Improvement of Phytopharmaceutical and Alkaloid Production in Periwinkle Plants by Endophyte and Abiotic Elicitors
Abstract
1. Introduction
2. Materials and Methods
2.1. Endophyte Micro-Organisms Isolation, Selection, and Identification
2.2. Plant Material and Experimental Layout
2.3. Growth Parameter
2.4. Total Chlorophyll and Carotenoid (mg g−1 FW)
2.5. Shoot Ion Percentage
2.6. Oxidative Biomarkers
2.7. Antioxidant and Phytopharmaceutical Constitution
2.8. Statistical Analysis
3. Results and Discussion
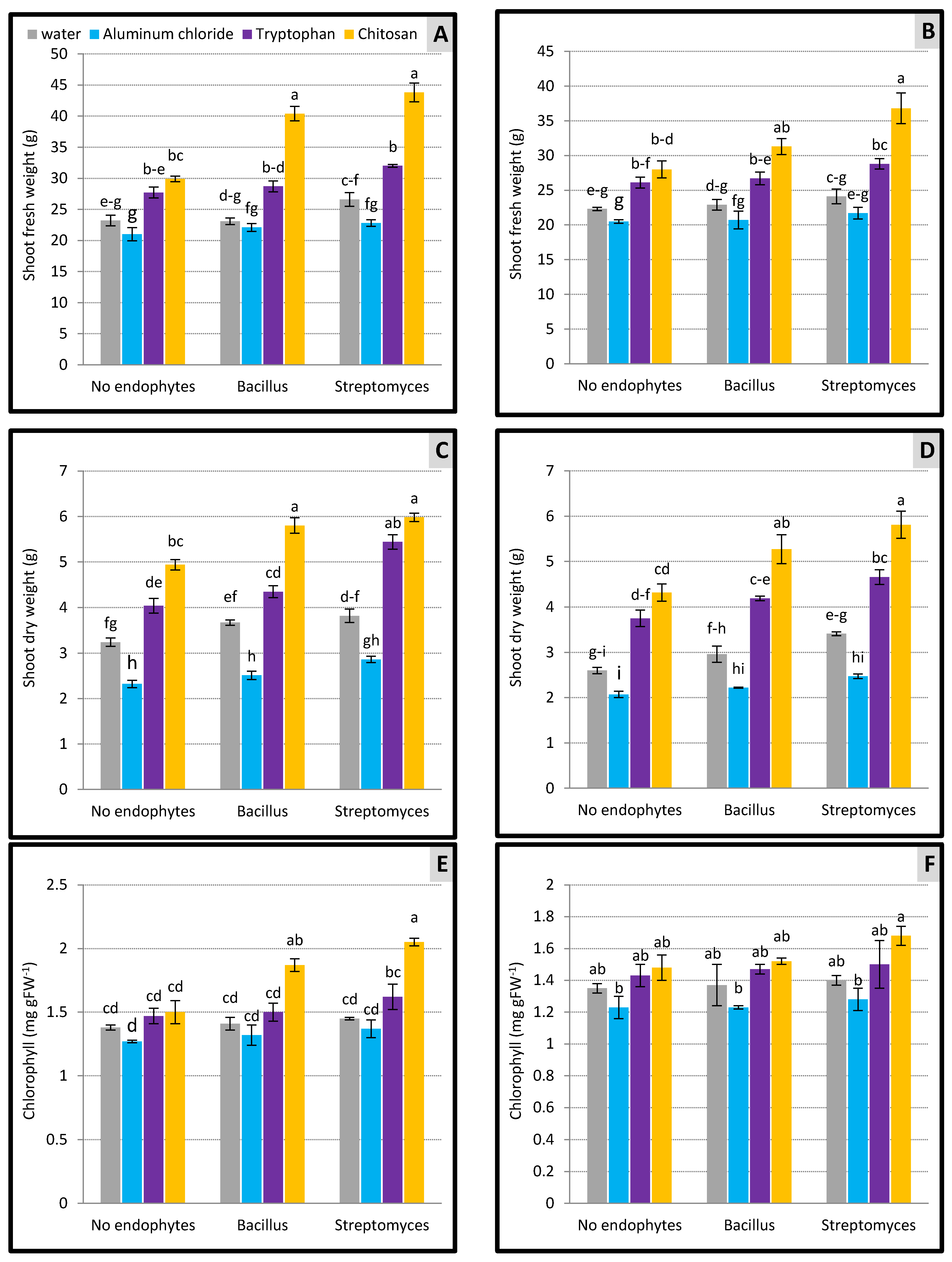
3.1. Shoot Biomass
3.2. Chlorophyll Concentration
3.3. Ion Percentage
3.4. Oxidative Biomarkers and Antioxidant Attributes
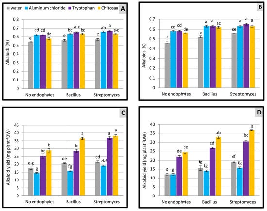
3.5. Phytopharmaceutical and Alkaloid Yield
4. Conclusions
Author Contributions
Funding
Institutional Review Board Statement
Informed Consent Statement
Data Availability Statement
Acknowledgments
Conflicts of Interest
References
- World Health Organisation (WHO). Report on Cancer: Setting Priorities, Investing Wisely and Providing Care for All; World Health Organization: Geneva, Switzerland, 2020; ISBN1 978-92-4-000129-9. (electronic version); ISBN2 978-92-4-000130-5. (print version). [Google Scholar]
- Prasad, V.; De Jesús, K.; Mailankody, S. The high price of anticancer drugs: Origins, implications, barriers, solutions. Natl. Rev. Clin. Oncol. 2017, 14, 381–390. [Google Scholar] [CrossRef] [PubMed]
- Taher, Z.M.; Agouillal, F.; Lim, J.R.; Marof, A.Q.; Dailin, D.J.; Nurjayadi, M.; Razif, E.N.M.; Gomaa, S.E.; El Enshasy, H.A. Anticancer molecules from Catharanthus roseus. Indonesian J. Pharm. 2019, 30, 147–156. [Google Scholar] [CrossRef]
- Haque, U.; Ferdiousi, N.; Sajon, S.R. Anti-cancer agents derived from plant and dietary sources: A Review. Int. J. Pharmacogn. 2016, 3, 55–66. [Google Scholar]
- Pliankong, P.; Padungsak, S.A.; Wannakrairoj, S. Chitosan elicitation for enhancing of vincristine and vinblastine accumulation in cell culture of Catharanthus roseus (L.) G. Don. J. Agric. Sci. 2018, 10, 287–293. [Google Scholar] [CrossRef]
- Senbagalakshmi, P.; Rao, M.V.; Kumar, T.S. In vitro studies, biosynthesis of secondary metabolites and pharmacological utility of Catharanthus roseus (L.) G. Don.: A Review. In Catharanthus Roseus; Springer Science: Cham, Switzerland, 2017; Volume 1, pp. 153–199. [Google Scholar]
- Pham, H.N.T.; Sakoff, J.A.; Vuong, Q.V.; Bowyer, M.C.; Scarlett, C.J. Screening phytochemical content, antioxidant, antimicrobial and cytotoxic activities of Catharanthus roseus (L.) G. Don stem extract and its fractions. Biocatal. Agric. Biotechnol. 2018, 16, 405–411. [Google Scholar] [CrossRef]
- Ross, I.A. Catharanthus roseus. In Medicinal Plants of the World, 2nd ed.; Humana Press: Totowa, NJ, USA, 2003; Volume I, pp. 175–196. [Google Scholar]
- Van der Heijden, R.; Jacobs, D.I.; Snoeijer, W.; Hallard, D.; Verpoorte, R. The Catharanthus alkaloids: Pharamacognosy and biochemistry. Curr. Med. Chem. 2004, 11, 607–628. [Google Scholar] [CrossRef]
- Valentao, P.; Fernandes, E.; Carvalho, F.; Andrade, P.B.; Seabra, R.M.; Bastos, M.L. Antioxidant activity of Centaurium erythraea infusion evidenced by its superoxide radical scavenging and xanthine oxidase inhibitory activity. J. Agric. Food Chem. 2001, 49, 3476–3479. [Google Scholar] [CrossRef]
- Sousa, C.; Valentao, P.; Ferreres, F.; Seabra, R.M.; Andrade, P.B. Tronchuda cabbage (Brassica oleracea L. var. costata DC): Scavenger of reactive nitrogen Species. J. Agric. Food Chem. 2008, 56, 4205–4211. [Google Scholar] [CrossRef]
- Pandey, S.S.; Singh, S.; Babu, C.S.V.; Shanker, K. Fungal endophytes of Catharanthu sroseus enhance vindoline content by modulating structural and regulatory genes related to terpenoidindole alkaloid biosynthesis. Sci. Rep. 2016, 6, 26583. [Google Scholar] [CrossRef]
- Zafar, N.; Mujib, A.; Ali, M.; Tonk, D.; Gulzar, B. Aluminum chloride elicitation (amendment) improves callus biomass growth and reserpine yield in Rauvolfia serpentine leaf callus. Plant Cell Tissue Organ Cult. 2017, 130, 357–368. [Google Scholar] [CrossRef]
- Singh, S.; Pandey, S.S.; Shanker, K.; Kalra, A. Endophytes enhance the production of root alkaloids ajmalicine and serpentine by modulating the terpenoidindole alkaloid pathway in Catharanthus roseus roots. J. Appl. Microbiol. 2020, 128, 1128–1142. [Google Scholar] [CrossRef] [PubMed]
- Brown, S.; Clastre, M.; Courdavault, V.; O’Connor, S.E. De novo production of the plant-derived alkaloid strictosidine in yeast. Proc. Natl. Acad. Sci. USA 2015, 112, 3205–3210. [Google Scholar] [CrossRef] [PubMed]
- Pan, Q.; Mustafa, N.R.; Tang, K.; Choi, Y.H.; Verpoorte, R. Monoterpenoidindole alkaloids biosynthesis and its regulation in Catharanthus roseus: A literature review from genes to metabolites. Phytochem. Rev. 2016, 15, 221–250. [Google Scholar] [CrossRef]
- El-sheikh Naglaa, H.; Farouk, S.; Mohamed, Z.E.A.; Arafa, A.A. Growth, as well as leaf and stem anatomy in periwinkle plant as affected by certain biotic and abiotic elicitors. J. Plant Prod. Mansoura Univ. 2019, 10, 283–291. [Google Scholar]
- Gupta, S.; Chaturvedi, P.; Kulkarni, M.G.; Van Staden, J. A critical review on exploiting the pharmaceutical potential of plant endophytic fungi. Biotechnol. Adv. 2020, 39, 107462. [Google Scholar] [CrossRef]
- Al-Huqail, A.A.; El-Bondkly, A.M.A. Improvement of Zea mays L., growth parameters under chromium and arsenic stress by the heavy metal-resistant Streptomyces sp NRC21696. Int. J. Environ. Sci. Technol. 2021. [Google Scholar] [CrossRef]
- Zhang, W.; Xie, Z.; Zhang, X.; Lang, D.; Zhang, X. Growth-promoting bacteria alleviates drought stress of G. uralensis through improving photosynthesis characteristics and water status. J. Plant Interact. 2019, 14, 580–589. [Google Scholar] [CrossRef]
- Ismail, A.H.; Mehmood, A.; Qadir, M.; Husna; Iqbal, A.; Hamayun, M.; Khan, N. Thermal stress alleviating potential of endophytic fungus Rhizopus oryzae inoculated to sunflower (Helianthus annuus L.) and soybean (Glycine max L.). Pak. J. Bot. 2020, 52, 1857–1865. [Google Scholar] [CrossRef]
- Xu, J.X.; Li, Z.Y.; Lv, X.; Yan, H.; Zhou, G.Y.; Cao, L.X.; Yang, Q.; Hee, Y.H. Isolation and characterization of Bacillus subtilis strain1-L-29, an endophytic bacteria from Camellia oleifera with antimicrobial activity and efficient plant-root colonization. PLoS ONE 2020, 15, e0232096. [Google Scholar] [CrossRef]
- El-Sayed, S.M.; Mazhar, A.A.M.; Mahgoub, M.H.; Abd El-Aziz, N.G.; Darwish, M.A.; Shanan, N.T. Investigation the effect of L-tryptophan on growth and chemical composition of Eucalyptus gomphocephala plants under cadmium stress. Middle East J. Agric. Res. 2019, 8, 106–116. [Google Scholar]
- Leete, E.; Ahmad, A.; Kompis, I. Biosynthesis of the vinca alkaloid. I. Feeding experiments with tryptophan-2-C14 and acetate-1-C14. J. Am. Chem. Soc. 1965, 87, 4168–4174. [Google Scholar] [CrossRef] [PubMed]
- Talaat, I.M.; Bekheta, M.A.; Mahgoub, M.H. Physical response of periwinkle (Catharanthus roseus L.) to tryptophan and putrescine. Int. J. Agric. Biol. 2005, 7, 2010–2013. [Google Scholar]
- Ahmed, K.B.M.; Khan, M.M.A.; Siddiqui, H.; Jahan, A. Chitosan and its oligosaccharides, a promising option for sustainable crop production- a review. Carbohydr. Polym. 2020, 227, 115331. [Google Scholar] [CrossRef] [PubMed]
- Malerba, M.; Cerana, R. Chitin- and chitosan-based derivatives in plant protection against biotic and abiotic stresses and in recovery of contaminated soil and water. Polysaccharides 2020, 1, 21–30. [Google Scholar] [CrossRef]
- Li, Y.; Zhang, Q.; Ou, L.; Ji, D.; Liu, T.; Lan, R.; Li, X.; Jin, L. Response to the cold stress signaling of the tea plant (Camellia sinensis) elicited by chitosan oligosaccharide. Agronomy 2020, 10, 915. [Google Scholar] [CrossRef]
- Farouk, S.; EL-Metwally, I.M. Synergistic responses of drip-irrigated wheat crop to chitosan and/or silicon under different irrigation regimes. Agric. Water Manag. 2019, 226, 105807. [Google Scholar] [CrossRef]
- Wang, A.; Li, J.; Al-Huqail, A.A.; Al-Harbi, M.S.; Ali, E.F.; Wang, J.; Ding, Z.; Rekaby, S.A.; Ghoneim, A.M.; Eissa, M.A. Mechanisms of chitosan nanoparticles in the regulation of cold stress resistance in banana plants. Nanomaterials 2021, 11, 2670. [Google Scholar] [CrossRef]
- Daspute, A.A.; Sadhukhan, A.; Tokizawa, M.; Kobayashi, Y.; Panda, S.K.; Koyama, H. Transcriptional regulation of aluminum-tolerance genes in higher plants: Clarifying the underlying molecular mechanisms. Front. Plant. Sci. 2017, 8, 1358. [Google Scholar] [CrossRef]
- Zinniel, D.K.; Lambrecht, P.; Harris, N.B.; Feng, Z.; Kuczmarski, D.; Higley, P.; Ishimaru, C.A.; Arunakumari, A.; Barletta, R.G.; Vidaver, A.K. Isolation and characterization of endophytic colonizing bacteria from agronomic crops and prairie plants. Appl. Environ. Microbiol. 2003, 68, 21982208. [Google Scholar] [CrossRef]
- Coombs, J.T.; Franco, C.M.M. Isolation and identification of Actinobacteria from surface-sterilized wheat roots. Appl. Environ. Microbiol. 2003, 69, 5603–5608. [Google Scholar] [CrossRef]
- Arora, S.; Patel, P.N.; Vanza, M.J.; Rao, G.G. Isolation and characterization of endophytic bacteria colonizing halophyte and other salt tolerance plant species from coastal Gujarta. Afr. J. Microbiol. Res. 2014, 8, 1779–1788. [Google Scholar]
- Ahmad, A.; Alam, M.; Janardhann, K.K. Fungal endophytes enhances biomass production and essential oil yield of east Indian lemon grass. Symbiosis 2011, 30, 275–285. [Google Scholar]
- Barnett, H.L.; Hunter, B.B. Illustrated Genera of Imperfect Fungi, 4th ed.; American Phytopathological Society Press: Saint Paul, MN, USA, 2006. [Google Scholar]
- Campbell, C.K.; Johnson, E.M.; Warnock, D.W. Identification of Pathogenic Fungi, 2nd ed.; Health Protection Agency: London, UK; Blackwell Publishing Ltd.: Hoboken, NJ, USA, 2013. [Google Scholar]
- Govindarajan, M.; Kwon, S.; Weon, H. Isolation, molecular characterization and growth-promoting activities of endophytic sugarcane diazotroph Klebsiella sp. GR9. World Microbial. Biotechnol. 2007, 23, 997–1006. [Google Scholar] [CrossRef]
- Byers, H.K.; Stackebrandt, E.; Hayward, C.; Blackall, L.L. Molecular investigation of a microbial mat associated with the great artesian basin. FEMS Microbiol. Ecol. 1998, 25, 391–403. [Google Scholar] [CrossRef]
- Benson, D.A.; Karsch-Mizrachi, I.; Lipman, D.J.; Ostell, J.; Sayers, E.J. GenBank. Nucl. Acids Res. 2009, 37, D3–D26. [Google Scholar] [CrossRef] [PubMed]
- Motsara, M.R.; Roy, R.N. Guide to Laboratory Establishment for Plant Nutrient Analysis (FAO Fertilizer and Plant Nutrition Bullet in No; 19); FAO: Rome, Italy, 2008. [Google Scholar]
- Lichtenthaler, H.K.; Wellburn, A.R. Determination of total carotenoids and chlorophylls A and B of leaf in different solvents. Biol. Soc. Trans. 1985, 11, 591–592. [Google Scholar] [CrossRef]
- Cooper, T.G. The Tools of Biochemistry; Wiley-Interscience: Hoboken, NJ, USA; John Wiley & Sons: New York, NY, USA, 1977. [Google Scholar]
- Tariq, A.; Masroor, A.K.M.; da Silva, J.A.T.; Mohd, I.; Naeem, M.; Moinuddin. Role of salicylic acid in promoting salt stress tolerance and enhanced artemisinin production in Artemisia annua L. J. Plant Growth Regul. 2011, 30, 425–435. [Google Scholar]
- Djanaguiraman, M.; Prasad, P.V.V.; Seppanen, M. Selenium protects sorghum leaves from oxidative damage under high temperature stress by enhancing antioxidant defense system. Plant Physiol. Biochem. 2010, 48, 999–1007. [Google Scholar] [CrossRef]
- Sadasivam, S.; Manickam, A. Biochemical Methods, 3rd ed.; New Age International (P) Ltd.: New Delhi, India, 2008. [Google Scholar]
- Chrysargyris, A.; Xylia, P.; Botsaris, G.; Tzortzakis, N. Antioxidant and antibacterial activities, mineral and essential oil composition of spearmint (Mentha spicata L.) affected by the potassium levels. Ind. Crops Prod. 2017, 103, 202–212. [Google Scholar] [CrossRef]
- Wang, X.R.; Huang, J.L. Principles and Techniques of Plant Physiology and Biochemistry Experiments; Higher Education Press: Beijing, China, 2015. [Google Scholar]
- Zhang, X.; Ren, K.; Zhang, L. Screening and preliminary identification of medicinal plants endophyticactinomycetes used for inhibiting penicillin-resistant Staphylococcus aureus. Int. J. Biol. 2012, 4, 119–124. [Google Scholar] [CrossRef][Green Version]
- Bradford, M.M. A rapid and sensitive method for the quantitation of microgram quantities of protein utilizing the principle of protein-dye binding. Anal. Biochem. 1976, 72, 248–254. [Google Scholar] [CrossRef]
- Chang, C.C.; Yang, M.H.; Wen, H.M.; Chern, J.C. Estimation of total flavonoid content in propolis by two complementary colorimetric methods. J. Food Drug Anal. 2002, 10, 178–182. [Google Scholar]
- Abdel-Aal, E.S.M.; Hucl, P. A rapid method for quantifying total anthocyanin in blue aleurone and purple pericarp wheat. Cereal Chem. 1999, 76, 350–354. [Google Scholar] [CrossRef]
- Harborne, J.B. Phytochemical Methods; Chapman and Hall, Ltd.: London, UK, 1973; pp. 49–188. [Google Scholar]
- Mohamed Manal, F.; Thalooth, A.T.; Essa, R.E.Y.; GobarahMirvat, E. The stimulatory effects of tryptophan and yeast on yield and nutrient status of wheat plants (Triticum aestivum) grown in newly reclaimed soil. Middle East J. Agric. Res. 2018, 7, 27–33. [Google Scholar]
- Akram, W.; Aslam, H.; Ahmad, S.R.; Anjum, T.; Yasin, N.A.; Khan, W.U.; Ahmad, A.; Guo, J.; Wu, T.; Luo, W.; et al. Bacillus megateriumstrain A12 ameliorates salinity stress in tomato plants through multiple mechanisms. J. Plant Interact. 2019, 14, 506–518. [Google Scholar] [CrossRef]
- Ali, A.; Bilal, S.; Khan, A.; Mabood, F.; Al-Harrasi, A.; Lee, I. Endophytic Aureobasidium pullulans BSS6 assisted developments in phytoremediation potentials of Cucumis sativus under Cd and Pb stress. J. Plant Interact. 2019, 14, 303–313. [Google Scholar] [CrossRef]
- Calvo, P.; Zebelo, S.; McNear, D.; Kloepper, J.; Fadamiro, H. Plant growth-promoting rhizobacteria induce changes in Arabidopsis thaliana gene expression of nitrate and ammonium uptake genes. J. Plant Interact. 2019, 14, 224–231. [Google Scholar] [CrossRef]
- Jang, J.H.; Kim, S.H.; Khaine, I.; Kwak, M.J.; Lee, H.K.; Lee, T.Y.; Lee, W.Y.; Woo, S.Y. Physiological changes and growth promotion induced in poplar seedlings by the plant growth-promoting rhizobacteria Bacillus subtilis JS. Photosynthetica 2018, 56, 1188–1203. [Google Scholar] [CrossRef]
- Ahmed, A.H.H.; Nesiem, M.R.A.E.; Allam, H.A.; El-Wakil, A.F. Effect of preharvest chitosan foliar application on growth, yield and chemical composition of Washington navel orange trees grown in two different regions. Afr. J. Biochem. Res. 2016, 10, 59–69. [Google Scholar] [CrossRef]
- Mehrabanjoubani, P.; Abdolzadeh, A.; Sadeghipour, H.R.; Aghdasi, M. Silicon affects transcellular and apoplastic uptake of some nutrients in plants. Pedosphere 2015, 25, 192–201. [Google Scholar] [CrossRef]
- Khan, M.H.; Singha, K.L.B.; Panda, S.K. Changes in antioxidant levels in Oryza sativa L. roots subjected to NaCl salinity stress. Acta Physiol. Plant. 2002, 24, 145–148. [Google Scholar] [CrossRef]
- Ibrahem, H.E. Effect of tryptophan, ascorbic acids and super max different rates on vegetative growth and flowering Spathiphyllum wallsi L. J. Plant Prod. Mansoura Univ. 2016, 7, 813–820. [Google Scholar] [CrossRef]
- Xu, W.; Purugganan, M.M.; Polisensky, D.H.; Antosiewicz, D.M.; Fry, S.C.; Braam, J. Arabidopsis TCH4, regulated by hormones and the environment, encodes a xyloglucanendotransglycosylase. Plant Cell 1995, 7, 1555–1567. [Google Scholar] [PubMed]
- Bakalova, R.; Zhelev, Z.; Miller, T.; Aoki, I.; Higashi, T. Vitamin C versus cancer: Ascorbic acid radical and impairment of mitochondrial respiration? Hindawi Oxidative Med. Cell. Longev. 2020, 2020, 1504048. [Google Scholar] [CrossRef] [PubMed]
- Naderi, S.; Khajeh, H.; Ahmadi, H. Characteristics of the authors the effect of chitosan on some morphological indices in Lepidium sativum L. In Proceedings of the First Conference of Medicinal Herbs and Herbal Medicines, Center for the Sustainable Development of Science and Technology Farzin, Tehran, Iran; 2015. [Google Scholar]
- Zhang, X.; Li, K.; Xing, R.; Liu, S.; Chen, X.; Yang, H.; Li, P. miRNA and mRNA expression profiles reveal insight into chitosan-mediated regulation of plant growth. J. Agric. Food Chem. 2018, 66, 3810–3822. [Google Scholar] [CrossRef] [PubMed]
- Gaudinier, A.; Rodriguez-Medina, J.; Zhang, L.; Olson, A.; Liseron-Monfils, C.; Bågman, A.M.; Brady, S.M. Transcriptional regulation of nitrogen-associated metabolism and growth. Nature 2018, 563, 259–264. [Google Scholar] [CrossRef] [PubMed]
- Farouk, S.; Amany, A.R. Improving growth and yield of cowpea by foliar application of chitosan under water stress. Egypt. J. Biol. 2012, 14, 14–16. [Google Scholar] [CrossRef]
- Ohta, K.; Taniguchi, A.; Konishi, N.; Hosoki, T. Chitosan treatment affects plant growth and flower quality in Eustomagrandiflorum. HortScience 1999, 34, 233–234. [Google Scholar] [CrossRef]
- Meshram, S.D.; Deotale, R.D.; Chute, K.H.; Jadhav, G.N.; Padghan, G.A. Morpho-physiological and yield responses of soybean to foliar sprays of chitosan and IBA. J. Soils Crops 2018, 28, 121–127. [Google Scholar]
- Hung, S.H.; Yu, C.W.; Lin, C.H. Hydrogen peroxide functions as a stress signal in plants. Bot. Bull. Acad. Sin. 2005, 46, 1–10. [Google Scholar]
- Li, H.; Zhao, Y.; Jiang, X. Seed soaking with Bacillus sp. strain HX-2 alleviates negative effects of drought stress on maize seedlings. Chil. J. Agric. Res. 2019, 79, 396–404. [Google Scholar] [CrossRef]
- Xie, W.M.; Wu, P.X.; Liu, Q. Antioxidant activity of watersoluble chitosan derivatives. Bioorganic Med. Chem. Lett. 2001, 11, 1699–1701. [Google Scholar] [CrossRef]
- Xu, D.P.; Li, Y.; Meng, X.; Zhou, T.; Zhou, Y.; Zheng, J.; Zhang, J.J.; Li, H.B. Natural Antioxidants in foods and medicinal plants: Extraction, assessment and resources. Int. J. Mol. Sci. 2017, 18, 96. [Google Scholar] [CrossRef] [PubMed]
- Dai, J.; Mumper, R. Plant phenolics: Extraction, analysis and their antioxidant and anticancer properties. Molecules 2010, 15, 7313–7352. [Google Scholar] [CrossRef] [PubMed]
- Basli, A.; Belkacem, N.; Amrani, I. Health Benefits of Phenolic Compounds against Cancers, Phenolic Compounds-Biological Activity; Soto-Hernandez, M., Palma-Tenango, M., Garcia-Mateos, M.R., Eds.; IntechOpen: London, UK, 2017; Available online: https://www.intechopen.com/books/phenolic-compounds-biological-activity/health-benefits-of-phenolic-compounds-against-cancers (accessed on 6 March 2022).
- Miguel-Chávez, R.S. Phenolic Antioxidant Capacity: A Review of the State of the Art, Phenolic Compounds-Biological Activity; Soto-Hernandez, M., Palma-Tenango, M., Garcia-Mateos, M.R., Eds.; IntechOpen: London, UK, 2017; Available online: https://www.intechopen.com/books/phenolic-compounds-biological-activity/phenolic-antioxidant-capacity-a-review-of-the-state-of-the-art (accessed on 6 March 2022).
- Velioglu, Y.S.; Mazza, G.; Gao, L.; Oomah, B.D. Antioxidant activity, and total phenolics in selected fruits, vegetables, and grain products. J. Agric. Food Chem. 1998, 46, 4113–4117. [Google Scholar] [CrossRef]
- Pirbalouti, A.G.; Malekpoor, F.; Salimi, A.; Golparvar, A. Exogenous application of chitosan on biochemical and physiological characteristics, phenolic content and antioxidant activity of two species of basil (Ocimum ciliatum and Ocimum basilicum) under reduced irrigation. Sci. Hortic. 2017, 217, 114–122. [Google Scholar] [CrossRef]
- Mohamed, S. Effect of chitosan, putrescine and irrigation levels on the drought tolerance of sour orange seedlings. Egypt. J. Hortic. 2018, 45, 257–273. [Google Scholar] [CrossRef]
- Kamalipourazad, M.; Sharifi, M.; Maivan, H.Z.; Behmanesh, M.; Chashmi, N.A. Induction of aromatic amino acids and phenylpropanoid compounds in Scrophulariastriata Boiss. Cell culture in response to chitosan-induced oxidative stress. Plant Physiol. Biochem. 2016, 107, 374–384. [Google Scholar] [CrossRef]
- Singh, S. Enhancing phytochemical levels, enzymatic and antioxidant activity of spinach leaves by chitosan treatment and an insight into the metabolic pathway using DART-MS technique. Food Chem. 2016, 199, 176–184. [Google Scholar] [CrossRef]
- Mehregan, M.; Mehrafarin, A.; Labbafi, M.R.; NaghdiBadi, H. Effect of different concentrations of chitosan biostimulant on biochemical and morphophysiological traits of stevia plant (Stevia rebaudiana Bertoni). J. Med. Plants 2017, 2, 169–181. [Google Scholar]
- Ramakrishna, R.; Sarkar, D.; Manduri, A.; Iyer, S.G.; Shetty, K. Improving phenolic bioactive-linked anti-hyperglycemic functions of dark germinated barley sprouts (Hordeum vulgare L.) using seed elicitation strategy. J. Food Sci. Technol. 2017, 54, 3666–3678. [Google Scholar] [CrossRef] [PubMed]
- Venieraki, A.; Dimou, M.; Katinakis, P. Endophytic fungi residing in medicinal plants have the ability to produce the same or similar pharmacologically active secondary metabolites as their hosts. Hell. Plant Prot. J. 2017, 10, 51–66. [Google Scholar] [CrossRef]
- Alam, M.M.; Naeem, M.; Masroor, M.; Khan, A. Exploiting the epibrassinolide as a plant growth promoter for augmenting the growth, physiological activities and alkaloids production in Catharanthus roseus L. J. Med. Plants Stud. 2016, 4, 88–93. [Google Scholar]
- Jaleel, C.A.; Gopi, R.; Azooz, M.M.; Panneerselvam, R. Pseudomonas fluorescens as a physiological modulator in the enhancement of medicinally important alkaloids of Catharanthus roseus. Acta Pharm. Sci. 2009, 51, 157–162. [Google Scholar]
- Mehrotra, S.; Srivastava, V.; Rahman, L.U.; Kukreja, A.K. Overexpression of a Catharanthus tryptophan decarboxylase (tdc) gene leads to enhanced terpenoidindole alkaloid (TIA) production in transgenic hairy root lines of Rauwolfia serpentina. Plant Cell Tissue Organ Cult. 2013, 115, 377–384. [Google Scholar] [CrossRef]
- Sehgal, A.; Sita, K.; Kumar, J.; Kumar, S.; Singh, S.; Siddique, K.H.; Nayyar, H. Effect of drought, heat and their interaction on the growth, yield and photosynthetic function of lentil (Lens culinaris Medikus) genotypes varying in heat and drought stress. Front. Plant Sci. 2017, 8, 1776. [Google Scholar] [CrossRef] [PubMed]
- Alhaithloul, H.A.; Soliman, M.H.; Ameto, K.L.; El-Esawi, M.A.; Elkelish, A. Changes in ecophysiological, osmolytes and secondary metabolites of medicinal plants of Menthapiperita and Catharanthusroseous subjected to drought and heat stress. Biomolecules 2020, 10, 43. [Google Scholar] [CrossRef]







| Treatment | Shoot Fresh Weight (g) | Shoot Dry Weight (g) | Chlorophyll | |||
|---|---|---|---|---|---|---|
| First Year | Second Year | First Year | Second Year | First Year | Second Year | |
| Endophytic microorganisms | ||||||
| No endophytes | 25.5 ± 1.11 c | 24.2 ± 0.95 c | 3.63 ± 0.29 c | 3.18 ± 0.27 c | 1.41 ± 0.03 b | 1.37 ± 0.04 b |
| Bacillus | 29.1 ± 2.11 b | 25.4 ± 1.29 b | 4.08 ± 0.36 b | 3.66 ± 0.36 b | 1.53 ± 0.07 a | 1.40 ± 0.04 a |
| Streptomyces | 31.3 ± 2.42 a | 27.9 ± 1.83 a | 4.52 ± 0.37 a | 4.09 ± 0.38 a | 1.62 ± 0.08 a | 1.46 ± 0.05 a |
| ANOVA p value | *** | *** | *** | *** | ** | ns |
| Abiotic elicitors | ||||||
| Water | 25.0 ± 0.65 c | 23.1 ± 0.46 c | 3.57 ± 0.10 c | 2.99 ± 0.13 c | 1.41 ± 0.02 bc | 1.37 ± 0.04 bc |
| Aluminum chloride | 22.0 ± 0.46 d | 21.0 ± 0.49 c | 2.56 ± 0.08 d | 2.25 ± 0.06 d | 1.32 ± 0.03 c | 1.25 ± 0.03 c |
| Tryptophan | 29.5 ± 0.74 b | 27.2 ± 0.58 b | 4.61 ± 0.22 b | 4.20 ± 0.15 b | 1.53 ± 0.04 b | 1.47 ± 0.05 ab |
| Chitosan | 38.0 ± 2.16 a | 32.0 ± 1.51 a | 5.57 ± 0.17 a | 5.13 ± 0.25 a | 1.81 ± 0.08 a | 1.56 ± 0.04 a |
| ANOVA p value | *** | *** | *** | *** | *** | *** |
| Treatment | Nitrogen (%) | Phosphorus (%) | Potassium (%) | |||
|---|---|---|---|---|---|---|
| First Year | Second Year | First Year | Second Year | First year | Second Year | |
| Endophytic microorganisms | ||||||
| No endophytes | 1.93 ± 0.08 b | 1.93 ± 0.09 b | 0.505 ± 0.02 b | 0.457 ± 0.03 b | 2.31 ± 0.08 b | 2.20 ± 0.10 b |
| Bacillus | 2.06 ± 0.06 a | 1.8 m9 ± 0.09 b | 0.556 ± 0.02 a | 0.478 ± 0.03 b | 2.38 ± 0.09 b | 2.31 ± 0.10 b |
| Streptomyces | 2.15 ± 0.05 a | 2.04 ± 0.06 a | 0.569 ± 0.02 a | 0.530 ± 0.02 a | 2.52 ± 0.08 a | 2.47 ± 0.10 a |
| ANOVA p value | *** | *** | * | ** | *** | *** |
| Abiotic elicitors | ||||||
| Water | 2.04 ± 0.02 b | 1.96 ± 0.03 b | 0.519 ± 0.01 b | 0.486 ± 0.01 b | 2.33 ± 0.04 c | 2.18 ± 0.05 c |
| Aluminum chloride | 1.70 ± 0.06 c | 1.46 ± 0.07 c | 0.447 ± 0.01 c | 0.327 ± 0.02 c | 1.97 ± 0.03 d | 1.85 ± 0.03 d |
| Tryptophan | 2.17 ± 0.02 a | 2.08 ± 0.03 ab | 0.571 ± 0.01 b | 0.548 ± 0.01 a | 2.56 ± 0.04 b | 2.54 ± 0.07 b |
| Chitosan | 2.28 ± 0.04 a | 2.19 ± 0.02 a | 0.636 ± 0.02 a | 0.593 ± 0.01 a | 2.75 ± 0.04 a | 2.73 ± 0.05 a |
| ANOVA p value | *** | *** | *** | *** | *** | *** |
| Treatment | H2O2 | MDA | Carotenoid | |||
|---|---|---|---|---|---|---|
| First Year | Second Year | First Year | Second Year | First Year | Second Year | |
| Endophytic microorganisms | ||||||
| No endophytes | 38.2 ± 1.37 a | 36.1 ± 1.50 a | 12.0 ± 0.94 a | 10.6 ± 0.65 a | 0.408 ± 0.02 b | 0.390 ± 0.02 b |
| Bacillus | 32.0 ± 2.27 b | 27.6 ± 2.02 b | 9.75 ± 0.72 b | 8.85 ± 1.12 ab | 0.460 ± 0.02 a | 0.458 ± 0.03 a |
| Streptomyces | 26.0 ± 3.04 c | 22.6 ± 2.47 c | 8.02 ± 0.91 b | 7.31 ± 0.77 b | 0.495 ± 0.02 a | 0.492 ± 0.03 a |
| ANOVA p value | *** | *** | ** | ** | *** | ** |
| Abiotic elicitors | ||||||
| Water | 30.7 ± 2.34 b | 27.2 ± 2.48 b | 9.64 ± 0.63 b | 8.47 ± 0.91 b | 0.357 ± 0.01 d | 0.342 ± 0.02 c |
| Alumium chloride | 43.7 ± 0.77 a | 39.4 ± 1.25 a | 13.1 ± 1.21 a | 12.1 ± 1.13 a | 0.415 ± 0.01 c | 0.419 ± 0.02 b |
| Tryptophan | 27.9 ± 2.43 bc | 25.1 ± 2.51 bc | 8.76 ± 0.86 b | 7.98 ± 0.87 b | 0.482 ± 0.01 b | 0.472 ± 0.02 b |
| Chitosan | 26.2 ± 2.55 c | 23.5 ± 2.21 c | 8.21 ± 0.75 b | 7.13 ± 0.66 b | 0.563 ± 0.02 a | 0.556 ± 0.03 a |
| ANOVA p value | *** | *** | *** | *** | *** | *** |
| Treatment | AsA | CAT | POD | |||
|---|---|---|---|---|---|---|
| First Year | Second Year | First Year | Second Year | First Year | Second Year | |
| Endophytic microorganisms | ||||||
| No endophytes | 0.36 ± 0.01b | 0.34 ± 0.01 b | 51.1 ± 2.10 c | 49.8 ± 2.30 b | 23.8 ± 1.17 b | 21.9 ± 1.12 c |
| Bacillus | 0.41 ± 0.02 a | 0.38 ± 0.02 a | 55.2 ± 2.59 b | 53.8 ± 2.32 a | 26.2 ± 1.45 a | 23.9 ± 1.40 b |
| Streptomyces | 0.42 ± 0.02 a | 0.39 ± 0.01 a | 58.1 ± 2.47 a | 55.5 ± 2.44 a | 27.5 ± 1.51 a | 25.5 ± 1.32 a |
| ANOVA p value | ** | ** | *** | *** | *** | *** |
| Abiotic elicitors | ||||||
| Water | 0.33 ± 0.00 b | 0.30 ± 0.01 d | 43.9 ± 0.86 c | 42.9 ± 1.31 c | 20.3 ± 0.48 d | 18.4 ± 0.57 d |
| Aluminum chloride | 0.36 ± 0.01 b | 0.34 ± 0.01 c | 51.8 ± 1.38 b | 49.7 ± 1.07 b | 23.4 ± 0.79 c | 21.5 ± 0.31 c |
| Tryptophan | 0.44 ± 0.01 a | 0.40 ± 0.01 b | 60.2 ± 1.40 a | 58.1 ± 1.38 a | 28.3 ± 0.79 b | 26.4 ± 0.77 b |
| Chitosan | 0.47 ± 0.02 a | 0.44 ± 0.01 a | 63.3 ± 1.62 a | 61.4 ± 1.52 a | 31.4 ± 1.06 a | 28.8 ± 0.96 a |
| ANOVA p value | *** | *** | *** | *** | *** | *** |
| Treatment | TSPC | Flavonoids | Anthocyanin | |||
|---|---|---|---|---|---|---|
| First Year | Second Year | First Year | Second Year | First Year | Second Year | |
| Endophytic microorganisms | ||||||
| No endophytes (N) | 18.1 ± 1.44 a | 16.3 ± 3.72 a | 2.28 ± 0.13 | 2.14 ± 0.15 | 4.17 ± 0.33 | 3.75 ± 0.32 |
| Bacillus (B) | 17.2 ± 1.36 a | 15.5 ± 1.13 ab | 2.24 ± 0.10 | 2.06 ± 0.11 | 3.96 ± 0.32 | 3.59 ± 0.27 |
| Streptomyces (S) | 15.8 ± 1.07 b | 15.0 ± 1.01 b | 2.18 ± 0.11 | 2.05 ± 0.10 | 3.81 ± 0.24 | 3.45 ± 0.25 |
| ANOVA p-value | ** | * | ns | ns | ns | ns |
| Abiotic elicitors | ||||||
| Water (W) | 12.0 ± 0.15 d | 11.5 ± 0.20 c | 1.84 ± 0.03 b | 1.65 ± 0.05 c | 2.73 ± 0.16 d | 2.52 ± 0.09 d |
| Aluminum chloride (A) | 22.5 ± 0.69 a | 20.9 ± 0.50 a | 2.71 ± 0.09 a | 2.60 ± 0.11 a | 5.17 ± 0.16 a | 4.84 ± 0.17 a |
| Tryptophan (T) | 14.4 ± 0.81 c | 12.6 ± 0.15 c | 1.96 ± 0.01 b | 1.90 ± 0.02 bc | 3.59 ± 0.13 c | 3.09 ± 0.16 c |
| Chitosan (C) | 19.2 ± 0.56 b | 17.4 ± 0.74 b | 2.42 ± 0.10 a | 2.18 ± 0.07 b | 4.42 ± 0.17 b | 3.93 ± 0.11 b |
| ANOVA p value | *** | *** | *** | *** | *** | *** |
| Treatment | Alkaloid% | Alkaloid Yield | ||
|---|---|---|---|---|
| First Year | Second Year | First Year | Second Year | |
| Endophytic microorganisms | ||||
| No endophytes | 0.592 ± 0.01 c | 0.548 ± 0.01 c | 21.5 ± 1.7 c | 17.6 ± 1.7 c |
| Bacillus | 0.620 ± 0.01 b | 0.603 ± 0.01 b | 25.3 ± 2.3 b | 22.2 ± 2.4 b |
| Streptomyces | 0.639 ± 0.01 a | 0.620 ± 0.01 a | 29.0 ± 2.6 a | 25.5 ± 2.6 a |
| ANOVA p-value | *** | *** | *** | *** |
| Abiotic elicitors | ||||
| Water | 0.558 ± 0.01 c | 0.514 ± 0.02 b | 20.0 ± 0.71 c | 15.5 ± 1.11 c |
| Aluminum chloride | 0.641 ± 0.01 a | 0.617 ± 0.01 a | 16.4 ± 0.72 d | 13.9 ± 0.58 c |
| Tryptophan | 0.652 ± 0.01 a | 0.625 ± 0.01 a | 30.2 ± 1.81 b | 26.3 ± 1.26 b |
| Chitosan | 0.617 ± 0.01 b | 0.606 ± 0.01 b | 34.5 ± 1.50 a | 31.3 ± 2.04 a |
| ANOVA p value | *** | *** | *** | *** |
Publisher’s Note: MDPI stays neutral with regard to jurisdictional claims in published maps and institutional affiliations. |
© 2022 by the authors. Licensee MDPI, Basel, Switzerland. This article is an open access article distributed under the terms and conditions of the Creative Commons Attribution (CC BY) license (https://creativecommons.org/licenses/by/4.0/).
Share and Cite
Farouk, S.; AL-Huqail, A.A.; El-Gamal, S.M.A. Improvement of Phytopharmaceutical and Alkaloid Production in Periwinkle Plants by Endophyte and Abiotic Elicitors. Horticulturae 2022, 8, 237. https://doi.org/10.3390/horticulturae8030237
Farouk S, AL-Huqail AA, El-Gamal SMA. Improvement of Phytopharmaceutical and Alkaloid Production in Periwinkle Plants by Endophyte and Abiotic Elicitors. Horticulturae. 2022; 8(3):237. https://doi.org/10.3390/horticulturae8030237
Chicago/Turabian StyleFarouk, Saad, Arwa Abdulkreem AL-Huqail, and Seham M. A. El-Gamal. 2022. "Improvement of Phytopharmaceutical and Alkaloid Production in Periwinkle Plants by Endophyte and Abiotic Elicitors" Horticulturae 8, no. 3: 237. https://doi.org/10.3390/horticulturae8030237
APA StyleFarouk, S., AL-Huqail, A. A., & El-Gamal, S. M. A. (2022). Improvement of Phytopharmaceutical and Alkaloid Production in Periwinkle Plants by Endophyte and Abiotic Elicitors. Horticulturae, 8(3), 237. https://doi.org/10.3390/horticulturae8030237

