Intercropping Gramineae Herbage in Semiarid Jujube Cultivar ‘LingwuChangzao’ (Ziziphus jujuba Mill. cv. LingwuChangzao) Orchard Improves Productivity, Plant Nutritional Quality, and Soil Quality
Abstract
:1. Introduction
2. Materials and Methods
2.1. Experiment Site Description and Design
2.2. Soil and Plant Sampling
2.3. Soil Physicochemical Property and Enzymatic Activity Analysis
2.4. Determination of the Growth Parameters and Quality of ‘LingwuChangzao’ Jujube Fruits and Gramineous Herbage
2.5. ‘LingwuChangzao’ Jujube and Gramineous Herbage Yield and LER
2.6. Data Analysis and Statistics
3. Results
3.1. Yield and LER
3.2. Fruit Appearance Traits and Nutritional Quality
3.3. Gramineae Herbage Nutritional Quality
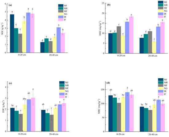
3.4. Soil Physicochemical Properties and Soil Organic Carbon Fractions
3.5. Soil Enzyme Activities
3.6. Relationship among Soil Physicochemical Properties, Soil Organic Carbon Fractions, and Soil Enzyme Activities Affected by Soil Depth and Different Cropping Systems
4. Discussion
4.1. Effect of Cropping System on Yield and Productivity
4.2. Effect of Cropping System on ‘LingwuChangzao’ jujube Quality and Gramineous Herbage Nutritional Quality
4.3. Effect of ‘LingwuChangzao’ Jujube/Gramineous Herbage Intercropping Systems on Soil Physicochemical Properties, Soil Organic Carbon Fractions, and Soil Enzyme Activities
5. Conclusions
Supplementary Materials
Author Contributions
Funding
Institutional Review Board Statement
Informed Consent Statement
Data Availability Statement
Acknowledgments
Conflicts of Interest
References
- Jiang, W.; Li, N.; Zhang, D.; Meinhardt, L.; Cao, B.; Li, Y.; Song, L. Elevated temperature and drought stress significantly affect fruit quality and activity of anthocyanin-related enzymes in jujube (Ziziphus jujuba Mill. cv. ‘Lingwuchangzao’). PLoS ONE 2020, 15, e0241491. [Google Scholar] [CrossRef] [PubMed]
- Daryanto, S.; Fu, B.; Wang, L.; Jacinthe, P.; Zhao, W. Quantitative synthesis on the ecosystem services of cover crops. Earth-Sci. Rev. 2018, 185, 357–373. [Google Scholar] [CrossRef]
- Prosdocimi, M.; Jordan, A.; Tarolli, P.; Keesstra, S.; Novara, A.; Cerda, A. The immediate effectiveness of barley straw mulch in reducing soil erodibility and surface runoff generation in Mediterranean vineyards. Sci. Total. Environ. 2016, 547, 323–330. [Google Scholar] [CrossRef] [PubMed]
- Yang, X.; Wang, Y.; Sun, L.; Qi, X.; Song, F.; Zhu, X. Impact of maize-mushroom intercropping on the soil bacterial community composition in northeast China. Agronomy 2020, 10, 1526. [Google Scholar] [CrossRef]
- Keesstra, S.; Nunes, J.; Novara, A.; Finger, D.; Avelar, D.; Kalantari, Z.; Cerda, A. The superior effect of nature based solutions in land management for enhancing ecosystem services. Sci. Total. Environ. 2018, 610, 997–1009. [Google Scholar] [CrossRef]
- Amanullah; Khalid, S.; Khalil, F. Influence of irrigation regimes on competition indexes of winter and summer intercropping system under semi-arid regions of Pakistan. Sci. Rep. 2020, 10, 8129. [Google Scholar] [CrossRef]
- Zhang, W.P.; Liu, G.C.; Sun, J.H.; Zhang, L.Z.; Weiner, J.; Li, L. Growth trajectories and interspecific competitive dynamics in wheat/maize and barley/maize intercropping. Plant Soil. 2015, 397, 227–238. [Google Scholar] [CrossRef]
- Chai, Q.; Hu, F.; Chen, G. Research advance in the mechanism and agronomic regulation of high-efficient use of nitrogen in cereal-legume intercropping. Chin. J Eco-Agri. 2017, 25, 19–26. [Google Scholar] [CrossRef]
- Wang, H.; Cheng, Y.; Zhou, Z. Research progress on intercropping of grain and grass in sloping arable Land in China. Heilongjiang Agri Sci. 2018, 6, 153–156. [Google Scholar] [CrossRef]
- Farooq, T.H.; Kumar, U.; Mo, J.; Shakoor, A.; Wang, J.; Rashid, M.H.U.; Tufail, M.A.; Chen, X.; Yan, W. Intercropping of peanut-tea enhances soil enzymatic activity and soil nutrient status at different soil profiles in subtropical southern China. Plants 2021, 10, 881. [Google Scholar] [CrossRef]
- Yang, J.; Duan, Y.; Zhang, R.; Liu, C.; Wang, Y.; Li, M.; Ding, Y.; Awasthi, M.K.; Li, H. Connecting soil dissolved organic matter to soil bacterial community structure in a long-term grass-mulching apple orchard. Ind. Crop. Prod. 2020, 149, 112344. [Google Scholar] [CrossRef]
- Reiss, E.R.; Drinkwater, L.E. Cultivar mixtures: A meta-analysis of the effect of intraspecific diversity on crop yield. Ecol. Appl. 2018, 28, 62–77. [Google Scholar] [CrossRef] [PubMed]
- Ren, J.; Zhang, L.; Duan, Y.; Zhang, J.; Evers, J.B.; Zhang, Y.; Su, Z.; van der Werf, W. Intercropping potato (Solanum tuberosum L.) with hairy vetch (Vicia villosa) increases water use efficiency in dry conditions. Field. Crop. Res. 2019, 240, 168–176. [Google Scholar] [CrossRef]
- Iqbal, M.A.; Hamid, A.; Ahmad, T.; Siddiqui, M.H.; Hussain, I.; Ali, S.; Ali, A.; Ahmad, Z. Forage sorghum-legumes intercropping: Effect on growth, yields, nutritional quality and economic returns. Bragantia 2019, 78, 82–95. [Google Scholar] [CrossRef]
- Wei, H.; Zhang, K.; Zhang, J.; Li, D.; Zhang, Y.; Xiang, H. Grass cultivation alters soil organic carbon fractions in a subtropical orchard of southern China. Soil. Till. Res. 2018, 181, 110–116. [Google Scholar] [CrossRef]
- Wang, Y.; Liu, L.; Yang, J.; Duan, Y.; Luo, Y.; Taherzadeh, M.J.; Li, Y.; Li, H.; Awasthi, M.K.; Zhao, Z. The diversity of microbial community and function varied in response to different agricultural residues composting. Sci. Total. Environ. 2020, 715, 136983. [Google Scholar] [CrossRef]
- Zhu, N.; Yang, J.; Ji, L.; Liu, J.; Yang, Y.; Yuan, H. Metagenomic and metaproteomic analyses of a corn stover-adapted microbial consortium EMSD5 reveal its taxonomic and enzymatic basis for degrading lignocellulose. Biotechnol. Biofuels 2016, 9, 243. [Google Scholar] [CrossRef] [PubMed]
- Qin, S.; Jiao, K.; He, J.; Lyu, D. Forage crops alter soil bacterial and fungal communities in an apple orchard. Acta Agr Scand B-Soil Plant Sci. 2015, 66, 229–236. [Google Scholar] [CrossRef]
- Ma, W.; Yang, Z.; Hou, S.; Ma, Q.; Liang, L.; Wang, G.; Liang, C.; Zhao, T. Effects of living cover on the soil microbial communities and ecosystem functions of hazelnut orchards. Front. Plant. Sci. 2021, 12, 652493. [Google Scholar] [CrossRef]
- Ngwene, B.; Neugart, S.; Baldermann, S.; Ravi, B.; Schreiner, M. Intercropping induces changes in specific secondary metabolite concentration in ethiopian kale (Brassica carinata) and African nightshade (Solanum scabrum) under controlled conditions. Front. Plant. Sci. 2017, 8, 1700. [Google Scholar] [CrossRef]
- Wen, B.; Zhang, X.; Ren, S.; Duan, Y.; Zhang, Y.; Zhu, X.; Wang, Y.; Ma, Y.; Fang, W. Characteristics of soil nutrients, heavy metals and tea quality in different intercropping patterns. Agroforestry. Syst. 2019, 94, 963–974. [Google Scholar] [CrossRef]
- Zaeem, M.; Nadeem, M.; Pham, T.H.; Ashiq, W.; Ali, W.; Gillani, S.S.M.; Moise, E.; Elavarthi, S.; Kavanagh, V.; Cheema, M.; et al. Corn-soybean intercropping improved the nutritional quality of forage cultivated on podzols in boreal climate. Plants 2021, 10, 1015. [Google Scholar] [CrossRef] [PubMed]
- Qi, R.; Li, J.; Lin, Z.; Li, Z.; Li, Y.; Yang, X.; Zhang, J.; Zhao, B. Temperature effects on soil organic carbon, soil labile organic carbon fractions, and soil enzyme activities under long-term fertilization regimes. Appl. Soil. Ecol. 2016, 102, 36–45. [Google Scholar] [CrossRef]
- Wei, Q.; Kou, J.; Li, S.; Fang, G.; Mu, X.; Han, M. Effects of covering white clover in apple orchard on soil microbial and nutritional properties. Acta Agrestia Sinica 2016, 24, 544–552. [Google Scholar] [CrossRef]
- Wang, Y.; Liu, L.; Tian, Y.; Wu, X.; Yang, J.; Luo, Y.; Li, H.; Awasthi, M.K.; Zhao, Z. Temporal and spatial variation of soil microorganisms and nutrient under white clover cover. Soil. Till. Res. 2020, 202, 104666. [Google Scholar] [CrossRef]
- Bao, S.D. Soil and agricultural chemistry analysis; Agricultural Publication: Beijing, China, 2000; pp. 14–18. [Google Scholar]
- Liu, Y.; Dang, Z.Q.; Tian, F.; Wang, D.; Wu, G.L. Soil organic carbon and inorganic carbon accumulation along a 30-year grassland restoration chronosequence in semi-arid regions (China). Land Degrad. Dev. 2017, 28, 189–198. [Google Scholar] [CrossRef]
- Zhao, Q.; Zeng, D.H.; Fan, Z.P. Nitrogen and phosphorus transformations in the rhizospheres of three tree species in a nutrient-poor sandy soil. Appl. Soil. Ecol. 2010, 46, 341–346. [Google Scholar] [CrossRef]
- Li, Y.; Fang, F.; Wei, J.L.; Wu, X.B.; Cui, R.Z. Humic acid fertilizer improved soil properties and soil microbial diversity of continuous cropping peanut: A three-year experiment. Sci. Rep. 2019, 9, 12014. [Google Scholar] [CrossRef]
- Blair, G.J.; Lefroy, R.D.; Lisle, L. Soil carbon fractions based on their degree of oxidation, and the development of a carbon management index for agricultural systems. Aust. J. Agr. Res. 1995, 46, 1459–1466. [Google Scholar] [CrossRef]
- Vance, E.D.; Brookes, P.C.; Jenkinson, D.S. An extraction method for measuring soil microbial biomass C. Soil Biol. Biochem. 1987, 19, 703–707. [Google Scholar] [CrossRef]
- Zheng, W.; Gong, Q.; Zhao, Z.; Liu, J.; Zhai, B.; Wang, Z.; Li, Z. Changes in the soil bacterial community structure and enzyme activities after intercrop mulch with cover crop for eight years in an orchard. Eur J Soil Biol. 2018, 86, 34–41. [Google Scholar] [CrossRef]
- Vlek, P.L.G.; Stumpe, J.M.; Byrnes, B.H. Urease activity and inhibition in flooded soil systems. Nutr Cycl Agroecosys. 1980, 1, 191–202. [Google Scholar] [CrossRef]
- Wang, H.; Hu, G. Fruit anthocyanin metabolism and its regulation; China Agricultural Press: Beijing, China, 2007; pp. 149–183. [Google Scholar]
- Weiss, W.; Conrad, H.; Pierre, N. A theoretically-based model for predicting total digestible nutrient values of forages and concentrates. Anim Feed Sci. Technol. 1992, 39, 95–110. [Google Scholar] [CrossRef]
- Willey, R.W. Intercropping its importance and research needs. Part I: Competition and yield advantages. Field Crops Abstr. 1979, 32, 1–10. [Google Scholar]
- Hamzei, J.; Seyyedi, M. Energy use and input-output costs for sunflower production in sole and intercropping with soybean under different tillage systems. Soil. Till. Res. 2016, 157, 73–82. [Google Scholar] [CrossRef]
- Tu, A.; Xie, S.; Zheng, H.; Li, H.; Li, Y.; Mo, M. Long-term effects of living grass mulching on soil and water conservation and fruit yield of citrus orchard in south China. Agr. Water. Manag. 2021, 252, 106897. [Google Scholar] [CrossRef]
- Wang, H.; Wang, Y.; Ding, Z.; Li, J. Effect of mulching on ecological environment of tea garden and physiological indicators of tea plant in winter. North. Hortic. 2011, 24, 5–9. [Google Scholar] [CrossRef]
- Yang, H.; Zhou, M.; Li, J.; Liang, B.; Sui, F. Decay and nutrient release in Vulpia myuros grasses, a species suitable for soil conservation in temperate zone orchards. Acta Prataculturae Sinica 2015, 24, 208–213. [Google Scholar] [CrossRef]
- Wang, B.; Wang, X.; Shi, X.; Ji, X.; Wang, H.; Liu, F. Effects of intar-row cover crop on fruit quality in vineyard. China Fruits 2021, 8, 58–61. [Google Scholar] [CrossRef]
- Motosugi, H.; Lwasaki, M.; Sueda, T. Effect of cover cropping with rat-tail fescue (Vulpia myuros L.), hairy vetch (Vicia villosa Roth) and winter rye (Secale cereale L.) on weed suppression and growth, mineral nutrition and arbuscular mycorrhizal formation of Chardonnay grapevine. J. ASEV. Japan 2004, 15, 123–124. [Google Scholar]
- Zhu, L.; He, J.; Tian, Y.; Li, X.; Li, Y.; Wang, F.; Qin, K.; Wang, J. Intercropping Wolfberry with Gramineae plants improves productivity and soil quality. Sci. Hortic. 2022, 292, 110632. [Google Scholar] [CrossRef]
- Guo, X.; Song, T.; Deng, L.; Weifeng, Z.; Jiao, X. Effects of grass growing on soil fertility and productivity of orchards in China: A meta-analysis. Chin. J Appl. Ecol. 2021, 11, 4021–4028. [Google Scholar] [CrossRef]
- Liu, G.; Dong, X.; Fan, L.; Hai, L.; Qiu, H.; Yang, P.; Wu, J. Response of nutrient backflux dynamics within Fuji trees to soil groundcover management approaches in East Gansu Province. Acta. Ecol. Sinica 2015, 35, 3862–3870. [Google Scholar] [CrossRef]
- Wang, Y.; Huang, Q.; Liu, C.; Ding, Y.; Liu, L.; Tian, Y.; Wu, X.; Li, H.; Awasthi, M.K.; Zhao, Z. Mulching practices alter soil microbial functional diversity and benefit to soil quality in orchards on the Loess Plateau. J. Environ. Manag. 2020, 271, 110985. [Google Scholar] [CrossRef] [PubMed]
- Yang, L.; Mao, Y.; Hu, Y.; Wang, Y.; Zhang, L.; Yin, Y.; Pang, H.; Su, X.; Liu, Y.; Shen, X. Effects of orchard grass on soil fertility and apple tree nutrition. J Plant Nutr Ferti. 2020, 26, 325–337. [Google Scholar] [CrossRef]
- Luo, J.; Xu, M.; Liu, C.; Wei, S.; Tang, H. Effects comparation of different mulching methods on soil in pitaya orchards. Inter. Agrophys 2021, 35, 267–276. [Google Scholar] [CrossRef]
- Wu, Y.; Wang, X.; Hu, R.; Zhao, J.; Jiang, Y. Responses of soil microbial traits to ground cover in citrus orchards in central China. Microorganisms 2021, 9, 2507. [Google Scholar] [CrossRef]
- Zhang, L.; Wang, P.; Chen, F.; Lai, S.; Yu, H.; Yang, H. Effects of calcium and pectin methylesterase on quality attributes and pectin morphology of jujube fruit under vacuum impregnation during storage. Food. Chem. 2019, 289, 40–48. [Google Scholar] [CrossRef]
- Xiang, Y.; Li, Y.; Liu, Y.; Zhang, S.; Yue, X.; Yao, B.; Xue, J.; Lv, W.; Zhang, L.; Xu, X.; et al. Factors shaping soil organic carbon stocks in grass covered orchards across China: A meta-analysis. Sci. Total. Environ. 2022, 807, 150632. [Google Scholar] [CrossRef]
- Liu, F.; Zhang, L.; Li, X.; Li, B.; Han, M.; Gu, J.; Wang, X. Effects of inter-row planting grasses on soil organic carbon fractions and soil microbial community of apple orchard in Weibei dryland. J Plant Nutr Ferti. 2014, 20, 355–363. [Google Scholar] [CrossRef]
- Ramos-Zapata, J.A.; Marrufo-Zapata, D.; Guadarrama, P.; Carrillo-Sanchez, L.; Hernandez-Cuevas, L.; Caamal-Maldonado, A. Impact of weed control on arbuscular mycorrhizal fungi in a tropical agroecosystem: A long-term experiment. Mycorrhiza 2012, 22, 653–661. [Google Scholar] [CrossRef] [PubMed]
- Xu, W.; Li, J.; Meng, L.; Xue, X.; Wang, J.; Liu, W.; Tang, S. Effects of kudzu mulching on physical and chemical properties and enzyme activities of surface soil in young rubber plantation. J Plant Nutr Ferti. 2020, 26, 1740–1748. [Google Scholar] [CrossRef]
- Yang, X.; Zeng, X.; Wem, J.; Wang, Y.; Bai, L.; Xu, W.; Su, S.; Wu, C. Effects of application of pig manure on physicochemical properties and enzyme activities of red soil upland. Acta Pedol. Sinica 2020, 57, 740–749. [Google Scholar] [CrossRef]






| Treatments | Yield (kg ha−1) | Weighted Mean Yield | LER y | ||||
|---|---|---|---|---|---|---|---|
| Jujube | Ryegrass m/Rattan Grass n/Nature Grass x | ||||||
| First Mowing | Second Mowing | Third Mowing | Total Yield | ||||
| MJ | 6595.46 ± 181.81 c | _ | _ | _ | _ | _ | _ |
| MR | _ | 5944.12 ± 190.87 d | 3892.18 ± 6.05 d | 3112.06 ± 36.36 d | 12,948.36 ± 213.67 d | _ | _ |
| MF | _ | 10,799.43 ± 440.73 a | 7199.72 ± 66.97 a | 5442.57 ± 16.00 a | 23,441.72 ± 499.61 a | _ | _ |
| NG | 4320.45 ± 81.41 d | 7500.37 ± 56.14 c | 3632.18 ± 33.33 e | 2928.60 ± 63.92 e | 12,415.09 ± 321.43 d | _ | _ |
| IR | 12,507.01 ± 272.62 b | 5854.31 ± 283.69 d | 6824.17 ± 105.65 b | 5267.84 ± 33.43 b | 21,917.51 ± 397.05 b | 14.66 ± 0.09 b | 2.99 ± 0.11 a |
| IF | 15,838.03 ± 450.73 a | 9825.49 ± 281.00 b | 4744.29 ± 15.87 c | 3828.09 ± 10.74 c | 16,072.75 ± 58.15 c | 24.36 ± 1.46 a | 2.74 ± 0.08 a |
| Treatment | Transverse Diameter (mm) | Longitudinal Diameter (mm) | Single-fruit weight (g) | Total Soluble Solids (%) | Firmness of Flesh Fruit (kg cm−3) | Soluble Sugar (%) | Organic Acids (%) | Vitamin C (mg·100 g−1) | Anthocyanin (mg·100 g−1 FW) | Flavonoids (mg·100 g−1 FW) |
|---|---|---|---|---|---|---|---|---|---|---|
| MJ | 28.90 ± 0.03 ab | 42.49 ± 1.21 c | 14.85 ± 0.48 c | 27.18 ± 0.46 bc | 2.83 ± 0.06 b | 22.04 ± 0.24 c | 8.12 ± 0.95 a | 34.39 ± 2.52 b | 1.38 ± 0.11 ab | 6.31 ± 0.35 c |
| NG | 26.06 ± 0.03 a | 44.37 ± 0.89 bc | 13.08 ± 0.32 d | 28.47 ± 0.45 a | 3.03 ± 0.07 ab | 27.35 ± 0.17 b | 6.08 ± 0.68 b | 28.24 ± 2.48 b | 1.31 ± 0.15 b | 8.25 ± 0.37 b |
| IR | 29.32 ± 0.04 ab | 54.07 ± 0.84 a | 20.08 ± 0.44 a | 28.14 ± 0.42 ab | 3.00 ± 0.08 ab | 26.65 ± 0.43 b | 5.91 ± 0.15 b | 28.1 ± 1.47 b | 1.68 ± 0.04 a | 10.63 ± 0.12 a |
| IF | 27.85 ± 0.03 b | 47.04 ± 1.03 b | 17.40 ± 0.54 b | 26.43 ± 0.43 c | 3.21 ± 0.08 a | 31.64 ± 0.05 a | 3.60 ± 0.26 c | 49.02 ± 0.90 a | 1.49 ± 0.03 ab | 8.15 ± 0.20 b |
| Treatments | DM (%) | Ash (% DM) | CP (% DM) | EE (% DM) | NDF (% DM) | ADF (% DM) | DMI | DDM (%) | RFV (%) |
|---|---|---|---|---|---|---|---|---|---|
| MR | 97.99 ± 0.11 a | 14.20 ± 0.18 b | 14.61 ± 0.38 a | 2.60 ± 0.05 a | 67.06 ± 0.69 a | 31.08 ± 0.25 b | 1.79 ± 0.02 c | 64.76 ± 0.83 bc | 121.17 ± 0.40 bc |
| MF | 94.72 ± 0.09 c | 15.49 ± 0.09 a | 13.24 ± 0.35 bc | 1.94 ± 0.02 c | 59.63 ± 0.64 b | 29.51 ± 0.23 b | 2.01 ± 0.02 b | 67.73 ± 0.87 a | 147.91 ± 0.27 a |
| NG | 93.72 ± 0.18 d | 10.09 ± 0.41 c | 9.98 ± 0.47 d | 1.33 ± 0.05 e | 62.64 ± 0.71 ab | 43.04 ± 0.23 a | 1.94 ± 0.05 b | 55.37 ± 1.26 d | 107.80 ± 0.29 c |
| IR | 95.41 ± 0.11 b | 13.78 ± 0.09 b | 13.38 ± 0.40 b | 2.30 ± 0.04 b | 60.90 ± 0.67 ab | 31.04 ± 0.18 b | 1.97 ± 0.01 b | 64.55 ± 0.62 c | 125.97 ± 0.36 ab |
| IF | 93.72 ± 0.08 d | 14.26 ± 0.14 b | 12.10 ± 0.50 c | 1.75 ± 0.03 d | 53.13 ± 0.46 b | 30.22 ± 0.27 b | 2.26 ± 0.02 a | 67.35 ± 1.02 ab | 141.32 ± 0.35 bc |
| Soil Depths (cm) | Treatments | SWC (%) | BD (g cm−3) | EC (µS cm−1) | pH | TN (g kg−1) | TP (g kg−1) | AP (mg kg−1) | AK (mg kg−1) | NO3−-N (mg kg−1) | NH4+-N (mg kg−1) |
|---|---|---|---|---|---|---|---|---|---|---|---|
| 0–20 | MJ | 7.97 ± 0.86 b | 1.44 ± 0.01 a | 107.03 ± 0.66 bc | 8.65 ± 0.02 a | 0.40 ± 0.05 a | 0.43 ± 0.03 bc | 27.53 ± 4.00 a | 78.41± 1.16 b | 4.91 ± 0.26 b | 2.42 ± 0.06 b |
| MR | 9.17 ± 0.55 ab | 1.26 ± 0.06 b | 102.1 ± 6.44 c | 8.48 ± 0.06 ab | 0.26 ± 0.03 b | 0.40 ± 0.07 c | 11.27 ± 2.89 b | 95.61 ± 3.07 a | 5.62 ± 0.74 b | 2.61 ± 0.09 ab | |
| MF | 12.17 ± 1.30 a | 1.35 ± 0.01 ab | 134.43 ± 13.69 ab | 8.23 ± 0.19 ab | 0.22 ± 0.04 b | 0.55 ± 0.02 a | 9.07 ± 4.24 b | 80.40 ± 7.00 b | 4.51 ± 0.20 b | 2.50 ± 0.06 b | |
| NG | 9.53 ± 0.88 ab | 1.34 ± 0.10 ab | 99.17 ± 6.71 c | 8.54 ± 0.04 ab | 0.34 ± 0.02 ab | 0.34 ± 0.02 c | 32.13 ± 1.44 a | 92.09± 1.83 ab | 5.12 ± 0.42 b | 2.88 ± 0.17 a | |
| IR | 9.87 ± 0.59 ab | 1.21 ± 0.02 b | 126.33 ± 11.08 abc | 8.22 ± 0.13 ab | 0.44 ± 0.06 a | 0.36 ± 0.03 c | 27.17 ± 1.25 a | 97.86 ± 5.32 a | 8.47 ± 0.56 a | 2.88 ± 0.07 a | |
| IF | 12.2 ± 1.27 a | 1.29 ± 0.01 ab | 147.27 ± 11.24 a | 8.1 ± 0.23 b | 0.42 ± 0.00 a | 0.53 ± 0.03 ab | 24.27 ± 0.84 a | 89.06 ± 4.42 ab | 5.89 ± 0.77 b | 2.56 ± 0.03 b | |
| 20–40 | MJ | 6.27 ± 0.23 e | 1.50 ± 0.02 a | 89.90 ± 0.49 d | 8.69 ± 0.03 a | 0.11± 0.00 e | 0.19 ± 0.00 b | 23.93 ± 1.21 a | 67.18 ± 11.45 ab | 5.12 ± 6.77 cd | 1.77 ± 0.03 c |
| MR | 8.53 ± 0.09 d | 1.41 ± 0.05 b | 97.80 ± 0.25 c | 8.63 ± 0.05 ab | 0.19 ± 0.01 c | 0.38 ± 0.02 a | 12.33 ± 0.26 b | 39.92 ± 3.11 d | 5.84 ± 6.77 bc | 2.03 ± 0.03 b | |
| MF | 14.3 ± 0.46 b | 1.43 ± 0.02 ab | 126.20 ± 2.16 a | 8.14 ± 0.04 c | 0.21 ± 0.00 bc | 0.37 ± 0.04 a | 7.20 ± 0.51 c | 47.92 ± 0.52 cd | 4.95 ± 6.77 d | 1.86 ± 0.06 c | |
| NG | 7.0 ± 0.06 e | 1.40 ± 0.01 b | 103.9 ± 3.05 c | 8.49 ± 0.10 b | 0.17 ± 0.01 d | 0.26 ± 0.01 b | 27.4 ± 3.01 a | 73.29 ± 3.02 a | 5.34 ± 0.41 cd | 2.22 ± 0.09 a | |
| IR | 9.6 ± 0.46 c | 1.35 ± 0.01 b | 83.07 ± 2.95 d | 8.57 ± 0.08 ab | 0.22 ± 0.01 b | 0.26 ± 0.05 b | 14.63 ± 1.30 b | 64.92 ± 0.70 abc | 6.85 ± 6.77 a | 2.28 ± 0.03 a | |
| IF | 16.07 ± 0.22 a | 1.41 ± 0.00 b | 115.60 ± 3.03 b | 8.08 ± 0.00 c | 0.32 ± 0.00 a | 0.43 ± 0.01 a | 12.20 ± 1.10 b | 53.94 ± 6.77 bcd | 6.39 ± 6.77 ab | 1.92 ± 0.03 bc |
Publisher’s Note: MDPI stays neutral with regard to jurisdictional claims in published maps and institutional affiliations. |
© 2022 by the authors. Licensee MDPI, Basel, Switzerland. This article is an open access article distributed under the terms and conditions of the Creative Commons Attribution (CC BY) license (https://creativecommons.org/licenses/by/4.0/).
Share and Cite
Wang, X.; Cao, B.; Zou, J.; Xu, A.; Feng, X. Intercropping Gramineae Herbage in Semiarid Jujube Cultivar ‘LingwuChangzao’ (Ziziphus jujuba Mill. cv. LingwuChangzao) Orchard Improves Productivity, Plant Nutritional Quality, and Soil Quality. Horticulturae 2022, 8, 834. https://doi.org/10.3390/horticulturae8090834
Wang X, Cao B, Zou J, Xu A, Feng X. Intercropping Gramineae Herbage in Semiarid Jujube Cultivar ‘LingwuChangzao’ (Ziziphus jujuba Mill. cv. LingwuChangzao) Orchard Improves Productivity, Plant Nutritional Quality, and Soil Quality. Horticulturae. 2022; 8(9):834. https://doi.org/10.3390/horticulturae8090834
Chicago/Turabian StyleWang, Xiaojia, Bing Cao, Jin Zou, Aiyun Xu, and Xuerui Feng. 2022. "Intercropping Gramineae Herbage in Semiarid Jujube Cultivar ‘LingwuChangzao’ (Ziziphus jujuba Mill. cv. LingwuChangzao) Orchard Improves Productivity, Plant Nutritional Quality, and Soil Quality" Horticulturae 8, no. 9: 834. https://doi.org/10.3390/horticulturae8090834
APA StyleWang, X., Cao, B., Zou, J., Xu, A., & Feng, X. (2022). Intercropping Gramineae Herbage in Semiarid Jujube Cultivar ‘LingwuChangzao’ (Ziziphus jujuba Mill. cv. LingwuChangzao) Orchard Improves Productivity, Plant Nutritional Quality, and Soil Quality. Horticulturae, 8(9), 834. https://doi.org/10.3390/horticulturae8090834

