Research and Innovations in Latin American Vitiviniculture: A Review
Abstract
1. Introduction
2. Sustainable Practices and Climate Adaptation in Latin American Viticulture: A Context
3. Research and Innovations in Latin America Vitiviniculture
3.1. Argentina
Adaptation to Climate Change for Argentinian Viticulture
Vineyard Location
Plant Material Selection
Autochthonous Grapevine Varieties
Vineyard Design and Training System
Canopy Management Practices
3.2. Brazil
3.2.1. Tropical Vitiviniculture
3.2.2. Heavy Metals
3.3. Chile
3.3.1. Heroic Vitiviniculture
3.3.2. Southern Chilean Vitiviniculture
3.4. Hispaniola
3.4.1. Haitian Vitiviniculture
3.4.2. Dominican Vitiviniculture
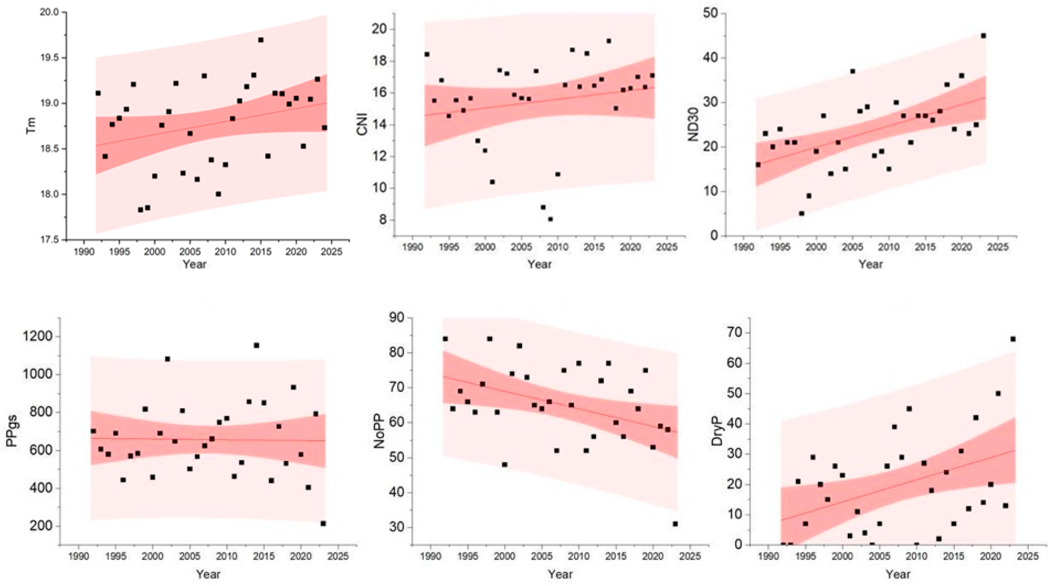
3.5. Uruguay
3.5.1. The Pathway of the Climate as a Terroir Component and Typicity
3.5.2. Adaptation to Climate Change and Variability
Impacts of Climate Change
Perception of Climate Change by Viticulturists
Adaptation Strategies to Face Climate Change and Variability
4. Conclusions
Author Contributions
Funding
Acknowledgments
Conflicts of Interest
References
- Chavez-Dueñas, N.Y.; Adames, H.Y.; Organista, K.C. Skin-Color Prejudice and Within-Group Racial Discrimination. Hisp. J. Behav. Sci. 2013, 36, 3–26. [Google Scholar] [CrossRef]
- Diaz-Vallejo, E.J.; Keefover-Ring, K.; Hennessy, E.; Marín-Spiotta, E. Critical Engaged Pedagogy to Confront Racism and Colonialism in (Geo) Science Education Through a Historical Lens. Earth Sci. Syst. Soc. 2024, 4, 10114. [Google Scholar] [CrossRef]
- Rosenkranz, Z. The Travel Diaries of Albert Einstein: South America, 1925; Princeton University Press: Princeton, NJ, USA, 1925; ISBN 9780691201023. [Google Scholar]
- Chu, R.X.; Huang, C.T. Indigenous Peoples in Public Media: A Critical Discourse Analysis of the Human Zoo Case. Discourse Soc. 2019, 30, 395–411. [Google Scholar] [CrossRef]
- Becklake, S.; Wynne-Hughes, E. The Touristic Transformation of Postcolonial States: Human Zoos, Global Tourism Competition, and the Emergence of Zoo-Managing States. Tour. Geogr. 2023, 26, 778–795. [Google Scholar] [CrossRef]
- Monsalve, P.I. Re-Appropriation of the Indigenous Peoples in the Latin American National Discourse. In Decolonization and Anti-Colonial Praxis; Zainub, A., Ed.; Brill: Leiden, The Netherlands, 2019; Volume 8, pp. 67–97. ISBN 978-90-04-40458-8. [Google Scholar]
- Pradier, C.; Kozlowski, D.; Shokida, N.S.; Larivière, V. Science for Whom? The Influence of the Regional Academic Circuit on Gender Inequalities in Latin America. J. Assoc. Inf. Sci. Technol. 2024, 76, 790–802. [Google Scholar] [CrossRef]
- Gencel-Augusto, J.; Minaya, N.J.; Johnson, D.E.; Grandis, J.R. Underrepresentation of Hispanic Women in Science, Technology, Engineering, Mathematics, and Medicine. CA Cancer J. Clin. 2025, 75, 91–110. [Google Scholar] [CrossRef]
- Flanagin, A.; Frey, T.; Christiansen, S.L. Updated Guidance on the Reporting of Race and Ethnicity in Medical and Science Journals. JAMA 2021, 326, 621–627. [Google Scholar] [CrossRef]
- Liu, F.; Rahwan, T.; AlShebli, B. Non-White Scientists Appear on Fewer Editorial Boards, Spend More Time under Review, and Receive Fewer Citations. Proc. Natl. Acad. Sci. USA 2023, 120, e2215324120. [Google Scholar] [CrossRef]
- Gutiérrez-Gamboa, G.; Fourment, M. Latin American Viticulture Adaptation to Climate Change; Springer International Publishing: Berlin/Heidelberg, Germany, 2024; ISBN 978-3-031-51325-1. [Google Scholar]
- Kreimer, P.; Vessuri, H. Latin American Science, Technology, and Society: A Historical and Reflexive Approach. Tapuya Lat. Am. Sci. Technol. Soc. 2018, 1, 17–37. [Google Scholar] [CrossRef]
- Cimini, A.; Moresi, M. Research Trends in the Oenological and Viticulture Sectors. Aust. J. Grape Wine Res. 2022, 28, 475–491. [Google Scholar] [CrossRef]
- Oliva Oller, P.; Notaro, M.; Langer, E.; Gary, C. Structure and Management of Traditional Agroforestry Vineyards in the High Valleys of Southern Bolivia. Agrofor. Syst. 2022, 96, 375–386. [Google Scholar] [CrossRef]
- Carlos, A.C.S.; Villena, W.; Pszczólkowski, P. Cotagaita y Cintis ¿patrimonializar El Espíritu Del Lugar? RIVAR 2022, 9, 153–172. [Google Scholar] [CrossRef]
- Seardo, B.M. Vitiforestry as innovative heritage. Adaptive conservation of historical wine-growing landscapes as response to XXI century’s challenges. In Proceedings of the World Congress of Vine and Wine 2024; IVES Conference Series OIV 2024; IVES International Viticulture and Enology Society: Villenave d’Ornon, France, 2024. [Google Scholar]
- Gutiérrez-Gamboa, G.; Liu, S.Y.; Pszczólkowski, P. Resurgence of Minority and Autochthonous Grapevine Varieties in South America: A Review of Their Oenological Potential. J. Sci. Food Agric. 2020, 100, 465–482. [Google Scholar] [CrossRef] [PubMed]
- Meneses, M.; Castro, M.H.; Hinrichsen, P. Genetic Characterization of Criolla and European Grapevines Recently Found in Chile: A Key Step for Their Rescue and Conservation. Aust. J. Grape Wine Res. 2024, 2024, 4817877. [Google Scholar] [CrossRef]
- Torres, R.; Aliquó, G.; Toro, A.; Fernández, F.; Tornello, S.; Palazzo, E.; Sari, S.; Fanzone, M.; De Biazi, F.; Oviedo, H.J.; et al. Identification and Recovery of Local Vitis vinifera L. Cultivars Collected in Ancient Vineyards in Different Locations of Argentina. Aust. J. Grape Wine Res. 2022, 28, 581–589. [Google Scholar] [CrossRef]
- Aliquó, G.; Torres, R.; Lacombe, T.; Boursiquot, J.M.; Laucou, V.; Gualpa, J.; Fanzone, M.; Sari, S.; Perez Peña, J.; Prieto, J.A. Identity and Parentage of Some South American Grapevine Cultivars Present in Argentina. Aust. J. Grape Wine Res. 2017, 23, 452–460. [Google Scholar] [CrossRef]
- Yancovic-Pakarati, S.; Moreno-Pakarati, C.; Seelenfreund, D.; Seelenfreund, A.; Castro, M.H.; Hinrichsen, P. Patrimonial Grapevine Varieties (Vitis vinifera L.) from Rapa Nui: Genetic Characterisation and Relationship with Continental Cultivars. N. Z. J. Bot 2024, 1–18. [Google Scholar] [CrossRef]
- de Souza Leão, P.C.; Nascimento, J.H.B.; de Moraes, D.S.; de Souza, E.R. Agronomic Performance of Seedless Table Grape Genotypes under Tropical Semiarid Conditions. Bragantia 2020, 79, 364–371. [Google Scholar] [CrossRef]
- da Silva Sales, W.; Ishikawa, F.H.; de Carvalho Souza, E.M.; Nascimento, J.H.B.; de Souza, E.R.; de Souza Leão, P.C. Estimates of Repeatability for Selection of Genotypes of Seedless Table Grapes for Brazilian Semiarid Regions. Sci. Hortic. 2019, 245, 131–136. [Google Scholar] [CrossRef]
- de Souza Leão, P.C.; Silva de Oliveira, C.R. Agronomic Performance of Table Grape Cultivars Affected by Rootstocks in Semi-Arid Conditions. Bragantia 2023, 82, e20220176. [Google Scholar] [CrossRef]
- Poni, S.; Gatti, M.; Tombesi, S.; Squeri, C.; Sabbatini, P.; Rodas, N.L.; Frioni, T. Double Cropping in Vitis vinifera L. Pinot Noir: Myth or Reality? Agronomy 2020, 10, 799. [Google Scholar] [CrossRef]
- Lu, G.; Zhang, K.; Que, Y.; Li, Y. Grapevine Double Cropping: A Magic Technology. Front. Plant Sci. 2023, 14, 1173985. [Google Scholar] [CrossRef] [PubMed]
- Poni, S.; Del Zozzo, F.; Santelli, S.; Gatti, M.; Magnanini, E.; Sabbatini, P.; Frioni, T. Double Cropping in Vitis vinifera L. Cv. Pinot Noir: Agronomical and Physiological Validation. Aust. J. Grape Wine Res. 2021, 27, 508–518. [Google Scholar] [CrossRef]
- Gutiérrez-Gamboa, G.; Zheng, W.; Martínez de Toda, F. Current Viticultural Techniques to Mitigate the Effects of Global Warming on Grape and Wine Quality: A Comprehensive Review. Food Res. Int. 2021, 139, 109946. [Google Scholar] [CrossRef]
- Koyama, R.; Borges, W.F.S.; Colombo, R.C.; Hussain, I.; de Souza, R.T.; Roberto, S.R. Phenology and Yield of the Hybrid Seedless Grape ‘BRS Melodia’ Grown in an Annual Double Cropping System in a Subtropical Area. Horticulturae 2020, 6, 3. [Google Scholar] [CrossRef]
- Ahmed, S.; Roberto, S.R.; Shahab, M.; Colombo, R.C.; Silvestre, J.P.; Koyama, R.; de Souza, R.T. Proposal of Double-Cropping System for “BRS Isis” Seedless Grape Grown in Subtropical Area. Sci. Hortic. 2019, 251, 118–126. [Google Scholar] [CrossRef]
- Kishino, A.Y. Videira Itália (Vitis vinífera L.)—Produção Tardia Da Uva Com Variações No Sistema e Na Época de Poda; Universidade de São Paulo: Piracicaba, Brazil, 1981. [Google Scholar]
- Gutiérrez Gamboa, G.; Pszczólkowski, P.; Fourment, M. Opening Remarks and General Overview of the Current Scientific Scenario of Latin American Vitiviniculture: A Critical View. In Latin American Viticulture Adaptation to Climate Change; Gutiérrez-Gamboa, G., Fourment, M., Eds.; Springer: Cham, Switzerland, 2024; pp. 1–18. ISBN 978-3-031-51325-1. [Google Scholar]
- OIV. State of the World Vitivinicultural Sector in 2020; OIV: Paris, France, 2021. [Google Scholar]
- INV. Informe Anual de Superficie en 2024. Instituto Nacional de Vitivinicultura: Mendoza, Argentina, 2024. Available online: https://www.argentina.gob.ar/ (accessed on 5 May 2025).
- Prieto, J.A.; Torres, R.; Aliquó, G.A.; Sari, S.; Tornello, S.; Palazzo, M.E.; Catania, A.; Fanzone, M. Autochthonous Grapevine Varieties From Argentina. In Latin American Viticulture Adaptation to Climate Change; Gutiérrez-Gamboa, G., Fourment, M., Eds.; Springer: Cham, Switzerland, 2024; pp. 171–188. ISBN 978-3-031-51325-1. [Google Scholar]
- Prieto, J.A.; Bustos Morgani, M.; Gomez Tournier, M.; Gallo, A.; Fanzone, M.; Sari, S.; Galat, E.; Perez Peña, J. Climate Change Adaptations of Argentine Viticulture. In Latin American Viticulture Adaptation to Climate Change; Gutiérrez-Gamboa, G., Fourment, M., Eds.; Springer: Cham, Switzerland, 2024; pp. 149–169. ISBN 978-3-031-51325-1. [Google Scholar]
- Cabré, F.; Nuñez, M. Impacts of Climate Change on Viticulture in Argentina. Reg. Environ. Change 2020, 20, 12. [Google Scholar] [CrossRef]
- Cabré, M.F.; Quénol, H.; Nuñez, M. Regional Climate Change Scenarios Applied to Viticultural Zoning in Mendoza, Argentina. Int. J. Biometeorol. 2016, 60, 1325–1340. [Google Scholar] [CrossRef]
- Gallo, A.E.; Perez Peña, J.E.; Prieto, J.A. Mechanisms Underlying Photosynthetic Acclimation to High Temperature Are Different between Vitis vinifera Cv. Syrah and Grenache. Funct. Plant Biol. 2021, 48, 342–357. [Google Scholar] [CrossRef]
- Galat Giorgi, E.; Sadras, V.O.; Keller, M.; Perez Peña, J. Interactive Effects of High Temperature and Water Deficit on Malbec Grapevines. Aust. J. Grape Wine Res. 2019, 25, 345–356. [Google Scholar] [CrossRef]
- Gallo, A.E.; Perez Peña, J.E.; González, C.V.; Prieto, J.A. Syrah and Grenache (Vitis vinifera) Revealed Different Strategies to Cope with High Temperature. Aust. J. Grape Wine Res. 2022, 28, 383–394. [Google Scholar] [CrossRef]
- Galat Giorgi, E.; Keller, M.; Sadras, V.; Roig, F.A.; Perez Peña, J. High Temperature during the Budswell Phase of Grapevines Increases Shoot Water Transport Capacity. Agric. For. Meteorol. 2020, 295, 108173. [Google Scholar] [CrossRef]
- de Rosas, I.; Ponce, M.T.; Malovini, E.; Deis, L.; Cavagnaro, B.; Cavagnaro, P. Loss of Anthocyanins and Modification of the Anthocyanin Profiles in Grape Berries of Malbec and Bonarda Grown under High Temperature Conditions. Plant Sci. 2017, 258, 137–145. [Google Scholar] [CrossRef] [PubMed]
- Fourment, M.; Ferrer, M.; Barbeau, G.; Quénol, H. Local Perceptions, Vulnerability and Adaptive Responses to Climate Change and Variability in a Winegrowing Region in Uruguay. Environ. Manag. 2020, 66, 590–599. [Google Scholar] [CrossRef]
- Gutiérrez-Gamboa, G.; Zheng, W.; Martínez de Toda, F. Strategies in Vineyard Establishment to Face Global Warming in Viticulture: A Mini Review. J. Sci. Food Agric. 2021, 101, 1261–1269. [Google Scholar] [CrossRef]
- Arias, L.A.; Berli, F.; Fontana, A.; Bottini, R.; Piccoli, P. Climate Change Effects on Grapevine Physiology and Biochemistry: Benefits and Challenges of High Altitude as an Adaptation Strategy. Front. Plant Sci. 2022, 13, 835425. [Google Scholar] [CrossRef]
- Barroso, R.; Carbajal, H.; Ortiz, H.; Malaniuk, M.; Quenol, H.; Murgo, M.; Coria, C.; Videla, R.; Prieto, S.; Manzano, H.; et al. High-Altitude Wines from Northwest Argentina—Physical—Chemical and Sensory Characteristics. BIO Web Conf. 2019, 15, 01002. [Google Scholar] [CrossRef]
- Alonso, R.; Bottini, R.; Piccoli, P.; Berli, F.J. Impact of Climate Change on Argentine Viticulture: As It Moves South, What May Be the Effect of Wind? In Latin American Viticulture Adaptation to Climate Change; Gutiérrez-Gamboa, G., Fourment, M., Eds.; Springer: Cham, Switzerland, 2024; pp. 189–196. ISBN 978-3-031-51325-1. [Google Scholar]
- Morales-Castilla, I.; de Cortázar-Atauri, I.G.; Cook, B.I.; Lacombe, T.; Parker, A.; van Leeuwen, C.; Nicholas, K.A.; Wolkovich, E.M. Diversity Buffers Winegrowing Regions from Climate Change Losses. Proc. Natl. Acad. Sci. USA 2020, 117, 2864–2869. [Google Scholar] [CrossRef]
- Arrizabalaga-Arriazu, M.; Gomès, E.; Morales, F.; Irigoyen, J.J.; Pascual, I.; Hilbert, G. Impact of 2100-Projected Air Temperature, Carbon Dioxide, and Water Scarcity on Grape Primary and Secondary Metabolites of Different Vitis vinifera Cv. Tempranillo Clones. J. Agric. Food Chem. 2021, 69, 6172–6185. [Google Scholar] [CrossRef]
- Tortosa, I.; Escalona, J.M.; Opazo, I.; Douthe, C.; Medrano, H. Genotype Variations in Water Use Efficiency Correspond with Photosynthetic Traits in Tempranillo Grapevine Clones. Agronomy 2022, 12, 1874. [Google Scholar] [CrossRef]
- van Houten, S.; Muñoz, C.; Bree, L.; Bergamín, D.; Sola, C.; Lijavetzky, D. Natural Genetic Variation for Grapevine Phenology as a Tool for Climate Change Adaptation. Appl. Sci. 2020, 10, 5573. [Google Scholar] [CrossRef]
- Martin, L.; Vila, H.; Bottini, R.; Berli, F. Rootstocks Increase Grapevine Tolerance to NaCl through Ion Compartmentalization and Exclusion. Acta Physiol. Plant 2020, 42, 145. [Google Scholar] [CrossRef]
- Lucero, C.C.; Di Filippo, M.; Vila, H.; Venier, M. Comparing Water Deficit and Saline Stress between 1103P and 101-14Mgt Rootstocks, Grafted with Cabernet Sauvignon. Rev. Fac. Cienc. Agrar. 2017, 49, 1853–8665. [Google Scholar]
- Agüero, C.B.; Rodríguez, J.G.; Martínez, L.E.; Dangl, G.S.; Meredith, C.P. Identity and Parentage of Torrontés Cultivars in Argentina. Am. J. Enol. Vitic. 2003, 54, 318–321. [Google Scholar] [CrossRef]
- Prieto, J.A. Vinos y Variedades Patrimoniales: Resumen de Las Primeras Jornadas Latinoamericanas; Ediciones INTA: Buenos Aires, Argentina, 2021. [Google Scholar]
- Prieto, J.A.; Louarn, G.; Perez Peña, J.; Ojeda, H.; Simonneau, T.; Lebon, E. Impact of Training System on Gas Exchanges and Water Use Efficiency: A 3D Modeling Study with Topvine. In Proceedings of the 18th International Symposium GiESCO, Porto, Portugal, 7–11 July 2013; Volume 28, pp. 563–567. [Google Scholar]
- Ahumada, G.E.; Catania, A.; Fanzone, M.L.; Belmonte, M.J.; Giordano, C.V.; González, C.V. Effect of Leaf-to-Fruit Ratios on Phenolic and Sensory Profiles of Malbec Wines from Single High-Wire-Trellised Vineyards. J. Sci. Food Agric. 2021, 101, 1467–1478. [Google Scholar] [CrossRef]
- Gonzalez, C.V.; Ahumada, G.E.; Fontana, A.R.; Segura, D.; Belmonte, M.J.; Giordano, C.V. Impact of Pruning Severity on the Performance of Malbec Single-High-Wire Vineyards in a Hot and Arid Region. Aust. J. Grape Wine Res. 2025, 2025, 6283585. [Google Scholar] [CrossRef]
- Morgani, M.B.; Perez Peña, J.E.; Fanzone, M.; Prieto, J.A. Pruning after Budburst Delays Phenology and Affects Yield Components, Crop Coefficient and Total Evapotranspiration in Vitis Vinífera L. Cv. ‘Malbec’ in Mendoza, Argentina. Sci. Hortic. 2022, 296, 110886. [Google Scholar] [CrossRef]
- Lobos, G.A.; Acevedo-Opazo, C.; Guajardo-Moreno, A.; Valdés-Gómez, H.; Taylor, J.A.; Laurie, V.F. Effects of Kaolin-Based Particle Film and Fruit Zone Netting on Cabernet Sauvignon Grapevine Physiology and Fruit Quality. OENO One 2015, 49, 137–144. [Google Scholar] [CrossRef]
- Pallotti, L.; Silvestroni, O.; Dottori, E.; Lattanzi, T.; Lanari, V. Effects of Shading Nets as a Form of Adaptation to Climate Change on Grapes Production: A Review. OENO One 2023, 57, 467–476. [Google Scholar] [CrossRef]
- Gutiérrez-Gamboa, G.; Villalobos-Soublett, E.; Garrido-Salinas, M.; Verdugo-Vásquez, N. Monofilament Shading Nets Improved Water Use Efficiency on High-Temperature Days in Grapevines Subjected to Hyperarid Conditions. Horticulturae 2024, 10, 176. [Google Scholar] [CrossRef]
- Caravia, L.; Pagay, V.; Collins, C.; Tyerman, S.D. Application of Sprinkler Cooling within the Bunch Zone during Ripening of Cabernet Sauvignon Berries to Reduce the Impact of High Temperature. Aust. J. Grape Wine Res. 2017, 23, 48–57. [Google Scholar] [CrossRef]
- de Souza Leão, P.C.; de Carvalho, J.N. Tropical Viticulture in Brazil: São Francisco Valley as an Important Supplier of Table Grapes to the World Market. In Latin American Viticulture Adaptation to Climate Change; Gutiérrez-Gamboa, G., Fourment, M., Eds.; Springer: Cham, Switzerland, 2024; pp. 47–59. ISBN 978-3-031-51325-1. [Google Scholar]
- Castro, V.A.; Giraldi, J. de M.E. Shared Brands and Sustainable Competitive Advantage in the Brazilian Wine Sector. Int. J. Wine Bus. Res. 2018, 30, 243–259. [Google Scholar] [CrossRef]
- da Silva, J.N.; Ponciano, N.J.; Souza, C.L.M.; de Souza, P.M.; Viana, L.H. Caracterização Da Viticultura Tropical Nas Regiões Norte e Noroeste Fluminense. Rev. Bras. Frutic. 2019, 41, e136. [Google Scholar] [CrossRef]
- Lakatos, A.; Balogh, I. Viniculture in the Semi-Arid Tropical Region of Brazil. Int. J. Hortic. Sci. 2000, 6, 118. [Google Scholar] [CrossRef]
- Gazzola, R.; Porta Gründling, R.D.; Araújo Aragão, A. A Produção e o Comércio Internacional de Uva. Rev. Bras. De Agrotecnologia 2020, 10, 68–74. [Google Scholar] [CrossRef]
- Bammi, R.K.; Randhawa, G.S. Viticulture in the Tropical Regions of India. Vitis 1968, 7, 124–129. [Google Scholar] [CrossRef]
- Corzo, P. Tropical Viticulture in Venezuela. Acta Hortic. 1987, 199, 27–29. [Google Scholar] [CrossRef]
- Kok, D. A Review on Grape Growing in Tropical Regions. Turk. J. Agric. Nat. Sci. 2014, 1, 1236–1241. [Google Scholar]
- Yao, K.T.; Kouadio, O.K.S.; Coulibaly, I.; Kouakou, T.H.; Yao, K.T.; Kouadio, O.K.S.; Coulibaly, I.; Kouakou, T.H. Impact of Terroir on Some Morphophysiological Parameters of Grapevines in Four Agroecological Zones of Côte d’Ivoire. J. Agric. Chem. Environ. 2024, 14, 1–22. [Google Scholar] [CrossRef]
- Fonseca Conceição, A.; Tonietto, J. Climatic Potential for Wine Grape Production in the Tropical North Region of Minas Gerais State, Brazil. Rev. Bras. Frutic. 2005, 27, 404–407. [Google Scholar] [CrossRef]
- Leão, P.C.S.; Nunes, B.T.G.; do Nascimento, J.H.B.; de Souza, M.C.; Rego, J.I.S. ‘BRS Vitória’: A New Seedless Table-Grape Cultivar for the São Francisco Valley, Northeast Brazil. Acta Hortic. 2019, 1248, 275–279. [Google Scholar] [CrossRef]
- de Souza, R.T.; Naves, R.d.L.; Conceição, M.A.F.; da Costa, S.M.; Savini, T.C. Frequency of Fungicide Application for Controlling Downy Mildew in Seedless Grape Plant ‘BRS Vitória’. Rev. Bras. Frutic. 2018, 40, e443. [Google Scholar] [CrossRef]
- Leão, P.C.D.S.; Do Nascimento, J.H.B.; De Moraes, D.S.; Souza, E.R. De Rootstocks for the New Seedless Table Grape ‘BRS Vitória’ under Tropical Semi-Arid Conditions of São Francisco Valley. Ciênc. Agrotecnologia 2020, 44, e025119. [Google Scholar] [CrossRef]
- Callili, D.; Tecchio, M.A.; André, C.; Contreras Sánchez, P.; Campos, O.P.; Antonio, L.; Teixeira, J.; Campos, L.S.; Pereira, F.; Bonfim, G.; et al. Rootstocks on Yield and on Nutrient Uptake and Extraction in ‘BRS Vitória’ Grapevine. Bragantia 2025, 84, e20240213. [Google Scholar] [CrossRef]
- Roberto, S.R.; Borges, W.F.S.; Colombo, R.C.; Koyama, R.; Hussain, I.; de Souza, R.T. Berry-Cluster Thinning to Prevent Bunch Compactness of ‘BRS Vitoria’, a New Black Seedless Grape. Sci. Hortic. 2015, 197, 297–303. [Google Scholar] [CrossRef]
- Aquino, C.F.; Souza, A.M.D.; Barbosa, E.R.; Santos, E.D.M.D.; Souza, A.D.B.; Silva, M.S.D. Morphological and Yield Responses of “BRS Vitória” Grapevines Subjected to Bio-Fertigation with Aquaculture Wastewater. Pesqui. Agropecu. Bras. 2023, 58, e02986. [Google Scholar] [CrossRef]
- Koul, B.; Taak, P. Soil Pollution: Causes and Consequences. In Biotechnological Strategies for Effective Remediation of Polluted Soils; Springer: Singapore, 2018; pp. 1–37. ISBN 978-981-13-2420-8. [Google Scholar]
- Nagajyoti, P.C.; Lee, K.D.; Sreekanth, T.V.M. Heavy Metals, Occurrence and Toxicity for Plants: A Review. Environ. Chem. Lett. 2010, 8, 199–216. [Google Scholar] [CrossRef]
- Ferreira, G.W.; Bordallo, S.U.; Meyer, E.; Duarte, Z.V.S.; Schmitt, J.K.; Garlet, L.P.; Kokkonen da Silva, A.A.; Moura-Bueno, J.M.; Bastos de Melo, G.W.; Brunetto, G.; et al. Heavy Metal-Based Fungicides Alter the Chemical Fractions of Cu, Zn, and Mn in Vineyards in Southern Brazil. Agronomy 2024, 14, 969. [Google Scholar] [CrossRef]
- Hummes, A.P.; Bortoluzzi, E.C.; Tonini, V.; da Silva, L.P.; Petry, C. Transfer of Copper and Zinc from Soil to Grapevine-Derived Products in Young and Centenarian Vineyards. Water Air Soil. Pollut. 2019, 230, 150. [Google Scholar] [CrossRef]
- Garde-Cerdán, T.; Mancini, V.; Carrasco-Quiroz, M.; Servili, A.; Gutiérrez-Gamboa, G.; Foglia, R.; Pérez-Álvarez, E.P.; Romanazzi, G. Chitosan and Laminarin as Alternatives to Copper for Plasmopara Viticola Control: Effect on Grape Amino Acid. J. Agric. Food Chem. 2017, 65, 7379–7386. [Google Scholar] [CrossRef]
- Brunetto, G.; Simão, D.G.; Tabaldi, L.A.; Ferreira, P.A.A.; Trentin, E.; Marchezan, C.; Tiecher, T.L.; Girotto, E.; De Conti, L.; Lourenzi, C.R.; et al. Heavy Metal Stress Response in Plants and Their Adaptation. In Latin American Viticulture Adaptation to Climate Change; Gutiérrez-Gamboa, G., Fourment, M., Eds.; Springer: Cham, Switzerland, 2024; pp. 61–85. ISBN 978-3-031-51325-1. [Google Scholar]
- Korchagin, J.; Moterle, D.F.; Escosteguy, P.A.V.; Bortoluzzi, E.C. Distribution of Copper and Zinc Fractions in a Regosol Profile under Centenary Vineyard. Environ. Earth Sci. 2020, 79, 439. [Google Scholar] [CrossRef]
- Trentin, E.; Cesco, S.; Pii, Y.; Valentinuzzi, F.; Celletti, S.; Feil, S.B.; Zuluaga, M.Y.A.; Ferreira, P.A.A.; Ricachenevsky, F.K.; Stefanello, L.O.; et al. Plant Species and PH Dependent Responses to Copper Toxicity. Environ. Exp. Bot. 2022, 196, 104791. [Google Scholar] [CrossRef]
- Cesco, S.; Pii, Y.; Borruso, L.; Orzes, G.; Lugli, P.; Mazzetto, F.; Genova, G.; Signorini, M.; Brunetto, G.; Terzano, R.; et al. A Smart and Sustainable Future for Viticulture Is Rooted in Soil: How to Face Cu Toxicity. Appl. Sci. 2021, 11, 907. [Google Scholar] [CrossRef]
- Trentin, E.; Facco, D.B.; Hammerschmitt, R.K.; Avelar Ferreira, P.A.; Morsch, L.; Belles, S.W.; Ricachenevsky, F.K.; Nicoloso, F.T.; Ceretta, C.A.; Tiecher, T.L.; et al. Potential of Vermicompost and Limestone in Reducing Copper Toxicity in Young Grapevines Grown in Cu-Contaminated Vineyard Soil. Chemosphere 2019, 226, 421–430. [Google Scholar] [CrossRef]
- Tiecher, T.L.; Tiecher, T.; Ceretta, C.A.; Ferreira, P.A.A.; Nicoloso, F.T.; Soriani, H.H.; De Conti, L.; Kulmann, M.S.S.; Schneider, R.O.; Brunetto, G. Tolerance and Translocation of Heavy Metals in Young Grapevine (Vitis vinifera) Grown in Sandy Acidic Soil with Interaction of High Doses of Copper and Zinc. Sci. Hortic. 2017, 222, 203–212. [Google Scholar] [CrossRef]
- Ferreira, P.A.A.; Marchezan, C.; Ceretta, C.A.; Tarouco, C.P.; Lourenzi, C.R.; Silva, L.S.; Soriani, H.H.; Nicoloso, F.T.; Cesco, S.; Mimmo, T.; et al. Soil Amendment as a Strategy for the Growth of Young Vines When Replanting Vineyards in Soils with High Copper Content. Plant Physiol. Biochem. 2018, 126, 152–162. [Google Scholar] [CrossRef]
- Casali, C.A.; Moterle, D.F.; Rheinheimer, D.D.S.; Brunetto, G.; Corcini, A.L.M.; Kaminski, J.; De Melo, G.W.B. Copper Forms and Desorption in Soils under Grapevine in the Serra Gaúcha of Rio Grande Do Sul. Rev. Bras. Cienc. Solo 2008, 32, 1479–1487. [Google Scholar] [CrossRef]
- Mirlean, N.; Roisenberg, A.; Chies, J.O. Metal Contamination of Vineyard Soils in Wet Subtropics (Southern Brazil). Environ. Pollut. 2007, 149, 10–17. [Google Scholar] [CrossRef]
- Morsch, L.; Somavilla, L.M.; Trentin, E.; Silva, K.R.; de Oliveira, J.M.S.; Brunetto, G.; Simão, D.G. Root System Structure as a Criterion for the Selection of Grapevine Genotypes That Are Tolerant to Excess Copper and the Ability of Phosphorus to Mitigate Toxicity. Plant Physiol. Biochem. 2022, 171, 147–156. [Google Scholar] [CrossRef]
- Castro, C.; Carvalho, A.; Pavia, I.; Bacelar, E.; Lima-Brito, J. Grapevine Varieties with Differential Tolerance to Zinc Analysed by Morpho-Histological and Cytogenetic Approaches. Sci. Hortic. 2021, 288, 110386. [Google Scholar] [CrossRef]
- Guimarães, P.R.; Ambrosini, V.G.; Miotto, A.; Ceretta, C.A.; Simão, D.G.; Brunetto, G. Black Oat (Avena Strigosa Schreb.) Growth and Root Anatomical Changes in Sandy Soil with Different Copper and Phosphorus Concentrations. Water Air Soil. Pollut. 2016, 227, 192. [Google Scholar] [CrossRef]
- Ambrosini, V.G.; Rosa, D.J.; Corredor Prado, J.P.; Borghezan, M.; Bastos de Melo, G.W.; Fonsêca de Sousa Soares, C.R.; Comin, J.J.; Simão, D.G.; Brunetto, G. Reduction of Copper Phytotoxicity by Liming: A Study of the Root Anatomy of Young Vines (Vitis labrusca L.). Plant Physiol. Biochem. 2015, 96, 270–280. [Google Scholar] [CrossRef] [PubMed]
- Lacoste, P. El Vino y La Nueva Identidad de Chile. Universum 2005, 20, 24–33. [Google Scholar] [CrossRef]
- Castro, J.E.; Ulloa, M.E. Power Disputes in Chilean Viticulture: Valleys of Biobio under the Shadows of Development. Econ. Soc. Y Territ. 2022, 22, 309–337. [Google Scholar] [CrossRef]
- Serra, I.; Calderón-Orellana, A.; Hidalgo, M. Heroic Viticulture in Itata Valley, Chile: Characteristics and Challenges for the Development of Unique Wines in Southern Chilean Vineyards. In Latin American Viticulture Adaptation to Climate Change; Gutiérrez-Gamboa, G., Fourment, M., Eds.; Springer: Cham, Switzerland, 2024; pp. 215–228. ISBN 978-3-031-51325-1. [Google Scholar]
- Dörner, J.; Dec, D. Efecto de La Estructura Sobre El Movimiento de Agua En Una Catena de Suelos. Agro Sur. 2008, 36, 93–100. [Google Scholar] [CrossRef]
- Lovisolo, C.; Lavoie-Lamoureux, A.; Tramontini, S.; Ferrandino, A. Grapevine Adaptations to Water Stress: New Perspectives about Soil/Plant Interactions. Theor. Exp. Plant Physiol. 2016, 28, 53–66. [Google Scholar] [CrossRef]
- Calderón-Orellana, A.; Serra-Stepke, I.; Ortiz, I.; Bustos, C.; Correa, C.; Cuevas, J.; Hermosilla, N. Vine Capacity, Abiotic Stress Severity, and Wine Composition of a Non-Irrigated Vineyard along an Inceptisol Catena in the Itata Valley. In Proceedings of the 29th International Applied Geochemistry Symposium IAGS2022, Viña del Mar, Chile, 23–28 October 2022; Linking geology and geochemistry to viticulture and wine. Volume 8, p. 83. [Google Scholar]
- Reynolds, A.G.; Vanden Heuvel, J.E. Influence of Grapevine Training Systems on Vine Growth and Fruit Composition: A Review. Am. J. Enol. Vitic. 2009, 60, 251–268. [Google Scholar] [CrossRef]
- Puentes, P. Aptitud del Cultivo Moscatel de Alejandría del Valle del Itata para la Producción Comercial de Uva de Mesa; Universidad de Concepción: Concepción, Chile, 2019; Volume 7. [Google Scholar]
- Matthews, M.A.; Anderson, M.M. Fruit Ripening in Vitis vinifera L.: Responses to Seasonal Water Deficits. Am. J. Enol. Vitic. 1988, 39, 313–320. [Google Scholar] [CrossRef]
- Van Zyl, J.L.; Van Huyssteen, L. Comparative Studies on Wine Grapes on Different Trellising Systems: I. Consumptive Water Use. S. Afr. J. Enol. Vitic. 1980, 1, 7–14. [Google Scholar] [CrossRef]
- de Rességuier, L.; Pieri, P.; Mary, S.; Pons, R.; Petitjean, T.; van Leeuwen, C. Characterisation of the Vertical Temperature Gradient in the Canopy Reveals Increased Trunk Height to Be a Potential Adaptation to Climate Change. OENO One 2023, 57, 41–53. [Google Scholar] [CrossRef]
- Pascual, G.A.; Serra, I.; Calderón-Orellana, A.; Laurie, V.F.; Lopéz, M.D.; Pascual, G.A.; Serra, I.; Calderón-Orellana, A.; Laurie, V.F.; Lopéz, M.D. Changes in Concentration of Volatile Compounds in Response to Defoliation of Muscat of Alexandria Grapevines Grown under a Traditional Farming System. Chil. J. Agric. Res. 2017, 77, 373–381. [Google Scholar] [CrossRef]
- Jones, G.V. Climate Change in the Western United States Grape Growing Regions. Acta Hortic. 2005, 689, 41–60. [Google Scholar] [CrossRef]
- Omazić, B.; Telišman Prtenjak, M.; Prša, I.; Belušić Vozila, A.; Vučetić, V.; Karoglan, M.; Karoglan Kontić, J.; Prša, Ž.; Anić, M.; Šimon, S.; et al. Climate Change Impacts on Viticulture in Croatia: Viticultural Zoning and Future Potential. Int. J. Climatol. 2020, 40, 5634–5655. [Google Scholar] [CrossRef]
- Lereboullet, A.L.; Beltrando, G.; Bardsley, D.K.; Rouvellac, E. The Viticultural System and Climate Change: Coping with Long-Term Trends in Temperature and Rainfall in Roussillon, France. Reg. Environ. Change 2014, 14, 1951–1966. [Google Scholar] [CrossRef]
- Verdugo-Vásquez, N.; Orrego, R.; Gutiérrez-Gamboa, G.; Reyes, M.; Zurita-Silva, A.; Balbontín, C.; Gaete, N.; Salazar-Parra, C. Climate Trends and Variability in the Chilean Viticultural Production Zones during 1985–2015. OENO One 2023, 57, 345–362. [Google Scholar] [CrossRef]
- Ribera-Fonseca, A.; Palacios-Peralta, C.; González-Villagra, J.; Reyes-Díaz, M.; Serra, I. How Could Cover Crops and Deficit Irrigation Improve Water Use Efficiency and Oenological Properties of Southern Chile Vineyards? J. Soil Sci. Plant Nutr. 2023 2023, 23, 6851–6865. [Google Scholar] [CrossRef]
- Gutiérrez-Gamboa, G.; Verdugo-Vásquez, N. Editorial: Advances in Viticulture: New Approaches towards the Vineyard of the Future. Front. Plant Sci. 2024, 15, 1475437. [Google Scholar] [CrossRef]
- Gutiérrez Gamboa, G.; Palacios-Peralta, C.; López-Olivari, R.; Castillo, P.; Almonacid, M.; Narváez, R.; Morales-Salinas, L.; Verdugo-Vásquez, N.; Hidalgo, M.; Ribera-Fonseca, A.; et al. Growing Vines in the Mapuche Heartland: The First Report About the Vitiviniculture of the Araucanía Region. In Latin American Viticulture Adaptation to Climate Change; Gutiérrez-Gamboa, G., Fourment, M., Eds.; Springer: Cham, Switzerland, 2024; pp. 197–214. ISBN 978-3-031-51325-1. [Google Scholar]
- Gutiérrez-Gamboa, G.; Palacios-Peralta, C.; Verdugo-Vásquez, N.; Reyes-Díaz, M.; Muñoz, A.; Ribera-Fonseca, A. Could 101-14 Mgt Rootstock Affect Post-Spring Frost Vine Developing? Preliminary Findings. Horticulturae 2024, 10, 880. [Google Scholar] [CrossRef]
- Comte, V.; Schneider, L.; Calanca, P.; Rebetez, M. Effects of Climate Change on Bioclimatic Indices in Vineyards along Lake Neuchatel, Switzerland. Theor. Appl. Climatol. 2022, 147, 423–436. [Google Scholar] [CrossRef]
- Hall, A.; Jones, G.V. Spatial Analysis of Climate in Winegrape-Growing Regions in Australia. Aust. J. Grape Wine Res. 2010, 16, 389–404. [Google Scholar] [CrossRef]
- Tonietto, J.; Carbonneau, A. A Multicriteria Climatic Classification System for Grape-Growing Regions Worldwide. Agric. For. Meteorol. 2004, 124, 81–97. [Google Scholar] [CrossRef]
- Ollat, N.; Touzard, J.-M.; Leeuwen, C. van Climate Change Impacts and Adaptations: New Challenges for the Wine Industry. J. Wine Econ. 2016, 11, 139–149. [Google Scholar] [CrossRef]
- Ben Swartley, D.; Toussaint, J.R. Haiti Country Analysis of Tropical Forestry and Biodiversity; USAID: Washington, DC, USA; US Forest Service (METI): Missoula, MT, USA, 2006.
- Hedges, S.B.; Cohen, W.B.; Timyan, J.; Yang, Z. Haiti’s Biodiversity Threatened by Nearly Complete Loss of Primary Forest. Proc. Natl. Acad. Sci. USA 2018, 115, 11850–11855. [Google Scholar] [CrossRef] [PubMed]
- Diouf, I.; Sy, I.; Diakhaté, M. Assessing Climate Change Impacts on Public Health in Haiti: A Comprehensive Study of Disease Distribution, Modeling, and Adaptation Strategies. Front. Trop. Dis. 2023, 4, 1287499. [Google Scholar] [CrossRef]
- Morales-Payan, J.P.; Morales-Payan, M.O. Viticulture and Enology in the Dominican Republic: Situation, Limitations and Possibilities. Acta Hortic. 2004, 640, 369–374. [Google Scholar] [CrossRef]
- INAVI. Instituto Nacional de Vitivinicultura; INAVI: Las Piedras, Uruguay, 2025; Available online: https://www.inavi.com.uy/ (accessed on 5 May 2025).
- Fourment, M.; Pérard, P.; Beretta, A. Uruguay: Un Vignoble d’inmigration. In Rencontres de Clos Vougeot “Le vin en héritage: Anciens vignobles, nouveaux vignobles”; UNESCO: Dijon, France, 2015; p. 325. [Google Scholar]
- Vitale, A. Tradición y Saberes En La Cultura de La Vid y Del Vino. In Proceedings of the Actas del 2do Congreso de Historia Vitivinícola. Uruguay en el contexto regional (1870–1950), Montevideo, Uruguay, 12–14 November 2003; p. 809. [Google Scholar]
- de Rességuier, L.; Mary, S.; Le Roux, R.; Petitjean, T.; Quénol, H.; van Leeuwen, C. Temperature Variability at Local Scale in the Bordeaux Area. Relations With Environmental Factors and Impact on Vine Phenology. Front. Plant Sci. 2020, 11, 521085. [Google Scholar] [CrossRef]
- Ferrer, M.; Pedocchi, R.; Michelazzo, M.; González-Neves, G.; Carbonneau, A. Delimitation and Description of Grape-Growing Regions of Uruguay Based on the Multicriteria Climatic Classification System Using Bioclimatic Indexes Adapted to Culture Conditions. Agrociencia Urug. 2007, 11, 47–56. [Google Scholar] [CrossRef]
- Ferrer, M.; González-Neves, G.; Echeverria, G.; Camussi, G. Plant Response and Grape Composition of Vitis vinifera L. Cv Tannat in Different Climatic Regions. J. Agric. Sci. Technol. 2012, 2, 1252–1261. [Google Scholar]
- Salvarrey, J.; Pastenes, C.; Ferrer, M.; Salvarrey, J.; Pastenes, C.; Ferrer, M. Accumulation and Degradation of Solutes Vitis vinifera L. Berries in Contrasting Climates. RIVAR 2024, 11, 190–212. [Google Scholar] [CrossRef]
- Gutiérrez-Gamboa, G.; Moreno-Simunovic, Y. Terroir and Typicity of Carignan from Maule Valley (Chile): The Resurgence of a Minority Variety. OENO One 2019, 53, 75–93. [Google Scholar] [CrossRef]
- Fourment, M.; Bonnardot, V.; Planchon, O.; Ferrer, M.; Quénol, H. Circulation Atmosphérique Locale et Impacts Thermiques Dans Un Vignoble Côtier: Observations Dans Le Sud de l’Uruguay. Climatologie 2015, 11, 47–64. [Google Scholar] [CrossRef]
- Fourment, M.; Ferrer, M.; González-Neves, G.; Barbeau, G.; Bonnardot, V.; Quénol, H. Tannat Grape Composition Responses to Spatial Variability of Temperature in an Uruguay’s Coastal Wine Region. Int. J. Biometeorol. 2017, 61, 1617–1628. [Google Scholar] [CrossRef] [PubMed]
- Fourment, M.; Ferrer, M.; Barbeau, G.; Quénol, H. Is Phenological Behaviour of Tannat (Vitis vinifera L.) Affected by Temperature Variability in the Coastal Wine Region of Southern Uruguay? Acta Hortic. 2020, 1276, 41–48. [Google Scholar] [CrossRef]
- Tachini, R.; Bonnardot, V.; Ferrer, M.; Fourment, M. Topography Interactions with the Atlantic Ocean and Its Impact on Vitis vinifera L. “Tannat”. Vitis 2023, 62, 163–177. [Google Scholar] [CrossRef]
- Fourment, M.; Tachini, R.; Bonnardot, V.; Collins, C. Assessment of Albariño (Vitis vinifera Sp.) Plasticity to Local Climate in the Atlantic Eastern Coastal Terroir of Uruguay. OENO One 2024, 58, 1–15. [Google Scholar] [CrossRef]
- Ferrer, M.; Pereyra, G.; Salvarrey, J.; Arrillaga, L.; Fourment, M. “Tannat” (Vitis vinifera L.) as a Model of Responses to Climate Variability. Vitis 2020, 59, 41–46. [Google Scholar] [CrossRef]
- Ara Begum, R.; Lempert, R.P. Intergovernmental Panel on Climate Change (IPCC). Point of Departure and Key Concepts. In Climate Change 2022—Impacts, Adaptation and Vulnerability; Cambridge University Press: Cambridge, UK, 2023; pp. 121–196. [Google Scholar] [CrossRef]
- Fourment, M.; Piccardo, D. What Grapes and Wines to Expect with the Drought? Agrociencia Urug. 2023, 27, e1206. [Google Scholar] [CrossRef]
- Tachini, R.; Fourment, M.; Ferrer, M. Precipitation Variability in a Temperate Coastal Region and Its Impacts on Tannat and Albariño Cultivars. BIO Web Conf. 2023, 68, 01006. [Google Scholar] [CrossRef]
- Williams, L.E. Determination of Evapotranspiration and Crop Coefficients for a Chardonnay Vineyard Located in a Cool Climate. Am. J. Enol. Vitic. 2014, 65, 159–169. [Google Scholar] [CrossRef]
- Yaro, J.A. The Perception of and Adaptation to Climate Variability/Change in Ghana by Small-Scale and Commercial Farmers. Reg. Environ. Change 2013, 13, 1259–1272. [Google Scholar] [CrossRef]
- Adger, W.N.; Dessai, S.; Goulden, M.; Hulme, M.; Lorenzoni, I.; Nelson, D.R.; Naess, L.O.; Wolf, J.; Wreford, A. Are There Social Limits to Adaptation to Climate Change? Clim. Change 2009, 93, 335–354. [Google Scholar] [CrossRef]
- Hadarits, M.; Smit, B.; Diaz, H. Adaptation in Viticulture: A Case Study of Producers in the Maule Region of Chile. J. Wine Res. 2010, 21, 167–178. [Google Scholar] [CrossRef]
- Belliveau, S.; Smit, B.; Bradshaw, B. Multiple Exposures and Dynamic Vulnerability: Evidence from the Grape Industry in the Okanagan Valley, Canada. Glob. Environ. Change 2006, 16, 364–378. [Google Scholar] [CrossRef]
- Neethling, E.; Petitjean, T.; Quénol, H.; Barbeau, G. Assessing Local Climate Vulnerability and Winegrowers’ Adaptive Processes in the Context of Climate Change. Mitig. Adapt. Strateg. Glob. Chang. 2017, 22, 777–803. [Google Scholar] [CrossRef]
- Caruso, G.; Palai, G.; Gucci, R.; D’Onofrio, C. The Effect of Regulated Deficit Irrigation on Growth, Yield, and Berry Quality of Grapevines (Cv. Sangiovese) Grafted on Rootstocks with Different Resistance to Water Deficit. Irrig. Sci. 2023, 41, 453–467. [Google Scholar] [CrossRef]
- Martin, S.R.; Dunn, G.M. Effect of Pruning Time and Hydrogen Cyanamide on Budburst and Subsequent Phenology of Vitis vinifera L. Variety Cabernet Sauvignon in Central Victoria. Aust. J. Grape Wine Res. 2000, 6, 31–39. [Google Scholar] [CrossRef]
- Villalobos-Soublett, E.; Verdugo-Vásquez, N.; Díaz, I.; Zurita-Silva, A. Adapting Grapevine Productivity and Fitness to Water Deficit by Means of Naturalized Rootstocks. Front. Plant Sci. 2022, 13, 870438. [Google Scholar] [CrossRef]
- Serra, I.; Strever, A.; Myburgh, P.A.; Deloire, A. Review: The Interaction between Rootstocks and Cultivars (Vitis vinifera L.) to Enhance Drought Tolerance in Grapevine. Aust. J. Grape Wine Res. 2014, 20, 1–14. [Google Scholar] [CrossRef]






| Weather Station Name | Location SL; WL | Tmin (°C) | Tmax (°C) | PP (mm) | Day T > 30 °C | Day T > 35 °C | Day T < 0 °C |
|---|---|---|---|---|---|---|---|
| Traiguén | −38.26; −72.65 | 7.0 | 17.8 | 1002.2 | 8.3 | 0.6 | 1.9 |
| Carillanca | −38.68; −72.42 | 5.6 | 17.5 | 1310.7 | 6.0 | 0.6 | 12.9 |
| Maquehue | −38.77; −72.64 | 6.3 | 18.0 | 1128.8 | 6.5 | 0.7 | 8.0 |
| Osorno | −40.59; −73.11 | 6.3 | 16.9 | 1273.2 | 2.7 | 0.0 | 5.3 |
| Puerto Montt | −40.61; −73.06 | 6.3 | 14.9 | 1596.3 | 0.3 | 0.0 | 6.5 |
| Frutillar | −41.15; −73.05 | 5.8 | 15.0 | 1212.6 | 1.5 | 0.0 | 0.0 |
| Purranque | −41.44; −73.10 | 5.7 | 16.2 | 1287.7 | 1.8 | 0.0 | 7.0 |
| Cañal Bajo | −40.61; −73.06 | 5.9 | 16.6 | 1232.0 | 2.0 | 0.0 | 9.7 |
| Remehue | −40.52; −73.07 | 5.8 | 16.6 | 1231.1 | 2.1 | 0.1 | 9.3 |
| Coyhaique | −45.57; −72.03 | 3.9 | 13.2 | 895.6 | 0.9 | 0.0 | 15.4 |
| Weather Station Name | GST (°C) | GDD (Heat Units) | BEDD (Heat Units) | HI (Heat Units) | CI (°C) | SONMean (Heat Units) | SONMax (Heat Units) |
|---|---|---|---|---|---|---|---|
| Traiguén | 15.1 | 1104.3 | 1009.2 | 1655.8 | 9.0 | 1069.7 | 1580.4 |
| Carillanca | 14.0 | 883.9 | 883.0 | 1479.3 | 7.3 | 1015.6 | 1556.3 |
| Maquehue | 14.5 | 970.3 | 944.0 | 1558.8 | 7.8 | 1053.7 | 1596 |
| Osorno | 13.9 | 859.9 | 1393.8 | 819.1 | 7.9 | 1016.0 | 1503.7 |
| Puerto Montt | 12.6 | 601.4 | 1008.0 | 523.8 | 8.1 | 916.7 | 1331.2 |
| Frutillar | 11.7 | 434.9 | 860.2 | 409.5 | 6.6 | 927.2 | 1330.7 |
| Purranque | 13.2 | 727.4 | 1248.2 | 701.2 | 7.4 | 953.7 | 1434.6 |
| Cañal Bajo | 13.4 | 774.6 | 1308.8 | 754.0 | 7.3 | 986.2 | 1477.2 |
| Remehue | 13.4 | 764.0 | 1311.0 | 750.4 | 7.4 | 979.1 | 1482.7 |
| Coyhaique | 11.4 | 467.1 | 915.0 | 467.0 | 6.4 | 793.7 | 1258.4 |
| Weather Station Name | Tmin (°C) | Tmax (°C) | PP (mm) | Day T > 30 °C | Day T > 35 °C | Day T < 0 °C | GST | GDD | HI | BEDD | CI | SONMean | SON-Max |
|---|---|---|---|---|---|---|---|---|---|---|---|---|---|
| Traiguén | −0.025 | 0.027 | 2.7 | 0.200 | 0.000 | 0.000 | 0.006 | 0.415 | 3.524 | 1.499 | −0.003 | −0.566 | 1.665 |
| Carillanca | −0.017 | 0.002 | −6.9 | 0.091 | 0.001 | 0.118 | −0.012 | −2.089 | −1.951 | −2.975 | −0.004 | −1.288 | −0.228 |
| Maquehue | −0.017 | 0.021 | −2.4 | 0.222 | 0.048 | 0.278 | 0.006 | 1.135 | 4.167 | 1.801 | −0.016 | −1.107 | 0.588 |
| Osorno | 0.043 | −0.033 | −5.1 | 0.000 | 0.000 | −0.259 | 0.009 | 2.030 | −2.942 | −1.952 | 0.061 | −0.643 | −5.553 |
| Puerto Montt | 0.001 | 0.004 | −3.2 | 0.000 | 0.000 | 0.077 | 0.003 | 1.000 | 1.772 | 1.506 | −0.006 | −0.821 | −1.262 |
| Frutillar | −0.020 | −0.050 | −11.0 | 0.000 | 0.000 | 0.000 | −0.002 | 1.270 | 0.915 | 2.114 | 0.027 | −6.743 | −10.280 |
| Purranque | 0.029 | 0.000 | 7.9 | 0.125 | 0.000 | −0.235 | 0.000 | 0.000 | 0.000 | 0.000 | 0.000 | 0.000 | 0.000 |
| Cañal Bajo | 0.001 | 0.018 | −1.4 | 0.050 | 0.000 | −0.091 | 0.009 | 2.069 | 3.363 | 1.974 | −0.008 | 0.131 | −0.433 |
| Remehue | 0.035 | −0.003 | 0.9 | 0.050 | 0.000 | −0.222 | 0.024 | 4.425 | 2.564 | 2.233 | 0.060 | 0.853 | −0.743 |
| Coyhaique | 0.025 | −0.041 | 1.1 | 0.138 | 0.000 | 0.071 | −0.013 | −0.844 | −5.594 | −4.259 | 0.013 | −2.877 | −6.018 |
Disclaimer/Publisher’s Note: The statements, opinions and data contained in all publications are solely those of the individual author(s) and contributor(s) and not of MDPI and/or the editor(s). MDPI and/or the editor(s) disclaim responsibility for any injury to people or property resulting from any ideas, methods, instructions or products referred to in the content. |
© 2025 by the authors. Licensee MDPI, Basel, Switzerland. This article is an open access article distributed under the terms and conditions of the Creative Commons Attribution (CC BY) license (https://creativecommons.org/licenses/by/4.0/).
Share and Cite
Gutiérrez-Gamboa, G.; Fourment, M. Research and Innovations in Latin American Vitiviniculture: A Review. Horticulturae 2025, 11, 506. https://doi.org/10.3390/horticulturae11050506
Gutiérrez-Gamboa G, Fourment M. Research and Innovations in Latin American Vitiviniculture: A Review. Horticulturae. 2025; 11(5):506. https://doi.org/10.3390/horticulturae11050506
Chicago/Turabian StyleGutiérrez-Gamboa, Gastón, and Mercedes Fourment. 2025. "Research and Innovations in Latin American Vitiviniculture: A Review" Horticulturae 11, no. 5: 506. https://doi.org/10.3390/horticulturae11050506
APA StyleGutiérrez-Gamboa, G., & Fourment, M. (2025). Research and Innovations in Latin American Vitiviniculture: A Review. Horticulturae, 11(5), 506. https://doi.org/10.3390/horticulturae11050506
