New Projections for Dark Matter Searches with Paleo-Detectors
Abstract
1. Introduction
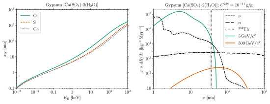
2. Dark Matter Signals in Paleo-Detectors
- High-resolution readout scenario: We assume that 10 mg of material can be read out with a track length resolution of nm. This scenario may be achievable with Helium Ion Beam Microscopy (HIBM) combined with pulsed-laser and fast-ion-beam ablation techniques [46,47,53,54,55,56]. As we will see, this scenario is advantageous for low-mass (GeV) WIMP searches.
3. Backgrounds
- Cosmogenics: In order to mitigate backgrounds from cosmic rays, minerals to be used as paleo-detectors must have been shielded by a large overburden for as long as they have been recording nuclear damage tracks (just as conventional direct detection experiments are operated in deep underground laboratories). Paleo-detectors require only (at most) a few kg of target material rather than actively operating a tonne-scale experiment; such modest amounts of materials can be sourced from even greater depths than those of existing underground laboratories. One promising source of samples is (existing) boreholes drilled for geological R&D or oil exploration. For example, for an overburden of 5 km rock, the cosmogenic-muon-induced neutron flux is [110], leading to negligible backgrounds for the purposes of a paleo-detector. We note that at depths km rock, backgrounds from atmospheric neutrinos producing neutrons in the vicinity of the target become comparable to the backgrounds from cosmogenic muons [111]. We also note that paleo-detector samples can be stored near the surface after extraction from deep in the Earth before readout. For example, the cosmogenic-muon-induced neutron flux in a ∼50 m deep storage facility is ≲.
- Astrophysical Neutrinos: Neutrinos scattering off nuclei in a paleo-detector sample give rise to nuclear damage tracks. We include neutrinos from the Sun, supernovae, and the interactions of cosmic rays with the Earth’s atmosphere in our background modeling. We take the solar and atmospheric neutrino fluxes from Reference [112]. Because of the long integration times, paleo-detectors are sensitive not only to neutrinos from supernovae in far-away galaxies throughout our Universe (the Diffuse Supernova Neutrino Background, DSNB), but also to neutrinos from local supernovae—the supernova rate in the Milky Way is estimated to be 2–3 per 100 years [113,114,115,116,117,118]. We compute the DSNB spectrum and the contribution from Galactic supernovae as in Reference [76]; see also References [118,119,120,121,122]. The neutrino-induced background is dominated by solar neutrinos at track lengths below ∼100 nm, with supernova neutrinos giving the largest contributions for tracks of a few 100 nm, before atmospheric neutrinos dominate the neutrino-induced backgrounds at even longer track lengths. Note that while neutrino-induced nuclear recoils are a background for DM searches, they can also be an interesting signal for paleo-detectors; see References [76,77,78].
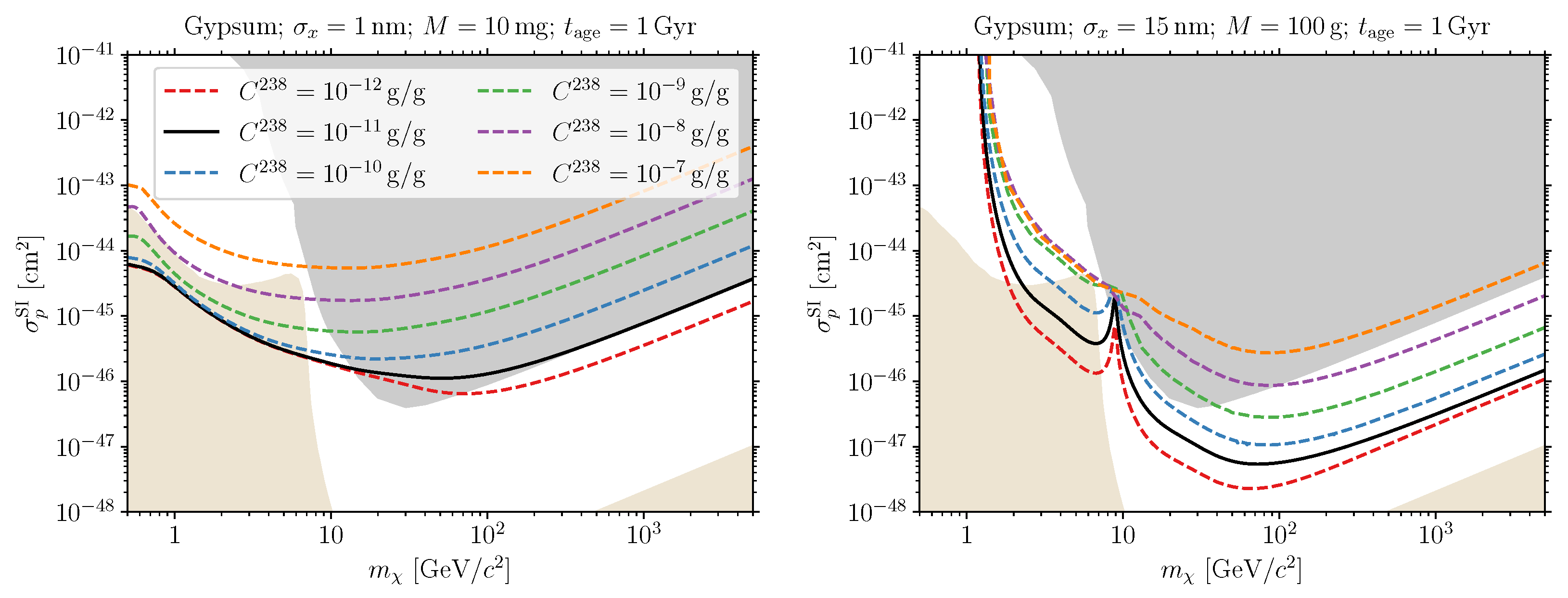
- Radiogenics: Any natural mineral used as a paleo-detector will contain trace amounts of radioactive materials. In order to mitigate radiogenic backgrounds, it is crucial to use minerals with as low a concentration of radioactive elements as possible. The most important radioactive isotope for paleo-detectors is . Typical minerals formed in the Earth’s crust have concentrations of order ∼ g/g, leading to prohibitively large backgrounds for DM searches. However, minerals that constitute so-called Ultra Basic Rocks (UBRs), formed from the material of the Earth’s mantle, and Marine Evaporites (MEs), formed from evaporated sea water, have typical concentrations orders of magnitude lower [123,124,125,126,127,128,129], (see also Reference [36] and especially the discussion in the appendix of Reference [76]). As in previous works on paleo-detectors [35,36,37,76,77], we will assume benchmark concentrations of g/g for UBRs and g/g for MEs.
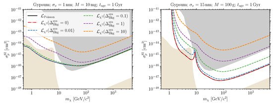
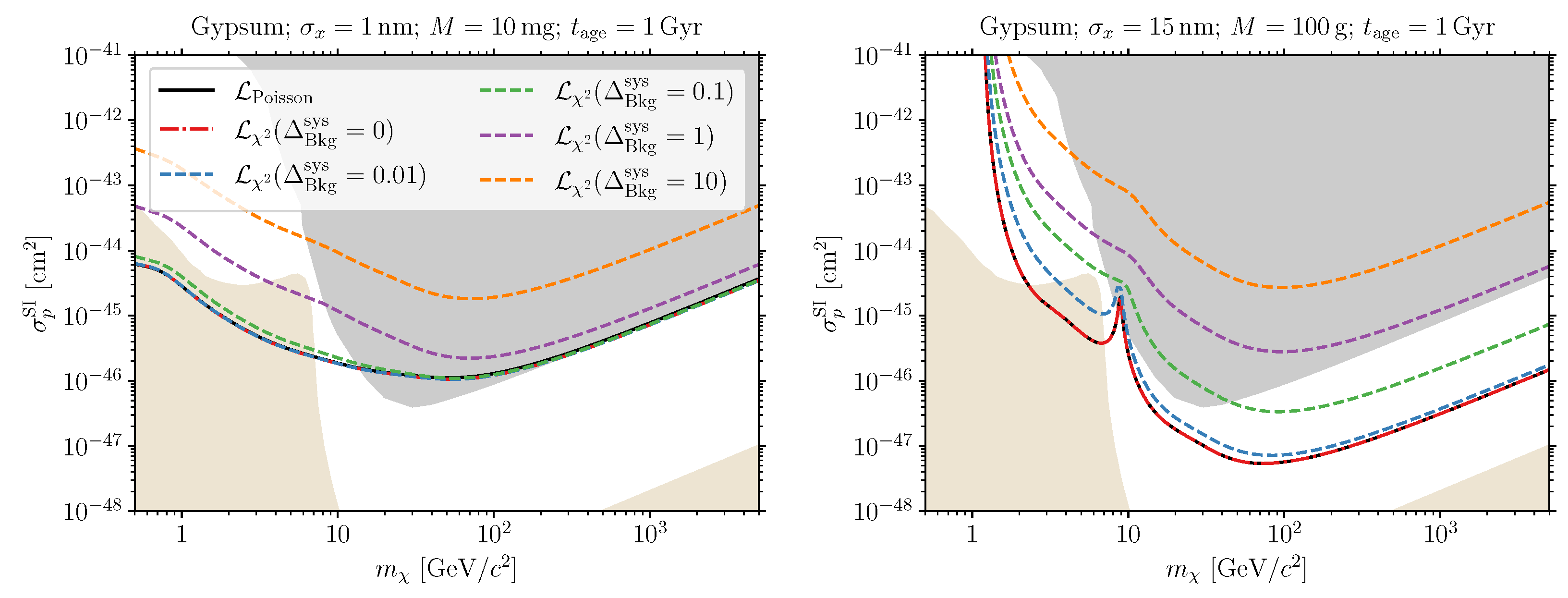
4. Sensitivity Forecasts
5. Summary and Conclusions
Author Contributions
Funding
Data Availability Statement
Acknowledgments
Conflicts of Interest
References
- Bertone, G.; Hooper, D. History of dark matter. Rev. Mod. Phys. 2018, 90, 045002. [Google Scholar] [CrossRef]
- Jungman, G.; Kamionkowski, M.; Griest, K. Supersymmetric dark matter. Phys. Rep. 1996, 267, 195–373. [Google Scholar] [CrossRef]
- Arcadi, G.; Dutra, M.; Ghosh, P.; Lindner, M.; Mambrini, Y.; Pierre, M.; Profumo, S.; Queiroz, F.S. The waning of the WIMP? A review of models, searches, and constraints. Eur. Phys. J. C 2018, 78, 203. [Google Scholar] [CrossRef]
- Roszkowski, L.; Sessolo, E.M.; Trojanowski, S. WIMP dark matter candidates and searches—Current status and future prospects. Rep. Prog. Phys. 2018, 81, 066201. [Google Scholar] [CrossRef]
- Drukier, A.; Stodolsky, L. Principles and Applications of a Neutral Current Detector for Neutrino Physics and Astronomy. Phys. Rev. D 1984, 30, 2295. [Google Scholar] [CrossRef]
- Goodman, M.W.; Witten, E. Detectability of Certain Dark Matter Candidates. Phys. Rev. D 1985, 31, 3059. [Google Scholar] [CrossRef] [PubMed]
- Drukier, A.K.; Freese, K.; Spergel, D.N. Detecting Cold Dark Matter Candidates. Phys. Rev. D 1986, 33, 3495–3508. [Google Scholar] [CrossRef] [PubMed]
- Spergel, D.N. The Motion of the Earth and the Detection of Wimps. Phys. Rev. D 1988, 37, 1353. [Google Scholar] [CrossRef] [PubMed]
- Collar, J.I.; Avignone, F.T. Diurnal modulation effects in cold dark matter experiments. Phys. Lett. B 1992, 275, 181–185. [Google Scholar] [CrossRef]
- Akerib, D.S.; Alsum, S.; Araújo, H.M.; Bai, X.; Bailey, A.J.; Balajthy, J.; Beltrame, P.; Bernard, E.P.; Bernstein, A.; Biesiadzinski, T.P.; et al. Results from a search for dark matter in the complete LUX exposure. Phys. Rev. Lett. 2017, 118, 021303. [Google Scholar] [CrossRef] [PubMed]
- Agnes, P.; Albuquerque, I.; Alexander, T.; Alton, A.; Araujo, G.; Ave, M.; Back, H.; Baldin, B.; Batignani, G.; Biery, K.; et al. DarkSide-50 532-day Dark Matter Search with Low-Radioactivity Argon. Phys. Rev. D 2018, 98, 102006. [Google Scholar] [CrossRef]
- Collaboration, X.; Aprile, E.; Aalbers, J.; Agostini, F.; Alfonsi, M.; Althueser, L.; Amaro, F.; Anthony, M.; Arneodo, F.; Baudis, L.; et al. Dark Matter Search Results from a One Ton-Year Exposure of XENON1T. Phys. Rev. Lett. 2018, 121, 111302. [Google Scholar] [CrossRef]
- Wang, Q.; Abdukerim, A.; Chen, W.; Chen, X.; Chen, Y.; Cheng, C.; Cui, X.; Fan, Y.; Fang, D.; Fu, C.; et al. Results of dark matter search using the full PandaX-II exposure. Chin. Phys. C 2020, 44, 125001. [Google Scholar] [CrossRef]
- Angloher, G.; Bento, A.; Bucci, C.; Canonica, L.; Defay, X.; Erb, A.; von Feilitzsch, F.; Iachellini, N.F.; Gorla, P.; Gütlein, A.; et al. Results on light dark matter particles with a low-threshold CRESST-II detector. Eur. Phys. J. C 2016, 76, 25. [Google Scholar] [CrossRef]
- Armengaud, E.; Arnaud, Q.; Augier, C.; Benoît, A.; Berge, L.; Bergmann, T.; Billard, J.; Blümer, J.; de Boissiere, T.; Bres, G.; et al. Constraints on low-mass WIMPs from the EDELWEISS-III dark matter search. JCAP 2016, 5, 19. [Google Scholar] [CrossRef]
- Agnese, R.; Anderson, A.; Aralis, T.; Aramaki, T.; Arnquist, I.; Baker, W.; Balakishiyeva, D.; Barker, D.; Thakur, R.B.; Bauer, D.; et al. Low-mass dark matter search with CDMSlite. Phys. Rev. D 2018, 97, 022002. [Google Scholar] [CrossRef]
- Petricca, F.; Angloher, G.; Bauer, P.; Bento, A.; Bucci, C.; Canonica, L.; Defay, X.; Erb, A.; v Feilitzsch, F.; Iachellini, N.F.; et al. First results on low-mass dark matter from the CRESST-III experiment. J. Phys. Conf. Ser. 2020, 1342, 012076. [Google Scholar] [CrossRef]
- Armengaud, E.; Augier, C.; Benoît, A.; Benoit, A.; Bergé, L.; Billard, J.; Broniatowski, A.; Camus, P.; Cazes, A.; Chapellier, M.; et al. Searching for low-mass dark matter particles with a massive Ge bolometer operated above-ground. Phys. Rev. D 2019, 99, 082003. [Google Scholar] [CrossRef]
- Aprile, E.; Aalbers, J.; Agostini, F.; Alfonsi, M.; Amaro, F.; Anthony, M.; Arazi, L.; Arneodo, F.; Balan, C.; Barrow, P.; et al. Physics reach of the XENON1T dark matter experiment. JCAP 2016, 1604, 27. [Google Scholar] [CrossRef]
- Mount, B.J.; Hans, S.; Rosero, R.; Yeh, M.; Chan, C.; Gaitskell, R.J.; Huang, D.Q.; Makkinje, J.; Malling, D.C.; Pangilinan, M.; et al. LUX-ZEPLIN (LZ) Technical Design Report. arXiv 2017, arXiv:1703.09144. [Google Scholar]
- Aalbers, J.; Agostini, F.; Alfonsi, M.; Amaro, F.; Amsler, C.; Aprile, E.; Arazi, L.; Arneodo, F.; Barrow, P.; Baudis, L.; et al. DARWIN: Towards the ultimate dark matter detector. JCAP 2016, 1611, 17. [Google Scholar] [CrossRef]
- Aalseth, C.E.; Acerbi, F.; Agnes, P.; Albuquerque, I.; Alexander, T.; Alici, A.; Alton, A.; Antonioli, P.; Arcelli, S.; Ardito, R.; et al. DarkSide-20k: A 20 tonne two-phase LAr TPC for direct dark matter detection at LNGS. Eur. Phys. J. Plus 2018, 133, 131. [Google Scholar] [CrossRef]
- Amaudruz, P.A.; Baldwin, M.; Batygov, M.; Beltran, B.; Bina, C.; Bishop, D.; Bonatt, J.; Boorman, G.; Boulay, M.G.; Broerman, B.; et al. Design and Construction of the DEAP-3600 Dark Matter Detector. Astropart. Phys. 2019, 108, 1–23. [Google Scholar] [CrossRef]
- Daw, E.; Dorofeev, A.; Fox, J.; Gauvreau, J.-L.; Ghag, C.; Harmon, L.; Harton, J.; Gold, M.; Lee, E.; Loomba, D.; et al. The DRIFT Directional Dark Matter Experiments. EAS Publ. Ser. 2012, 53, 11–18. [Google Scholar] [CrossRef]
- Cappella, F.; Bernabei, R.; Belli, P.; Caracciolo, V.; Cerulli, R.; Danevich, F.; d’Angelo, A.; Di Marco, A.; Incicchitti, A.; Poda, D.; et al. On the potentiality of the ZnWO4 anisotropic detectors to measure the directionality of Dark Matter. Eur. Phys. J. C 2013, 1, 2276. [Google Scholar] [CrossRef]
- Battat, J.B.; Brack, J.; Daw, E.; Dorofeev, A.; Ezeribe, A.; Gauvreau, J.-L.; Gold, M.; Harton, J.; Landers, J.; Law, E.; et al. First background-free limit from a directional dark matter experiment: Results from a fully fiducialised DRIFT detector. Phys. Dark Univ. 2015, 9–10, 1–7. [Google Scholar] [CrossRef]
- Riffard, Q.; Billard, J.; Bosson, G.; Bourrion, O.; Guillaudin, O.; Lamblin, J.; Mayet, F.; Muraz, J.-F.; Richer, J.-P.; Santos, D.; et al. Dark Matter directional detection with MIMAC. In Proceedings of the 48th Rencontres de Moriond on Very High Energy Phenomena in the Universe, La Thuile, Italy, 9–16 March 2013; pp. 227–230. [Google Scholar]
- Santos, D.; Bosson, G.; Bouly, J.; Bourrion, O.; Fourel, C.; Guillaudin, O.; Lamblin, J.; Mayet, F.; Muraz, J.; Richer, J.; et al. MIMAC: MIcro-tpc MAtrix of Chambers for dark matter directional detection. J. Phys. Conf. Ser. 2013, 469, 012002. [Google Scholar] [CrossRef]
- Monroe, J. Status and Prospects of the DMTPC Directional Dark Matter Experiment. EAS Publ. Ser. 2012, 53, 19–24. [Google Scholar] [CrossRef][Green Version]
- Leyton, M. Directional dark matter detection with the DMTPC m3 experiment. J. Phys. Conf. Ser. 2016, 718, 042035. [Google Scholar] [CrossRef]
- Miuchi, K.; Nishimura, H.; Hattori, K.; Higashi, N.; Ida, C.; Iwaki, S.; Kabuki, S.; Kubo, H.; Kurosawa, S.; Nakamura, K.; et al. First underground results with NEWAGE-0.3a direction-sensitive dark matter detector. Phys. Lett. B 2010, 686, 11–17. [Google Scholar] [CrossRef]
- Nakamura, K.; Miuchi, K.; Tanimori, T.; Kubo, H.; Takada, A.; Parker, J.D.; Mizumoto, T.; Mizumura, Y.; Nishimura, H.; Sekiya, H.; et al. Direction-sensitive dark matter search with gaseous tracking detector NEWAGE-0.3b’. PTEP 2015, 2015, 043F01. [Google Scholar] [CrossRef]
- Battat, J.; Ezeribe, A.; Gauvreau, J.-L.; Harton, J.; Lafler, R.; Law, E.; Lee, E.; Loomba, D.; Lumnah, A.; Miller, E.; et al. Low Threshold Results and Limits from the DRIFT Directional Dark Matter Detector. Astropart. Phys. 2017, 91, 65–74. [Google Scholar] [CrossRef]
- Vahsen, S.E.; O’Hare, C.A.J.; Lynch, W.A.; Spooner, N.J.C.; Baracchini, E.; Barbeau, P.; Battat, J.B.R.; Crow, B.; Deaconu, C.; Eldridge, C.; et al. CYGNUS: Feasibility of a nuclear recoil observatory with directional sensitivity to dark matter and neutrinos. arXiv 2020, arXiv:2008.12587. [Google Scholar]
- Baum, S.; Drukier, A.K.; Freese, K.; Górski, M.; Stengel, P. Searching for Dark Matter with Paleo-Detectors. Phys. Lett. B 2020, 803, 135325. [Google Scholar] [CrossRef]
- Drukier, A.K.; Baum, S.; Freese, K.; Górski, M.; Stengel, P. Paleo-detectors: Searching for Dark Matter with Ancient Minerals. Phys. Rev. D 2019, 99, 043014. [Google Scholar] [CrossRef]
- Edwards, T.D.P.; Kavanagh, B.J.; Weniger, C.; Baum, S.; Drukier, A.K.; Freese, K.; Górski, M.; Stengel, P. Digging for dark matter: Spectral analysis and discovery potential of paleo-detectors. Phys. Rev. D 2019, 99, 043541. [Google Scholar] [CrossRef]
- Fleischer, R.L.; Price, P.B.; Walker, R.M.; Hubbard, E.L. Track Registration in Various Solid-State Nuclear Track Detectors. Phys. Rev. 1964, 133, A1443–A1449. [Google Scholar] [CrossRef]
- Fleischer, R.L.; Price, P.B.; Walker, R.M. Tracks of Charged Particles in Solids. Science 1965, 149, 383–393. [Google Scholar] [CrossRef]
- Fleischer, R.L.; Price, P.B.; Walker, R.M. Solid-state track detectors: Applications to nuclear science and geophysics. Ann. Rev. Nucl. Part. Sci. 1965, 15, 1–28. [Google Scholar] [CrossRef]
- Guo, S.L.; Chen, B.L.; Durrani, S. Chapter 3—Solid-State Nuclear Track Detectors. In Handbook of Radioactivity Analysis, 4th ed.; L’Annunziata, M.F., Ed.; Academic Press: Amsterdam, The Netherland, 2020; pp. 307–407. [Google Scholar] [CrossRef]
- Gradstein, F.M.; Ogg, J.G.; Schmitz, M.D.; Ogg, G.M. (Eds.) The Geologic Time Scale; Elsevier: Amsterdam, The Netherlands, 2012. [Google Scholar] [CrossRef]
- Gallagher, K.; Brown, R.; Johnson, C. Fission Track Analysis and its Applications to Geological Problems. Annu. Rev. Earth Planet. Sci. 1998, 26, 519–572. [Google Scholar] [CrossRef]
- van den Haute, P.; de Corte, F. (Eds.) Advances in Fission-Track Geochronology; Springer: Berlin/Heidelberg, Germany, 1998. [Google Scholar] [CrossRef]
- Toulemonde, M.; Assmann, W.; Dufour, C.; Meftah, A.; Studer, F.; Trautmann, C. Experimental Phenomena and Thermal Spike Model Description of Ion Tracks in Amorphisable Inorganic Insulators. In Ion Beam Science: Solved and Unsolved Problems, Mat. Fys. Medd. Dan. Vid. Selsk.; Sigmund, P., Ed.; Det Kongelige Danske Videnskabernes Selskab: Copenhagen, Denmark, 2006; Volume 52, p. 263. [Google Scholar]
- Hill, R.; Notte, J.A.; Scipioni, L. Chapter 2—Scanning Helium Ion Microscopy. In Advances in Imaging and Electron Physics; Hawkes, P.W., Ed.; Elsevier: Amsterdam, The Netherlands, 2012; Volume 170, pp. 65–148. [Google Scholar] [CrossRef]
- van Gastel, R.; Hlawacek, G.; Zandvliet, H.J.; Poelsema, B. Subsurface analysis of semiconductor structures with helium ion microscopy. Microelectron. Reliab. 2012, 52, 2104–2109. [Google Scholar] [CrossRef]
- Rodriguez, M.; Li, W.; Chen, F.; Trautmann, C.; Bierschenk, T.; Afra, B.; Schauries, D.; Ewing, R.; Mudie, S.; Kluth, P. SAXS and TEM investigation of ion tracks in neodymium-doped yttrium aluminium garnet. Nucl. Instrum. Methods Phys. Res. Sect. Beam Interact. Mater. Atoms. 2014, 326, 150–153. [Google Scholar] [CrossRef]
- Schaff, F.; Bech, M.; Zaslansky, P.; Jud, C.; Liebi, M.; Guizar-Sicairos, M.; Pfeiffer, F. Six-dimensional real and reciprocal space small-angle X-ray scattering tomography. Nature 2015, 527, 353. [Google Scholar] [CrossRef] [PubMed]
- Holler, M.; Diaz, A.; Guizar-Sicairos, M.; Karvinen, P.; Färm, E.; Härkönen, E.; Ritala, M.; Menzel, A.; Raabe, J.; Bunk, O. X-ray ptychographic computed tomography at 16 nm isotropic 3D resolution. Sci. Rep. 2014, 4, 3857. [Google Scholar] [CrossRef] [PubMed]
- Bartz, J.; Zeissler, C.; Fomenko, V.; Akselrod, M. An imaging spectrometer based on high resolution microscopy of fluorescent aluminum oxide crystal detectors. Radiat. Meas. 2013, 56, 273–276. [Google Scholar] [CrossRef]
- Kouwenberg, J.; Kremers, G.; Slotman, J.; Woltenbeek, H.; Houtsmuller, A.; Denkova, A.; Bos, A. Alpha particle spectroscopy using FNTD and SIM super-resolution microscopy. J. Microsc. 2018, 270, 326–334. [Google Scholar] [CrossRef]
- Joens, M.S.; Huynh, C.; Kasuboski, J.M.; Ferranti, D.; Sigal, Y.J.; Zeitvogel, F.; Obst, M.; Burkhardt, C.J.; Curran, K.P.; Chalasani, S.H.; et al. Helium Ion Microscopy (HIM) for the imaging of biological samples at sub-nanometer resolution. Sci. Rep. 2013, 3, 3514. [Google Scholar] [CrossRef] [PubMed]
- Echlin, M.P.; Straw, M.; Randolph, S.; Filevich, J.; Pollock, T.M. The TriBeam system: Femtosecond laser ablation in situ SEM. Mater. Charact. 2015, 100, 1–12. [Google Scholar] [CrossRef]
- Pfeifenberger, M.J.; Mangang, M.; Wurster, S.; Reiser, J.; Hohenwarter, A.; Pfleging, W.; Kiener, D.; Pippan, R. The use of femtosecond laser ablation as a novel tool for rapid micro-mechanical sample preparation. Mater. Des. 2017, 121, 109–118. [Google Scholar] [CrossRef]
- Randolph, S.J.; Filevich, J.; Botman, A.; Gannon, R.; Rue, C.; Straw, M. In situ femtosecond pulse laser ablation for large volume 3D analysis in scanning electron microscope systems. J. Vac. Sci. Technol. 2018, 36, 06JB01. [Google Scholar] [CrossRef]
- Goto, E. On the Observation of Magnetic Monopoles. J. Phys. Soc. Jpn. 1958, 13, 1413–1418. [Google Scholar] [CrossRef]
- Goto, E.; Kolm, H.H.; Ford, K.W. Search for Ferromagnetically Trapped Magnetic Monopoles of Cosmic-Ray Origin. Phys. Rev. 1963, 132, 387. [Google Scholar] [CrossRef]
- Fleischer, R.L.; Jacobs, I.S.; Schwarz, W.M.; Price, P.B.; Goodell, H.G. Search for Multiply Charged Dirac Magnetic Poles. Phys. Rev. 1969, 177, 2029–2035. [Google Scholar] [CrossRef]
- Fleischer, R.L.; Hart, H.R.; Jacobs, I.S.; Price, P.B.; Schwarz, W.M.; Aumento, F. Search for magnetic monopoles in deep ocean deposits. Phys. Rev. 1969, 184, 1393–1397. [Google Scholar] [CrossRef]
- Fleischer, R.L.; Price, P.B.; Woods, R.T. Search for tracks of massive, multiply charged magnetic poles. Phys. Rev. 1969, 184, 1398–1401. [Google Scholar] [CrossRef]
- Alvarez, L.W.; Eberhard, P.H.; Ross, R.R.; Watt, R.D. Search for Magnetic Monopoles in the Lunar Sample. Science 1970, 167, 701–703. [Google Scholar] [CrossRef] [PubMed]
- Kolm, H.H.; Villa, F.; Odian, A. Search for Magnetic Monopoles. Phys. Rev. D 1971, 4, 1285. [Google Scholar] [CrossRef]
- Eberhard, P.H.; Ross, R.R.; Alvarez, L.W.; Watt, R.D. Search for Magnetic Monopoles in Lunar Material. Phys. Rev. D 1971, 4, 3260. [Google Scholar] [CrossRef]
- Ross, R.R.; Eberhard, P.H.; Alvarez, L.W.; Watt, R.D. Search for Magnetic Monopoles in Lunar Material Using an Electromagnetic Detector. Phys. Rev. D 1973, 8, 698. [Google Scholar] [CrossRef]
- Price, P.B.; Guo, S.l.; Ahlen, S.P.; Fleischer, R.L. Search for GUT Magnetic Monopoles at a Flux Level Below the Parker Limit. Phys. Rev. Lett. 1984, 52, 1265. [Google Scholar] [CrossRef]
- Kovalik, J.M.; Kirschvink, J.L. New Superconducting Quantum Interface Device Based Constraints on the Abundance of Magnetic Monopoles Trapped in Matter: An Investigation of Deeply Buried Rocks. Phys. Rev. A 1986, 33, 1183–1187. [Google Scholar] [CrossRef]
- Price, P.B.; Salamon, M.H. Search for Supermassive Magnetic Monopoles Using Mica Crystals. Phys. Rev. Lett. 1986, 56, 1226–1229. [Google Scholar] [CrossRef]
- Ghosh, D.; Chatterjea, S. Supermassive magnetic monopoles flux from the oldest mica samples. Europhys. Lett. 1990, 12, 25–28. [Google Scholar] [CrossRef]
- Jeon, H.; Longo, M.J. Search for magnetic monopoles trapped in matter. Phys. Rev. Lett. 1995, 75, 1443–1446, Erratum in Phys. Rev. Lett. 1996, 76, 159. [Google Scholar] [CrossRef]
- Collar, J.I.; Zioutas, K. Limits on exotic heavily ionizing particles from the geological abundance of fullerenes. Phys. Rev. Lett. 1999, 83, 3097. [Google Scholar] [CrossRef]
- Snowden-Ifft, D.P.; Freeman, E.S.; Price, P.B. Limits on dark matter using ancient mica. Phys. Rev. Lett. 1995, 74, 4133–4136. [Google Scholar] [CrossRef] [PubMed]
- Collar, J.I.; Avignone, F.T., III. Nuclear tracks from cold dark matter interactions in mineral crystals: A Computational study. Nucl. Instrum. Meth. 1995, B95, 349. [Google Scholar] [CrossRef][Green Version]
- Engel, J.; Ressell, M.T.; Towner, I.S.; Ormand, W.E. Response of mica to weakly interacting massive particles. Phys. Rev. C 1995, 52, 2216–2221. [Google Scholar] [CrossRef] [PubMed]
- Snowden-Ifft, D.P.; Westphal, A.J. Unique signature of dark matter in ancient mica. Phys. Rev. Lett. 1997, 78, 1628–1631. [Google Scholar] [CrossRef]
- Baum, S.; Edwards, T.D.P.; Kavanagh, B.J.; Stengel, P.; Drukier, A.K.; Freese, K.; Górski, M.; Weniger, C. Paleodetectors for Galactic supernova neutrinos. Phys. Rev. D 2020, 101, 103017. [Google Scholar] [CrossRef]
- Jordan, J.R.; Baum, S.; Stengel, P.; Ferrari, A.; Morone, M.C.; Sala, P.; Spitz, J. Measuring Changes in the Atmospheric Neutrino Rate Over Gigayear Timescales. Phys. Rev. Lett. 2020, 125, 231802. [Google Scholar] [CrossRef] [PubMed]
- Arellano, N.T.; Horiuchi, S. Measuring solar neutrinos over Gigayear timescales with Paleo Detectors. arXiv 2021, arXiv:2102.01755. [Google Scholar]
- Rajendran, S.; Zobrist, N.; Sushkov, A.O.; Walsworth, R.; Lukin, M. A method for directional detection of dark matter using spectroscopy of crystal defects. Phys. Rev. D 2017, 96, 035009. [Google Scholar] [CrossRef]
- Essig, R.; Mardon, J.; Slone, O.; Volansky, T. Detection of sub-GeV Dark Matter and Solar Neutrinos via Chemical-Bond Breaking. Phys. Rev. D 2017, 95, 056011. [Google Scholar] [CrossRef]
- Budnik, R.; Chesnovsky, O.; Slone, O.; Volansky, T. Direct Detection of Light Dark Matter and Solar Neutrinos via Color Center Production in Crystals. Phys. Lett. B 2018, 782, 242–250. [Google Scholar] [CrossRef]
- Cogswell, B.K.; Goel, A.; Huber, P. Passive low-energy nuclear recoil detection with color centers. arXiv 2021, arXiv:2104.13926. [Google Scholar]
- Ebadi, R.; Mathur, A.; Tanin, E.H.; Tailby, N.D.; Marshall, M.C.; Ravi, A.; Trubko, R.; Fu, R.R.; Phillips, D.F.; Rajendran, S.; et al. Ultra-Heavy Dark Matter Search with Electron Microscopy of Geological Quartz. arXiv 2021, arXiv:2105.03998. [Google Scholar]
- Baum, S.; DeRocco, W.; Edwards, T.D.P.; Kalia, S. Throwing Rocks at Dinosaurs: Time-varying Dark Matter Signals in Paleo-Detectors. To appear.
- Available online: https://github.com/sbaum90/paleoSpec (accessed on 10 June 2021).
- Available online: https://github.com/sbaum90/paleoSens (accessed on 10 June 2021).
- Engel, J. Nuclear form-factors for the scattering of weakly interacting massive particles. Phys. Lett. B 1991, 264, 114–119. [Google Scholar] [CrossRef]
- Engel, J.; Pittel, S.; Vogel, P. Nuclear physics of dark matter detection. Int. J. Mod. Phys. 1992, E1, 1–37. [Google Scholar] [CrossRef]
- Ressell, M.T.; Aufderheide, M.B.; Bloom, S.D.; Griest, K.; Mathews, G.J.; Resler, D.A. Nuclear shell model calculations of neutralino - nucleus cross-sections for Si-29 and Ge-73. Phys. Rev. D 1993, 48, 5519–5535. [Google Scholar] [CrossRef]
- Bednyakov, V.A.; Simkovic, F. Nuclear spin structure in dark matter search: The Zero momentum transfer limit. Phys. Part. Nucl. 2005, 36, 131–152. [Google Scholar] [CrossRef]
- Bednyakov, V.A.; Simkovic, F. Nuclear spin structure in dark matter search: The Finite momentum transfer limit. Phys. Part. Nucl. 2006, 37, S106–S128. [Google Scholar] [CrossRef]
- Fan, J.; Reece, M.; Wang, L.T. Non-relativistic effective theory of dark matter direct detection. JCAP 2010, 1011, 42. [Google Scholar] [CrossRef]
- Fitzpatrick, A.L.; Haxton, W.; Katz, E.; Lubbers, N.; Xu, Y. The Effective Field Theory of Dark Matter Direct Detection. JCAP 2013, 1302, 4. [Google Scholar] [CrossRef]
- Helm, R.H. Inelastic and Elastic Scattering of 187-Mev Electrons from Selected Even-Even Nuclei. Phys. Rev. 1956, 104, 1466–1475. [Google Scholar] [CrossRef]
- Lewin, J.D.; Smith, P.F. Review of mathematics, numerical factors, and corrections for dark matter experiments based on elastic nuclear recoil. Astropart. Phys. 1996, 6, 87–112. [Google Scholar] [CrossRef]
- Duda, G.; Kemper, A.; Gondolo, P. Model Independent Form Factors for Spin Independent Neutralino-Nucleon Scattering from Elastic Electron Scattering Data. JCAP 2007, 0704, 12. [Google Scholar] [CrossRef]
- Vietze, L.; Klos, P.; Menéndez, J.; Haxton, W.C.; Schwenk, A. Nuclear structure aspects of spin-independent WIMP scattering off xenon. Phys. Rev. D 2015, 91, 043520. [Google Scholar] [CrossRef]
- Gazda, D.; Catena, R.; Forssén, C. Ab initio nuclear response functions for dark matter searches. Phys. Rev. D 2017, 95, 103011. [Google Scholar] [CrossRef]
- Körber, C.; Nogga, A.; de Vries, J. First-principle calculations of Dark Matter scattering off light nuclei. Phys. Rev. C 2017, 96, 035805. [Google Scholar] [CrossRef]
- Hoferichter, M.; Klos, P.; Menéndez, J.; Schwenk, A. Nuclear structure factors for general spin-independent WIMP-nucleus scattering. Phys. Rev. D 2019, 99, 055031. [Google Scholar] [CrossRef]
- Koposov, S.E.; Rix, H.W.; Hogg, D.W. Constraining the Milky Way potential with a 6-D phase-space map of the GD-1 stellar stream. Astrophys. J. 2010, 712, 260–273. [Google Scholar] [CrossRef]
- Piffl, T.; Scannapieco, C.; Binney, J.; Steinmetz, M.; Scholz, R.-D.; Williams, M.E.; De Jong, R.S.; Kordopatis, G.; Matijevič, G.; Bienayme, O.; et al. The RAVE survey: The Galactic escape speed and the mass of the Milky Way. Astron. Astrophys. 2014, 562, A91. [Google Scholar] [CrossRef]
- Bovy, J.; Prieto, C.A.; Beers, T.C.; Bizyaev, D.; Da Costa, L.N.; Cunha, K.; Ebelke, G.L.; Eisenstein, D.J.; Frinchaboy, P.M.; Pérez, A.E.G.; et al. The Milky Way’s circular velocity curve between 4 and 14 kpc from APOGEE data. Astrophys. J. 2012, 759, 131. [Google Scholar] [CrossRef]
- Freese, K.; Lisanti, M.; Savage, C. Colloquium: Annual modulation of dark matter. Rev. Mod. Phys. 2013, 85, 1561–1581. [Google Scholar] [CrossRef]
- Ziegler, J.F.; Biersack, J.P.; Ziegler, M.D. The Stopping and Range of Ions in Matter; Lulu Press Co.: Morrisville, NC, USA, 2007. [Google Scholar]
- Ziegler, J.F.; Ziegler, M.D.; Biersack, J.P. SRIM—The stopping and range of ions in matter. Nucl. Instrum. Methods Phys. Res. Sect. Beam Interact. Mater. Atoms. 2010, 268, 1818–1823. [Google Scholar] [CrossRef]
- Aprile, E.; Aalbers, J.; Agostini, F.; Alfonsi, M.; Althueser, L.; Amaro, F.; Antochi, V.C.; Angelino, E.; Arneodo, F.; Barge, D.; et al. Light Dark Matter Search with Ionization Signals in XENON1T. Phys. Rev. Lett. 2019, 123, 251801. [Google Scholar] [CrossRef]
- Hirose, S. (JAMSTEC, Yokohama, Japan). Personal communication, 2021. [Google Scholar]
- Brown, E. (Rensselaer Polytechnic Institute, Troy, NY, USA). Personal communication, 2021. [Google Scholar]
- Mei, D.; Hime, A. Muon-induced background study for underground laboratories. Phys. Rev. D 2006, 73, 053004. [Google Scholar] [CrossRef]
- Aharmim, B.; Ahmed, S.; Andersen, T.; Anthony, A.; Barros, N.; Beier, E.; Bellerive, A.; Beltran, B.; Bergevin, M.; Biller, S.; et al. Measurement of the Cosmic Ray and Neutrino-Induced Muon Flux at the Sudbury Neutrino Observatory. Phys. Rev. D 2009, 80, 012001. [Google Scholar] [CrossRef]
- O’Hare, C.A.J. Can we overcome the neutrino floor at high masses? Phys. Rev. D 2020, 102, 063024. [Google Scholar] [CrossRef]
- Cappellaro, E.; Barbon, R.; Turatto, M. Supernova statistics. Springer Proc. Phys. 2005, 99, 347–354. [Google Scholar] [CrossRef]
- Diehl, R.; Halloin, H.; Kretschmer, K.; Lichti, G.G.; Schönfelder, V.; Strong, A.W.; Kienlin, A.; Wang, W.; Jean, P.; Knödlseder, J.; et al. Radioactive Al-26 and massive stars in the galaxy. Nature 2006, 439, 45–47. [Google Scholar] [CrossRef]
- Strumia, A.; Vissani, F. Neutrino masses and mixings and …. arXiv 2006, arXiv:hep-ph/0606054. [Google Scholar]
- Li, W.; Chornock, R.; Leaman, J.; Filippenko, A.V.; Poznanski, D.; Wang, X.; Ganeshalingam, M.; Mannucci, F. Nearby supernova rates from the Lick Observatory Supernova Search—III. The rate-size relation, and the rates as a function of galaxy Hubble type and colour. Mon. Not. R. Astron. Soc. 2011, 412, 1473–1507. [Google Scholar] [CrossRef]
- Botticella, M.T.; Smartt, S.J.; Kennicutt, R.C., Jr.; Cappellaro, E.; Sereno, M.; Lee, J.C. A comparison between star formation rate diagnostics and rate of core collapse supernovae within 11 Mpc. Astron. Astrophys. 2012, 537, A132. [Google Scholar] [CrossRef]
- Adams, S.M.; Kochanek, C.S.; Beacom, J.F.; Vagins, M.R.; Stanek, K.Z. Observing the Next Galactic Supernova. Astrophys. J. 2013, 778, 164. [Google Scholar] [CrossRef]
- Beacom, J.F. The Diffuse Supernova Neutrino Background. Ann. Rev. Nucl. Part. Sci. 2010, 60, 439–462. [Google Scholar] [CrossRef]
- Billard, J.; Strigari, L.; Figueroa-Feliciano, E. Implication of neutrino backgrounds on the reach of next generation dark matter direct detection experiments. Phys. Rev. D 2014, 89, 023524. [Google Scholar] [CrossRef]
- Madau, P.; Dickinson, M. Cosmic Star Formation History. Ann. Rev. Astron. Astrophys. 2014, 52, 415–486. [Google Scholar] [CrossRef]
- Strolger, L.G.; Dahlen, T.; Rodney, S.A.; Graur, O.; Riess, A.G.; McCully, C.; Ravindranath, S.; Mobasher, B.; Shahady, A.K. The Rate of Core Collapse Supernovae to Redshift 2.5 From The CANDELS and CLASH Supernova Surveys. Astrophys. J. 2015, 813, 93. [Google Scholar] [CrossRef]
- Thomson, S.; Wardle, G. Coloured natural rocksalts: A study of their helium contents, colours and impurities. Geochim. Cosmochim. Acta 1954, 5, 169–184. [Google Scholar] [CrossRef]
- Condie, K.C.; Kuo, C.S.; Walker, R.M.; Murthy, V.R. Uranium Distribution in Separated Clinopyroxenes from Four Eclogites. Science 1969, 165, 57–59. [Google Scholar] [CrossRef]
- Adams, J.A.S.; Osmond, J.K.; Rogers, J.J.W. The geochemistry of thorium and uranium. Phys. Chem. Earth 1959, 3, 298–348. [Google Scholar] [CrossRef]
- Seitz, M.; Hart, S. Uranium and boron distributions in some oceanic ultramafic rocks. Earth Planet. Sci. Lett. 1973, 21, 97–107. [Google Scholar] [CrossRef]
- Dean, W.E. Section 5 Trace and Minor Elements in Evaporites. In Marine Evaporites; SEPM Society for Sedimentary Geology: Tulsa, OK, USA, 1987. [Google Scholar] [CrossRef]
- Yui, M.; Kikawada, Y.; Oi, T.; Honda, T.; Nozaki, T. Abundance of Uranium and Thorium in Rock Salts. Radioisotopes 1998, 47, 488–492. [Google Scholar] [CrossRef]
- Sanford, W.; Doughten, M.; Coplen, T.; Hunt, A.; Bullen, T. Evidence for high salinity of Early Cretaceous sea water from the Chesapeake Bay crater. Nature 2013, 503, 252–256. [Google Scholar] [CrossRef] [PubMed]
- Collar, J.I. Comments on ‘limits on dark matter using ancient mica’. Phys. Rev. Lett. 1996, 76, 331. [Google Scholar] [CrossRef] [PubMed]
- Snowden-Ifft, D.P.; Freeman, E.S.; Price, P.B. Snowden-Ifft, Freemen, and Price Reply (A Reply to the Comment by Juan I Collar). Phys. Rev. Lett. 1996, 76, 332. [Google Scholar] [CrossRef] [PubMed]
- SOURCES 4A: A Code for Calculating (Alpha, n), Spontaneous Fission, and Delayed Neutron Sources and Spectra; Technical Report LA-13639-MS; Los Alamos National Lab.: Los Alamos, NM, USA, 1999. [CrossRef]
- Koning, A.J.; Rochman, D. Modern Nuclear Data Evaluation with the TALYS Code System. Nucl. Data Sheets 2012, 113, 2841–2934. [Google Scholar] [CrossRef]
- Rochman, D.; Koning, A.J.; Sublet, J.C.; Fleming, M.; Bauge, E.; Hilaire, S.; Romain, P.; Morillon, B.; Duarte, H.; Goriely, S.; et al. The TENDL library: Hope, reality and future. In Proceedings of the International Conference on Nuclear Data for Science and Technology, Bruges, Belgium, 11–16 September 2016. [Google Scholar]
- Sublet, J.C.; Koning, A.J.; Rochman, D.; Fleming, M.; Gilbert, M. TENDL-2015: Delivering Both Completeness and Robustness. In Proceedings of the Advances in Nuclear Nonproliferation Technology and Policy Conference, Santa Fe, NM, USA, 25–30 September 2015. [Google Scholar]
- Fleming, M.; Sublet, J.C.; Kopecky, J.; Rochman, D.; Koning, A.J. Probing Experimental and Systematic Trends of the Neutron-Induced TENDL-2014 Nuclear Data Library; CCFE report UKAEA-R: Abingdon, UK, October 2015. [Google Scholar]
- Soppera, N.; Bossant, M.; Dupont, E. JANIS 4: An Improved Version of the NEA Java-based Nuclear Data Information System. Nucl. Data Sheets 2014, 120, 294–296. [Google Scholar] [CrossRef]
- Ferrari, A.; Sala, P.R.; Fasso, A.; Ranft, J. FLUKA: A Multi-Particle TRANSPORT code (Program Version 2005); CERN-2005-010, SLAC-R-773, INFN-TC-05-11; Menlo Park, CA, USA; SLAC National Accelerator Lab.: Menlo Park, CA, USA, 2005. [Google Scholar] [CrossRef]
- Böhlen, T.T.; Cerutti, F.; Chin, M.P.W.; Fassò, A.; Ferrari, A.; Ortega, P.G.; Mairani, A.; Sala, P.R.; Smirnov, G.; Vlachoudis, V. The FLUKA Code: Developments and Challenges for High Energy and Medical Applications. Nucl. Data Sheets 2014, 120, 211–214. [Google Scholar] [CrossRef]
- Battistoni, G.; Ferrari, A.; Lantz, M.; Sala, P.R.; Smirnov, G.I. A neutrino-nucleon interaction generator for the FLUKA Monte Carlo code. In Proceedings of the 12th International Conference on Nuclear Reaction Mechanisms, CERN-Proceedings-2010-001, Varenna, Italy, 15–19 June 2009; pp. 387–394. [Google Scholar]
- Povinec, P.P. New ultra-sensitive radioanalytical technologies for new science. J. Radioanal. Nucl. Chem. 2018, 316, 893–931. [Google Scholar] [CrossRef]
- Povinec, P.; Benedik, L.; Breier, R.; Ješkovský, M.; Kaizer, J.; Kameník, J.; Kochetov, O.; Kučera, J.; Loaiza, P.; Nisi, S.; et al. Ultra-sensitive radioanalytical technologies for underground physics experiments. J. Radioanal. Nucl. Chem. 2018, 318, 677–684. [Google Scholar] [CrossRef]
- Edwards, T.D.P.; Weniger, C. A Fresh Approach to Forecasting in Astroparticle Physics and Dark Matter Searches. JCAP 2018, 1802, 21. [Google Scholar] [CrossRef]
- Edwards, T.D.P.; Weniger, C. swordfish: Efficient Forecasting of New Physics Searches without Monte Carlo. arXiv 2017, arXiv:1712.05401. [Google Scholar]
- Available online: https://github.com/cweniger/swordfish (accessed on 10 June 2021).
- Cowan, G.; Cranmer, K.; Gross, E.; Vitells, O. Asymptotic formulae for likelihood-based tests of new physics. Eur. Phys. J. C 2011, 71, 1554, Erratum in Eur. Phys. J. C 2013, 73, 2501. [Google Scholar] [CrossRef]
- Billard, J.; Mayet, F.; Santos, D. Assessing the discovery potential of directional detection of dark matter. Phys. Rev. D 2012, 85, 035006. [Google Scholar] [CrossRef]
- Conrad, J. Statistical Issues in Astrophysical Searches for Particle Dark Matter. Astropart. Phys. 2015, 62, 165–177. [Google Scholar] [CrossRef]
- Wilks, S.S. The Large-Sample Distribution of the Likelihood Ratio for Testing Composite Hypotheses. Annals Math. Statist. 1938, 9, 60–62. [Google Scholar] [CrossRef]
- Agnes, P.; Albuquerque, I.; Alexander, T.; Alton, A.; Araujo, G.; Asner, D.M.; Ave, M.; Back, H.O.; Baldin, B.; Batignani, G.; et al. Low-Mass Dark Matter Search with the DarkSide-50 Experiment. Phys. Rev. Lett. 2018, 121, 081307. [Google Scholar] [CrossRef]
- Ruppin, F.; Billard, J.; Figueroa-Feliciano, E.; Strigari, L. Complementarity of dark matter detectors in light of the neutrino background. Phys. Rev. D 2014, 90, 083510. [Google Scholar] [CrossRef]





| Mineral | Composition | Fiducial U Concentration [per Weight, g/g] |
|---|---|---|
| Halite | NaCl | |
| Gypsum | Ca(SO(HO) | |
| Sinjarite | CaClHO) | |
| Olivine | MgFe(SiO) | |
| Phlogopite | KMgAlSiOF(OH) | |
| Nchwaningite | MnSiO(OH)HO) |
Publisher’s Note: MDPI stays neutral with regard to jurisdictional claims in published maps and institutional affiliations. |
© 2021 by the authors. Licensee MDPI, Basel, Switzerland. This article is an open access article distributed under the terms and conditions of the Creative Commons Attribution (CC BY) license (https://creativecommons.org/licenses/by/4.0/).
Share and Cite
Baum, S.; Edwards, T. .; Freese, K.; Stengel, P. New Projections for Dark Matter Searches with Paleo-Detectors. Instruments 2021, 5, 21. https://doi.org/10.3390/instruments5020021
Baum S, Edwards T , Freese K, Stengel P. New Projections for Dark Matter Searches with Paleo-Detectors. Instruments. 2021; 5(2):21. https://doi.org/10.3390/instruments5020021
Chicago/Turabian StyleBaum, Sebastian, Thomas D. P. Edwards, Katherine Freese, and Patrick Stengel. 2021. "New Projections for Dark Matter Searches with Paleo-Detectors" Instruments 5, no. 2: 21. https://doi.org/10.3390/instruments5020021
APA StyleBaum, S., Edwards, T. ., Freese, K., & Stengel, P. (2021). New Projections for Dark Matter Searches with Paleo-Detectors. Instruments, 5(2), 21. https://doi.org/10.3390/instruments5020021

