185.96 ± 28.36 | 181.87 ± 23.91 |
© 2020 by the authors. Licensee MDPI, Basel, Switzerland. This article is an open access article distributed under the terms and conditions of the Creative Commons Attribution (CC BY) license (http://creativecommons.org/licenses/by/4.0/).
Share and Cite
Marinho, D.A.; Ferreira, M.I.; Barbosa, T.M.; Vilaça-Alves, J.; Costa, M.J.; Ferraz, R.; P. Neiva, H. Energetic and Biomechanical Contributions for Longitudinal Performance in Master Swimmers. J. Funct. Morphol. Kinesiol. 2020, 5, 37. https://doi.org/10.3390/jfmk5020037
Marinho DA, Ferreira MI, Barbosa TM, Vilaça-Alves J, Costa MJ, Ferraz R, P. Neiva H. Energetic and Biomechanical Contributions for Longitudinal Performance in Master Swimmers. Journal of Functional Morphology and Kinesiology. 2020; 5(2):37. https://doi.org/10.3390/jfmk5020037
Chicago/Turabian StyleMarinho, Daniel A., Maria I. Ferreira, Tiago M. Barbosa, José Vilaça-Alves, Mário J. Costa, Ricardo Ferraz, and Henrique P. Neiva. 2020. "Energetic and Biomechanical Contributions for Longitudinal Performance in Master Swimmers" Journal of Functional Morphology and Kinesiology 5, no. 2: 37. https://doi.org/10.3390/jfmk5020037
APA StyleMarinho, D. A., Ferreira, M. I., Barbosa, T. M., Vilaça-Alves, J., Costa, M. J., Ferraz, R., & P. Neiva, H. (2020). Energetic and Biomechanical Contributions for Longitudinal Performance in Master Swimmers. Journal of Functional Morphology and Kinesiology, 5(2), 37. https://doi.org/10.3390/jfmk5020037

