Assessing the Reliability of Treated Grey Water Irrigation on Soil and Tomatoes (Solanum lycopersicum L.)
Abstract
1. Introduction
2. Materials and Methods
2.1. Experimental Set-Up
2.2. Soil Analysis
2.3. Microbiological Examination
2.4. Plant Analysis
2.4.1. Yield Attributes
2.4.2. Fruit Quality Measures
2.4.3. Physico-Chemical Parameters
2.4.4. Biochemical Traits
2.5. Data Analysis
3. Results
3.1. Physico-Chemical Proprieties of the Soil
3.2. Microbiological Examination of Soil
3.3. Microbial Examination of Tomato Leaves and Fruits
3.4. Yield Attributes
3.5. Transverse (TD) and longitudinal (LD) Diameters of Tomato Fruits
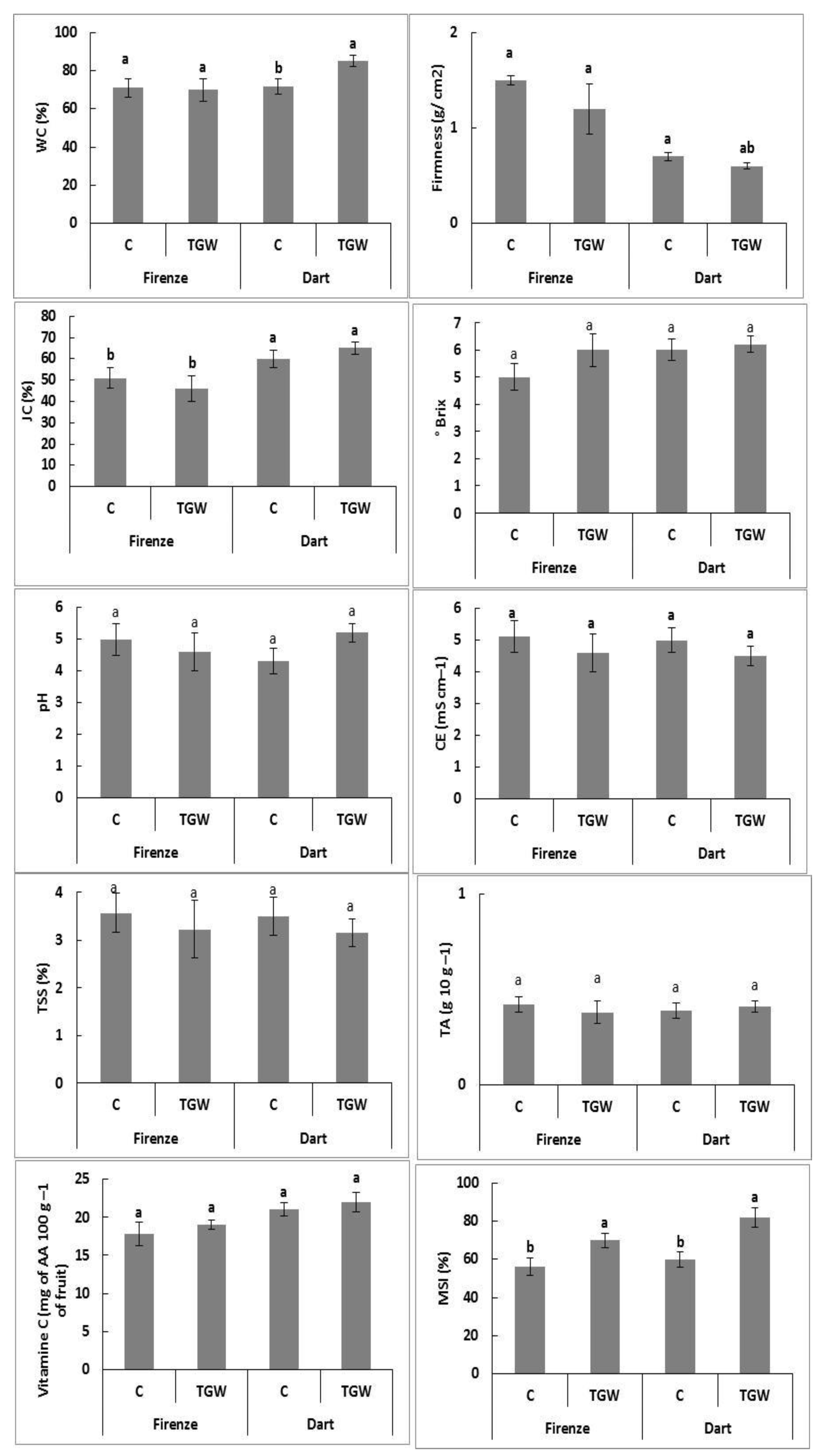
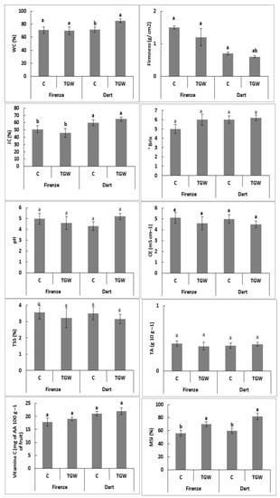
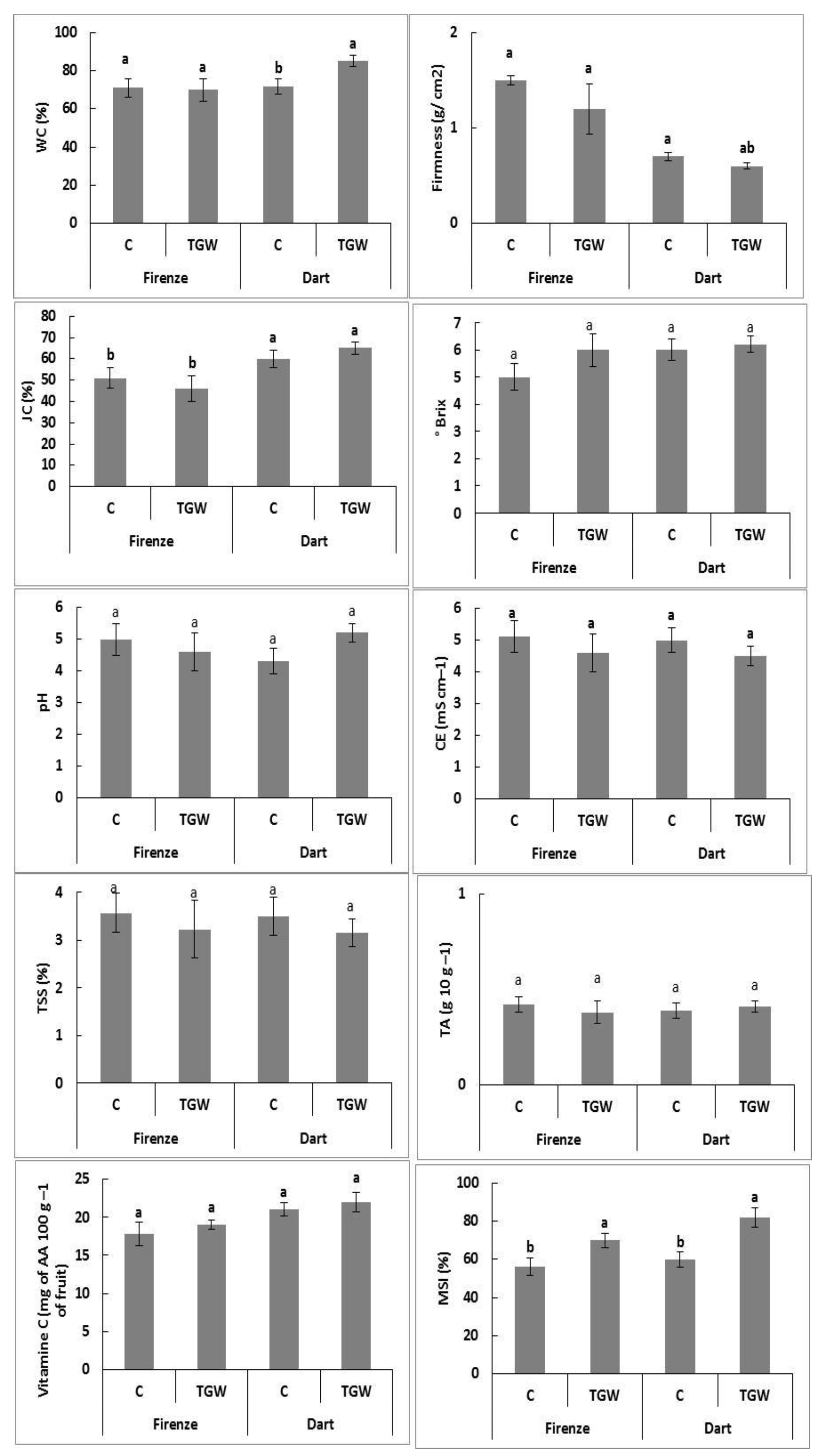
3.6. Fruit Quality Traits
3.7. Fruit Color Measurement
3.8. Biochemical Analysis
4. Discussion
5. Conclusions
Author Contributions
Funding
Data Availability Statement
Acknowledgments
Conflicts of Interest
References
- Balkhair, K.S. Microbial contamination of vegetable crop and soil profile in arid regions under controlled application of domestic wastewater. Saudi J. Biol. Sci. 2015, 23, S83–S92. [Google Scholar] [CrossRef]
- Oteng-Peprah, M.; Acheampong, M.A.; Devries, N.K. Greywater Characteristics, Treatment Systems, Reuse Strategies and User Perception—A Review. Water Air Soil Pollut. 2018, 229, 1–16. [Google Scholar] [CrossRef]
- Lubbe, E.; Rodda, N.; Sershen, N. Effects of grey water irrigation on germination, growth and photosynthetic characteristics in selected African leafy vegetables. Water SA 2016, 42, 0378-4738. [Google Scholar] [CrossRef]
- De Gisi, S.; Casella, P.; Notarnicola, M.; Farina, R. Grey water in buildings: A mini-review of guidelines, technologies and case studies. Civ. Eng. Environ. Syst. 2015, 33, 35–54. [Google Scholar] [CrossRef]
- Voulvoulis, N. Water reuse from a circular economy perspective and potential risks from an unregulated approach. Curr. Opin. Environ. Sci. Health 2018, 2, 32–45. [Google Scholar] [CrossRef]
- Al-Zu’bi, Y.; Al-Mohamad, I.F. Effect of grey water on soil chemical composition and yield of tomato plant. J. Food Agric. Environ. 2008, 6, 408–410. [Google Scholar]
- Hashem, M.; Qi, X. Treated Wastewater Irrigation—A Review. Water 2021, 13, 1527. [Google Scholar] [CrossRef]
- Hussain, M.I.; Qureshi, A.S. Health risks of heavy metal exposure and microbial contamination through consumption of vegetables irrigated with treated wastewater at Dubai, UAE. Environ. Sci. Pollut. Res. 2020, 27, 11213–11226. [Google Scholar] [CrossRef]
- Misra, R.K.; Patel, J.H.; Baxi, V.R. Removal of pollutants by tomato plants during reuse of laundry greywater for irrigation. In Proceedings of the International Conference on Food Security and Environmental Sustainability (FSES 2009), Kharagpur, India, 17–19 December 2009; pp. 17–19. [Google Scholar]
- Sánchez–González, A.; Chapela–Lara, M.; Germán–Venegas, E.; Fuentes-García, R.; del Río-Portilla, F.; Siebe, C. Changes in quality and quantity of soil organic matter stocks resulting from wastewater irrigation in formerly forested land. Geoderma 2017, 306, 99–107. [Google Scholar] [CrossRef]
- De Carlo, L.; Battilani, A.; Solimando, D.; Caputo, M.C. Application of time-lapse ERT to determine the impact of using brackish waste water for maize irrigation. J. Hydrol. 2020, 582, 124465. [Google Scholar] [CrossRef]
- Akpan, V.E.; Omole, D.O.; Bassey, D.E. Assessing the public perceptions of treated wastewater reuse: Opportunities and implications for urban communities in developing countries. Heliyon 2020, 6, e05246. [Google Scholar] [CrossRef] [PubMed]
- Ntuli, V.; Chatanga, P.; Kwiri, R.; Gadaga, H.T.; Gere, J.; Matsepo, T.; Potloane, R.P. Microbiological quality of selected dried fruits and vegetables in Maseru, Lesotho. Afr. J. Microbiol. Res. 2017, 11, 185–193. [Google Scholar] [CrossRef]
- Qishlaqi, A.; Moore, F.; Forghani, G. Impact of untreated wastewater on soils and crops in Shiraz suburban area, SW. Iran. Environ. Monit. Assess. 2008, 141, 257–273. [Google Scholar] [CrossRef]
- Pinto, U.; Maheshwari, B.; Grewal, H. Effects of greywater irrigation on plant growth, water use and soil properties. Resour. Conserv. Recycl. 2010, 54, 429–435. [Google Scholar] [CrossRef]
- Rusan, M.J.M.; Hinnawi, S.; Rousan, L. Long term effect of wastewater irrigation of forage crops on soil and plant quality parameters. Desalination 2007, 215, 143–152. [Google Scholar] [CrossRef]
- Faruqui, N.; Al-Jayyousi, O. Greywater Reuse in Urban Agriculture for Poverty Alleviation: A Case Study in Jordan. Water Int. 2002, 27, 387–394. [Google Scholar] [CrossRef]
- Sharvelle, S.; Roesner, L.; Qian, Y.; Stomberger, M.; Azar, M.N. Long-Term Study on Landscape Irrigation Using Household Gray Water—Experimental Study. The Urban Water Centre, Colorado State University. 2012. Available online: http://www.aciscience.org/docs/graywater%20report%202012.pdf (accessed on 6 June 2014).
- Hajlaoui, H.; Akrimi, R.; Sayahi, S.; Hachicha, M. Usage of treated greywater as an alternative irrigation source for tomatoes cultivation. Water Environ. J. 2022, 36, 484–493. [Google Scholar] [CrossRef]
- Akrimi, R.; Hajlaoui, H.; Batelli, G.; Ruggiero, A.; Badri, M.; Grillo, S.; Mhamdi, M. Electromagnetic water enhanced metabolism and agro-physiological responses of potato ( Solanum tuberosum L) under saline conditions. J. Agron. Crop Sci. 2020, 207, 44–58. [Google Scholar] [CrossRef]
- Khaskhoussy, K.; Kahlaoui, B.; Nefzi, B.M.; Jozdan, O.; Dakheel, A.; Hachicha, M. Effect of Treated Waste water Irrigation on Heavy Metals Distribution in a Tunisian Soil. ETASR 2015, 5, 805–810. [Google Scholar]
- APHA. Compendium of Methods for Microbiological Examination of Foods, 4th ed.; American Public Health Association: Washington, DC, USA, 2001; 676p. [Google Scholar]
- APHA. Standard Methods for the Examination of Water and Waste Water, 21st ed.; American Public Health Association: Washington, DC, USA, 2005. [Google Scholar]
- Fransolet, E.; Crine, M.; L’Homme, G.; Toye, D.; Marchot, P. Analysis of electrical resistance tomography measurements obtained on a bubble column. Meas. Sci. Technol. 2001, 12, 1055–1060. [Google Scholar] [CrossRef]
- Dashti, N.H.; Montasser, M.S.; Ali, N.Y.; Cherian, V.M. Influence of plant growth promoting rhizobacteria on fruit yield, pomological characteristics and chemical contents in cucumber mosaic virus-infected tomato plants. Kuwait J. Sci. 2014, 41, 205–220. [Google Scholar]
- Daneshmand, F.A.; Javad, M.K.; Manouchehri, K. Physiological responses to NaCl stress in three wild species of potato in vitro. Acta Physiol. Plant. 2010, 32, 91–101. [Google Scholar] [CrossRef]
- Instituto Adolfo Lutz—IAL. Métodos físico-químicos para análise de alimentos; IAL: São Paulo, Brazil, 2008. [Google Scholar]
- Fish, W.W.; Perkins-Veazie, P.; Collins, J.K. A Quantitative Assay for Lycopene That Utilizes Reduced Volumes of Organic Solvents. J. Food Compos. Anal. 2002, 15, 309–317. [Google Scholar] [CrossRef]
- Toledo, D.S.; Costa, C.A.; Bacci, L.; Fernandes, L.A.; Souza, M.F. Production and quality of tomato fruits under organic management. Hort. Brasil. 2011, 29, 253–257. [Google Scholar] [CrossRef]
- Chen, L.; Feng, Q.; Li, C.; Wei, Y.; Zhao, Y.; Feng, Y.; Zheng, H.; Li, F.; Li, H. Impacts of aquaculture wastewater irrigation on soil microbial functional diversity and community structure in arid regions. Sci. Rep. 2017, 7, 1–10. [Google Scholar] [CrossRef]
- Pereira, B.; He, Z.; Silva, M.; Herpin, U.; Nogueira, S.; Montes, C.; Melfi, A. Reclaimed waste water: Impact on soil-plant system under tropical conditions. J. Hazard. Mater. 2011, 192, 54–61. [Google Scholar]
- Magesan, G.N. Changes in soil physical properties after irrigation of two forested soils with municipal waste water. N. Z. J. For. Sci. 2001, 31, 188–195. [Google Scholar]
- WHO. Health Guidelines for the Use of Waste Water in Agriculture and Aquaculture; Report of a WHO Scientific Group; (Technical Report Series 1989, No. 778); WHO: Geneva, Switzerland, 1989. [Google Scholar]
- WHO. Water Quality: Guidelines, Standards and Health; Fewtrell, L., Bartram, J., Eds.; IWA Publishing: London, UK, 2001; ISBN 1900222280. [Google Scholar]
- Al-Hamaiedeh, H.; Bino, M. Effect of treated grey water reuse in irrigation on soil and plants. Desalination 2010, 256, 115–119. [Google Scholar] [CrossRef]
- Bino, M.J.; Al-Beiruti, S.N. Studies of IDRC SupportedResearch on Greywater in JordanConducted by INWRDAM. In Compilation of Greywater Studies and Reports on Policy, Economic Feasibility, Health Impacts and Reuse Quality Guidelines and the Aqaba Declaration on Greywater Use; 2007; pp. 1–76. [Google Scholar]
- Munir, M.; Mohammad, A. Forage yield and nutrient uptake as influenced by secondary treated sewage water. J. Plant Nutr. 2004, 27, 351–365. [Google Scholar]
- Lopez, A.; Pollice, A.; Lonigro, A.; Masi, S.; Palese, A.M.; Cirelli, G.L.; Toscano, A.; Passino, R. Agricultural sewage water reuse in southern Italy. Desalination 2006, 187, 323–334. [Google Scholar] [CrossRef]
- Nascimento, A.D.R.; Junior, M.S.S.; Caliari, M.; Fernandes, P.M.; Rodrigues, J.P.; De Carvalho, W.T. Qualidade de tomates de mesa cultivados em sistema orgânico e convencional no estado de Goiás. Hortic. Bras. 2013, 31, 628–635. [Google Scholar] [CrossRef]
- Yadav, A.K.; Singh, S.V. Osmotic dehydration of fruits and vegetables: A review. J. Food Sci. Technol. 2012, 51, 1654–1673. [Google Scholar] [CrossRef]



| GW | TGW | |
|---|---|---|
| pH | 7.34 ± 0.01 a | 7.42 ± 0.02 a |
| EC (mS cm−1) | 3.23 ± 0.20 a | 3.63 ± 0.04 a |
| SS (mg L−1) | 13.66±1.08 b | 50.33 ± 1.08 a |
| Turbidity (NTU) | 0.47 ± 0.00 b | 104.33 ± 0.40 a |
| CDO (mg O2 g−1) | 27.33 ± 1.77 b | 86.33 ± 1.08 a |
| BDO (mg O2 g−1) | 0.33 ± 0.40 b | 46.33 ± 3.34 a |
| HCO3− (meq L−1) | 6.00 ± 1.23 b | 12.00 ± 0.00 a |
| NO3− (mg L−1) | 63.33 ± 0.40 b | 96.00 ± 3.74 a |
| SO42− (meq L−1) | 22.83 ± 1.24 a | 16.83 ± 1.81 a |
| K+ (mg L−1) | 0.06 ± 0.01 b | 0.12 ± 0.00 a |
| Na+ (meq L−1) | 4.13 ± 0.16 a | 5.90 ± 0.00 a |
| Ca2+ (meq L−1) | 8.53 ± 0.16 b | 10.40 ± 0.74 a |
| Mg2+ (meq L−1) | 12.93 ± 0.58 a | 12.26 ± 1.14 a |
| Cl− (meq L−1) | 16.00 ± 0.00 a | 16.00 ± 0.00 a |
| Ni (mg L−1) | 0.20 ± 0.00 b | 0.50 ± 0.01 a |
| Fe2+ (mg L−1) | - | 0.10 ± 0.00 a |
| Pb (mg L−1) | 0.30 ± 0.00 b | 1.10 ± 0.01 a |
| Cu2+ (mg L−1) | - | - |
| Zn2+ (mg L−1) | - | - |
| Cd (mg L−1) | - | - |
| SAR (mg L−1) | 1.26 ± 0.07 b | 1.75 ± 0.02 a |
| Total coliforms (UFC 100/mL) | - | 1.2.102 ± 1.4.103 |
| Fecal coliforms (UFC 100/mL) | - | - |
| Escherichia coli (UFC 100/mL) | - | 2.1.101 ± 1.1.102 |
| Streptococcus (UFC 100/mL) | - | - |
| Salmonella (UFC 100/mL) | - | - |
| Vibrio cholera (UFC 100/mL) | - | - |
| Microorganism | Microbiological Analysis |
|---|---|
| Total and fecal coliforms | Total coliforms were determined using multiple tube fermentation (MTF) procedure. Fecal coliforms were enumerated by inoculation of tubes containing a lactose broth with diluted samples. After incubation at 37 °C for 24–48 h, we looked for gas production and positive tubes were subcultured on a selective medium (lactose broth, Brilliant Green Bile). The confirmatory test consists of verifying the production of indole by adding kovacs reagent. |
| Escherichia coli | E. Coli were detected on the presemptive tubes (indole+) when a dark red ring appeared. |
| Streptococci | Incubation was done in a Roth medium at 35–37 °C for 48 h. Positive tubes are those which present a cloudiness often accompanied by sediment. The confirmatory test consists of subculturing the presumptive positive tubes into tubes of Litsky medium at 35–37 °C for 24–48 h, and streptococci presence were confirmed by a cloudiness often accompanied by blue–purple sediment. |
| Salmonellae | Salmonellae was detected on salmonella–shegella media and colonies are indicated by transparent black colonies. |
| Vibrio cholerae | Vibrio cholerae was detected on thiosulfate-citrate-bile salts-sucrose (T.C.B.S) medium and colonies were indicated by yellow color and flat appearance. |
| C | TGW | |||
|---|---|---|---|---|
| 0–20 cm | 20–40 cm | 0–20 cm | 20–40 cm | |
| pH | 8.04 ± 0.39 Aa | 8.05 ± 0.11 aA | 7.87 ± 0.02 aA | 8.04 ± 0.10 aA |
| EC (mS cm−1) | 1.36 ± 0.38 aA | 1.30 ± 0.08 aA | 1.38 ± 0.24 aA | 1.39 ± 0.15 aA |
| NO3− (ppm) | 1466.66 ± 28.6 aB | 1566.00 ± 20.16 aB | 2550.00 ± 50.00 aA | 2433.33 ± 50.30 aA |
| Na+ (meq L−1) | 0.93 ± 0.15 aA | 0.71 ± 0.05 aA | 1.08 ± 0.10 aA | 0.98 ± 0.03 aA |
| K+ (meq L−1) | 0.08 ± 0.05 aA | 0.06 ± 0.00 aA | 0.04 ± 0.01 aB | 0.04 ± 0.00 aB |
| P (meq L−1) | 64.66 ± 13.79 aB | 24.33 ± 4.16 bB | 86.00 ± 3.00 aA | 60.00 ± 1.73 bA |
| Ca2+ + Mg2+ (meq L−1) | 25.33 ± 5.03 aB | 16.00 ± 3.46 bB | 87.00 ± 6.08 aA | 27.00 ± 6.0 bA |
| Cl− (meq L−1) | 17.24 ± 2.51 aA | 16.80 ± 4.56 aA | 18.00 ± 3.05 aA | 17.51 ± 2.44 aA |
| Pb (meq L−1) | 4.31 ± 3.61 aA | 4.00 ± 0.00 aA | 5.33 ± 2.52 aA | 4.33 ± 2.30 aA |
| Fe (meq L−1) | 1895 ± 12.85 aA | 1227.33 ± 34.88 aA | 2894.33 ± 29.60 aA | 1821.00 ± 21.35 aA |
| Cu (meq L−1) | 0.80 ± 0.00 aB | 0.70 ± 0.50 aA | 1.20 ± 0.60 aA | 0.60 ± 0.60 aA |
| Zn (meq L−1) | 2.33 ± 1.15 aB | 4.33 ± 1.51 aA | 3.00 ± 3.98 aA | 3.33 ± 0.80 aA |
| Cd (meq L−1) | NI | NI | NI | NI |
| Ni (meq L−1) | 5.66 ± 1.51 Aa | 3.33 ± 0.57 bA | 5.90 ± 1.43 aA | 3.33 ± 0.31 bA |
| Bacterial Count | C | TGW |
|---|---|---|
| Total coliform (CFU mL−1) | 1100 | >1900 |
| Fecal coliform (CFU mL−1) | NI | NI |
| Streptococcus (NPP mL−1) | <3 | <3 |
| Escherichia coli (NPP mL−1) | >2400 | >2400 |
| Salmonellae | NI | NI |
| Vibrio cholera | NI | NI |
| Bacterial Count 100 g−1 | Plant Organ | Firenze | Dart | ||
|---|---|---|---|---|---|
| C | TGW | C | TGW | ||
| Total coliform | Leaves | 200 | 500 | 240 | 500 |
| Fruits | 200 | 200 | 100 | 200 | |
| Fecal coliform | Leaves | NI | NI | NI | NI |
| Fruits | NI | NI | NI | NI | |
| E. coli | Leaves | NI | NI | NI | NI |
| Fruits | NI | NI | NI | NI | |
| Streptococcus | Leaves | NI | NI | NI | NI |
| Fruits | NI | NI | NI | NI | |
| C | TGW | |||
|---|---|---|---|---|
| Dart | Firenze | Dart | Firenze | |
| SR(%) | 55.71 ± 16.64 aA | 58.69 ± 19.15 aA | 68.08 ± 24.05 aA | 65.36 ± 26.17 aA |
| FN (plant−1) | 36.00 ± 1.52 bB | 34.80 ± 1.20 aB | 42.93 ± 1.14 aA | 35.40 ± 1.00 aB |
| NMF (%) | 82 aB | 83 aA | 85 aA | 85 aA |
| NNMF (%) | 18 aA | 17 aA | 15 aA | 15 aA |
| FW(g plant−1) | 1160.71 ± 58.39 aB | 944.16 ± 17.93 aB | 1526.22 ± 78.38 aA | 1419.55 ± 58.65 aA |
| WMF(%) | 87 aA | 85 aA | 87 aA | 80 bB |
| WNMF (%) | 13 aA | 14 aA | 13 bA | 20 aA |
| SR | FN | NMF | NNMF | FW | WMF | WNMF | |
|---|---|---|---|---|---|---|---|
| T | 0.57 ns | 8.37 * | 12.91 ** | 0.40 ns | 49.17 *** | 46.72 ** | 18.85 ** |
| C | 0.1 ns | 11.30 ** | 1.69 ns | 8.60 ** | 7.42 * | 5.65 * | 12.50 ** |
| T×C | 0.05 ns | 5.87 * | 7.11 ** | 0.16 ns | 0.80 ns | 1.44 ns | 2.98 ns |
| Cultivar | Treatment | TD | LD |
|---|---|---|---|
| Dart | C | 42.40 ± 0.76 Bb | 66.40 ± 1.11 Aa |
| TGW | 44.40 ± 1.08 Ab | 67.06 ± 1.29 Aa | |
| Firenze | C | 46.73 ± 1.02 Ba | 56.73 ± 1.02 Bb |
| TGW | 49.53 ± 0.98 Aa | 61.53 ± 1.39 Aa | |
| ANOVA | T | 12.64 * | 5.53 * |
| C | 20.13 ** | 23.64 *** | |
| T×C | 0.10 ns | 0.14 ns |
Publisher’s Note: MDPI stays neutral with regard to jurisdictional claims in published maps and institutional affiliations. |
© 2022 by the authors. Licensee MDPI, Basel, Switzerland. This article is an open access article distributed under the terms and conditions of the Creative Commons Attribution (CC BY) license (https://creativecommons.org/licenses/by/4.0/).
Share and Cite
Hajlaoui, H.; Akrimi, R.; Guesmi, A.; Hachicha, M. Assessing the Reliability of Treated Grey Water Irrigation on Soil and Tomatoes (Solanum lycopersicum L.). Horticulturae 2022, 8, 981. https://doi.org/10.3390/horticulturae8100981
Hajlaoui H, Akrimi R, Guesmi A, Hachicha M. Assessing the Reliability of Treated Grey Water Irrigation on Soil and Tomatoes (Solanum lycopersicum L.). Horticulturae. 2022; 8(10):981. https://doi.org/10.3390/horticulturae8100981
Chicago/Turabian StyleHajlaoui, Hichem, Rawaa Akrimi, Anis Guesmi, and Mohamed Hachicha. 2022. "Assessing the Reliability of Treated Grey Water Irrigation on Soil and Tomatoes (Solanum lycopersicum L.)" Horticulturae 8, no. 10: 981. https://doi.org/10.3390/horticulturae8100981
APA StyleHajlaoui, H., Akrimi, R., Guesmi, A., & Hachicha, M. (2022). Assessing the Reliability of Treated Grey Water Irrigation on Soil and Tomatoes (Solanum lycopersicum L.). Horticulturae, 8(10), 981. https://doi.org/10.3390/horticulturae8100981

