Study on the Metabolic Patterns of Citral-Type of Camphora officinarum Essential Oil and Its Optimal Harvesting Period
Abstract
1. Introduction
2. Materials and Methods
2.1. Plant Materials and Treatment
2.2. Determination Indicators and Methods
2.2.1. Determination of Morphological Indicators and Biomass
2.2.2. Essential Oil Extraction and Component Determination
2.2.3. Data Processing and Analysis
3. Results
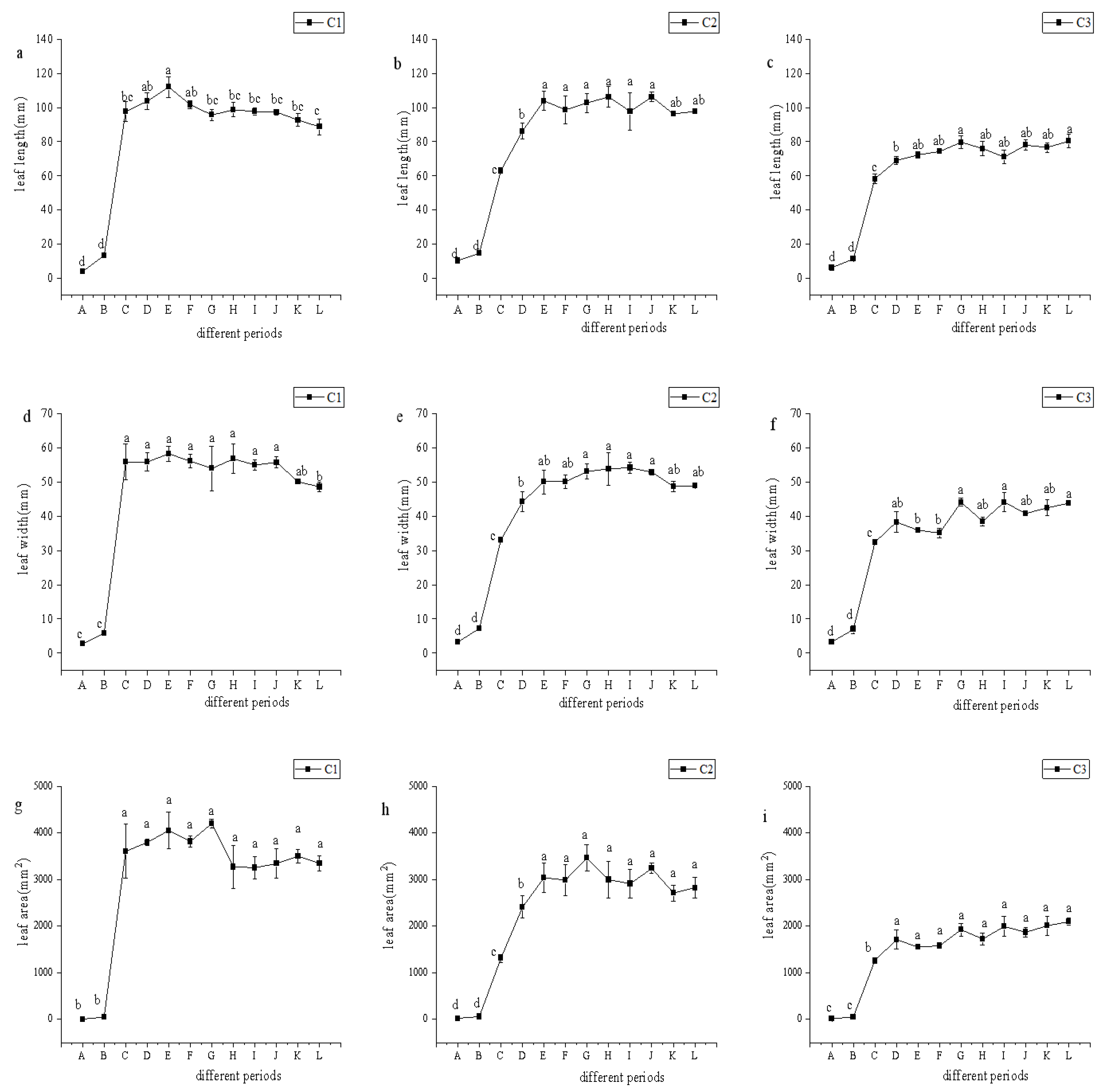
3.1. Differences in Morphological Indicators of Citral-Type C. officinarum at Different Stages
3.2. Differences in Essential Oil Indicators of Citral-Type C. officinarum at Different Stages
3.2.1. Oil Yield of Citral-Type C. officinarum at Different Stages
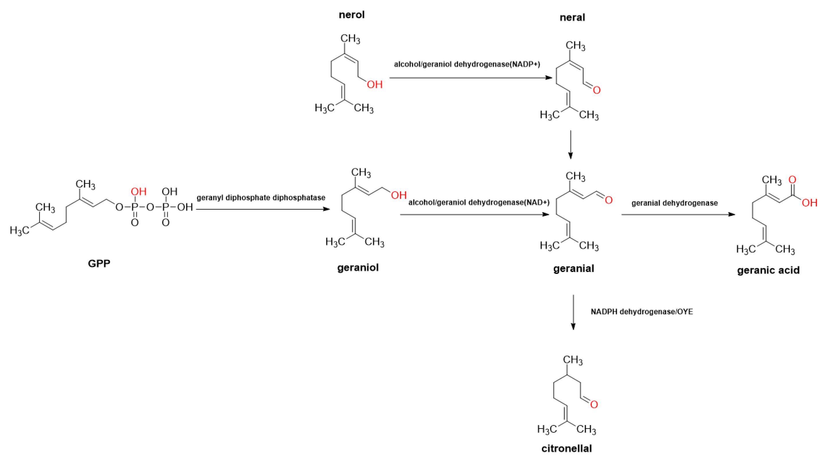
3.2.2. Chemical Components of Citral-Type C. officinarum at Different Stages
3.2.3. Essential Oil Production of Citral-Type C. officinarum
4. Discussion
4.1. Differences in Biomass and Essential Oil Yield at Different Periods
4.2. Differences in Essential Oil Components and Total Yield at Different Periods
4.3. Limitations and Environmental Context
5. Conclusions
Supplementary Materials
Author Contributions
Funding
Data Availability Statement
Conflicts of Interest
References
- Ma, R.; Su, P.; Jin, B.; Guo, J.; Tian, M.; Mao, L.; Tang, J.; Chen, T.; Lai, C.; Zeng, W.; et al. Molecular Cloning and Functional Identification of a High-Efficiency (+)-Borneol Dehydrogenase from Cinnamomum camphora (L.) Presl. Plant Physiol. Biochem. 2021, 158, 363–371. [Google Scholar] [CrossRef]
- Dosoky, N.S.; Setzer, W.N. Maternal Reproductive Toxicity of Some Essential Oils and Their Constituents. Int. J. Mol. Sci. 2021, 22, 2380. [Google Scholar] [CrossRef]
- Zhou, F.; Liu, H.; Wen, Z.; Zhang, B.; Chen, G. Toward the Efficient Synthesis of Pseudoionone from Citral in a Continuous-Flow Microreactor. Ind. Eng. Chem. Res. 2018, 57, 11288–11298. [Google Scholar] [CrossRef]
- Hirai, M.; Ota, Y.; Ito, M. Diversity in Principal Constituents of Plants with a Lemony Scent and the Predominance of Citral. J. Nat. Med. 2022, 76, 254–258. [Google Scholar] [CrossRef]
- Chaouki, W.; Leger, D.Y.; Liagre, B.; Beneytout, J.-L.; Hmamouchi, M. Citral Inhibits Cell Proliferation and Induces Apoptosis and Cell Cycle Arrest in MCF-7 Cells. Fund. Clin. Pharmacol. 2009, 23, 549–556. [Google Scholar] [CrossRef] [PubMed]
- Leite, M.C.A.; Bezerra, A.P.d.B.; de Sousa, J.P.; Guerra, F.Q.S.; de Lima, E.O. Evaluation of Antifungal Activity and Mechanism of Action of Citral against Candida albicans. Evid.-Based Compl. Alt. 2014, 2014, 378280. [Google Scholar] [CrossRef] [PubMed]
- Liao, P.-C.; Yang, T.-S.; Chou, J.-C.; Chen, J.; Lee, S.-C.; Kuo, Y.-H.; Ho, C.-L.; Chao, L.K.-P. Anti-Inflammatory Activity of Neral and Geranial Isolated from Fruits of Litsea cubeba Lour. J. Funct. Foods 2015, 19, 248–258. [Google Scholar] [CrossRef]
- Sharma, S.; Habib, S.; Sahu, D.; Gupta, J. Chemical Properties and Therapeutic Potential of Citral, a Monoterpene Isolated from Lemongrass. Med. Chem. 2021, 17, 2–12. [Google Scholar] [CrossRef]
- dos Santos e Silva, G.; de Jesus Marques, J.N.; Linhares, E.P.M.; Bonora, C.M.; Costa, E.T.; Saraiva, M.F. Review of Anticancer Activity of Monoterpenoids: Geraniol, Nerol, Geranial and Neral. Chem. Biol. Interact. 2022, 362, 109994. [Google Scholar] [CrossRef]
- da Silva Júnior, A.Q.; da Silva, D.S.; Figueiredo, P.L.B.; Sarrazin, S.L.F.; Bouillet, L.E.M.; de Oliveira, R.B.; Maia, J.G.S.; Mourão, R.H.V. Seasonal and Circadian Evaluation of a Citral-Chemotype from Lippia alba Essential Oil Displaying Antibacterial Activity. Biochem. Syst. Ecol. 2019, 85, 35–42. [Google Scholar] [CrossRef]
- Southwell, I. Backhousia Citriodora F. Muell. (Lemon Myrtle), an Unrivalled Source of Citral. Foods 2021, 10, 1596. [Google Scholar] [CrossRef]
- Yang, S.-A.; Jeon, S.-K.; Lee, E.-J.; Shim, C.-H.; Lee, I.-S. Comparative Study of the Chemical Composition and Antioxidant Activity of Six Essential Oils and Their Components. Nat. Prod. Res. 2010, 24, 140–151. [Google Scholar] [CrossRef]
- Zhang, B.; Ling, Q.; Xiao, Z.; Xiong, Y.; Lu, X.; Wang, Y.; Zhao, J.; Xiao, C.; Zhang, J.; Huang, G.; et al. Leaf Essential Oil Diversity of Camphora Fabr. in China. Ind. Crops Prod. 2025, 226, 120635. [Google Scholar] [CrossRef]
- Zhang, B.; Wu, C.; Xiao, Z.; Zhang, H.; Cao, M.; Liu, Y.; Jin, Z. Chemical Constituents and Chemotypes of Fresh Leaf Essential Oil of Wild Species Belonging to Sect. Camphor (Trew.) Meissn. in Southeastern China. J. Essent. Oil Bear. Plants 2019, 22, 1115–1122. [Google Scholar] [CrossRef]
- Ling, Q.; Zhang, B.; Wang, Y.; Xiao, Z.; Hou, J.; Xiao, C.; Liu, Y.; Jin, Z. Chemical Composition and Antioxidant Activity of the Essential Oils of Citral-Rich Chemotype Cinnamomum camphora and Cinnamomum bodinieri. Molecules 2022, 27, 7356. [Google Scholar] [CrossRef] [PubMed]
- de Sá Filho, J.C.F.; Nizio, D.A.d.C.; de Oliveira, A.M.S.; Alves, M.F.; de Oliveira, R.C.; Luz, J.M.Q.; Nogueira, P.C.d.L.; Arrigoni-Blank, M.d.F.; Blank, A.F. Geographic Location and Seasonality Affect the Chemical Composition of Essential Oils of Lippia alba Accessions. Ind. Crops Prod. 2022, 188, 115602. [Google Scholar] [CrossRef]
- Li, Y.; Kong, D.; Huang, R.; Liang, H.; Xu, C.; Wu, H. Variations in Essential Oil Yields and Compositions of Cinnamomum cassia Leaves at Different Developmental Stages. Ind. Crops Prod. 2013, 47, 92–101. [Google Scholar] [CrossRef]
- Zhang, B.; Ling, Q.; Xiao, Z.; Zhong, Q.; Zhao, R.; Jin, Z. Variations in Essential Oil Compositions and Changes in Oil Cells during Leaf Development of Citral Chemotype of Camphora officinarum Nees Ex Wall. Horticulturae 2024, 10, 597. [Google Scholar] [CrossRef]
- Ling, Q.; Zhang, B.; Wang, Y.; Xiao, Z.; Hou, J.; Liu, Q.; Zhang, J.; Xiao, C.; Jin, Z.; Liu, Y. Identification of Key Genes Controlling Monoterpene Biosynthesis of Citral-Type Cinnamomum bodinieri Levl. Based on Transcriptome and Metabolite Profiling. BMC Genom. 2024, 25, 540. [Google Scholar] [CrossRef]
- Poudel, D.K.; Rokaya, A.; Ojha, P.K.; Timsina, S.; Satyal, R.; Dosoky, N.S.; Satyal, P.; Setzer, W.N. The Chemical Profiling of Essential Oils from Different Tissues of Cinnamomum camphora L. and Their Antimicrobial Activities. Molecules 2021, 26, 5132. [Google Scholar] [CrossRef]
- Taiz, L.; Møller, I.M.; Murphy, A.; Peer, W.A. Fundamentals of Plant Physiology; Oxford University Press: Oxford, UK, 2024; ISBN 978-0-19-761416-7. [Google Scholar] [CrossRef]
- Wahid, A. Physiological Implications of Metabolite Biosynthesis for Net Assimilation and Heat-Stress Tolerance of Sugarcane (Saccharum officinarum) Sprouts. J. Plant Res. 2007, 120, 219–228. [Google Scholar] [CrossRef] [PubMed]
- Qaderi, M.M.; Martel, A.B.; Strugnell, C.A. Environmental Factors Regulate Plant Secondary Metabolites. Plants 2023, 12, 447. [Google Scholar] [CrossRef] [PubMed]
- Zhang, T.; Yang, H.; Wen, S.; Qiu, F.; Liu, X. Effects of Harvest Season and Storage Time on the Essential Oil of the Linalool Chemotype of Cinnamomum camphora. J. Essent. Oil Bear. Plants 2019, 22, 1379–1385. [Google Scholar] [CrossRef]
- Hou, C.; Cai, Y.; Yao, J.; Xie, P.; He, B.; Lian, H.; Wang, Y.; Zhong, Y.; Li, B.; Wang, M.; et al. Decoding the Chemodiversity Blueprint: Chromosome-Scale Genome Assembly Unveils Photosynthesis-Terpenoid Coordination in Cinnamomum burmanni through Genomic and miRNA Regulatory Networks. Plant Sci. 2025, 360, 112733. [Google Scholar] [CrossRef]
- Zuo, Z.; Wang, B.; Ying, B.; Zhou, L.; Zhang, R. Monoterpene Emissions Contribute to Thermotolerance in Cinnamomum camphora. Trees 2017, 31, 1759–1771. [Google Scholar] [CrossRef]
- Sikron-Persi, N.; Granot, G.; Batushansky, A.; Toubiana, D.; Grafi, G.; Fait, A. Mass Spectrometry-Based Metabolite Profiling Reveals Functional Seasonal Shifts in the Metabolome of Zygophyllum dumosum Boiss and Its Relation to Environmental Conditions. Planta 2023, 258, 10. [Google Scholar] [CrossRef]
- Pott, D.M.; Osorio, S.; Vallarino, J.G. From Central to Specialized Metabolism: An Overview of Some Secondary Compounds Derived from the Primary Metabolism for Their Role in Conferring Nutritional and Organoleptic Characteristics to Fruit. Front. Plant Sci. 2019, 10, 835. [Google Scholar] [CrossRef]
- Luo, Q.; Tian, Z.; Zheng, T.; Xu, S.; Ma, Y.; Zou, S.; Zuo, Z. Terpenoid Composition and Antioxidant Activity of Extracts from Four Chemotypes of Cinnamomum camphora and Their Main Antioxidant Agents. Biofuel. Bioprod. Bior. 2022, 16, 510–522. [Google Scholar] [CrossRef]
- Önder, S.; Tonguç, M.; Erbaş, S.; Önder, D.; Mutlucan, M. Investigation of Phenological, Primary and Secondary Metabolites Changes during Flower Developmental of Rosa damascena. Plant Physiol. Biochem. 2022, 192, 20–34. [Google Scholar] [CrossRef]
- Melito, S.; Petretto, G.L.; Chahine, S.; Pintore, G.; Chessa, M. Seasonal Variation of Essential Oil in Rosmarinus officinalis Leaves in Sardinia. Nat. Prod. Commun. 2019, 14, 1934578X19864005. [Google Scholar] [CrossRef]
- Lee, S.-H.; Kim, D.-S.; Park, S.-H.; Park, H. Phytochemistry and Applications of Cinnamomum camphora Essential Oils. Molecules 2022, 27, 2695. [Google Scholar] [CrossRef]
- Stubbs, B.J.; Specht, A.; Brushett, D. The Essential Oil of Cinnamomum camphora (L.) Nees and Eberm.—Variation in Oil Composition throughout the Tree in Two Chemotypes from Eastern Australia. J. Essent. Oil Res. 2004, 16, 200–205. [Google Scholar] [CrossRef]
- Guo, S.; Geng, Z.; Zhang, W.; Liang, J.; Wang, C.; Deng, Z.; Du, S. The Chemical Composition of Essential Oils from Cinnamomum camphora and Their Insecticidal Activity against the Stored Product Pests. Int. J. Mol. Sci. 2016, 17, 1836. [Google Scholar] [CrossRef]
- Zhang, T.; Zheng, Y.; Fu, C.; Yang, H.; Liu, X.; Qiu, F.; Wang, X.; Wang, Z. Chemical Variation and Environmental Influence on Essential Oil of Cinnamomum camphora. Molecules 2023, 28, 973. [Google Scholar] [CrossRef] [PubMed]
- Zhang, H.; Liu, C.; Lu, X.; Xia, G. Evaluation of Growth Adaptation of Cinnamomum camphora Seedlings in Ionic Rare Earth Tailings Environment. Sci. Rep. 2023, 13, 16910. [Google Scholar] [CrossRef] [PubMed]
- Chen, C.; Chen, P.; Wu, Z.; Liu, Q.; Zhong, Y.; Liu, T.; Zheng, Y.; Yu, F. Colchicine-Induced Chromosome Doubling in Cinnamomum camphora and Its Effect on Morphological and Terpenoid Storage Structures. Ind. Crops Prod. 2025, 233, 121338. [Google Scholar] [CrossRef]
- Zuo, Z.; Weraduwage, S.M.; Huang, T.; Sharkey, T.D. How Volatile Isoprenoids Improve Plant Thermotolerance. Trends Plant Sci. 2025. [Google Scholar] [CrossRef]







| Time | No | C. officinarum -JX/NC/001 | C. officinarum -JX/NC/002 | C. officinarum -GX/ZS/003 |
|---|---|---|---|---|
| 28 February 2022 (tender shoot stage)—the 1st week of leaf flush | A | C1-A | C2-A | C3-A |
| 19 March 2022 (new leaf expanding stage)—the 3rd week of leaf flush | B | C1-B | C2-B | C3-B |
| 4 April 2022 (with inflorescences for 1 week)—the 5th week of leaf flush | C | C1-C | C2-C | C3-C |
| 19 April 2022 (initial flowering stage)—the 7th week of leaf flush | D | C1-D | C2-D | C3-D |
| 6 May 2022 (full flowering stage)—the 9th week of leaf flush | E | C1-E | C2-E | C3-E |
| 27 May 2022 (late flowering stage)—the 12th week of leaf flush | F | C1-F | C2-F | C3-F |
| 27 June 2022 (early fruit stage)—the 16th week of leaf flush | G | C1-G | C2-G | C3-G |
| 27 July 2022 (fruit enlargement stage)—the 20th week of leaf flush | H | C1-H | C2-H | C3-H |
| 27 August 2022 (full fruit stage)—the 24th week of leaf flush | I | C1-I | C2-I | C3-I |
| 27 October 2022 (fruit ripening stage)—the 32nd week of leaf flush | J | C1-J | C2-J | C3-J |
| 27 December 2022 (leaves turning red)—the 40th week of leaf flush | K | C1-K | C2-K | C3-K |
| 27 January 2023 (natural leaf abscission)—the 44th week of leaf flush | L | C1-L | C2-L | C3-L |
| Time | Percent Composition (% ± SD) | |||||||
|---|---|---|---|---|---|---|---|---|
| Citronellal | Nerol | Neral | Geraniol | Geranial | Citral | Geranial/ Neral | Citral/ Citronellal | |
| C1-A | 0.37 ± 0.02 d | 0.14 ± 0.03 c | 26.83 ± 0.44 e | 0.12 ± 0.01 e | 21.45 ± 0.22 f | 48.28 ± 0.32 g | 0.8 ± 0.01 c | 130.49 ± 10.55 c |
| C1-B | 0.47 ± 0.15 cd | 0.22 ± 0.02 b | 27.92 ± 0.55 d | 2.14 ± 0.63 ab | 36.5 ± 0.42 d | 64.42 ± 0.41 e | 1.31 ± 0.02 b | 137.06 ± 30.4 bc |
| C1-C | 0.36 ± 0.01 d | 0.15 ± 0.02 c | 31.92 ± 0.95 bc | 0.13 ± 0.04 e | 40.94 ± 0.71 c | 72.86 ± 0.91 d | 1.28 ± 0.01 b | 202.39 ± 6.61 a |
| C1-D | 0.43 ± 0.07 cd | 0.54 ± 0.09 a | 32.44 ± 0.28 b | 0.14 ± 0.06 e | 41.17 ± 0.45 c | 73.61 ± 0.12 d | 1.27 ± 0.01 b | 171.19 ± 8.54 b |
| C1-E | 0.41 ± 0.13 cd | 0.15 ± 0.01 c | 33.36 ± 0.69 ab | 0.42 ± 0.07 c | 42.07 ± 0.7 b | 75.43 ± 0.4 c | 1.26 ± 0.02 b | 183.98 ± 24.55 ab |
| C1-F | 0.42 ± 0.06 cd | 0.17 ± 0.08 c | 33.47 ± 1.15 ab | 0.53 ± 0.1 c | 43.77 ± 0.59 a | 77.24 ± 0.93 a | 1.31 ± 0.02 b | 183.9 ± 13.54 ab |
| C1-G | 0.55 ± 0.08 c | 0.12 ± 0.05 c | 34.5 ± 1.22 a | 0.19 ± 0.02 e | 43.88 ± 0.48 a | 78.38 ± 0.97 a | 1.27 ± 0.02 b | 142.51 ± 36.12 b |
| C1-H | 0.46 ± 0.1 cd | 0.17 ± 0.01 c | 33.45 ± 0.93 ab | 0.37 ± 0.07 c | 43.3 ± 0.16 a | 76.75 ± 0.53 ab | 1.29 ± 0.02 b | 166.85 ± 5.3 b |
| C1-I | 0.48 ± 0.08 cd | 0.14 ± 0.04 c | 33.03 ± 0.76 ab | 0.17 ± 0.07 e | 42.7 ± 0.61 ab | 75.73 ± 0.69 c | 1.29 ± 0.02 b | 157.77 ± 19.14 b |
| C1-J | 0.79 ± 0.03 b | 0.26 ± 0.11 b | 32.1 ± 0.75 b | 0.2 ± 0.06 d | 41.72 ± 0.55 bc | 73.82 ± 0.7 d | 1.3 ± 0.01 b | 93.44 ± 8.91 de |
| C1-K | 0.74 ± 0.07 b | 0.24 ± 0.06 b | 32.96 ± 0.87 b | 1.62 ± 0.23 b | 41.58 ± 0.23 c | 74.54 ± 0.62 cd | 1.26 ± 0.02 b | 100.73 ± 6.98 d |
| C1-L | 0.97 ± 0.13 a | 0.63 ± 0.04 a | 24.45 ± 0.21 f | 2.45 ± 0.13 a | 34.27 ± 0.41 e | 58.72 ± 0.36 f | 1.4 ± 0.01 a | 60.54 ± 14.1 f |
| Time | Percent Composition (% ± SD) | |||||||
|---|---|---|---|---|---|---|---|---|
| Citronellal | Nerol | Neral | Geraniol | Geranial | Citral | Geranial/ Neral | Citral/ Citronellal | |
| C2-A | 0.65 ± 0.08 d | 0.12 ± 0.08 e | 21.98 ± 0.36 e | 0.13 ± 0.02 g | 11.3 ± 0.19 f | 33.28 ± 0.43 g | 0.51 ± 0.01 g | 51.2 ± 10.29 e |
| C2-B | 0.54 ± 0.14 d | 0.18 ± 0.03 e | 18.02 ± 0.37 f | 0.11 ± 0.03 g | 37.39 ± 0.1 d | 55.41 ± 0.36 e | 2.07 ± 0.04 a | 102.61 ± 7.4 cd |
| C2-C | 0.56 ± 0.12 d | 0.16 ± 0.05 e | 27.9 ± 0.32 c | 0.78 ± 0.07 b | 40.59 ± 0.15 c | 68.49 ± 0.45 d | 1.45 ± 0.01 b | 122.3 ± 2.88 ab |
| C2-D | 0.65 ± 0.06 d | 0.15 ± 0.05 e | 27.98 ± 0.23 c | 0.81 ± 0.05 b | 41.14 ± 0.11 b | 69.12 ± 0.21 c | 1.47 ± 0.01 b | 106.34 ± 9.07 bc |
| C2-E | 0.6 ± 0.09 d | 0.14 ± 0.07 e | 29.98 ± 0.2 a | 0.69 ± 0.1 bc | 41.21 ± 0.12 b | 71.19 ± 0.12 b | 1.37 ± 0.01 d | 118.65 ± 4.8 b |
| C2-F | 0.52 ± 0.03 d | 0.19 ± 0.01 e | 29.92 ± 0.2 a | 0.53 ± 0.11 d | 41.05 ± 0.23 b | 70.97 ± 0.24 b | 1.37 ± 0.01 d | 136.48 ± 16.64 a |
| C2-G | 0.52 ± 0.08 d | 0.20 ± 0.03 e | 30.22 ± 0.14 a | 0.36 ± 0.03 f | 41.56 ± 0.09 a | 71.78 ± 0.21 a | 1.38 ± 0 d | 138.04 ± 14.57 a |
| C2-H | 0.97 ± 0.02 c | 0.97 ± 0.11 b | 30.55 ± 0.12 a | 0.43 ± 0.01 e | 40.66 ± 0.25 bc | 71.21 ± 0.28 b | 1.33 ± 0.01 e | 73.41 ± 10.28 d |
| C2-I | 0.91 ± 0.07 c | 0.67 ± 0.09 c | 29.31 ± 0.03 b | 0.57 ± 0.07 cd | 41.3 ± 0.15 b | 70.61 ± 0.17 b | 1.41 ± 0 c | 77.59 ± 11.88 d |
| C2-J | 1.69 ± 0.11 a | 0.36 ± 0.03 d | 28.29 ± 0.13 c | 0.12 ± 0.04 g | 40.36 ± 0.1 c | 68.65 ± 0.21 d | 1.43 ± 0 c | 40.62 ± 28.54 f |
| C2-K | 1.18 ± 0.03 b | 1.67 ± 0.07 a | 18.02 ± 0.17 f | 1.65 ± 0.38 a | 37.39 ± 0.13 d | 55.41 ± 0.2 e | 2.07 ± 0.02 a | 46.96 ± 5.11 ef |
| C2-L | 1.22 ± 0.08 b | 1.72 ± 0.16 a | 23.04 ± 0.29 d | 1.49 ± 0.41 a | 27.76 ± 0.14 e | 50.8 ± 0.21 f | 1.2 ± 0.02 f | 41.64 ± 2.82 f |
| Time | Percent Composition (% ± SD) | |||||||
|---|---|---|---|---|---|---|---|---|
| Citronellal | Nerol | Neral | Geraniol | Geranial | Citral | Geranial/ Neral | Citral/ Citronellal | |
| C3-A | 0.89 ± 0.18 bc | 4.76 ± 0.19 a | 25.45 ± 2.64 c | 0.52 ± 0.09 c | 16.89 ± 2.88 d | 42.34 ± 0.25 g | 0.66 ± 0.01 f | 47.57 ± 5.78 e |
| C3-B | 0.81 ± 0.04 bc | 0.56 ± 0.03 b | 31.9 ± 1.44 a | 0.41 ± 0.09 c | 27.53 ± 1.38 c | 59.43 ± 0.26 e | 0.86 ± 0 e | 73.37 ± 7.61 c |
| C3-C | 1.02 ± 0.24 b | 0.18 ± 0.07 d | 31.53 ± 1.35 ab | 0.12 ± 0.07 e | 35.75 ± 1.55 a | 67.28 ± 0.21 d | 1.13 ± 0.01 c | 65.96 ± 8.92 d |
| C3-D | 0.66 ± 0.23 c | 0.15 ± 0.01 d | 31.89 ± 1.48 a | 0.27 ± 0.02 d | 36.65 ± 1.79 a | 68.54 ± 0.32 c | 1.15 ± 0.01 bc | 103.85 ± 14.25 b |
| C3-E | 0.74 ± 0.14 c | 0.16 ± 0.1 d | 31.92 ± 1.82 a | 0.49 ± 0.02 c | 37.43 ± 1.98 a | 69.35 ± 0.21 b | 1.17 ± 0.01 b | 93.72 ± 28.65 bc |
| C3-F | 0.43 ± 0.14 d | 0.21 ± 0.05 d | 32.29 ± 2.17 a | 0.78 ± 0.01 b | 38.17 ± 2.38 a | 70.46 ± 0.23 a | 1.18 ± 0.02 b | 163.86 ± 25.85 a |
| C3-G | 0.47 ± 0.17 d | 0.20 ± 0.07 d | 32.83 ± 1.3 a | 0.15 ± 0.04 e | 36.8 ± 1.85 a | 69.63 ± 0.64 ab | 1.12 ± 0.02 c | 148.15 ± 16.44 a |
| C3-H | 0.45 ± 0.09 d | 0.62 ± 0.05 | 31.78 ± 1.66 a | 0.87 ± 0.04 a | 36.48 ± 1.65 a | 68.26 ± 0.15 c | 1.15 ± 0.01 bc | 151.69 ± 22.41 a |
| C3-I | 0.63 ± 0.12 cd | 0.23 ± 0.04 d | 31.14 ± 1.58 ab | 0.13 ± 0.09 e | 35.97 ± 1.59 a | 67.11 ± 0.3 d | 1.16 ± 0.01 b | 106.52 ± 15.72 b |
| C3-J | 0.85 ± 0.12 bc | 0.57 ± 0.01 | 31.31 ± 1.39 ab | 0.16 ± 0.08 e | 35.63 ± 1.57 a | 66.94 ± 0.29 d | 1.14 ± 0 c | 78.75 ± 19.84 c |
| C3-K | 1.27 ± 0.14 ab | 0.31 ± 0.09 | 28.95 ± 0.86 b | 0.19 ± 0.01 e | 31.01 ± 0.74 b | 59.96 ± 0.27 e | 1.07 ± 0.01 d | 47.21 ± 26.1 de |
| C3-L | 1.62 ± 0.24 a | 0.42 ± 0.07 | 22.46 ± 2.36 c | 0.17 ± 0.02 e | 29.09 ± 2.25 bc | 51.55 ± 0.19 f | 1.29 ± 0.01 a | 31.82 ± 7.03 f |
Disclaimer/Publisher’s Note: The statements, opinions and data contained in all publications are solely those of the individual author(s) and contributor(s) and not of MDPI and/or the editor(s). MDPI and/or the editor(s) disclaim responsibility for any injury to people or property resulting from any ideas, methods, instructions or products referred to in the content. |
© 2025 by the authors. Licensee MDPI, Basel, Switzerland. This article is an open access article distributed under the terms and conditions of the Creative Commons Attribution (CC BY) license (https://creativecommons.org/licenses/by/4.0/).
Share and Cite
Huang, L.; Ling, Q.; Jin, Z.; Zhang, B.; Jiang, J.; Xiao, Z.; Zhao, R.; Liu, Y. Study on the Metabolic Patterns of Citral-Type of Camphora officinarum Essential Oil and Its Optimal Harvesting Period. Horticulturae 2025, 11, 1125. https://doi.org/10.3390/horticulturae11091125
Huang L, Ling Q, Jin Z, Zhang B, Jiang J, Xiao Z, Zhao R, Liu Y. Study on the Metabolic Patterns of Citral-Type of Camphora officinarum Essential Oil and Its Optimal Harvesting Period. Horticulturae. 2025; 11(9):1125. https://doi.org/10.3390/horticulturae11091125
Chicago/Turabian StyleHuang, Lina, Qingyan Ling, Zhinong Jin, Beihong Zhang, Junfei Jiang, Zufei Xiao, Ruiqi Zhao, and Yamin Liu. 2025. "Study on the Metabolic Patterns of Citral-Type of Camphora officinarum Essential Oil and Its Optimal Harvesting Period" Horticulturae 11, no. 9: 1125. https://doi.org/10.3390/horticulturae11091125
APA StyleHuang, L., Ling, Q., Jin, Z., Zhang, B., Jiang, J., Xiao, Z., Zhao, R., & Liu, Y. (2025). Study on the Metabolic Patterns of Citral-Type of Camphora officinarum Essential Oil and Its Optimal Harvesting Period. Horticulturae, 11(9), 1125. https://doi.org/10.3390/horticulturae11091125

