Design and Optimization of a Hybrid Solar–Wind Power Generation System for Greenhouses
Abstract
:1. Introduction
2. Materials and Methods
2.1. Energy Demand Assessment
2.2. Examined Solar Potential
2.3. Examined Wind Potential
2.4. Hybrid System Characteristics
3. Results Discussion
3.1. Initial Design According to Semi-Empirical Methods
3.2. Optimization with HOMER
3.3. Parametric Study
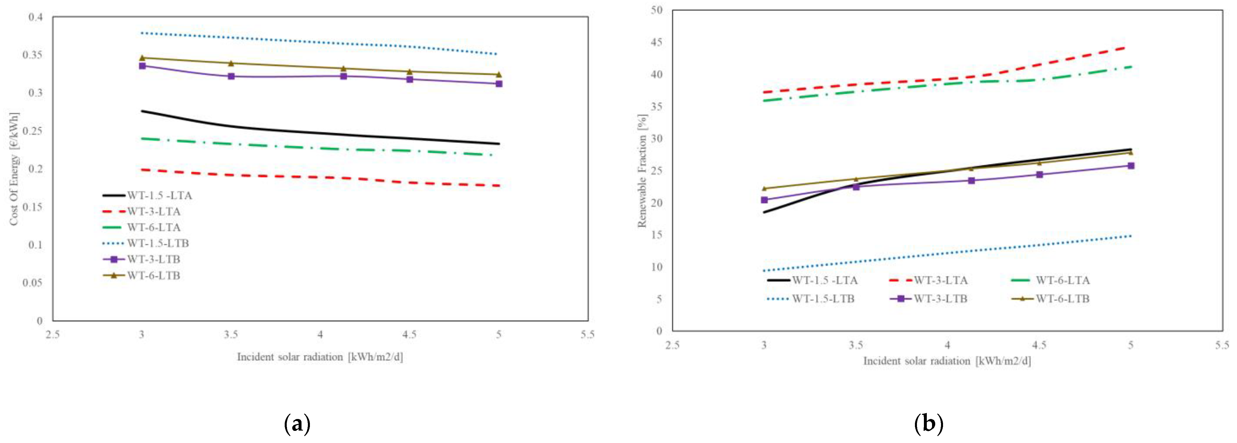
3.3.1. Optimization of Wind Turbines Power
3.3.2. Effect of Roof Geometry in the PV Potential
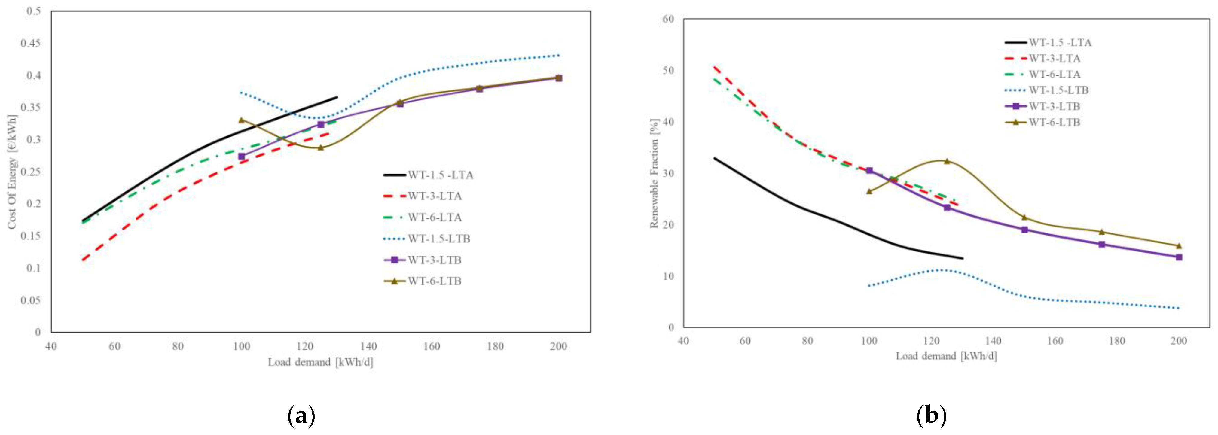
3.4. Total Cost of Energy and Environmental Footprint for the Two Types of Loads
4. Conclusions
Author Contributions
Funding
Data Availability Statement
Conflicts of Interest
References
- Sanford, S. Reducing Greenhouse Energy Consumption; A3907-01; University of Wisconsin—Extension Publication: Madison, WI, USA, 2011; pp. 1–5. [Google Scholar]
- Djevic, M.; Dimitrijevic, A. Energy consumption for different greenhouse constructions. Energy 2009, 34, 1325–1331. [Google Scholar] [CrossRef]
- Kittas, C.; Katsoulas, N.; Bartzanas, T. Energy Needs and Energy Saving in Mediterranean Greenhouses. Acta Hortic. 2014, 1054, 25–30. [Google Scholar] [CrossRef]
- Tripanagnostopoulos, Y.; Katsoulas, N.; Kittas, C. Potential energy cost and footprint reduction in Mediterranean greenhouses by means of renewable energy use. Acta Hortic. 2017, 1164, 461–466. [Google Scholar] [CrossRef]
- Romantchik, E.; Ríos, E.; Sánchez, E.; López, I.; Sánchez, J.R. Determination of energy to be supplied by photovoltaic systems for fan-pad systems in cooling process of greenhouses. Appl. Therm. Eng. 2017, 114, 1161–1168. [Google Scholar] [CrossRef]
- Mirzamohammadi, S.; Jabarzadeh, A.; Shahrabi, M.S. Long-term planning of supplying energy for greenhouses using renewable resources under uncertainty. J. Clean. Prod. 2020, 264, 121611. [Google Scholar] [CrossRef]
- Perez-Alonso, J.; Perez-Garcıa, M.; Pasamontes-Romera, M.; Callejo-Ferre, A.J. Performance analysis and neural modelling of a greenhouse integrated photovoltaic system. Renew. Sustain. Energy Rev. 2012, 16, 4675–4685. [Google Scholar] [CrossRef]
- Bambara, J.; Athienitis, A.K. Energy and economic analysis for the design of greenhouses with semi-transparent photovoltaic cladding. Renew. Energy 2019, 131, 1274–1287. [Google Scholar]
- La Notte, L.; Giordano, L.; Calabro, E.; Bedini, R.; Colla, G.; Puglisi, G.; Reale, A. Hybrid and organic photovoltaics for greenhouse applications. Appl. Energy 2020, 278, 115582. [Google Scholar] [CrossRef]
- Hassanien, R.H.E.; Li, M.; Yin, F. The integration of semi-transparent photovoltaics on greenhouse roof for energy and plant production. Renew. Energy 2018, 121, 377–388. [Google Scholar] [CrossRef]
- Baxevanou, C.; Fidaros, D.; Katsoulas, N.; Mekeridis, E.; Varlamis, C.; Zachariadis, A.; Logothetidis, S. Simulation of Radiation and Crop Activity in a Greenhouse Covered with Semitransparent Organic Photovoltaics. Appl. Sci. 2020, 10, 2550. [Google Scholar] [CrossRef]
- Yildirim, N.; Bilir, L. Evaluation of a hybrid system for a nearly zero energy greenhouse. Energy Convers. Manag. 2017, 148, 1278–1290. [Google Scholar] [CrossRef]
- Simone Pascuzzi, S.; Anifantis, A.S.; Blanco, I.; Scarascia Mugnozza, G. Electrolyzer Performance Analysis of an Integrated Hydrogen Power System for Greenhouse Heating. A Case Study. Sustainability 2016, 8, 629. [Google Scholar] [CrossRef]
- Ganguly, A.; Misra, D.; Ghosh, S. Modeling and analysis of solar photovoltaic-electrolyzer-fuel cell hybrid power system integrated with a floriculture greenhouse. Energy Build. 2010, 42, 2036–2043. [Google Scholar] [CrossRef]
- Roshandel, R.; Golzar, F.; Astaneh, M. Technical, economic and environmental optimization of combined heat and power systems based on solid oxide fuel cell for a greenhouse case study. Energy Convers. Manag. 2018, 164, 144–156. [Google Scholar] [CrossRef]
- Available online: www.homerenergy.com (accessed on 25 May 2021).
- Vourdoubas, J. Possibilities of using small wind turbines for electricity generation in agricultural greenhouses in the island of Crete, Greece. Int. J. Environ. Agric. Res. 2020, 6, 746–761. [Google Scholar] [CrossRef]
- Baxevanou, C.; Fidaros, D.; Tsintzos, P.; Schinas, C.; Bartzanas, T.; Kittas, C. Design and Performance of Hybrid Power Systems. In Proceedings of the 5th International Conference on Renewable Sources & Energy Efficiency New Challenges, Nicosia, Cyprus, 5–6 May 2016. [Google Scholar]
- Kazem, H.A.; Al-Badi, H.A.S.; Al Busaidi, A.S.; Chaichan, M.T. Optimum Design and Evaluation of Hybrid Solar/Wind/Diesel Power System for Masirah Island. Environ. Dev. Sustain. 2017, 19, 1761–1778. [Google Scholar] [CrossRef]
- Himri, Y.; Boudghene Stambouli, A.; Draoui, B.; Himri, S. Techno-economical study of hybrid power system for a remote village in Algeria. Energy 2008, 33, 1128–1136. [Google Scholar] [CrossRef]
- Engin, M. Sizing and Simulation of PV-Wind Hybrid Power System. Int. J. Photoenergy 2013, 2013, 217526. [Google Scholar] [CrossRef]
- Katsigiannis, Y.A.; Georgilakis, P.S.; Karapidakis, E.S. Multiobjective genetic algorithm solution to the optimum economic and environmental performance problem of small autonomous hybrid power systems with renewables. IET Renew. Power Gener. 2010, 4, 404–419. [Google Scholar]
- Alipour, M.; Ziebert, C.; Conte, F.V.; Kizilel, R. A Review on Temperature-Dependent Electrochemical Properties, Aging, and Performance of Lithium-Ion Cells. Batteries 2020, 6, 35. [Google Scholar] [CrossRef]
- US/DOE. Energyplus; US/DOE: Washington, DC, USA, 2020.
- Technical Chamber of Greece. Technical Guidance of Technical Chamber of Greece TOTEE 20701-3-2010—Climatic Data; Technical Chamber of Greece: Athens, Greece, 2017. [Google Scholar]
- Available online: http://eosweb.larc.nasa.gov/cgi-bin/sse/grid (accessed on 13 November 2013).
- Duffie, J.A.; Beckman, W.A. Solar Engineering of Thermal Processes, 3rd ed.; John Wiley & Sons Inc.: Hoboken, NJ, USA, 2006. [Google Scholar]
- Troen, I.; Petersen, E.L. European Wind Atlas; Riso National Laboratory: Roskilde, Denmark, 1989. [Google Scholar]
- Hunter, R.; Elliot, G. Wind-Diesel Systems. A Guide to the Technology and Its Implementation; Cambridge University Press: Cambridge, UK, 1999. [Google Scholar]
- Seeling-Hochmuth, G. Small Village Hybrid Systems Performance Workshop; Expert Meeting; NREL: Golden, CO, USA, 1996.
- Sandia National Laboratories. Stand-Alone Photovoltaic Systems—A Handbook of Recommended Design Practices; SAND 87-7023; National Technical Information Service, US Department of Commerce: Springfield, IL, USA, 1991.
- Kaldellis, J.K.; Spyropoulos, G.C.; Kavadias, K.A.; Koronaki, I.P. Experimental validation of autonomous PV-based water pumping system optimum sizing. Renew. Energy 2009, 34, 1106–1113. [Google Scholar] [CrossRef]
- Kaldellis, J.K. An integrated model for performance simulation of hybrid wind diesel systems. Renew. Energy 2007, 32, 1544–1564. [Google Scholar] [CrossRef]
- Burton, T.; Sharpe, D.; Jenkins, N.; Bossanyi, E. Wind Energy Hand Book; Wiley: Hoboken, NJ, USA, 2001. [Google Scholar]












| Greenhouse without Heat Pump | Greenhouse with Heat Pump | Hybrid System Lodge | |||
|---|---|---|---|---|---|
| Device | Power [W] | Device | Power [W] | Device | Power [W] |
| Cooling system (pump for evaporative pads and fans for air intake) | 1470 | Heat Pump | 10,830 | Lighting | 108 |
| Mixing fans | 300 | Mixing fans | 300 | Energy maintenance | 26 W/4 W |
| Irrigation–Fertigation | 645 | Irrigation-Fertigation | 645 | Ventilation fan | 2 × 30 |
| Sorting–packaging | 1000 | Sorting-packaging | 1000 | Heat pump | 1050 |
| Storage | 100 | Storage | 100 | ||
| Lighting | 250 | Lighting | 250 | ||
| Total [W] | 3865 | 14,695 | 1278 | ||
| Month | Monthly Total Radiation on Horizontal Surface [kWh/m2] | Monthly Diffusive Radiation on Horizontal Surface [kWh/m2] | Monthly Average Clearness Index [-] | Monthly Average Daily Temperature [C] | Cloudy Days [-] | Consecutive Number of Cloudy Days [-] |
|---|---|---|---|---|---|---|
| Jan | 54.76 | 22.33 | 0.42 | 6.34 | 9.75 | 5.38 |
| Feb | 70.09 | 29.65 | 0.44 | 7.73 | 7.54 | 3.41 |
| Mar | 108.75 | 48.03 | 0.46 | 10.61 | 6.84 | 4.91 |
| Apr | 142.59 | 64.41 | 0.5 | 15.03 | 4.93 | 3.61 |
| May | 184.13 | 82.08 | 0.54 | 20.28 | 4.93 | 2.15 |
| June | 205.07 | 86.53 | 0.59 | 25.13 | 2.94 | 1.1 |
| July | 211.88 | 85.98 | 0.61 | 27.5 | 0.39 | 0.2 |
| Aug | 190.31 | 73.27 | 0.61 | 26.98 | 2.36 | 1.98 |
| Sep | 141.78 | 53.9 | 0.57 | 22.91 | 5.06 | 4.05 |
| Oct | 97.1 | 37.53 | 0.51 | 17.34 | 11.18 | 9.53 |
| Nov | 60.08 | 23.68 | 0.45 | 11.73 | 11.68 | 7.34 |
| Dec | 47.04 | 19.14 | 0.41 | 7.58 | 7.69 | 7.55 |
| Parameter | Mediterranean Pattern | Central/North Europe Pattern |
|---|---|---|
| Mean wind velocity at 10 m height, Ū [m/s] | 5 | 5 |
| Ground roughness length, z0 [m] | 0.03 | 0.03 |
| Turbulence Intensity [%] | 17.2 | 17.2 |
| Maximum expected wind velocity in 50 years, Umax [m/s] | 23.59 | 23.59 |
| Weibull scale parameter, C [m/s] | 5.57 | 5.64 |
| Weibull shape parameter, k [-] | 1.8 | 2 |
| 1-h autocorrelation factor, r1 [-] | 0.9 | 0.8 |
| Diurnal pattern strength, δ [-] | 0.3 | 0.04 |
| Time of maximum wind velocity [h] | 13 | 5 |
| Component | Properties | Costs |
|---|---|---|
| Diesel generator | electrical efficiency 29% minimum load 48% life span 1500 h | Fuel price: 1.5 €/l Initial installation cost: 250 €/kW Replacement cost: 250 €/kW Maintenance cost: 0.005 €/h |
| Wind Turbine | Uci = 3.5 m/s, Ur = 12 m/s, Uco = 20 m/s Life span 25 years Hub height 10 m | Initial installation cost: 3000 €/kW Replacement cost: 2000 €/kW Maintenance cost: 300 €/y |
| Photovoltaics | Semi-transparent, Module nominal power 4 W, Efficiency 3.25% Derating factor 0.9 No temperature efficiency dependence | Initial installation cost: 1.4 €/W Replacement cost: 0.8 €/W Maintenance cost: 0.01 €/W |
| Batteries | C10h = 900 Ah, C120h = 1220 Ah, C240h = 1365 Ah, Vb = 4 V | Initial installation cost: 400 €/item Replacement cost: 400 €/item Maintenance cost: 350 €/year |
| Energy maintenance unit | Life span 20 years Efficiency 95% | Initial installation cost: 3700 € Replacement cost: 3700 € Maintenance cost: 80 €/year |
| System | Life span 25 years Maximum annual capacity shortage 1% for the case of heat pump, 12% for the case of fossil fuel | Nominal discount rate 7% |
| a/a | Case | DG [kW] | OPV [kW] | Bat [no] | WT [kW] | COE €/kWh | Ren.Fr. [%] |
|---|---|---|---|---|---|---|---|
| 1 | Load type A | 4 | 4.4 | 12 | 3 | 0.199 | 37.7 |
| 2 | Load type A no WT | 5 | 4.4 | 12 | 0 | 0.254 | 14 |
| 3 | Load type B heat pump | 9 | 4.4 | 12 | 3 | 0.324 | 23.4 |
| 4 | Load type B no WT | 10 | 4.4 | 12 | 0 | 0.37 | 8.03 |
| 5 | Load type A-WP2 | 4 | 4.4 | 12 | 3 | 0.188 | 39.6 |
| 7 | Load type B-WP2 | 8 | 4.4 | 24 | 3 | 0.322 | 23.5 |
| a/a | Case | DG [kW] | OPV [kW] | Bat [no] | WT [kW] | COE [€/kWh] | Ren.Fr. [%] |
|---|---|---|---|---|---|---|---|
| 1 | Load type A | 4 | 4.4 | 12 | 1.5 | 0.248 | 25.1 |
| 2 | Load type B | 9 | 4.4 | 12 | 1.5 | 0.37 | 8.03 |
| 3 | Load type A | 4 | 4.4 | 12 | 6 | 0.235 | 37.3 |
| 4 | Load type B | 9 | 4.4 | 12 | 6 | 0.331 | 25.7 |
| Orientation East-West | ||||
|---|---|---|---|---|
| Array | Inclination Angle [deg] | Azimuth [deg] | Installed Power [kW] | Produced Energy [kWh] |
| A.1 | 48.53 | 0 | 0.517 | 715 |
| A.2 | 26.61 | 0 | 0.517 | 739 |
| A.3 | 4.64 | 0 | 0.451 | 600 |
| A.4 | 4.64 | 180 | 0.451 | 562 |
| A.5 | 26.61 | 180 | 0.517 | 502 |
| A.6 | 48.53 | 80 | 0.517 | 362 |
| A.7 | 30 | 0 | 1.42 | 2034 |
| Summary East–West [kWh] | 5514 | |||
| Orientation North-South | ||||
| B.1 | 48.53 | −90 | 0.517 | 588 |
| B.2 | 26.61 | −90 | 0.517 | 645 |
| B.3 | 4.64 | −90 | 0.451 | 583 |
| B.4 | 4.64 | 90 | 0.451 | 580 |
| B.5 | 26.61 | 90 | 0.517 | 627 |
| B.6 | 48.53 | 90 | 0.517 | 564 |
| B.7 | 30 | 0 | 1.42 | 2034 |
| Summary North–South [kWh] | 5621 | |||
| Case | COE [€/kWh] | Energy Cost per Greenhouse Area [€/m2] | Primary Energy Consumption per Year [kWh/y/m2] |
|---|---|---|---|
| Load Type A | 0.167 | 70.37 | 391.46 |
| Load Type A–no Wind Turbine | 0.187 | 80.35 | 417.66 |
| Load Type B | 0.324 | 76.88 | 189.84 |
| Load Type B–no wind Turbine | 0.370 | 93.80 | 229.58 |
| Load Type A–WP2 | 0.163 | 68.00 | 387.22 |
| Load Type B–WP2 | 0.322 | 76.65 | 191.17 |
| Case | CO2 per Energy Production [kg/kWh] | CO2 per Greenhouse Area [kg/m2] |
|---|---|---|
| Load Type A | 0.22 | 93.95 |
| Load Type A—no Wind Turbine | 0.23 | 100.24 |
| Load Type B | 0.19 | 45.56 |
| Load Type B—no wind Turbine | 0.22 | 55.10 |
| Load Type A—WP2 | 0.22 | 92.93 |
| Load Type B—WP2 | 0.19 | 45.88 |
Disclaimer/Publisher’s Note: The statements, opinions and data contained in all publications are solely those of the individual author(s) and contributor(s) and not of MDPI and/or the editor(s). MDPI and/or the editor(s) disclaim responsibility for any injury to people or property resulting from any ideas, methods, instructions or products referred to in the content. |
© 2023 by the authors. Licensee MDPI, Basel, Switzerland. This article is an open access article distributed under the terms and conditions of the Creative Commons Attribution (CC BY) license (https://creativecommons.org/licenses/by/4.0/).
Share and Cite
Baxevanou, C.; Fidaros, D.; Papaioannou, C.; Katsoulas, N. Design and Optimization of a Hybrid Solar–Wind Power Generation System for Greenhouses. Horticulturae 2023, 9, 181. https://doi.org/10.3390/horticulturae9020181
Baxevanou C, Fidaros D, Papaioannou C, Katsoulas N. Design and Optimization of a Hybrid Solar–Wind Power Generation System for Greenhouses. Horticulturae. 2023; 9(2):181. https://doi.org/10.3390/horticulturae9020181
Chicago/Turabian StyleBaxevanou, Catherine, Dimitrios Fidaros, Chryssoula Papaioannou, and Nikolaos Katsoulas. 2023. "Design and Optimization of a Hybrid Solar–Wind Power Generation System for Greenhouses" Horticulturae 9, no. 2: 181. https://doi.org/10.3390/horticulturae9020181
APA StyleBaxevanou, C., Fidaros, D., Papaioannou, C., & Katsoulas, N. (2023). Design and Optimization of a Hybrid Solar–Wind Power Generation System for Greenhouses. Horticulturae, 9(2), 181. https://doi.org/10.3390/horticulturae9020181

