VvPL11 Is a Key Member of the Pectin Lyase Gene Family Involved in Grape Softening
Abstract
1. Introduction
2. Material and Methods
2.1. Plant Materials
2.2. Identification and Analysis of VvPL Family Members
2.3. Phylogenetic Analysis and Gene Structure of VvPLs
2.4. Tissue-Specific Expression Analysis of the VvPL Genes
2.5. Expression Analysis of VvPL Genes during Berry Development
2.6. Overexpression of VvPL11 Gene in Tomato
2.7. Analysis of Propectin and WSP Contents
3. Results
3.1. Identification of Grapevine PL Family Members
3.2. Tissue-Specific Expression Analysis of the VvPL Genes
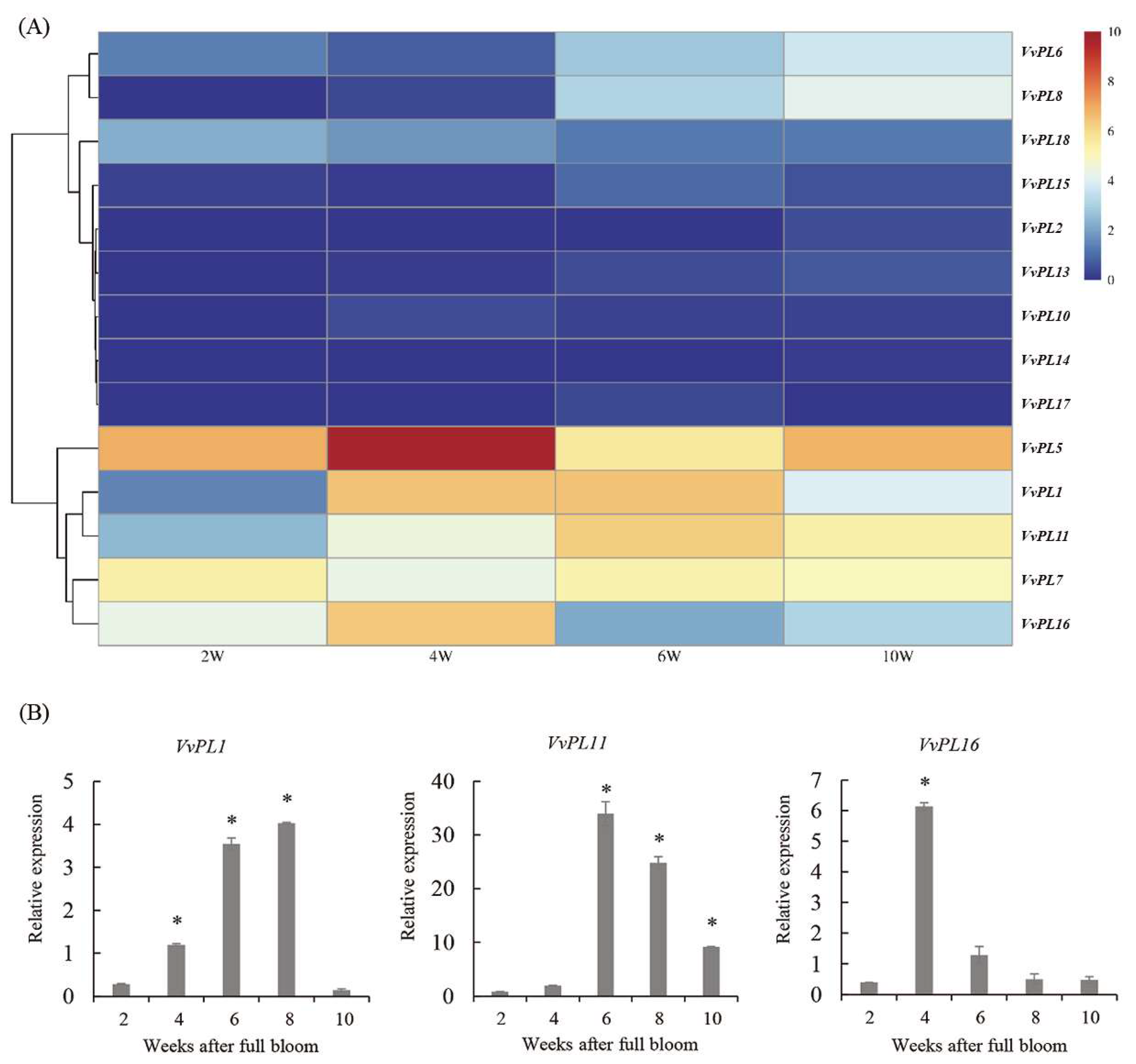
3.3. Expression Analysis of VvPL Genes during Berry Development
3.4. Overexpression of VvPL11 in Tomato Decreased Fruit Firmness
3.5. Overexpression of VvPL11 Accelerated Cell Wall Degradation in Transgenic Tomato
4. Discussion
4.1. Most of VvPL Genes in Groups I and II were Highly Expressed in Different Tissues and Organs
4.2. VvPL11 Plays an Important Role in Fruit Softening
Supplementary Materials
Author Contributions
Funding
Institutional Review Board Statement
Informed Consent Statement
Data Availability Statement
Conflicts of Interest
References
- Lu, Z.W.; Zhang, K.; Wang, P.; Lou, Y.S.; Fan, H.J.; Wu, W.Y.; Zhang, X.F. Status and Development Trends of Grape Industry in Henan Province. J. Agric. Sci. 2019, 48, 120–126. [Google Scholar]
- Chang, B.; Zhang, Y.; Keller, M. Softening at the onset of grape ripening alters fruit rheological properties and decreases splitting resistance. Planta 2019, 250, 1293–1305. [Google Scholar] [CrossRef] [PubMed]
- Balic, I.; Ejsmentewicz, T.; Sanhueza, D.; Silva, C.; Peredo, T.; Olmedo, P.; Campos-Vargas, R. Biochemical and physiological study of the firmness of table grape berries. Postharvest Biol. Tec. 2014, 93, 15–23. [Google Scholar] [CrossRef]
- Zhang, S.T.; Fu, M.M.; Li, Z.Q.; Li, J.W.; Hai, L.F.; Chen, C.Y.; Feng, J.C. VvEIL2 and VvEIL4 regulate ethylene synthesis and carotenoid metabolism during senescence of grape rachis. Postharvest Biol. Tec. 2022, 187, 111853. [Google Scholar] [CrossRef]
- Liu, H.N.; Pei, M.S.; Wei, T.L.; Yu, Y.H.; Guo, D.L. ROS scavenger Hypotaurine delays postharvest softening of ‘Kyoho’ grape by regulating pectin and cell metabolism pathway. Postharvest Biol. Tec. 2022, 186, 111833. [Google Scholar] [CrossRef]
- Yahuaca, B.; Martinez-Peniche, R.; Reyes, J.L.; Madero, E. Effect of ethephon and girdling on berry firmness during storage of ‘Malaga Roja’ grape. Acta Hortic. 2006, 727, 459–465. [Google Scholar] [CrossRef]
- Yang, L.; Cong, P.; He, J.; Bu, H.; Qin, S.; Lyu, D. Differential pulp cell wall structures lead to diverse fruit textures in apple (Malus domestica). Protoplasma 2022, 259, 1205–1217. [Google Scholar] [CrossRef]
- Zheng, X.; Yuan, Y.; Huang, B.; Hu, X.; Tang, Y.; Xu, X.; Deng, W. Control of fruit softening and Ascorbic acid accumulation by manipulation of SlIMP3 in tomato. Plant Biotechnol. J. 2022, 20, 1213–1225. [Google Scholar] [CrossRef]
- Wang, Z.; Tang, Y.; Jin, X.; Liu, Y.; Zhang, H.; Niu, H.; Lan, H. Comprehensive evaluation of Korla fragrant pears and optimization of plucking time during the harvest period. Int. J. Agric. Environ. 2022, 15, 242–250. [Google Scholar] [CrossRef]
- Yan, R.; Han, C.; Fu, M.; Jiao, W.; Wang, W. Inhibitory effects of CaCl2 and pectin methylesterase on fruit softening of raspberry during cold storage. Horticulturae 2021, 8, 1. [Google Scholar] [CrossRef]
- Amanullah, S.; Osae, B.A.; Yang, T.; Abbas, F.; Liu, S.; Liu, H.; Luan, F. Mapping of genetic loci controlling fruit linked morphological traits of melon using developed CAPS markers. Mol. Biol. Rep. 2022, 49, 5459–5472. [Google Scholar] [CrossRef] [PubMed]
- Du, J.; Anderson, C.T.; Xiao, C. Dynamics of pectic homogalacturonan in cellular morphogenesis and adhesion, wall integrity sensing and plant development. Nat. Plants 2022, 8, 332–340. [Google Scholar] [CrossRef] [PubMed]
- Wang, D.; Yeats, T.H.; Uluisik, S.; Rose, J.K.; Seymour, G.B. Fruit softening: Revisiting the role of pectin. Trends Plant Sci. 2018, 23, 302–310. [Google Scholar] [CrossRef]
- Brummell, D.A.; Harpster, M.H. Cell wall metabolism in fruit softening and quality and its manipulation in transgenic plants. Plant Mol. Biol. 2001, 47, 311–340. [Google Scholar] [CrossRef] [PubMed]
- Song, X.; Dai, H.; Wang, S.; Ji, S.; Zhou, X.; Li, J.; Zhou, Q. Putrescine Treatment Delayed the Softening of Postharvest Blueberry Fruit by Inhibiting the Expression of Cell Wall Metabolism Key Gene VcPG1. Plants 2022, 11, 1356. [Google Scholar] [CrossRef]
- Brummell, D.A. Cell wall disassembly in ripening fruit. Funct. Plant Biol. 2006, 33, 103–119. [Google Scholar] [CrossRef]
- Posé, S.; Paniagua, C.; Matas, A.J.; Gunning, A.P.; Morris, V.J.; Quesada, M.A.; Mercado, J.A. A nanostructural view of the cell wall disassembly process during fruit ripening and postharvest storage by atomic force microscopy. Trends Food Sci. Tech. 2019, 87, 47–58. [Google Scholar] [CrossRef]
- Seymour, G.B. Pectate lyase action in vivo and fruit softening. a commentary on: ‘fruit softening: Evidence for pectate lyase action in vivo in date (Phoenix dactylifera) and rosaceous fruit cell walls’. Ann. Bot. 2021, 128, i–ii. [Google Scholar] [CrossRef]
- Santiago-Doménech, N.; Jiménez-Bemúdez, S.; Matas, A.J.; Rose, J.K.C.; Muñoz-Blanco, J.; Mercado, J.A.; Quesada, M.A. Antisense inhibition of a pectate lyase gene supports a role for pectin depolymerization in strawberry fruit softening. J. Exp. Bot. 2008, 59, 2769–2779. [Google Scholar] [CrossRef]
- Hayama, H.; Shimada, T.; Fujii, H.; Ito, A.; Kashimura, Y. Ethylene-regulation of fruit softening and softening-related genes in peach. J. Exp. Bot. 2006, 57, 4071–4077. [Google Scholar] [CrossRef]
- Chen, Y.; Li, W.; Turner, J.A.; Anderson, C.T. PECTATE LYASE LIKE12 patterns the guard cell wall to coordinate turgor pressure and wall mechanics for proper stomatal function in Arabidopsis. Plant Cell 2021, 33, 3134–3150. [Google Scholar] [CrossRef]
- Singh, A.P.; Pandey, S.P.; Pandey, S.; Nath, P.; Sane, A.P. Transcriptional activation of a pectate lyase gene, RbPel1, during petal abscission in rose. Postharvest Biol. Tec. 2011, 60, 143–148. [Google Scholar] [CrossRef]
- McCormick, S.; Twell, D.; Vancanneyt, G.; Yamaguchi, J. Molecular analysis of gene regulation and function during male gametophyte development. Symp. Soc. Exp. Biol. 1991, 45, 229–244. [Google Scholar]
- Wu, H.; Wang, B.; Chen, Y.; Liu, Y.; Chen, L. Characterization and fine mapping of the rice premature senescence mutant ospse1. Theor. Appl. Genet. 2013, 126, 1897–1907. [Google Scholar] [CrossRef]
- Yang, Y.; Zhang, Y.; Li, B.; Yang, X.; Dong, Y.; Qiu, D. A Verticillium dahliae pectate lyase induces plant immune responses and contributes to virulence. Front. Plant Sci. 2018, 9, 1271. [Google Scholar] [CrossRef] [PubMed]
- Fagard, M.; Dellagi, A.; Roux, C.; Périno, C.; Rigault, M.; Boucher, V.; Expert, D. Arabidopsis thaliana expresses multiple lines of defense to counterattack Erwinia chrysanthemi. Mol. Plant Microbe Interact. 2007, 20, 794–805. [Google Scholar] [CrossRef] [PubMed]
- Marín-Rodríguez, M.C.; Orchard, J.; Seymour, G.B. Pectate lyases, cell wall degradation and fruit softening. J. Exp. Bot. 2002, 53, 2115–2119. [Google Scholar] [CrossRef]
- Yoo, S.D.; Gao, Z.; Cantini, C.; Loescher, W.H.; Van Nocker, S. Fruit ripening in sour cherry: Changes in expression of genes encoding expansins and other cell-wall-modifying enzymes. J. Am. Soc. Hortic. Sci. 2003, 128, 16–22. [Google Scholar] [CrossRef]
- Zhang, W.W.; Zhao, S.Q.; Gu, S.; Cao, X.Y.; Zhang, Y.; Niu, J.F.; Xing, Y. FvWRKY48 binds to the pectate lyase FvPLA promoter to control fruit softening in Fragaria vesca. Plant Physiol. 2022, 189, 1037–1049. [Google Scholar] [CrossRef]
- Yang, L.; Huang, W.; Xiong, F.; Xian, Z.; Su, D.; Ren, M.; Li, Z. Silencing of SlPL, which encodes a pectate lyase in tomato, confers enhanced fruit firmness, prolonged shelf-life and reduced susceptibility to grey mould. Plant Biotechnol. J. 2017, 15, 1544–1555. [Google Scholar] [CrossRef]
- Ejsmentewicz, T.; Balic, I.; Sanhueza, D.; Barria, R.; Meneses, C.; Orellana, A.; Campos-Vargas, R. Comparative study of two table grape varieties with contrasting texture during cold storage. Molecules 2015, 20, 3667–3680. [Google Scholar] [CrossRef] [PubMed]
- Ma, L.; Sun, L.; Guo, Y.; Lin, H.; Liu, Z.; Li, K.; Guo, X. Transcriptome analysis of table grapes (Vitis vinifera L.) identified a gene network module associated with berry firmness. PloS ONE 2020, 15, e0237526. [Google Scholar] [CrossRef] [PubMed]
- Zhang, Z.G.; Geng, Y.X.; Cai, M.T.; Zhang, X.L.; Sun, Z.X.; Yin, J.Y. Spatial-Temporal Evoltion and Trend Analysis of Climatic Potential Productivity in Henan Province during 1978–2017. J. Soil Water Conserv. 2020, 27, 247–253. [Google Scholar]
- Benítez-Burraco, A.; Blanco-Portales, R.; Redondo-Nevado, J.; Bellido, M.L.; Moyano, E.; Caballero, J.L.; Muñoz-Blanco, J. Cloning and characterization of two ripening-related strawberry (Fragaria × ananassa cv. Chandler) pectate lyase genes. J. Exp. Bot. 2003, 54, 633–645. [Google Scholar] [CrossRef]
- Fasoli, M.; Santo, S.D.; Zenoni, S.; Tornielli, G.B.; Farina, L.; Zamboni, A.; Porceddu, A.; Venturini, L.; Bicego, M.; Murino, V.; et al. The grapevine expression atlas reveals a deep transcriptome shift driving the entire plant into a maturation program. Plant Cell 2012, 24, 3489–3505. [Google Scholar] [CrossRef]
- Cheng, C.; Wang, Y.; Chai, F.; Li, S.; Xin, H.; Liang, Z. Genome-wide identification and characterization of the 14-3-3 family in Vitis vinifera L. during berry development and cold- and heat-stress response. BMC Genom. 2018, 19, 579. [Google Scholar] [CrossRef]
- Guo, J.; Cao, K.; Deng, C.; Li, Y.; Wang, L. An integrated peach genome structural variation map uncovers genes associated with fruit traits. Genome Biol. 2020, 21, 258. [Google Scholar] [CrossRef] [PubMed]
- Tan, D.; Li, T.; Wang, A. Apple 1-aminocyclopropane-1-carboxylic acid synthase genes, MdACS1 and MdACS3a, are expressed in different systems of ethylene biosynthesis. Plant Mol. Biol. Rep. 2013, 31, 204–209. [Google Scholar] [CrossRef]
- Guan, X.Q.; Yang, Y.; Wang, H.Z.; Guo, C.S.; Guan, J.F. Effects of spraying calcium on contents of calcium and pectin and fruit quality of Red Globe Grape (Vitis vinifera L.). J. Plant. Nutr. Soil Sci. 2014, 20, 179–185. [Google Scholar]
- Palusa, S.G.; Golovkin, M.; Shin, S.B.; Richardson, D.N.; Reddy, A.S. Organ-specific, developmental, hormonal and stress regulation of expression of putative pectate lyase genes in Arabidopsis. New Phytol. 2007, 174, 537–550. [Google Scholar] [CrossRef]
- Youssef, S.M.; Jiménez-Bermúdez, S.; Bellido, M.L.; Martín-Pizarro, C.; Barceló, M.; Abdal-Aziz, S.A.; Mercado, J.A. Fruit yield and quality of strawberry plants transformed with a fruit specific strawberry pectate lyase gene. Sci. Hortic. 2009, 119, 120–125. [Google Scholar] [CrossRef]
- Yang, Y.; Lu, L.; Sun, D.; Wang, J.; Wang, N.; Qiao, L.; Wang, C.L. Fungus polygalacturonase-generated oligogalacturonide restrains fruit softening in ripening tomato. J. Agric. Food Chem. 2021, 70, 759–769. [Google Scholar] [CrossRef]
- Marin-Rodriguez, M.C.; Smith, D.L.; Manning, K.; Orchard, J.; Seymour, G.B. Pectate lyase gene expression and enzyme activity in ripening banana fruit. Plant Mol. Biol. 2003, 51, 851–857. [Google Scholar] [CrossRef]
- Xu, Z.; Dai, J.Y.; Kang, T.Y.; Shah, K.; Li, Q.; Liu, K.; Xing, L.B.; Ma, J.J.; Zhang, D.; Zhao, C.P. PpePL1 and PpePL15 Are the Core Members of the Pectate Lyase Gene Family Involved in Peach Fruit Ripening and Softening. Front. Plant Sci. 2022, 13, 844055. [Google Scholar] [CrossRef] [PubMed]
- Chen, J.; Li, Y.; Li, F.; Hong, K.; Yuan, D. Effects of procyanidin treatment on the ripening and softening of banana fruit during storage. Sci. Hortic. 2022, 70, 759–769. [Google Scholar] [CrossRef]
- Chopsri, A.; Sekozawa, Y.; Sugaya, S. Effects of hot air treatment on cell wall-degrading enzymes, pulp softening and ripening in bananas. Food Res. Int. 2018, 25, 2195–2203. [Google Scholar]
- Pose, S.; Kirby, A.R.; Paniagua, C.; Waldron, K.W.; Morris, V.J.; Quesada, M.A.; Mercado, J.A. The nanostructural characterization of strawberry pectins in pectate lyase or polygalacturonase silenced fruits elucidates their role in softening. Carbohydr. Polym. 2015, 132, 134–145. [Google Scholar] [CrossRef] [PubMed]
- Youssef, S.M.; Amaya, I.; López-Aranda, J.M.; Sesmero, R.; Valpuesta, V.; Casadoro, G.; Mercado, J.A. Effect of simultaneous down-regulation of pectate lyase and endo-β-1,4-glucanase genes on strawberry fruit softening. Mol. Breed. 2013, 31, 313–322. [Google Scholar] [CrossRef]
- Uluisik, S.; Chapman, N.H.; Smith, R.; Poole, M.; Adams, G.; Gillis, R.B.; Seymour, G.B. Genetic improvement of tomato by targeted control of fruit softening. Nat. Biotechnol. 2016, 34, 950–952. [Google Scholar] [CrossRef] [PubMed]
- Jiménez-Bermudez, S.; Redondo-Nevado, J.; Munoz-Blanco, J.; Caballero, J.L.; López-Aranda, J.M.; Valpuesta, V.; Mercado, J.A. Manipulation of strawberry fruit softening by antisense expression of a pectate lyase gene. Plant Physiol. 2022, 128, 751–759. [Google Scholar] [CrossRef] [PubMed]
- Shi, L.; Liu, Q.; Qiao, Q.; Wang, X.; Ren, Z.; Zhu, Y.; Huang, W. Exploring the effects of pectate and pectate lyase on the fruit softening and transcription profiling of Solanum lycopersicum. Food Control 2022, 133, 108636. [Google Scholar] [CrossRef]







| Protein Name | Number of Amino Acids | Molecular Weight (Da) | Theoretical pI | Subcellular Location |
|---|---|---|---|---|
| VvPL1 | 444 | 49,249.64 | 6.65 | Cell membrane. Chloroplast. Nucleus. |
| VvPL2 | 443 | 49,927.8 | 9.44 | Cell wall. Chloroplast. |
| VvPL3 | 443 | 49,930.33 | 9.66 | Chloroplast. Mitochondrion. |
| VvPL4 | 140 | 15,562.16 | 9.36 | Chloroplast. |
| VvPL5 | 381 | 42,374.55 | 9.06 | Cell membrane. Cell wall. Chloroplast. |
| VvPL6 | 543 | 57,104.76 | 5.65 | Cell membrane. Cell wall. |
| VvPL7 | 496 | 53,897.76 | 5.75 | Cell membrane. Cell wall. Chloroplast. Nucleus. |
| VvPL8 | 403 | 44,441.01 | 6.88 | Cell membrane. Cell wall. Chloroplast. |
| VvPL9 | 370 | 41,484.45 | 9.08 | Cell membrane. Cell wall. Chloroplast. Cytoplasm. Golgi apparatus. Vacuole. |
| VvPL10 | 320 | 36,103.92 | 9 | Cell wall. |
| VvPL11 | 429 | 47,876.52 | 8.48 | Cell wall. Chloroplast. |
| VvPL12 | 403 | 44,091.47 | 6.48 | Cell membrane. Cell wall. Chloroplast. Nucleus. |
| VvPL13 | 400 | 44,196.72 | 4.92 | Cell wall. |
| VvPL14 | 464 | 50,947.37 | 7.64 | Chloroplast. Nucleus. |
| VvPL15 | 445 | 49,642.07 | 7.99 | Chloroplast. |
| VvPL16 | 373 | 41,455.86 | 8.16 | Cell wall. Chloroplast. Cytoplasm. Golgi apparatus. Mitochondrion. Nucleus. |
| VvPL17 | 489 | 53,838.42 | 6 | Cell membrane. Cell wall. Chloroplast. |
| VvPL18 | 331 | 37,066.86 | 6.01 | Cell wall. |
Disclaimer/Publisher’s Note: The statements, opinions and data contained in all publications are solely those of the individual author(s) and contributor(s) and not of MDPI and/or the editor(s). MDPI and/or the editor(s) disclaim responsibility for any injury to people or property resulting from any ideas, methods, instructions or products referred to in the content. |
© 2023 by the authors. Licensee MDPI, Basel, Switzerland. This article is an open access article distributed under the terms and conditions of the Creative Commons Attribution (CC BY) license (https://creativecommons.org/licenses/by/4.0/).
Share and Cite
Li, W.; He, C.; Wei, H.; Qian, J.; Xie, J.; Li, Z.; Zheng, X.; Tan, B.; Li, J.; Cheng, J.; et al. VvPL11 Is a Key Member of the Pectin Lyase Gene Family Involved in Grape Softening. Horticulturae 2023, 9, 182. https://doi.org/10.3390/horticulturae9020182
Li W, He C, Wei H, Qian J, Xie J, Li Z, Zheng X, Tan B, Li J, Cheng J, et al. VvPL11 Is a Key Member of the Pectin Lyase Gene Family Involved in Grape Softening. Horticulturae. 2023; 9(2):182. https://doi.org/10.3390/horticulturae9020182
Chicago/Turabian StyleLi, Wenxin, Chang He, Hongli Wei, Jiakang Qian, Jiannan Xie, Zhiqian Li, Xianbo Zheng, Bin Tan, Jidong Li, Jun Cheng, and et al. 2023. "VvPL11 Is a Key Member of the Pectin Lyase Gene Family Involved in Grape Softening" Horticulturae 9, no. 2: 182. https://doi.org/10.3390/horticulturae9020182
APA StyleLi, W., He, C., Wei, H., Qian, J., Xie, J., Li, Z., Zheng, X., Tan, B., Li, J., Cheng, J., Wang, W., Ye, X., & Feng, J. (2023). VvPL11 Is a Key Member of the Pectin Lyase Gene Family Involved in Grape Softening. Horticulturae, 9(2), 182. https://doi.org/10.3390/horticulturae9020182

