Advantages and Requirements in Time Resolving Tracking for Astroparticle Experiments in Space
Abstract
1. Introduction
2. Advantages with 5D Tracking in Astroparticle Experiments
- (1)
- identification of hits of back-scattered particles from calorimeters and improved track finding. Future experiments based on deep calorimeters for the measurement of supra-TeV CCR will face the challenge of the loss in tracking efficiency at high energy due to the experimental noise introduced by the massive production of back-scattered secondary particles in the calorimeter, as already observed in large acceptance calorimetric experiments operating in space [56,57]. In standard Si-detectors, the hits coming from energy deposits by secondary-back-scattered particles cannot be separated from those of the primary particle. As a consequence, the efficiencies of hit clustering and particle tracking are affected. The relevance of this effect worsens with the number of back-scattered particles, and, ultimately, with the energy of the primary particle. The additional measurement of the particle crossing time in Si-sensors provides the required information to separate primary from secondary hits, profiting from the fact that hits from back-scattered particles are produced with a delay with respect to the primary particle hits. Generally, timed-hits add additional coordinates in the phase space that can be exploited by track finding procedures to distinguish different tracks with much higher efficiency. This is one of the main reasons that the timing layers have been considered for the High Luminosity phase of the Large Hadron Collider [58,59], but it also opens up several opportunities for large-acceptance space-born CCR detectors, for which pile-up event suppression will become a challenge;
- (2)
- overcome the occurrence of “ghost” hits in SiMS detectors. Hits from back-scattered particles, detector pile-up, particle fragmentation, -rays or pair-production, and noise, all contribute to the “ghost” hit problem [60] that strongly affects the track reconstruction performances in SiMS detectors, in which strips are arranged in perpendicular directions for each tracking plane. Peculiar strip geometries (e.g., stereo strips) or irregular readout pitch patterns can be used to mitigate this effect. However, the possibility of separating the tracks in time will be a powerful tool to overcome the issue without complicating the detector geometry;
- (3)
- provide a Time of Flight (ToF) measurement that is complementary or alternative to that usually provided by a fast readout of plastic scintillators. Hit timing measurements with resolutions ∼100 ps or less will enable the opportunity to perform ToF measurements with the SiMS tracking detector, with competitive performances compared to those of conventional ToF detectors made by plastic scintillators with fast photodetector readout. In CCR space-borne experiments based on magnetic spectrometers, the particle velocity measurement by a ToF detector is used to distinguish downward- from upward- going particles, which is crucial for separating matter from anti-matter in CCRs. The combination of velocity from ToF and momentum from tracker allows also for particle mass identification, which is used to measure the CCR isotopic composition and, possibly, to identify heavy anti-matter [1,29,30,32,33];
- (4)
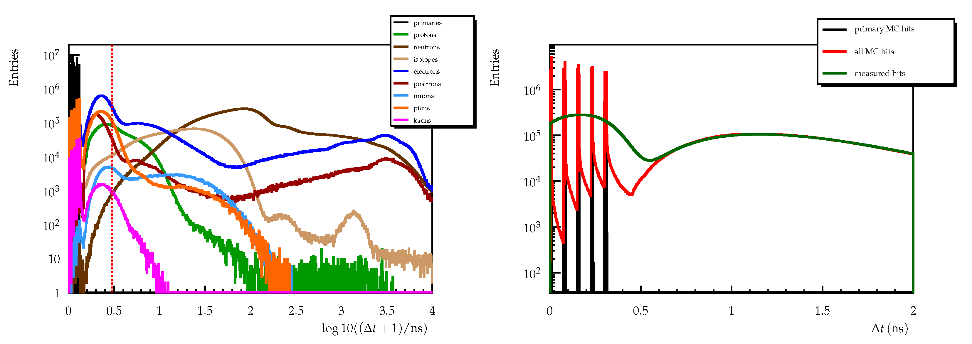
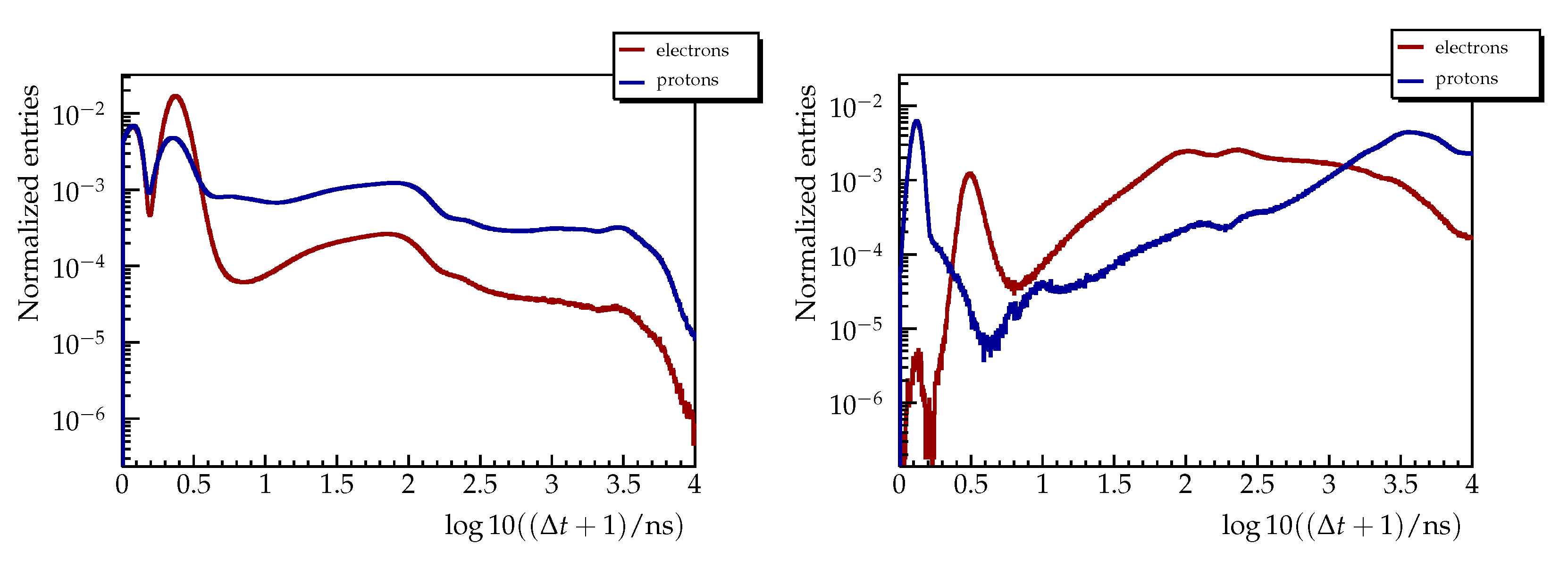
- improved e/p identification. The presence of low-energy (i.e., ) back-scattered hadronic particles from a shower identifies the primary CR as hadron. Separating electrons, positrons and photons from the overwhelming background of protons that constitute the 90% of the CCR composition is a major requirement for most CR experiments. An innovative use of the accurate timing measurement in tracking detectors upstream of the calorimeter for this purpose was recently proposed [55] (Figure 1): the back-scattering of an electromagnetic shower is made of ultra-relativistic particles, even for very low energetic primaries. The detection of very delayed hits from slow back-scattered particles is a clear signature of an hadronic component in the shower, strongly suppressing the likelihood of an electromagnetic shower in the calorimeter.
Testing Prospects with Simulations
3. Technological Solutions
- -
- the number of channels scales with the square root of the area to be covered (i.e., the side of the layers to be instrumented), to compare with pixels, for which it scales proportionally to the area. Clearly a factor 2 has to be taken into account to perform a fair comparison with a pixel detector measuring a pair of X-Y coordinates: SiMS can only measure just one direction so the number of strips, n, (i.e., side/pitch, ) is referred to a single coordinate measurement (for example, X). To obtain a X-Y coordinate measurement, 2n strips are needed;
- -
- for pitch widths as those required for the aforementioned applications, the spatial resolution of SiMS with a readout pitch p is generally better than the corresponding Si-pixel detector with a pixel size of , due to the insertion of floating implants (strips). Usually, in SiMS trackers, only a fraction of implanted strips out of a constant pattern is in fact read out. The remaining strips are floating and only contribute to the charge coupling between neighboring readout strips;
- -
- besides coordinate measurements, SiMS also allow for a high-resolution charge () measurement of the incident particle.
Prospects towards 5D Tracking in Space with SiMS
- -
- use a single readout FE ASIC to read the strips with a CSA for position/charge, a fast shaper for the timing signal and generating a logical “OR” of the timing signals to feed a single TDC;
- -
- use separate FE ASICs (e.g., IDE1140 and PETIROC) to read strips for position/charge measurement and strips (with larger pitch, for example, to reduce the number of channels) dedicated to timing. This requires a double-sided, such as inverse LGAD (iLGAD [74]), or a multi-layer, such as AC-coupled LGAD (AC-LGAD [79]) technology.
4. Additional Opportunities from Operations of Thin Si-Microstrip Sensors
5. Conclusions
Author Contributions
Funding
Institutional Review Board Statement
Informed Consent Statement
Data Availability Statement
Acknowledgments
Conflicts of Interest
Abbreviations
| APD | Avalanche Photodiode |
| ASIC | Application Specific Integrated Circuit |
| BGO | Bismuth Germanate |
| CR | Cosmic Ray |
| CCR | Charged Cosmic Ray |
| CSA | Charge Shape Amplifier |
| FE | Front End |
| FEE | Front End Electronics |
| G | Gain |
| GR | Gamma Ray |
| HDR | High Dynamic Range |
| IR | InfraRed |
| LGAD | Low Gain Avalanche Diode |
| iLGAD | Inverse LGAD |
| AC-LGAD | AC coupled LGAD |
| MAPS | Monolithic Active Pixel Sensors |
| MS | Multiple Scattering |
| PSF | Point Spread Function |
| R&D | Research and Development |
| SiMS | Silicon MicroStrip |
| SNR | Signal-to-Noise Ratio |
| TDC | Time-to-Digital Converter |
| ToF | Time of Flight |
| UV | UltraViolet |
References
- Aguilar, M.; Ali Cavasonza, L.; Ambrosi, G.; Arruda, L.; Attig, N.; Barao, F.; Barrin, L.; Bartoloni, A.; Başeğmez-du Pree, S.; Bates, J.; et al. The Alpha Magnetic Spectrometer (AMS) on the international space station: Part II—Results from the first seven years. Phys. Rep. 2021, 894, 1–116. [Google Scholar] [CrossRef]
- Adriani, O.; Barbarino, G.; Bazilevskaya, G.; Bellotti, R.; Boezio, M.; Bogomolov, E.; Bongi, M.; Bonvicini, V.; Bottai, S.; Bruno, A.; et al. The PAMELA Mission: Heralding a new era in precision cosmic ray physics. Phys. Rep. 2014, 544, 323–370. [Google Scholar] [CrossRef]
- Jia, Y.; Zou, Y.; Ping, J.; Xue, C.; Yan, J.; Ning, Y. The scientific objectives and payloads of Chang’E-4 mission. Planet. Space Sci. 2018, 162, 207–215. [Google Scholar] [CrossRef]
- Kardashev, N.S.; Khartov, V.V.; Abramov, V.V.; Avdeev, V.Y.; Alakoz, A.V.; Aleksandrov, Y.A.; Ananthakrishnan, S.; Andreyanov, V.V.; Andrianov, A.S.; Antonov, N.M.; et al. “RadioAstron”—A telescope with a size of 300 000 km: Main parameters and first observational results. Astron. Rep. 2013, 57, 153–194. [Google Scholar] [CrossRef]
- Planck Collaboration; Aghanim, N.; Akrami, Y.; Alves, M.I.R.; Ashdown, M.; Aumont, J.; Baccigalupi, C.; Ballardini, M.; Banday, A.J.; Barreiro, R.B.; et al. Planck 2018 results—XII. Galactic astrophysics using polarized dust emission. A&A 2020, 641, A12. [Google Scholar] [CrossRef]
- Bennett, C.L.; Larson, D.; Weiland, J.L.; Jarosik, N.; Hinshaw, G.; Odegard, N.; Smith, K.M.; Hill, R.S.; Gold, B.; Halpern, M.; et al. Nine-Year Wilkinson Microwave Anisotropy Probe ( Wmap ) Observations: Final Maps And Results. Astrophys. J. Suppl. Ser. 2013, 208, 20. [Google Scholar] [CrossRef]
- Hinshaw, G.; Larson, D.; Komatsu, E.; Spergel, D.N.; Bennett, C.L.; Dunkley, J.; Nolta, M.R.; Halpern, M.; Hill, R.S.; Odegard, N.; et al. Nine-Year Wilkinson Microwave Anisotropy Probe (Wmap) Observations: Cosmological Parameter Results. Astrophys. J. Suppl. Ser. 2013, 208, 19. [Google Scholar] [CrossRef]
- Fixsen, D.J.; Cheng, E.S.; Gales, J.M.; Mather, J.C.; Shafer, R.A.; Wright, E.L. The Cosmic Microwave Background Spectrum from the Full COBE FIRAS Data Set. Astrophys. J. 1996, 473, 576–587. [Google Scholar] [CrossRef]
- Pilbratt, G.L.; Riedinger, J.R.; Passvogel, T.; Crone, G.; Doyle, D.; Gageur, U.; Heras, A.M.; Jewell, C.; Metcalfe, L.; Ott, S.; et al. Herschel Space Observatory*—An ESA facility for far-infrared and submillimetre astronomy. A&A 2010, 518, L1. [Google Scholar] [CrossRef]
- Gardner, J.P.; Mather, J.C.; Clampin, M.; Doyon, R.; Greenhouse, M.A.; Hammel, H.B.; Hutchings, J.B.; Jakobsen, P.; Lilly, S.J.; Long, K.S.; et al. The James Webb Space Telescope. Space Sci. Rev. 2006, 123, 485–606. [Google Scholar] [CrossRef]
- Werner, M.W.; Roellig, T.L.; Low, F.J.; Rieke, G.H.; Rieke, M.; Hoffmann, W.F.; Young, E.; Houck, J.R.; Brandl, B.; Fazio, G.G.; et al. The Spitzer Space Telescope Mission. Astrophys. J. Suppl. Ser. 2004, 154, 1–9. [Google Scholar] [CrossRef]
- Wright, E.L.; Eisenhardt, P.R.M.; Mainzer, A.K.; Ressler, M.E.; Cutri, R.M.; Jarrett, T.; Kirkpatrick, J.D.; Padgett, D.; McMillan, R.S.; Skrutskie, M.; et al. The Wide-Field Infrared Survey Explorer (Wise): Mission Description And Initial On-Orbit Performance. Astron. J. 2010, 140, 1868–1881. [Google Scholar] [CrossRef]
- Neugebauer, G.; Habing, H.J.; van Duinen, R.; Aumann, H.H.; Baud, B.; Beichman, C.A.; Beintema, D.A.; Boggess, N.; Clegg, P.E.; de Jong, T.; et al. The Infrared Astronomical Satellite (IRAS) mission. Astrophys. J. 1984, 278, L1–L6. [Google Scholar] [CrossRef]
- Borucki, W.J. KEPLER Mission: Development and overview. Rep. Prog. Phys. 2016, 79, 036901. [Google Scholar] [CrossRef]
- Beatty, J.K. HST: Astonomy’s Greatest Gambit. Sky Telesc. 1985, 69, 409. [Google Scholar]
- Gaia Collaboration; Prusti, T.; de Bruijne, J.H.J.; Brown, A.G.A.; Vallenari, A.; Babusiaux, C.; Bailer-Jones, C.A.L.; Bastian, U.; Biermann, M.; Evans, D.W.; et al. The Gaia mission. Astron. Astrophys. 2016, 595, A1. [Google Scholar]
- Siegmund, O.H.W.; Welsh, B.Y.; Martin, C.; Barlow, T.; Bianchi, L.; Byun, Y.I.; Forster, K.; Friedman, P.G.; Jelinsky, P.N.; Madore, B.F.; et al. The GALEX mission and detectors. Proc. SPIE 2004, 5488, 13–24. [Google Scholar] [CrossRef]
- Jansen, F.; Lumb, D.; Altieri, B.; Clavel, J.; Ehle, M.; Erd, C.; Gabriel, C.; Guainazzi, M.; Gondoin, P.; Much, R.; et al. XMM-Newton observatory*—I. The spacecraft and operations. A&A 2001, 365, L1–L6. [Google Scholar] [CrossRef]
- Boella, G.; Butler, R.C.; Perola, G.C.; Piro, L.; Scarsi, L.; Bleeker, J.A.M. BeppoSAX, the wide band mission for X-ray astronomy. A&A Suppl. 1997, 122, 299–307. [Google Scholar] [CrossRef]
- Tavani, M.; Barbiellini, G.; Argan, A.; Boffelli, F.; Bulgarelli, A.; Caraveo, P.; Cattaneo, P.W.; Chen, A.W.; Cocco, V.; Costa, E.; et al. The AGILE Mission. A&A 2009, 502, 995–1013. [Google Scholar] [CrossRef]
- Winkler, C.; Courvoisier, T.J.L.; Di Cocco, G.; Gehrels, N.; Giménez, A.; Grebenev, S.; Hermsen, W.; Mas-Hesse, J.M.; Lebrun, F.; Lund, N.; et al. The INTEGRAL mission. Astron. Astrophys. 2003, 411, L1–L6. [Google Scholar] [CrossRef]
- Atwood, W.B.; Abdo, A.A.; Ackermann, M.; Althouse, W.; Anderson, B.; Axelsson, M.; Baldini, L.; Ballet, J.; Band, D.L.; Barbiellini, G.; et al. The Large Area Telescope on the Fermi Gamma-Ray Space Telescope Mission. Astrophys. J. 2009, 697, 1071–1102. [Google Scholar] [CrossRef]
- Ackermann, M.; Ajello, M.; Albert, A.; Atwood, W.B.; Baldini, L.; Ballet, J.; Barbiellini, G.; Bastieri, D.; Bellazzini, R.; Bissaldi, E.; et al. The Fermi Galactic Center GeV Excess and Implications for Dark Matter. Astrophys. J. 2017, 840, 43. [Google Scholar] [CrossRef]
- Adriani, O.; Barbarino, G.C.; Bazilevskaya, G.A.; Bellotti, R.; Boezio, M.; Bogomolov, E.A.; Bonechi, L.; Bongi, M.; Bonvicini, V.; Bottai, S.; et al. An anomalous positron abundance in cosmic rays with energies 1.5–100 GeV. Nature 2009, 458, 607. [Google Scholar] [CrossRef]
- Aguilar, M.; Ali Cavasonza, L.; Alpat, B.; Ambrosi, G.; Arruda, L.; Attig, N.; Aupetit, S.; Azzarello, P.; Bachlechner, A.; Barao, F.; et al. Antiproton Flux, Antiproton-to-Proton Flux Ratio, and Properties of Elementary Particle Fluxes in Primary Cosmic Rays Measured with the Alpha Magnetic Spectrometer on the International Space Station. Phys. Rev. Lett. 2016, 117, 091103. [Google Scholar] [CrossRef] [PubMed]
- Aguilar, M.; Ali Cavasonza, L.; Ambrosi, G.; Arruda, L.; Attig, N.; Azzarello, P.; Bachlechner, A.; Barao, F.; Barrau, A.; Barrin, L.; et al. Towards Understanding the Origin of Cosmic-Ray Positrons. Phys. Rev. Lett. 2019, 122, 041102. [Google Scholar] [CrossRef]
- Vitale, S. Space-borne gravitational wave observatories. Gen. Relativ. Gravit. 2014, 46, 1730. [Google Scholar] [CrossRef]
- Poulin, V.; Salati, P.; Cholis, I.; Kamionkowski, M.; Silk, J. Where do the AMS-02 antihelium events come from? Phys. Rev. D 2019, 99, 023016. [Google Scholar] [CrossRef]
- Adriani, O.; Ambrosi, G.; Baoudoy, B.; Battiston, R.; Bertucci, B.; Blasi, P.; Boezio, M.; Campana, D.; Derome, L.; Mitri, I.D.; et al. High Precision Particle Astrophysics as a New Window on the Universe with an Antimatter Large Acceptance Detector In Orbit (ALADInO). Exp. Astron. 2021. [Google Scholar] [CrossRef]
- Schael, S.; Atanasyan, A.; Berdugo, J.; Bretz, T.; Czupalla, M.; Dachwald, B.; von Doetinchem, P.; Duranti, M.; Gast, H.; Karpinski, W.; et al. AMS-100: The next generation magnetic spectrometer in space—An international science platform for physics and astrophysics at Lagrange point 2. Nucl. Instrum. Methods Phys. Res. Sect. A 2019, 944, 162561. [Google Scholar] [CrossRef]
- Planck Collaboration; Aghanim, N.; Akrami, Y.; Ashdown, M.; Aumont, J.; Baccigalupi, C.; Ballardini, M.; Banday, A.J.; Barreiro, R.B.; Bartolo, N.; et al. Planck 2018 results—VI. Cosmological parameters. A&A 2020, 641, A6. [Google Scholar] [CrossRef]
- Aguilar, M.; Alcaraz, J.; Allaby, J.; Alpat, B.; Ambrosi, G.; Anderhub, H.; Ao, L.; Arefiev, A.; Azzarello, P.; Babucci, E.; et al. The Alpha Magnetic Spectrometer (AMS) on the International Space Station: Part I—Results from the test flight on the space shuttle. Phys. Rep. 2002, 366, 331–405. [Google Scholar] [CrossRef]
- Picozza, P.; Galper, A.; Castellini, G.; Adriani, O.; Altamura, F.; Ambriola, M.; Barbarino, G.; Basili, A.; Bazilevskaja, G.; Bencardino, R.; et al. PAMELA—A payload for antimatter matter exploration and light-nuclei astrophysics. Astropart. Phys. 2007, 27, 296–315. [Google Scholar] [CrossRef]
- Chang, J.; Ambrosi, G.; An, Q.; Asfandiyarov, R.; Azzarello, P.; Bernardini, P.; Bertucci, B.; Cai, M.; Caragiulo, M.; Chen, D.; et al. The DArk Matter Particle Explorer mission. Astropart. Phys. 2017, 95, 6–24. [Google Scholar] [CrossRef]
- Turchetta, R. Spatial resolution of silicon microstrip detectors. Nucl. Instrum. Methods Phys. Res. Sect. A 1993, 335, 44–58. [Google Scholar] [CrossRef]
- De Angelis, A.; Tatischeff, V.; Tavani, M.; Oberlack, U.; Grenier, I.; Hanlon, L.; Walter, R.; Argan, A.; von Ballmoos, P.; Bulgarelli, A.; et al. The e-ASTROGAM mission. Exp. Astron. 2017, 44, 25–82. [Google Scholar] [CrossRef]
- McEnery, J.; Barrio, J.A.; Agudo, I.; Ajello, M.; Álvarez, J.M.; Ansoldi, S.; Anton, S.; Auricchio, N.; Stephen, J.B.; Baldini, L.; et al. All-sky Medium Energy Gamma-ray Observatory: Exploring the Extreme Multimessenger Universe. arXiv 2019, arXiv:1907.07558. [Google Scholar]
- Wu, X.; Su, M.; Bravar, A.; Chang, J.; Fan, Y.; Pohl, M.; Walter, R. PANGU: A high resolution gamma-ray space telescope. Proc. SPIE 2014, 9144, 91440F. [Google Scholar] [CrossRef]
- Zhang, S.N.; Adriani, O.; Albergo, S.; Ambrosi, G.; An, Q.; Bao, T.W.; Battiston, R.; Bi, X.J.; Cao, Z.; Chai, J.Y.; et al. The high energy cosmic-radiation detection (HERD) facility onboard China’s Space Station. Proc. SPIE 2014, 9144, 91440X. [Google Scholar] [CrossRef]
- Atwood, W.; Bagagli, R.; Baldini, L.; Bellazzini, R.; Barbiellini, G.; Belli, F.; Borden, T.; Brez, A.; Brigida, M.; Caliandro, G.; et al. Design and initial tests of the Tracker-converter of the Gamma-ray Large Area Space Telescope. Astropart. Phys. 2007, 28, 422–434. [Google Scholar] [CrossRef]
- Azzarello, P.; Ambrosi, G.; Asfandiyarov, R.; Bernardini, P.; Bertucci, B.; Bolognini, A.; Cadoux, F.; Caprai, M.; Mitri, I.D.; Domenjoz, M.; et al. The DAMPE silicon–tungsten tracker. Nucl. Instrum. Methods Phys. Res. Sect. A 2016, 831, 378–384. [Google Scholar] [CrossRef]
- HERD Collaboration. HERD Proposal. 2018. Available online: https://indico.ihep.ac.cn/event/8164/material/1/0.pdf (accessed on 14 April 2021).
- Cartiglia, N.; Arcidiacono, R.; Ferrero, M.; Mandurrino, M.; Sadrozinski, H.F.; Sola, V.; Staiano, A.; Seiden, A. Timing layers, 4- and 5-dimension tracking. Nucl. Instrum. Methods Phys. Res. Sect. A 2019, 924, 350–354. [Google Scholar] [CrossRef]
- Aielli, G.; Camarri, P.; Cardarelli, R.; Ciaccio, A.D.; Distante, L.; Liberti, B.; Paolozzi, L.; Pastori, E.; Santonico, R. RPC based 5D tracking concept for high multiplicity tracking trigger. J. Instrum. 2017, 12, C01057. [Google Scholar] [CrossRef]
- Migliore, E.; Cortina Gil, E.; Minucci, E.; Perrin-Terrin, M.; Velghe, B.; Chiozzi, S.; Cotta Ramusino, A.; Fiorini, M.; Gianoli, A.; Petrucci, F.; et al. 4th dimensional tracking: The GigaTracker of NA62 experiment. VERTEX 2018, 309, 027. [Google Scholar] [CrossRef]
- Rinella, G.A.; Feito, D.A.; Arcidiacono, R.; Biino, C.; Bonacini, S.; Ceccucci, A.; Chiozzi, S.; Gil, E.C.; Ramusino, A.C.; Danielsson, H.; et al. The NA62 GigaTracKer: A low mass high intensity beam 4D tracker with 65 ps time resolution on tracks. J. Instrum. 2019, 14, P07010. [Google Scholar] [CrossRef]
- Cartiglia, N.; Baselga, M.; Dellacasa, G.; Ely, S.; Fadeyev, V.; Galloway, Z.; Garbolino, S.; Marchetto, F.; Martoiu, S.; Mazza, G.; et al. Performance of ultra-fast silicon detectors. J. Instrum. 2014, 9, C02001. [Google Scholar] [CrossRef]
- Cartiglia, N.; Arcidiacono, R.; Baldassarri, B.; Boscardin, M.; Cenna, F.; Dellacasa, G.; Betta, G.F.D.; Ferrero, M.; Fadeyev, V.; Galloway, Z.; et al. Tracking in 4 dimensions. Nucl. Instrum. Methods Phys. Res. Sect. A 2017, 845, 47–51. [Google Scholar] [CrossRef]
- Kramberger, G.; Cindro, V.; Flores, D.; Hidalgo, S.; Hiti, B.; Manna, M.; Mandić, I.; Mikuž, M.; Quirion, D.; Pellegrini, G.; et al. Timing performance of small cell 3D silicon detectors. Nucl. Instrum. Methods Phys. Res. Sect. A 2019, 934, 26–32. [Google Scholar] [CrossRef]
- Vila Álvarez, I. LGAD Sensors as Enabling Technology for Low-Material 4D Tracker Systems; Talk at the Belle-2 VXD Open Workshop. CERN: Switzerland, 2019. Available online: https://indico.cern.ch/event/810687/contributions/3451980/attachments/1877140/3091456/20190709_LGAD_SemminarIvanVila.pdf (accessed on 28 May 2021).
- Sola, V.; Arcidiacono, R.; Boscardin, M.; Cartiglia, N.; Dalla Betta, G.F.; Ficorella, F.; Ferrero, M.; Mandurrino, M.; Pancheri, L.; Paternoster, G.; et al. First FBK production of 50 μm ultra-fast silicon detectors. Nucl. Instrum. Methods Phys. Res. Sect. A 2019, 924, 360–368. [Google Scholar] [CrossRef]
- Mendicino, R.; Forcolin, G.T.; Boscardin, M.; Ficorella, F.; Lai, A.; Loi, A.; Ronchin, S.; Vecchi, S.; Dalla Betta, G.F. 3D trenched-electrode sensors for charged particle tracking and timing. Nucl. Instrum. Methods Phys. Res. Sect. A 2019, 927, 24–30. [Google Scholar] [CrossRef]
- Cartiglia, N.; Cenna, F.; Ferrero, M.; Monaco, V.; Obertino, M.; Sacchi, R.; Dalla Betta, G.F.; Pancheri, L.; Boscardin, M.; Paternoster, G.; et al. Tracking in 4 dimensions. IFD2015 2015, 266, 26. [Google Scholar]
- Cartiglia, N.; Arcidiacono, R.; Borghi, G.; Boscardin, M.; Costa, M.; Galloway, Z.; Fausti, F.; Ferrero, M.; Ficorella, F.; Mandurrino, M.; et al. LGAD designs for Future Particle Trackers. Nucl. Instrum. Methods Phys. Res. Sect. A 2020, 979, 164383. [Google Scholar] [CrossRef]
- Duranti, M.; Formato, V. Advantages and Needs in Time Resolving Tracker for Astro-Particle Experiments in Space. Available online: https://indico.cern.ch/event/777112/contributions/3312256/attachments/1802726/2941838/DTP.pdf (accessed on 16 January 2021).
- Cannady, N.; Asaoka, Y.; Satoh, F.; Tanaka, M.; Torii, S.; Cherry, M.L.; Mori, M.; Adriani, O.; Akaike, Y.; Asano, K.; et al. Characteristics and Performance of the CALorimetric Electron Telescope (CALET) Calorimeter for Gamma-Ray Observations. Astrophys. J. Suppl. Ser. 2018, 238, 5. [Google Scholar] [CrossRef]
- Gargano, F. The DAMPE experiment: A probe for high energy cosmic rays. In Proceedings of the European Physical Society Conference on High Energy Physics, Venice, Italy, 5–12 July 2017. [Google Scholar]
- Hartmann, F. Silicon-based detectors at the HL-LHC. Nucl. Instrum. Methods Phys. Res. Sect. A 2019, 924, 250–255. [Google Scholar] [CrossRef]
- Arcidiacono, R. Development of Ultra-Fast Silicon Detectors for 4D Tracking. J. Instrum. 2017, 12, C02072. [Google Scholar]
- Aplin, S.; Boronat, M.; Dannheim, D.; Duarte, J.; Gaede, F.; Ruiz-Jimeno, A.; Sailer, A.; Valentan, M.; Vila, I.; Vos, M. Forward tracking at the nexte+e-collider part II: Experimental challenges and detector design. J. Instrum. 2013, 8, T06001. [Google Scholar] [CrossRef]
- Mori, N. GGS: A Generic Geant4 Simulation package for small- and medium-sized particle detection experiments. Nucl. Instrum. Methods Phys. Res. Sect. A 2021, 165298. [Google Scholar] [CrossRef]
- Alpat, B.; Ambrosi, G.; Azzarello, P.; Battiston, R.; Bertucci, B.; Bourquin, M.; Burger, W.; Cadoux, F.; Costa, C.D.S.; Choutko, V.; et al. The internal alignment and position resolution of the AMS-02 silicon tracker determined with cosmic-ray muons. Nucl. Instrum. Meth. Phys. Res. A 2010, 613, 207–217. [Google Scholar] [CrossRef]
- Graziani, M. Electron/proton separation and analysis techniques used in the AMS-02 (e++e−) flux measurement. Nucl. Part. Phys. Proc. 2016, 273-275, 2351–2353. [Google Scholar] [CrossRef]
- Huang, Y.Y.; Ma, T.; Yue, C.; Zhang, Y.; Cai, M.S.; Chang, J.; Dong, T.K.; Zhang, Y.Q. Calibration and performance of the neutron detector onboard of the DAMPE mission. Res. Astron. Astrophys. 2020, 20, 153. [Google Scholar] [CrossRef]
- Hoecker, A.; Speckmayer, P.; Stelzer, J.; Therhaag, J.; von Toerne, E.; Voss, H. Toolkit Multivar. Data Anal. PoS 2007, ACAT, 040. [Google Scholar]
- Abadi, M.; Agarwal, A.; Barham, P.; Brevdo, E.; Chen, Z.; Citro, C.; Corrado, G.S.; Davis, A.; Dean, J.; Devin, M.; et al. TensorFlow: Large-Scale Machine Learning on Heterogeneous Systems. 2015. Available online: https://www.tensorflow.org (accessed on 28 May 2021).
- Burian, P.; Broulím, P.; Bergmann, B. Study of Power Consumption of Timepix3 Detector. J. Instrum. 2019, 14, C01001. [Google Scholar] [CrossRef]
- Mager, M. ALPIDE, the Monolithic Active Pixel Sensor for the ALICE ITS upgrade. Nucl. Instrum. Methods Phys. Res. Sect. A 2016, 824, 434–438. [Google Scholar] [CrossRef]
- Snoeys, W. CMOS monolithic active pixel sensors for high energy physics. Nucl. Instrum. Methods Phys. Res. Sect. A Accelerators Spectrom. Detect. Assoc. Equip. 2014, 765, 167–171. [Google Scholar] [CrossRef]
- IDE1140. 2021. Available online: http://ideas.no/products/ide1140/ (accessed on 13 January 2021).
- Jia, Y.; Yan, Q.; Choutko, V.; Liu, H.; Oliva, A. Nuclei charge measurement by the Alpha Magnetic Spectrometer silicon tracker. Nucl. Instrum. Methods Phys. Res. Sect. A 2020, 972, 164169. [Google Scholar] [CrossRef]
- Ambrosi, G.; Choutko, V.; Delgado, C.; Oliva, A.; Yan, Q.; Li, Y. The spatial resolution of the silicon tracker of the Alpha Magnetic Spectrometer. Nucl. Instrum. Methods Phys. Res. Sect. A 2017, 869, 29–37. [Google Scholar] [CrossRef]
- Vila Álvarez, I. ILGAD - A p-in-p Position-Sentitive-Detector with low signal amplification. In Proceedings of the Asian Linear Collider Workshop, ALCW2015, Tsukuba, Japan, 23 April 2015; Available online: https://agenda.linearcollider.org/event/6557/contributions/31710/attachments/26144/40081/20150419_ILGAD_IvanVila.pdf (accessed on 28 May 2021).
- Pellegrini, G.; Baselga, M.; Carulla, M.; Fadeyev, V.; Fernández-Martínez, P.; García, M.F.; Flores, D.; Galloway, Z.; Gallrapp, C.; Hidalgo, S.; et al. Recent technological developments on LGAD and iLGAD detectors for tracking and timing applications. Nucl. Instrum. Methods Phys. Res. Sect. A 2016, 831, 24–28. [Google Scholar] [CrossRef]
- Apresyan, A.; Chen, W.; D’Amen, G.; Petrillo, K.D.; Giacomini, G.; Heller, R.; Lee, H.; Moon, C.S.; Tricoli, A. Measurements of an AC-LGAD strip sensor with a 120 GeV proton beam. J. Instrum. 2020, 15, P09038. [Google Scholar] [CrossRef]
- Pietraszko, J.; Galatyuk, T.; Kedych, V.; Kis, M.; Koenig, W.; Koziel, M.; Krüger, W.; Lalik, R.; Linev, S.; Michel, J.; et al. Low Gain Avalanche Detectors for the HADES reaction time (T$$_0$$) detector upgrade. Eur. Phys. J. A 2020, 56, 183. [Google Scholar] [CrossRef]
- Weeroc. 2021. Available online: https://www.weeroc.com/products/sipm-read-out/petiroc-2a (accessed on 25 January 2021).
- Paternoster, G.; Borghi, G.; Arcidiacono, R.; Boscardin, M.; Cartiglia, N.; Centis Vignali, M.; Dalla Betta, G.; Ferrero, M.; Ficorella, F.; Mandurrino, M.; et al. Novel strategies for fine-segmented Low Gain Avalanche Diodes. Nucl. Instrum. Methods Phys. Res. Sect. A 2021, 987, 164840. [Google Scholar] [CrossRef]
- Tornago, M.; Arcidiacono, R.; Cartiglia, N.; Costa, M.; Ferrero, M.; Mandurrino, M.; Siviero, F.; Sola, V.; Staiano, A.; Apresyan, A.; et al. Resistive AC-Coupled Silicon Detectors: Principles of operation and first results from a combined analysis of beam test and laser data. Nucl. Instrum. Methods Phys. Res. Sect. A 2021, 1003, 165319. [Google Scholar] [CrossRef]
- Ferrero, M.; Arcidiacono, R.; Barozzi, M.; Boscardin, M.; Cartiglia, N.; Betta, G.D.; Galloway, Z.; Mandurrino, M.; Mazza, S.; Paternoster, G.; et al. Radiation resistant LGAD design. Nucl. Instrum. Methods Phys. Res. Sect. A 2019, 919, 16–26. [Google Scholar] [CrossRef]
- Padilla, R.; Labitan, C.; Galloway, Z.; Gee, C.; Mazza, S.; McKinney-Martinez, F.; Sadrozinski, H.W.; Seiden, A.; Schumm, B.; Wilder, M.; et al. Effect of deep gain layer and Carbon infusion on LGAD radiation hardness. J. Instrum. 2020, 15, P10003. [Google Scholar] [CrossRef]
- Moscatelli, F.; Morozzi, A.; Passeri, D.; Mattiazzo, S.; Betta, G.F.D.; Bergauer, T.; Dragicevic, M.; Konig, A.; Hinger, V.; Bilei, G. Analysis of surface radiation damage effects at HL-LHC fluences: Comparison of different technology options. Nucl. Instrum. Methods Phys. Res. Sect. A 2019, 924, 198–202. [Google Scholar] [CrossRef]
- Ambrosi, G.; Azzrello, P.; Battiston, R.; Bazo, J.; Bertucci, B.; Choumilov, E.; Choutko, V.; Delgado-Mendez, C.; Duranti, M.; D’Urso, D.; et al. Alignment of the AMS-02 Silicon Tracker. In Proceedings of the International Cosmic Ray Conference, Rio de Janeiro, Brazil, 2–9 July 2013; Volume 33, p. 570. [Google Scholar]
- Accardo, L.; Aguilar, M.; Aisa, D.; Alpat, B.; Alvino, A.; Ambrosi, G.; Andeen, K.; Arruda, L.; Attig, N.; Azzarello, P.; et al. High Statistics Measurement of the Positron Fraction in Primary Cosmic Rays of 0.5–500 GeV with the Alpha Magnetic Spectrometer on the International Space Station. Phys. Rev. Lett. 2014, 113, 121101. [Google Scholar] [CrossRef]
- Aguilar, M.; Aisa, D.; Alpat, B.; Alvino, A.; Ambrosi, G.; Andeen, K.; Arruda, L.; Attig, N.; Azzarello, P.; Bachlechner, A.; et al. Precision Measurement of the (e++e−) Flux in Primary Cosmic Rays from 0.5 GeV to 1 TeV with the Alpha Magnetic Spectrometer on the International Space Station. Phys. Rev. Lett. 2014, 113, 221102. [Google Scholar] [CrossRef]
- Aguilar, M.; Ali Cavasonza, L.; Alpat, B.; Ambrosi, G.; Arruda, L.; Attig, N.; Azzarello, P.; Bachlechner, A.; Barao, F.; Barrau, A.; et al. Towards Understanding the Origin of Cosmic-Ray Electrons. Phys. Rev. Lett. 2019, 122, 101101. [Google Scholar] [CrossRef]
- Aguilar, M.; Ali Cavasonza, L.; Ambrosi, G.; Arruda, L.; Attig, N.; Bachlechner, A.; Barao, F.; Barrau, A.; Barrin, L.; Bartoloni, A.; et al. Properties of Cosmic Helium Isotopes Measured by the Alpha Magnetic Spectrometer. Phys. Rev. Lett. 2019, 123, 181102. [Google Scholar] [CrossRef]
- Cirelli, M.; Fornengo, N.; Taoso, M.; Vittino, A. Anti-helium from dark matter annihilations. J. High Energy Phys. 2014, 2014, 9. [Google Scholar] [CrossRef]





| Operating Missions | ||||||
|---|---|---|---|---|---|---|
| Mission Start | Si-Sensor Area | Strip-Length | Readout Channels | Readout Pitch | Spatial Resolution | |
| Fermi-LAT | 2008 | ∼ 74 m | 38 cm | ∼880 | 228 m | ∼66 m |
| AMS-02 | 2011 | ∼7 m | cm | ∼200 | 110 m | ∼7 m |
| DAMPE | 2015 | ∼7 m | 38 cm | ∼70 | 242 m | ∼40 m |
| Future Missions | ||||||
| Planned Operations | Si-Sensor Area | Strip-Length | Readout Channels | Readout Pitch | Spatial Resolution | |
| HERD | 2030 | ∼35 m | cm | ∼350 | ∼242 m | ∼40 m |
| ALADInO | 2050 | ∼80–100 m | cm | ∼2.5 | ∼100 m | ∼5 m |
| AMS-100 | 2050 | ∼180–200 m | ∼100 cm | ∼8 | ∼100 m | ∼5 m |
Publisher’s Note: MDPI stays neutral with regard to jurisdictional claims in published maps and institutional affiliations. |
© 2021 by the authors. Licensee MDPI, Basel, Switzerland. This article is an open access article distributed under the terms and conditions of the Creative Commons Attribution (CC BY) license (https://creativecommons.org/licenses/by/4.0/).
Share and Cite
Duranti, M.; Vagelli, V.; Ambrosi, G.; Barbanera, M.; Bertucci, B.; Catanzani, E.; Donnini, F.; Faldi, F.; Formato, V.; Graziani, M.; et al. Advantages and Requirements in Time Resolving Tracking for Astroparticle Experiments in Space. Instruments 2021, 5, 20. https://doi.org/10.3390/instruments5020020
Duranti M, Vagelli V, Ambrosi G, Barbanera M, Bertucci B, Catanzani E, Donnini F, Faldi F, Formato V, Graziani M, et al. Advantages and Requirements in Time Resolving Tracking for Astroparticle Experiments in Space. Instruments. 2021; 5(2):20. https://doi.org/10.3390/instruments5020020
Chicago/Turabian StyleDuranti, Matteo, Valerio Vagelli, Giovanni Ambrosi, Mattia Barbanera, Bruna Bertucci, Enrico Catanzani, Federico Donnini, Francesco Faldi, Valerio Formato, Maura Graziani, and et al. 2021. "Advantages and Requirements in Time Resolving Tracking for Astroparticle Experiments in Space" Instruments 5, no. 2: 20. https://doi.org/10.3390/instruments5020020
APA StyleDuranti, M., Vagelli, V., Ambrosi, G., Barbanera, M., Bertucci, B., Catanzani, E., Donnini, F., Faldi, F., Formato, V., Graziani, M., Ionica, M., Moriconi, L., Oliva, A., Serpolla, A., Silvestre, G., & Tosti, L. (2021). Advantages and Requirements in Time Resolving Tracking for Astroparticle Experiments in Space. Instruments, 5(2), 20. https://doi.org/10.3390/instruments5020020

