Next Article in Journal
Occurrence of Wetness on the Fruit Surface Modeled Using Spatio-Temporal Temperature Data from Sweet Cherry Tree Canopies
Previous Article in Journal
Genome-Wide Identification and Analysis of the Nuclear Factor Y Gene Family in the Woodland Strawberry Fragaria vesca
Previous Article in Special Issue
Application of Procyanidins from Aronia melanocarpa (Michx.) Elliott in Fresh-Cut Apple Preservation
 
 
Font Type:
Arial Georgia Verdana
Font Size:
Aa Aa Aa
Line Spacing:
Column Width:
Background:
Article

The Shelf Life of Yellow Passion Fruit with an Edible Biocomposite Coating Based on Chitosan, Graphene Oxide Nanoparticles, and Beeswax

by
Wedson Aleff Oliveira da Silva
1,
Edna Maria Mendes Aroucha
2,*,
Nícolas Oliveira de Araújo
3,
Francisco Klebson Gomes dos Santos
4,
José Francismar de Medeiros
1,
Arthur Lira Vasconcelos de Sousa
2,
Luiz Paulo de Oliveira Queiroz
5 and
Ricardo Henrique de Lima Leite
6
1
Postgraduate Program in Phytotechnics, Federal Rural University of the Semi-Arid Region, Mossoro 59625-900, Brazil
2
Department of Engineering and Ambiental Sciences, Federal Rural University of the Semi-Arid Region, Mossoro 59625-900, Brazil
3
Department of Phytotechnics, Federal University of Viçosa, Viçosa 36570-900, Brazil
4
Department of Natural Sciences, Mathematics and Statistics, Federal Rural University of the Semi-Arid Region, Mossoro 59625-900, Brazil
5
Department of Control and Industrial Processes, Federal Institute of Education, Science and Technology of Ceará, Limoeiro do Norte 62930-000, Brazil
6
Department of Engineering and Technology, Federal Rural University of the Semi-Arid Region, Mossoro 59625-900, Brazil
*
Author to whom correspondence should be addressed.
Horticulturae 2024, 10(7), 756; https://doi.org/10.3390/horticulturae10070756
Submission received: 12 June 2024 / Revised: 9 July 2024 / Accepted: 15 July 2024 / Published: 17 July 2024
(This article belongs to the Special Issue Postharvest Application of Edible Coatings on Fruits and Vegetables)

Abstract

Yellow or sour passion fruit is a climacteric fruit with a high rate of respiration and ethylene production, and postharvest technology is needed to extend its shelf life. This study investigated the properties of a biocomposite film with chitosan (CH) incorporated with beeswax (BW) and graphene oxide (GO) nanoparticles for use as an edible coating to extend the shelf life of yellow passion fruit at 22 °C and 70% RH for eight days. CH films associated with BW showed lower water vapor permeability (WVP) than films with CH alone. However, adding GO to the CH + BW biopolymer matrix improved the WVP, decreased the solubility (12.8%), and increased the opacity of the film by 9% compared to those of the CH film. Fruits coated with CH + BW or CH + BW + GO exhibited a reduction in respiration rate, a slower ripening process by approximately 3 days, and a significant decrease in weight loss. This also resulted in a higher soluble solids content and increased antioxidative capacity of the pulp. The incorporation of GO into the CH + BW matrix resulted in a more pronounced delay of fruit ripening, as evidenced by the lower depigmentation of the peel at eight days, with a lightness approximately 10.7% lower at 54.92, a chroma value 16.5% lower at 49.33, a hue angle 7.2% higher at 92.56, a soluble solid (SS) content 16.7% higher at 11.32°Brix, and an acidity 31.9% higher at 4.18% compared to the control. Furthermore, the biopolymer packaging led to a higher consumer acceptance score for the fruit.

1. Introduction

Passion fruit (Passiflora edulis Sims) is a fruit whose pulp is rich in nutrients and phytochemicals, such as carotenoids, phenolic compounds, and vitamin C, which are potent antioxidants [1,2]. Farmers primarily cultivate it for the juice and pulp industry, due to its high pulp yield and acidity; moreover, it is also widely used in the pharmaceutical and cosmetic industries [3,4].
Passion fruit production, particularly of species belonging to the genus Passiflora, dominates approximately 95% of the global market, encompassing tropical and subtropical regions worldwide [3,5]. Brazil is the world’s largest producer and consumer of passion fruit, with an approximate production of 700,000 tons per year, which is produced in a harvested area of 45,000 hectares [6,7]. However, due to the unevenness of pollination and the intense physiological metabolism of the fruit, most of it is lost in the preharvest or postharvest phase [8]. It is a climacteric fruit with a high respiration rate and ethylene production rate [9]. These characteristics make it highly perishable, with a relatively short shelf life in tropical climates [5]. Therefore, appropriate preservation technologies [10] and cold storage facilities are essential to maintain the quality of the fruit for an extended period.
One of the main challenges in storing passion fruit is avoiding weight loss, which can reach 21% in 21 days at 18 °C and 80% relative humidity [11]. This results in wrinkling and a damaged appearance, which can cause economic losses. Given these considerations, utilizing modified atmosphere packaging is imperative, as it mitigates respiration and the loss of water vapor from the fruit [12,13], thereby preserving the quality and reducing postharvest losses in the market. Furthermore, introducing the fruit into distant markets strengthens the production chain.
Modified atmosphere packaging obtained from biopolymer coatings and films, such as the polysaccharide chitosan (CH), has recently attracted the interest of researchers, due to its versatility and biodegradability for preserving fresh fruits and vegetables [11,14]. In addition, chitosan has been demonstrated to possess excellent film-forming capacity and antioxidant and antimicrobial properties [15]. However, researchers have found that CH packaging exhibits poor mechanical and water vapor barrier properties [16]. This can be improved by incorporating composites, such as metallic graphene nanoparticles [16,17], wax, and oil [18,19], into the biopolymer matrix.
The hydrophobization of biopolymer packaging is crucial for enhanced fruit protection, given that polysaccharides are hydrophilic [13]. Consequently, when incorporated into the CH matrix, the hydrophobic properties of beeswax improve barrier (water vapor, CO2, and O2) and mechanical functions [20]. Conversely, graphene oxide (GO) is a carbon-based material with exemplary physical, chemical, and antimicrobial properties that enhance the biopolymer matrix. In addition to filling the intercellular spaces between the bonds, which water molecules would otherwise occupy, GO also facilitates the formation of a more robust and stable biopolymer matrix. The material becomes more hydrophobic, exhibiting enhanced mechanical, morphological, and thermal properties, rendering it suitable for preserving fruits and vegetables [21,22,23].
Incorporating graphene oxide nanoparticles into food packaging is safe, because they are biodegradable and can be degraded by microorganisms [24]. Furthermore, GO classifies this packaging as active, as it not only makes it more resistant, but also promotes an antimicrobial effect. This is important for preserving passion fruit, which is susceptible to water vapor loss and has a high susceptibility to the incidence of postharvest pathogens, contributing to the high rate of postharvest loss of the fruit. Studies have demonstrated the efficacy of chemical substances, such as 1-MCP [25], and modified and controlled atmospheres [26] in maintaining the quality of passion fruit under refrigeration (4 °C). However, studies investigating the efficacy of alternative sustainable packaging materials, such as biopolymeric packaging, are scarce in the context of passion fruit conservation. Nevertheless, there is evidence that an edible coating based on chitosan (2%) can extend the shelf life of passion fruit (Passiflora edulis) by an additional eight days compared to that of the control at 8 °C and 90% RH [19]. Nevertheless, there is a paucity of data on the use of CH coatings incorporating BW or GO nanoparticles for the postharvest preservation of passion fruit.
This study has presented a significant innovation in postharvest technology by developing a biocomposite film with chitosan (CH), beeswax (BW), and graphene oxide nanoparticles (GO) as packaging (edible coatings). This combination seeks to improve the film properties and slow down the fruit metabolism, resulting in greater preservation of passion fruit, with a lower respiration rate, a delay of ripening, reduced weight loss, and maintenance of nutritional and organoleptic qualities. Previous studies have shown the efficiency of CH with GO in the preservation of melon and mango (Paiva et al., 2017 [17]; Vilvert et al., 2022 [16]) and of CH with BW in the preservation of guavas (Oliveira et al., 2018 [13]). This study fills a gap in the literature by investigating the interaction of these three components at specific concentrations in the preservation of yellow passion fruit, providing an effective and sustainable method to extend the shelf life and ensure food preservation requirements and consumer preferences.
Based on the information provided, adding BW and GO nanoparticles to chitosan packaging can improve its water vapor barrier, solubility, and optical properties. This biocomposite can also serve as a coating for edible products, potentially slowing down the physiological metabolism of yellow passion fruit and extending its shelf life.

2. Materials and Methods

2.1. Material

The materials utilized in the film solution were chitosan (85% degree of deacetylation), procured from Polymar (Fortaleza, Brazil); beeswax; and graphene oxide (15–20 sheets), provided by Sigma–Aldrich Inc. (St. Louis, MO, USA).
The yellow passion fruits (Passiflora edulis Sims) were procured from a commercial producer in Macaíba, Rio Grande do Norte, Brazil (northeast region) (5°51′36′′ S, 35°20′59′′ W, and 15 m altitude). The fruits were chosen based on their physiological maturity, lack of damage, and uniform color and size.
The concentrations used in this research were determined based on previous studies that tested five film solutions containing different proportions of chitosan biopolymer, beeswax, and graphene oxide (patent application BR102023011955-7). After a preliminary evaluation phase, the researchers identified two concentrations that showed the best results regarding water solubility, water vapor permeability (WVP), and optical properties. They then selected these concentrations for application to the passion fruit.

2.2. Preparation of Film Solutions

Paiva et al.’s method [17] guided the preparation of the film solutions. To prepare the chitosan film solution (2% w/v), we dissolved chitosan in an aqueous solution of acetic acid (1% v/v) using a magnetic stirrer for 12 h. During stirring, we added proportional concentrations of beeswax (30%), Tween 80 (6.5%), and GO (0.25%) to the film solution based on the percentage of dry matter (DM) of the biopolymer. Subsequently, 60 g of the solution was deposited on acrylic plates of 15 × 15 cm2 and 2 cm deep and dried by evaporating the solvents in a circulating air oven at 50 °C for 5 h. We stored all of the films (Figure 1) at 23 °C and 55% relative humidity. The images shown in Figure 1 were taken using a digital camera (EOS R, Canon, Japan), and the films were photographed on a standard white background surface.

2.3. Film Characterization

We determined the WVP of the films following the standard protocol established by the American Society for Testing Materials (ASTM) E96-00. For each formulation, we performed quintuplicate tests by cutting pieces of film (2 × 2 cm) and placing them on permeation measurement cells filled with 5 mL of distilled water. We weighed the cells and placed them in a silica desiccator at an average temperature of 25 °C and a relative humidity of 50%. We weighed the cells every hour for 8 h, and, at the end, we determined the WVP of the biofilms using Equation (1), as follows:
WVP = W × L/A × t × ΔP
where WVP = water vapor permeability in g.mm/(h.kPa.m2); W = weight of water in g; L = average film thickness (mm); A = exposed area in m2; t = permeation time in h; and ΔP = water vapor pressure differential across the film in kPa.
We measured the water solubility of the films according to the method of Pereira et al. [27], with modifications. First, we cut a 2 cm diameter piece from the central area of the films and dried it at 105 °C for one hour to obtain the initial mass. Next, we immersed the films in distilled water with constant agitation at 23 °C for 24 h to obtain the final mass, which was subsequently dried under the same conditions. We carried out this procedure in five repetitions. We calculated the water solubility of the films using Equation (2), as follows:
S = im − fm/im × 100
where S is the solubility (%), im (g) is the initial mass, and fm (g) is the final mass.
We conducted colorimetric analysis using reflectometry with a portable CR-10 colorimeter (Konica Minolta Sensing Inc., Japan). Then, we measured the L*, a*, and b* parameters. The lightness (L) parameter ranged from 0 (dark/opaque) to 100 (white). The a* parameter represents green (negative) and red (positive), while the b* parameter represents blue (negative) and yellow (positive). We took measurements against a standard white background (L* = 80.30 ± 0.28; a* = 7.04 ± 0.09; b* = 8.00 ± 0.00) at five equidistant points using the central part of the film as a reference. Furthermore, we analyzed the opacity of the films via calibration against a standard white background and a standard black background (L* = 18.96 ± 0.09; a* = 2.00 ± 0.07; b* = 11.08 ± 0.24). We carried out the measurements in quintuplicate and calculated the opacity values using Equation (3), as follows:
Op = Opb/Opw × 100
where Op is the opacity (%), Opb is the film’s capacity against a black background, and Opw is the film’s capacity against a white background.

2.4. Preparation of Fruits

The yellow passion fruits were harvested at physiological maturity, approximately 70 days after anthesis, as indicated by their yellowish-green skins. After harvesting, the fruits were transported to the postharvest laboratory at the Engineering Center of the Federal Rural University of the Semi-Arid Region (UFERSA). At the laboratory, they were selected for uniformity of color and size and were ensured to be free from apparent diseases and deformations. Subsequently, the fruits were sanitized with a 150-ppm sodium hypochlorite solution for 15 min and dried at room temperature for subsequent coating treatments.

2.5. Treatments and Edible Coating Application

We used a randomized design, with four replications of two fruits per experimental plot, in a 3 × 3 factorial arrangement composed of three coating treatments (control, chitosan coating + beeswax (CH + BW), and chitosan coating + beeswax + graphene oxide (CH + BW + GO)) and three storage times (0, 4, and 8 days). The control treatment consisted of uncoated passion fruit. Additionally, at time zero, sampling was conducted with six fruits. We immersed the fruits in film solutions for 90 s, ensuring uniform coverage of the entire surface, following a methodology adapted from Menezes et al. [28]. We performed this procedure in triplicate to ensure consistency and uniformity of the coating. After this period, we dried the samples on a laboratory bench at 22 °C. We handled the uncoated control fruits similarly, but without immersion in any film solution.
After applying the treatments, we kept the fruits at 22 ± 3 °C and a relative humidity of 70 ± 2% for eight days to assess the quality at the time of harvest and at four-day intervals. We evaluated the physical, physicochemical, and sensory characteristics of the fruits in triplicate.

2.6. Physiological and Quality Parameters

We measured the CO2 released by the fruits according to Isermeyer [29], with adaptations. We evaluated the fruits daily for eight days of storage. We selected groups of fruits with masses between 0.635 and 0.915 kg and placed them in hermetically sealed containers for 2 h containing 40 mL of NaOH (0.5 mol.L−1) to capture the CO2 released. After this period, we quantified the mass of CO2 by titrating the NaOH solution with HCL (0.5 mol.L−1). We express the results as (mg.CO2.kg−1.h−1). We calculated the fruit respiration rate using Equation 4, as follows:
CO2 (g) = (MMCO2 × [HCL] × fHCL × Vmixed) − mCO2
where MMCO2 is the molecular mass of CO2 in grams/mol, HCL is the HCL concentration in mol/L, fHCL is the HCL correction factor, Vmixed is the volume of HCL spent using the mixed indicator, and mCO2 is the CO2 mass from the blank test.
We calculated the weight loss (WL) of the passion fruit by multiplying the difference between the initial mass and the mass at the end of storage by 100 and dividing by the initial mass. We express the results as percentages.
We determined the skin color using a colorimeter, a device that measures the intensity of light reflected from a surface. We expressed the readings in terms of the parameters L (brightness), C (chromaticity), and H (hue angle). We took readings at three equidistant fixed points on four fruits per treatment and expressed the results as an average.
We prepared passion fruit juice by cutting the fruit in half and processing the pulp manually with a sieve to separate the seed from the juice. We quantified the content of the soluble solids (SS) using a digital refractometer (PR-100 Palett, Atago, Japan) to determine the °Brix value. We determined the titratable acidity (TA) by the neutralization titration method using 5 mL of broth in 45 mL of distilled water with 0.1 N NaOH solution until a pH of 8.1 was reached. We express the results as a percentage of citric acid. We obtained the SS/TA ratio by dividing the average soluble solids content by the average titratable acidity

2.7. Antioxidant Compounds

The ascorbic acid (AsA) content was quantified by titration with 2,6-dichlorophenol-indophenol (DCFI), with modifications proposed by Benassi and Antunes [30]. We express the results in milligrams of ascorbic acid per 100 mL−1 of juice.
The content of total phenolic (TPC) compounds was determined according to the methodology described by Meda et al. [31]. A total of 5 mL of passion fruit juice sample, carefully selected and prepared, was transferred to test tubes, where 8.0 mL of ethanol was added. A 500 μL aliquot of the sample was transferred to a test tube, 2.5 mL of 10% Folin–Ciocalteu reagent (10:90; v/v) was added, and the mixture was left to rest for five minutes. Subsequently, 2.0 mL of 4% sodium carbonate (4:96 m/v) was added, and the tubes were left to rest for 2 h in the dark. The absorbance was measured with a UV–vis spectrophotometer (EVO-600PC, Thermo Scientific, Waltham, MA, USA) at 740 nm. A standard curve of gallic acid was generated, with concentrations ranging from 5 to 80 μg mL−1. The results regarding gallic acid equivalents (mg EAG 100 mL−1 of juice) were expressed.
We quantified the antioxidant activity of the samples using the 2,2-diphenyl-1-picrylhydrazyl radical (DPPH) method, as described by Meda et al. [31], with modifications. We dissolved the samples in methanol (50 mg/mL) and mixed 1.0 μL of each with 1.5 mL of the DPPH solution (0.02 mg/mL) diluted in methanol. We maintained the samples at room temperature in the dark for 20 min. We then read the absorbance on a Gehaka UV-340G spectrophotometer at 517 nm using 1.0 mL of methanol and 1.5 mL of DPPH solution as a blank. We express the antioxidant activity of the DPPH free radical in terms of the IC50 (the minimum concentration required to reduce the initial DPPH concentration by 50%), with values expressed in mg/mL.

2.8. Sensory Analysis

Meticulous sensory analysis was conducted by a team of five trained tasters for each storage period. To ensure precision, the samples were initially coded with three digits. For evaluation, the panelists were provided with lots containing four whole fruits from each treatment. The examinations were carried out in the morning, from 7 a.m. to 11 a.m., and the data were then subjected to hedonic scale analysis, a method widely used for grading preference in quantity levels for food.
The fruits were evaluated in four categories—acceptance, odor, occurrence of fungus, and film adhesiveness—using a structured scale (1–4). For the category of acceptance, the scores were as follows: “score 1” corresponded to the “excellent” index (fresh), “score 2” corresponded to “good” (light dehydration, still looks fresh, sellable), “score 3” corresponded to “acceptable” (moderate dehydration, salable), and “score 4” corresponded to “unacceptable” (old and/or moldy, severe dehydration). For the odor category, “score 1” corresponded to “excellent” (no unpleasant odor), “score 2” corresponded to “good” (very slight unpleasant odor only when opening), “score 3” corresponded to “acceptable” (slight unpleasant odor), and “score 4” corresponded to “unacceptable” (moderate or severe unpleasant odor). For the occurrence of fungus, “score 1” corresponded to “excellent” (no fungus), “score 2” corresponded to “good” (mild fungus affecting small areas of the fruit), “score 3” corresponded to “acceptable” (moderate fungus affecting up to two different areas of the fruit), and “score 4” corresponded to “unacceptable” (severe fungus affecting more than 50% of the fruit). For the category of adhesion of the film, a score of 1 indicated “excellent” (no peeling), a score of 2 indicated “good” (slight peeling), a score of 3 indicated “acceptable” (with peeling affecting small areas of the fruit), and a score of 4 indicated “unacceptable” (with intense peeling affecting more than 50% of the fruit).

2.9. Statistical Analysis

The data were subjected to analysis of variance (ANOVA) using the F test, which was chosen due to its ability to compare multiple groups simultaneously. The treatment means were compared using the Tukey test (p ≤ 0.05), a post hoc test that allows for pairwise comparisons between treatments, and standard deviation, a measure of the dispersion of data points around the mean. Standard deviations were calculated for each treatment group to quantify the group variation, providing insights into the homogeneity of the groups. The data were analyzed using the statistical software package SISVAR [32] and the graphing software SigmaPlot version 14.0 (Systat Software Inc., San Jose, CA, USA). A principal component analysis (PCA) based on the correlation matrix was also used to summarize the data into several components, enabling a joint interpretation between treatments and variables. This was performed using R version 3.4.4 [33].

3. Results

3.1. Barrier and Optical Properties of Polymeric Films

Incorporating BW and GO into the CH biopolymeric matrix improved its properties, leading to a more hydrophobic film with enhanced water solubility, water vapor permeability (WVP), and optical properties (Table 1). The inclusion of BW and GO at concentrations of 30% and 0.25%, respectively, of the dry mass of the biopolymer led to a notable reduction in the solubility and WVP of the film. In films comprising CH + BW + GO, the reductions in solubility and WVP were 53% and 43%, respectively, while in films comprising CH + BW, the reductions were 17% and 27%, respectively (p ≤ 0.05).
A significant reduction (p ≤ 0.05) in the values of a* and L* was observed with the addition of GO in terms of the color parameters of the films compared to those of the CH and CH + BW films. Furthermore, the opacity was also influenced by the presence of GO (p ≤ 0.05), with higher values than those of the CH films without GO incorporation. Conversely, regarding the color parameter b*, the CH + BW treatment exhibited the lowest values, which were significantly different from those of the other treatments (p≤ 0.05).
Given the significant differences (p ≤ 0.05) in barrier properties, solubility, and optical properties, the films containing only chitosan were not suitable for application to passion fruit. The pure chitosan films exhibited higher water vapor permeability and solubility, which could lead to faster moisture loss and a shorter shelf life of the coated fruit. Additionally, the optical properties of the chitosan-only films were less favorable, resulting in inadequate protection against light exposure, which is crucial for slowing down the fruit ripening process.

3.2. Application and Postharvest Evaluation of Edible Coatings on Passion Fruit

3.2.1. Respiration Rate

The coating and shelf life (p ≤ 0.05) influenced the respiration rate of the passion fruit (Figure 2). The fruits in the CH + BW and CH + BW + GO groups exhibited a peak in respiration (mg.CO2.kg−1.h−1) that was lower than that of the control fruits and occurred later. These groups reached their respiratory peak on around the seventh day, with average values of 94.18 and 89.62 (mg.CO2.kg−1.h−1), respectively. In contrast, the control fruits (uncoated) reached their respiration rate peak on around the fourth day, with an average value of 99 mg.CO2.kg−1.h−1.

3.2.2. Weight Loss

Regarding weight loss, it is evident that all of the treatments exhibited a statistically significant increase (p ≤ 0.05) over the storage period (Figure 3). Compared with that of the control fruit, the weight loss of the coated fruit decreased throughout the storage period. The fruits coated with CH + BW and CH + BW + GO exhibited mass losses of 14 and 13%, respectively, on the eighth day of storage (p ≤ 0.05), while the control fruits exhibited a mass loss of 20%. Furthermore, the CH + BW and CH + BW + GO coatings did not significantly differ (p ≤ 0.05) in WL throughout storage, although they did exhibit significantly different WVP (Table 1).

3.2.3. Skin Color

Regarding the color parameters observed on the skin of the passion fruit, a significant effect of the coating and time (p ≤ 0.05) on the color parameters L, chroma, and °hue was observed (Figure 4). The lightness (L) increased as the fruit ripened throughout storage (Figure 4A). On the fourth day, the coatings exhibited lower luminosity values than the control fruit, although the different types of coatings did not show any significant differences (p ≤ 0.05). The control fruit exhibited the greatest luminosity on the fourth day of storage (62.43). In contrast, the maximum values for the coated fruit occurred only on the eighth day of storage. During this period, the CH + BW + GO group exhibited a significantly lower luminosity value (54.9) than the CH + BW group (63.05), which in turn exhibited a luminosity value similar to that of the control group (61.5).
Regardless of the treatment, there was a significant increase (p ≤ 0.05) in the chroma values of the skin throughout the fruit storage period (Figure 4B). At four days of storage, the coated fruit exhibited lower chroma values than the control fruit, with the CH + BW + GO coating demonstrating a lower chroma value than the CH + BW coating. On the eighth day of storage, the CH + BW coating exhibited values comparable to those of the control fruit and greater than those of the CH + BW + GO coating. Compared with the control treatment, the incorporation of BW + GO into the CH matrix of the biopolymer coatings resulted in decreases of approximately 60% and 20% in the chromaticity values on the fourth and eighth days of storage, respectively. In contrast, compared to the control, the CH + BW coating applied directly reduced the chromaticity values by 11% and 3% on the fourth and eighth days of storage, respectively.
A significant decrease (p ≤ 0.05) in the hue angle of the fruit skin was observed throughout the storage period, accompanied by a decrease in the green color and the appearance of a yellow color, which is typical of the ripening process (Figure 4C). Despite this, the biopolymer coatings maintained higher hue angle values than the control fruit throughout all storage periods, demonstrating their effectiveness in delaying ripening. On the eighth day of storage, the hue angle values (h° 98.3) of the fruits coated with CH + BW + GO were greater than those of the fruits coated with CH + BW (h° 96.7), both of which exhibited a yellowish-green color. In contrast, the control fruit (86.31 h) was yellow.
The illustration of the fruit coated with CH + BW revealed a significant increase in yellow pigmentation at the end of the storage period, reaching approximately 75% of the fruit (Figure 4D). In contrast, the fruit coated with CH + BW + GO exhibited approximately 50% yellowing at the end of storage. In contrast, the uncoated fruit (control) exhibited yellowish pigmentation from the fourth day of storage, reaching approximately 95% yellowing on the eighth day of evaluation.

3.2.4. Soluble Solids Content (SS), Titratable Acidity (TA), and Ratio (SS/TA)

Regarding the physicochemical quality parameters, all of the variables analyzed in the fruit (Table 2) exhibited significant effects caused by the treatments, coatings, and storage time (p ≤ 0.05).
A reduction in the soluble solids content of the passion fruit was observed throughout the storage period (Table 2). However, the passion fruit coated with CH + BW and CH + BW + GO exhibited higher average values than the control fruits. This was reflected in the preservation of the soluble solids content, which was 11.32 ± 0.20% (CH + BW + GO) and 10.96 ± 0.10% (CH + BW), respectively, compared to that of the control fruit (9.70 ± 0.30%) after eight days of storage. Nevertheless, no significant differences were observed between the biopolymer films.
Regardless of the treatment, the TA values decreased over the storage period (Table 2). However, the fruit coated with CH + BW + GO demonstrated a superior preservation of TA compared to the control, with average values of 4.18 and 3.17% citric acid at the end of storage. The CH + BW coating exhibited results similar to those of the control fruit at all storage periods, highlighting the potential of this method.
There was an increase in SS/TA in the control and CH + BW treatments, except for the CH + BW + GO treatment, which demonstrated significantly lower values (p ≤ 0.05) after the evaluation period (2.70) (Table 2). This unique result of the CH + BW + GO treatment not only adds to our understanding of fruit preservation, but also opens up new avenues for research in this field.

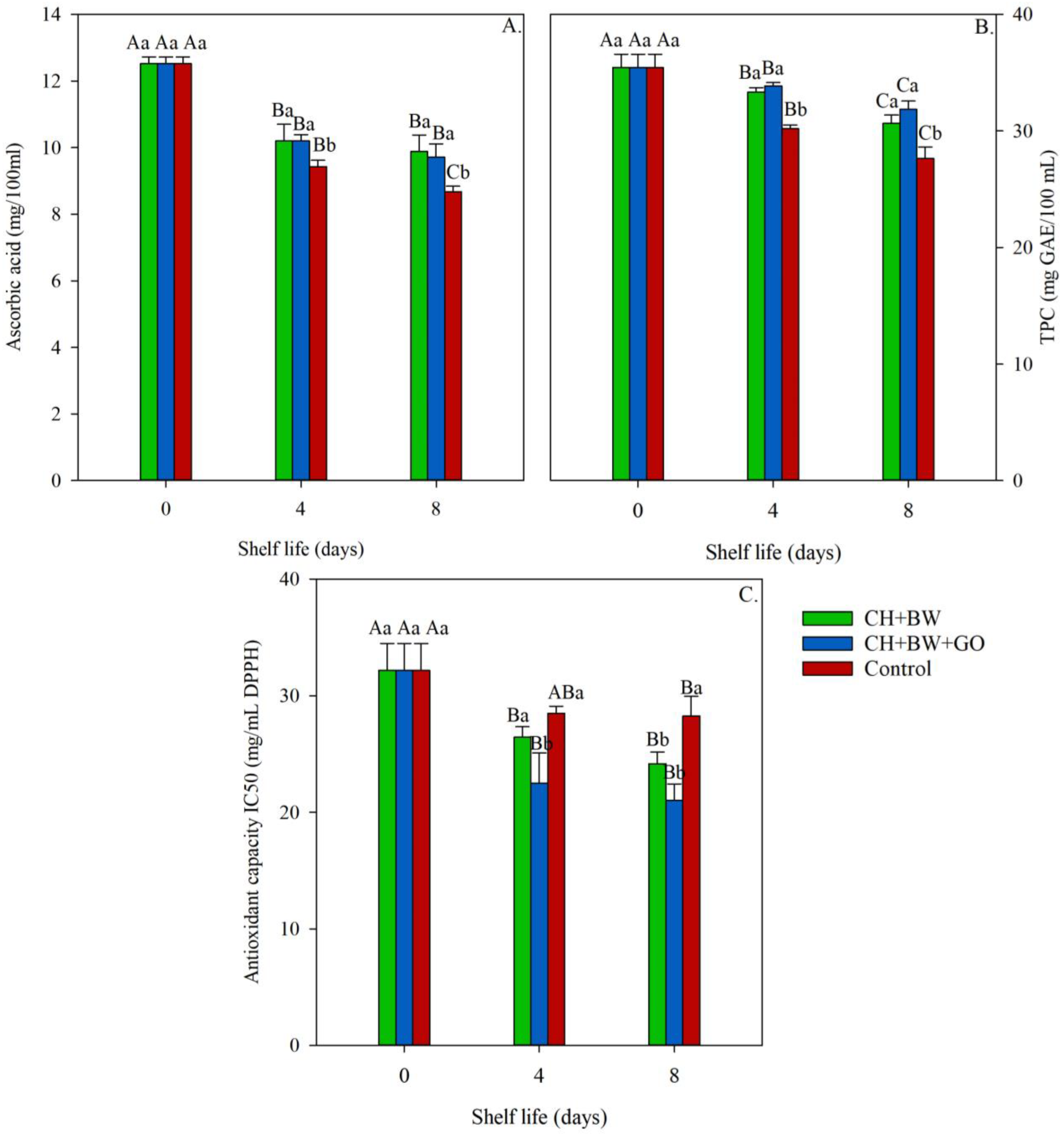
3.2.5. Ascorbic Acid Content, Total Phenolic Compound Content, and Antioxidant Capacity (IC50)

The treatment and storage time both significantly affected the AsA content (p ≤ 0.05) (Figure 5A). Regardless of the treatment, there was a consistent decrease in the AsA content of the fruit during the storage period. However, the coated passion fruit exhibited a greater vitamin C content than the control fruit, whose average initial values were 12.52 mg/100 g. The final values were 8.68 mg/100 × g for the control fruit, and fruits coated with the CH + BW and CH + BW + GO treatments exhibited vitamin C contents of 9.88 and 9.71 mg/100 g, respectively. There was no statistically significant difference in the vitamin C content between the two types of biopolymer coatings (p ≤ 0.05) (Figure 4A).
At the time of harvest (time zero), the fruits exhibited an average total phenolic compound content of 35.43 mg GAE/100 mL. However, this amount decreased significantly over eight days of storage, as illustrated in Figure 5B. Nevertheless, the biopolymer-coated fruit exhibited significantly greater activity (p ≤ 0.05) than the control fruit. There was no significant difference (p ≤ 0.05) between the types of coating. At eight days of storage, the CH + BW and CH + BW + GO treatments exhibited mean values of 30.66 and 31.86 mg GAE/100 mL, respectively, while the control group had a mean value of 27.63 mg GAE/100 mL over the same period.
As measured by the DPPH method, the antioxidant capacity increased in all treatments throughout the storage period (Figure 5C). Lower concentrations (mg/mL) indicate more significant antioxidant activity. This principle arises from the DPPH evaluation method, which measures the concentration of extract needed to quench 50% of the initial free radical concentration. Consequently, the CH + BW + GO coating exhibited more significant antioxidant activity than the CH + BW coating, which was greater than that of the control treatment after the storage period (p ≤ 0.05).

3.2.6. Principal Component Analysis

Based on the principal component analysis (PCA), the dimensionality of the data of the 11 dependent variables was efficiently reduced to two PCs, which explained 86.11% of the total variation in the data. PC1 was negatively correlated with the variables WL, C*, and L* but positively correlated with h°, SS, TA, AsA, DPPH, and TPC. In contrast, PC2 showed a positive correlation with SS/AT and a negative correlation with the respiration rate (Figure 6A). An analysis of the correlations between the variables revealed that the greatest number of positive correlations was found for PC1, which was close to zero storage time, indicating that the fruits had high levels of SS, TA, AsA, TPC, and h° at harvest. However, throughout storage, the peak in respiration observed on the fourth day of storage (Figure 2) was negatively correlated with the DPPH and SS/TA antioxidant activities. The negative correlations of PC1 with WL, C, and L at the end of storage are characteristic of climacteric fruit during senescence, as is the case for passion fruit (Figure 6B).
The scores for each treatment in each PC were graphed with respect to the shelf life (Figure 6C). In PC1, the less pronounced decrease in the scores of the coating treatments, particularly CH + BW + GO, underscored their efficacy in primarily reducing WL and modifying the color of the passion fruit while preserving superior antioxidant activity. This finding should instill a sense of confidence in the effectiveness of these treatments. In PC2, the significant increase in scores in the control treatment toward the end of the storage period can be attributed to the high consumption of citric acid during storage, which led to higher SS/TA values. Furthermore, the CO2 production of the control fruit was lower than that of the coating-treated fruit at the end of the storage period. This is because the climacteric peak of the coated fruit occurred on the seventh day of evaluation, and CO2 production continued to increase until the eighth day of storage. In contrast, the uncoated fruit (control) already exhibited signs of senescence, with minimal CO2 production.

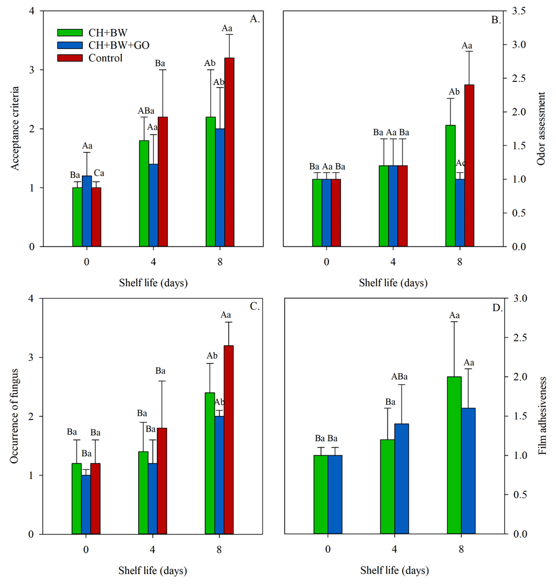
3.2.7. Sensory Analysis

The sensory properties of yellow passion fruit subjected to CH coatings combined with BW and GO were evaluated on a rating scale regarding consumer acceptance, odor, occurrence of fungus, and adhesiveness of the films. The results demonstrated significant differences (p ≤ 0.05) among the treatments tested (Figure 7).
The acceptance of passion fruit, both coated and uncoated, decreased during the storage period (Figure 7A). However, at the end of the evaluation period, the control fruits became unacceptable (score >3.0), while those coated with CH + BW and CH + BW + GO still exhibited an acceptable level of apparent quality for consumers.
The coatings under evaluation showed a significant reduction in the odor emitted by the passion fruits during storage (Figure 7B). This effect was particularly pronounced at the end of the storage period on the eighth evaluation day. On days zero and four, there was no discernible difference in odor emission from the fruits. However, by the eighth day of storage, the uncoated fruits had an odor score of 2.4, approaching the threshold for a moderately unpleasant odor. In contrast, fruits coated with CH + BW had a score of 1.8, indicating a less unpleasant odor. The CH + BW + GO coating demonstrated the most effective odor control, with a score of 1.0 on the odor emission scale.
The coatings tested did not have a significant impact on the appearance of fungi on the yellow passion fruit until the fourth day of evaluation (Figure 7C). However, as the evaluation period progressed, the occurrence of fungi in all treatments increased. By the end of storage, the coated fruit maintained acceptable values on the evaluation scale. In contrast, the uncoated fruit had an average score close to 4.0, which is considered unacceptable.
The CH + BW and CH + BW + GO coatings tested in this study demonstrated satisfactory adhesion to the fruit, with high scores according to the evaluation scale at the beginning of storage and minimal variation at the end of the evaluation period, which was classified as good/acceptable.

4. Discussion

The incorporation of GO nanoparticles into biopolymer matrices notably enhanced the barrier properties of the films [34]. Table 1 shows a significant reduction (p ≤ 0.05) in both the solubility and WVP of CH films upon the addition of GO. This phenomenon occurs due to the filling of structural spaces in the CH biopolymer matrix, which blocks water transport channels and pathways [22]. Adding GO to the chitosan matrix weakens the attraction between water molecules and carbon atoms. This weakens the attraction because the firmly established C-C bonds prevent strong interactions with water molecules, ultimately resulting in the low water solubility of the biofilm [35].
Similarly, Vilvert et al. [36] observed a 35% reduction in water vapor permeability in CH-based packaging with the addition of GO and a positive effect on the tensile strength and modulus of elasticity, with increases of 21% and 19%, respectively.
Optical properties, including color, opacity, and light transmittance, are essential in selecting packaging materials. These properties assist in the protection of the contents from light damage [37]. In the case of fruit packaging and coatings comprising CH and associated nanoparticles, protection against damage caused by ultraviolet light can play a pivotal role in slowing down the ripening process of fruits such as papaya and melon [17,38]. In the study by Wang et al., adding GO to CH films [22] caused a significant reduction in light transmission, especially in the ultraviolet light region. However, the films without GO exhibited high transparency (55–70%) in the visible light range. The conjugated aromatic structure and planar 2D configuration of GO cause it to absorb and reflect most of the UV radiation, leading to the observed reduction in light transmission. The inclusion of GO in the biopolymer matrix can explain the observed decrease in luminosity and increase in opacity of the films in this study. This effect is likely due to the inherent dark tone of GO.
Despite the lower WVP of the CH + BW + GO films compared to that of the CH + BW coating, they exhibited a comparable effect on the respiration rate of passion fruit. Both slowed down the fruit’s metabolism to a similar extent and for a comparable duration. However, they demonstrated an increase in the shelf life of the fruit compared to that of the control fruit. Kwanele and Olaniyi [19] also observed a comparable outcome in passion fruit coated with CH and the addition of medicinal plant extracts.
The prolongation of the respiratory peak in the passion fruits, resulting from combining CH coatings with BW and GO, represents a positive factor for their preservation. Reducing the respiratory rate slows down the physicochemical changes inherent in the metabolic processes involved in fruit ripening, thereby contributing to the maintenance of fruit quality and freshness over an extended period [39]. Despite the significant differences in water vapor permeability (WVP) between the CH + BW and CH + BW + GO coatings, the similar respiratory rates observed in coated passion fruits could be attributed to the fact that both coatings effectively create a physical barrier that regulates gas exchange. This regulation likely modulates the internal atmosphere around the fruit, reducing oxygen intake and carbon dioxide output, thereby slowing down respiration [13]. Additionally, the graphene oxide (GO) in the CH + BW + GO coating may enhance the mechanical integrity and stability of the film, further supporting a consistent respiratory rate without significantly altering gas permeability compared to the CH + BW coating alone, as evidenced in a previous study by Chen et al. [40].
The ripening process of fruit involves an increased respiration rate, a simultaneous consumption of glucose, and a cascade of intense physical, chemical, and biochemical transformations [41]. This phenomenon explains the short storage life of climacteric fruits [42].
The primary mechanisms responsible for weight loss in passion fruit are carbon skeleton consumption and water loss, which result from increased respiration and transpiration, respectively [43]. Conversely, the more significant transfer of moisture from the fruit to the surrounding environment, resulting from a vapor pressure deficit, contributes to more significant weight loss being observed. In a study by Riva et al. [14], CH coatings served as a semipermeable barrier to O2, CO2, and water vapor, reducing respiration, water loss, and reactive oxygen species (ROS). Paiva et al. [17] and Vilvert et al. [36] also observed a positive effect on reducing the water loss (WL) of melon and Palmer mango fruit, respectively, using coatings and biopolymer packaging with CH associated with GO. Consequently, the lower water loss observed in the coated fruit, regardless of the addition of GO, indicates that incorporating BW into the biopolymer matrix was a significant factor in achieving a positive result. This is evident despite the lower water vapor permeability of the CH + BW + GO films compared to that of the CH + BW films (Table 1). Since passion fruit pricing is based on weight per kilogram, biopolymeric packaging is crucial for extending fruit shelf life, potentially leading to higher economic returns.
The color of the fruit is a quality parameter for consumers of yellow passion fruit. This study has revealed a correlation between the maximum increase in L* recorded on the fourth day of storage for the control fruit and the peak in respiratory activity observed during this period (Figure 1). This variable represents the variation in color from black (values close to 0) to white (values close to 100). The presence of GO in the biopolymer matrix, in conjunction with BW, was more effective in delaying the appearance of the yellow color of the fruit. This is because L* is a valuable indicator of the darkness or lightness of fruit [26].
Chromaticity is a measure of color intensity, specifically pigment saturation. It ranges from 0, representing an impure color, to 60, a pure color [44]. This demonstrates the synergistic effect of GO nanoparticles in reducing the degradation of chlorophyll molecules and/or the synthesis of carotenoids in fruit skin. Oliveira et al. [13] reported similar results. You et al. [25] found that edible coatings and the combination of 1-MCP and CH coating, respectively, preserved the variation in peel color and the degradation of chlorophyll molecules in guava fruits stored at 15 °C and 90% RH and in passion fruit refrigerated at 4 °C and 90% RH.
A hue angle of 90° indicates a yellow color, while, as this value decreases toward zero, the background color becomes redder [44]. This confirms that not only did the lower WVP of the CH + BW + GO and CH + BW films influence the respiration rate of the coated fruit, but it also helped to maintain the color of the fruit, which has an impact on the acceptance and marketing of the fruit. Additionally, higher hue angle values have been observed in the peel of passion fruit and pitahaya fruit coated with chitosan than in uncoated fruit, as reported in the literature [19,45].
As illustrated in the photographic documentation (Figure 4D), the rapid ripening of passion fruit contributes to increased postharvest losses. This is because the color of the yellow passion fruit peel is associated with an irreversible metabolic process, which is a type of respiration (Figure 2). Furthermore, the color of the peel plays a significant role in consumer acceptance, as it indicates the fruit ripening stage, contributes to visual attractiveness, conveys the perception of freshness, and indirectly provides information about possible nutritional characteristics of the fruit.
SS is an indirect measure of sugar content and is of great technological importance in the quality and yield of industrialized passion fruit pulp. The decrease in SS levels over the storage period is consistent with the increase in the fruit’s respiration rate, which utilizes soluble carbohydrate reserves as a substrate [46]. Zhong et al. [9] observed a similar phenomenon in purple passion fruit treated with CH coatings and microporous packaging.
This study’s data on water vapor permeability (WVP) and respiration rate showed that the CH + BW and CH + BW + GO coatings effectively regulated gas exchange, creating comparable barriers to O2 entry. Consequently, the metabolism became slower, preserving approximately 30% of the titratable acidity possible compared to the control fruit at the end of the evaluation period. The oxidation of organic acids and their consumption in the respiratory process cause a decrease in TA during fruit ripening [42]. Similarly, Kwanele and Olaniyi [19] reported that adding medicinal plant extracts to the chitosan matrix provided a better barrier to gases and reduced the oxidation of organic acids in coated passion fruit.
The soluble acidity ratio indicates a fruit’s commercial maturity, influencing its taste and aroma [47]. The lower value observed in the ratio for the CH + BW + GO treatment is associated with a more significant conservation of TA at day eight.
AsA is an essential indicator of fruit quality because it represents an important source of vitamin C intake and is known to act as a potent antioxidant, eliminating free radicals [48]. Fruit storage leads to a decrease in AsA, impacting its nutritional value. This decrease is driven by the oxidation of AsA, which is accelerated by the increased activity of ascorbic acid oxidase. This enzyme catalyzes the conversion of L-ascorbic acid to dehydroascorbic acid (DHA) [49]. In this way, modified atmosphere technologies, such as CH biopolymer coatings, create a barrier capable of reducing the availability of O2 and, consequently, reducing oxidation reactions. According to a study by Zhong et al. [9], the CH coating was only effective at preserving vitamin C when combined with synthetic microporous packaging. On the other hand, You et al. [25] found that CH coatings on purple passion fruit, combined with the application of 1-MCP, preserved the AsA levels for a longer storage period compared to the control.
Phenolic compounds are products of the secondary metabolism of fruit, and their fluctuations during the postharvest period are often associated with the normal physiology of the ripening process [50]. The higher content of phenolic compounds observed in this study suggests a connection to the reduced metabolic activity caused by the chitosan coatings on the fruit. These coatings minimize gas exchange with the environment, consequently suppressing the activity of the polyphenol oxidase enzyme. This enzyme becomes active (or initiates activity) in the presence of molecular oxygen [51]. Vilvert et al. [36] demonstrated this suppressive effect of the tested packaging on mangoes, preserving phenolic compounds throughout storage.
The biopolymer coatings provided greater antioxidant activity, since they preserved higher levels of vitamin C and total phenolics than the control fruit. Ali et al. [52] observed similar results using edible coatings, indicating that these coatings suppress the senescence process, controlling free radicals and preserving greater antioxidant activity in the fruit. Additionally, Kwanele and Olaniyi [19] reported that coating passion fruit with chitosan enriched with medicinal plant extracts increased the antioxidant activity in the coated fruit.
Principal component analysis has provided a holistic view and a joint understanding of the physiological variables, quality parameters, and antioxidant properties of yellow passion fruit to evaluate the effect of coatings with CH and a combination of BW and GO over an 8-day storage period at 22 °C. The results show that the CH + BW and CH + BW + GO coatings delay fruit ripening and preserve the respiration rate, WL content, skin color variations, physicochemical parameters, and antioxidant compounds of yellow passion fruit during storage.
Sensory analysis is crucial for assessing consumer acceptance and evaluating biopolymeric coatings, which enhances the overall consumer experience [13]. Baswal et al. [53] reported that applying carboxymethyl cellulose, chitosan, and beeswax coatings improved the appearance and acceptance of Kinnow tangerines. Similarly, Almeida et al. [54] developed edible antifungal coatings for fruits using zein and chitosan nanowhiskers. Their findings demonstrated that chitosan helped to maintain the surface texture of guava (Psidium guajava L.), thereby increasing consumer acceptance.
The results suggest that the CH + BW and CH + BW + GO coatings effectively maintain fruit odor within acceptable levels for consumers. Additionally, Zárate-Moreno [55] reported that chitosan-based coatings significantly reduce fruit odor and extend shelf life. Other studies have also highlighted the antifungal properties of chitosan, including its bacteriostatic action and ability to control postharvest pathogens [56,57]. These findings align with the sensory evaluations performed. According to Menezes et al. [28], good film adhesion to the fruit is essential, as fruits without apparent peeling are generally more acceptable to consumers. This adhesion helps to maintain fruit quality over an extended period.
Therefore, the evaluated biopolymeric coatings improved the postharvest quality of passion fruit and preserved essential antioxidant compounds. This led to excellent sensory evaluations for fruits coated with GO and BW.
Future research should aim to include assessments of the rot rate to promote a more comprehensive evaluation of the effectiveness of biocomposite films in extending the shelf life and maintaining the quality of yellow passion fruit.

5. Conclusions

This study has demonstrated the efficacy of chitosan (CH) films incorporated with beeswax (BW) and graphene oxide (GO) nanoparticles as edible coatings to extend the shelf life of yellow passion fruit. The presence of GO in the CH + BW biopolymer matrix reduced the WVP and solubility of the films, resulting in increased opacity. The incorporation of GO into the CH + BW matrix significantly reduced the respiration rate and delayed the ripening process by approximately 3 days. The treated fruits showed a decrease in weight loss, a greater soluble solids content, and greater antioxidant capacity of the pulp. Furthermore, the treated fruits exhibited less peel depigmentation, as evidenced by approximately 10.7% lower lightness, 16.5% lower chroma value, and 7.2% higher hue angle than those of the control. The soluble solids content was 16.7% greater, and the acidity was 31.9% greater in the treated fruits than in the control. These improvements led to higher consumer acceptance scores for the treated fruits. The CH + BW + GO nanoparticle biocomposite film is a promising postharvest technology for maintaining the quality and extending the shelf life of yellow passion fruit.

6. Patents

The concentrations of the film-forming solutions used in this research were deposited in patent application BR102023011955-7.

Author Contributions

Conceptualization and methodology: E.M.M.A., R.H.d.L.L., and F.K.G.d.S.; software: W.A.O.d.S., N.O.d.A., and L.P.d.O.Q.; validation: E.M.M.A.; formal analysis: W.A.O.d.S. and N.O.d.A.; investigation: W.A.O.d.S., L.P.d.O.Q., A.L.V.d.S., and E.M.M.A.; resources: E.M.M.A., J.F.d.M., and R.H.d.L.L.; data collection: W.A.O.d.S. and A.L.V.d.S. Writing—original draft preparation: W.A.O.d.S. and E.M.M.A.; writing—review and editing and supervision: L.P.d.O.Q. and E.M.M.A.; project administration: E.M.M.A. and R.H.d.L.L. All authors have read and agreed to the published version of the manuscript.

Funding

The funding for this research was provided by CAPES (Coordination for the Improvement of Higher Education Personnel)—Finance Code 001 and CNPq (National Council for Scientific and Technological Development).

Data Availability Statement

The article contains all relevant data, which can be made available upon request to the corresponding author.

Acknowledgments

The authors would like to thank the Coordination for the Improvement of Higher Education Personnel (CAPES) for granting the doctoral scholarship and the CNPq (National Council for Scientific and Technological Development) for providing the resources for the development of the research.

Conflicts of Interest

The authors declare no conflicts of interest.

References

  1. Du, J.; Zhong, B.; Subbiah, V.; Barrow, C.J.; Dunshea, F.R.D.; Suléria, H.A.R. LC-ESI-QTOF-MS/MS Profiling and Antioxidant Activity of Phenolics from Custard Apple Fruit and By-Products. Separations 2021, 8, 62. [Google Scholar] [CrossRef]
  2. Wang, W.; Gao, Y.T.; Wei, J.W.; Chen, Y.F.; Liu, Q.L.; Liu, H.M. Optimization of ultrasonic cellulase-assisted extraction and antioxidant activity of natural polyphenols from passion fruit. Molecules 2021, 9, 2494. [Google Scholar] [CrossRef] [PubMed]
  3. Dos Reis, L.C.R.; Facco, E.M.P.; Salvador, M.; Flôres, S.H.; Rios, A.d.O. Antioxidant potential and physicochemical characterization of yellow, purple, and orange passion fruit. J. Food Sci. Technol. 2018, 55, 2679–2691. [Google Scholar] [CrossRef] [PubMed]
  4. Li, H.; Zhou, P.; Yang, Q.; Shen, Y.; Deng, J.; Li, L.; Zhao, D. Comparative studies on anxiolytic activities and flavonoid compositions of Passiflora edulisedulis’ and Passiflora edulis ‘flavicarpa’. J. Ethnopharmacol. 2011, 133, 1085–1090. [Google Scholar] [CrossRef] [PubMed]
  5. Dos Santos Junior, J.R.; Corrêa-Filho, L.C.; Pereira, V.O.; Barbosa, H.T.G.; Soares, A.G.; Tonon, R.V.; Cabral, L.M.C. Application of rosin resin and zinc oxide nanocomposites to chitosan coatings for extending the shelf life of passion fruit s. Sustain. Food Technol. 2024, 2, 415–425. [Google Scholar] [CrossRef]
  6. Faleiro, F.G. Maracujá: Fruta nativa do Brasil para o mundo. Anuário Camp. Negóc. Hortif. 2022, 11, 79–81. [Google Scholar]
  7. Instituto Brasileiro de Geografia e Estatística, IBGE. Produção de Maracujá no Brasil. 2022. Available online: https://www.ibge.gov.br/explica/producao-agropecuaria/maracuja/brm (accessed on 10 April 2024).
  8. Fischer, G.; Melgarejo, L.M.; Cutler, J. Preharvest factors that influence the quality of passion fruit: A review. Agron. Colomb. 2018, 36, 217–226. [Google Scholar] [CrossRef]
  9. Zhong, Z.; Zhou, L.; Yu, K.; Jiang, F.; Xu, J.; Zou, L.; Du, L.; Liu, W. Effects of Microporous Packaging Combined with Chitosan Coating on the Quality and Physiological Metabolism of Passion fruit after Harvest. Food Bioprocess Technol. 2022, 15, 1836–1850. [Google Scholar] [CrossRef]
  10. Villacís-chiriboga, J.; Elst, K.; Camp, J.V.; Vera, E.; Rules, J. Valorization of byproducts from tropical fruits: Extraction methodologies, applications, environmental, and economic assessment: A review (Part 1: General overview of the byproducts, traditional biorefinery practices, and possible applications). Compr. Rev. Food Sci. Food Saf. 2020, 19, 405–447. [Google Scholar] [CrossRef]
  11. Zhou, Y.; Zhong, Y.; Lia, L.; Jiangb, K.; Gao, J.; Zhong, K.; Pan, M.; Yan, B. A multifunctional chitosan-derived conformal coating for the preservation of passion fruit. LWT 2022, 163, 113584. [Google Scholar] [CrossRef]
  12. Jung, S.; Cui, Y.; Barnes, M.; Satam, C.; Zhang, S.; Chowdhury, R.A.; Adumbumkulath, A.; Sahin, O.; Miller, C.; Sajadi, S.M.; et al. Multifunctional bio-nanocomposite coatings for perishable fruits. Adv. Mater. 2020, 32, 1908291. [Google Scholar] [CrossRef] [PubMed]
  13. Oliveira, V.R.L.; Santos, F.K.G.; Leite, R.H.L.; Aroucha, E.M.M.A.; Silva, K.N.O. Use of biopolymeric coating hydrophobized with beeswax in postharvest conservation of guavas. Food Chem. 2018, 259, 55–64. [Google Scholar] [CrossRef] [PubMed]
  14. Riva, S.C.; Opara, U.O.; Fawole, O.A. Recent developments on postharvest application of edible coatings on stone fruit: A review. Sci. Hortic. 2020, 262, 109074. [Google Scholar] [CrossRef]
  15. Parvin, N.; Rahman, A.; Roy, J.; Rashid, H.; Paulo, N.C.; Mahamud, M.A.; Imran, S.; Sakil, A.; Uddin, F.M.J.; Molla, D.E.; et al. Chitosan coating improves postharvest shelf life of mango (Mangifera indica L.). Horticulturae 2023, 9, 64. [Google Scholar] [CrossRef]
  16. Vilvert, J.C.; Freitas, S.T.; Ferreira, M.A.R.; Leite, R.H.L.; Santos, F.K.G.; Costa, C.S.R.; Aroucha, E.M.M. Chitosan and graphene oxide-based biodegradable bags: An eco-friendly and effective packaging alternative to maintain postharvest quality of ‘Palmer’mango. LWT 2022, 154, 112741. [Google Scholar] [CrossRef]
  17. Paiva, C.A.; Vilvert, J.C.; Menezes, F.L.G.; Leite, R.H.L.; Santos, F.K.G.; Medeiros, J.F.; Aroucha, E.M.M. Extended shelf life of melons using chitosan and graphene oxide based biodegradable bags. J. Food Process. Preserv. 2020, 44, e14871. [Google Scholar] [CrossRef]
  18. Xavier, T.D.N.; Oliveira, V.R.L.D.; Leite, R.H.D.L.; Aroucha, E.M.M.; Santos, F.K.G.D. Characterization of biopolymeric films based on cassava starch, chitosan and carnauba wax. Matéria 2020, 25, 12866. [Google Scholar]
  19. Kwanele, A.N.; Olaniyi, A.F. Effects of chitosan coatings fused with medicinal plant extracts on postharvest quality and storage stability of purple passion fruit (Passiflora edulis var. Ester). Food Qual. Saf. 2022, 6, fyac016. [Google Scholar] [CrossRef]
  20. Hosseini, S.F.; Mousavi, Z.; McClements, D.J. Beeswax: A review on the recent progress in the development of superhydrophobic films/coatings and their applications in fruits preservation. Food Chem. 2023, 424, 136404. [Google Scholar] [CrossRef]
  21. Aroucha, E.M.M.; Anastasiadi, M.; Collings, E.; Araujo, N.; Terry, L. Shelf life of green asparagus using cassava and chitosan blend coating. Braz. J. Food Technol. 2024, 27, e2022138. [Google Scholar] [CrossRef]
  22. Wang, W.; Qu, W.; Zhang, C.; Fan, Q.; Xue, W.; Wang, J.; Yu, M.; Wu, H.; Zhu, J. Graphene-Oxide-Infused Marine Biopolymers: Layer-by-Layer Assembled Nanocomposite Packaging for Prolonged Fresh-Cut Apple Preservation. ACS Sustain. Chem. Eng. 2024, 12, 3012–3024. [Google Scholar] [CrossRef]
  23. Sharma, S.; Biswal, B.K.; Kumari, D.; Bindra, P.; Kumar, S.; Stobdan, T.; Shanmugam, V. Ecofriendly Fruit Switches: Graphene Oxide-Based Wrapper for Programmed Fruit Preservative Delivery to Extend Shelf Life. ACS Appl. Mater. Interfaces 2018, 10, 18478–18488. [Google Scholar] [CrossRef]
  24. Liu, Z.; Zhao, J.; Lu, K.; Wang, Z.; Yin, L.; Zheng, H.; Wang, X.; Mao, L.; Xing, B. Biodegradation of graphene oxide by insects (Tenebrio molitor Larvae): Role of the gut microbiome and enzymes. Environ. Sci. Technol. 2022, 56, 16737–16747. [Google Scholar] [CrossRef] [PubMed]
  25. You, M.; Yan, X.; Xiang, D.; Linjie, L.; Zhao, Y.; Huahong, P.; Gong, W.; Yang, R.L.; Xiang, Z.; Li, G. Effect of 1-Methylcyclopropene combined with chitosan-coated film on storage quality of passion fruit. Sustain. Chem. Pharm. 2022, 27, 100679. [Google Scholar] [CrossRef]
  26. Chen, F.P.; Xu, X.Y.; Luo, Z.; Chen, Y.; Xu, Y.; Xiao, G. Effect of high O2 atmosphere packaging on postharvest quality of purple passion fruit (Passiflora edulis Sims). J. Food Process. Preserv. 2018, 42, e13749. [Google Scholar] [CrossRef]
  27. Pereira, G.V.S.; Neves, E.M.P.X.; Albuquerque, G.A.; Rêgo, J.A.R.; Cardoso, D.N.P.; Brasil, D.S.B.; Joele, M.R.S.P. Effect of the Mixture of Polymers on the Rheological and Technological Properties of Composite Films of Acoupa Weakfish (Cynoscion acoupa) and Cassava Starch (Manihot esculenta C.). Food Bioprocess Technol. 2021, 14, 1199–1215. [Google Scholar] [CrossRef]
  28. de Menezes, F.L.G. Avaliação de Filmes Biopoliméricos com Incorporação de Nanopartículas de tio2 e sua Aplicação na Conservação Pós-Colheita do Mamão. Ph.D. Thesis, Universidade Federal Rural do Semiarido, Mossoró, Brazil, 2021. [Google Scholar]
  29. Isermeyer, H. Eine einfache Methode zur Bestimmung der Bodenatmung und der Karbonate im Boden. Z. Pflanzenernährung Düngung Bodenkd. 1952, 56, 26–38. [Google Scholar] [CrossRef]
  30. Benassi, M.T.; Antunes, A.J.A. Comparison of meta-phosphoric and oxalic acids as extractant solutions for the determination of vitamin C in selected vegetables. Arq. Biol. Tecnol. 1988, 31, 507–513. [Google Scholar]
  31. Meda, A.; Lamien, C.E.; Romito, M.; Millogo, J.; Nacoulma, O.G. Determination of the total phenolic, flavonoid and proline contents in Burkina Fasan honey, as well as their radical scavenging activity. Food Chem. 2005, 91, 571–577. [Google Scholar] [CrossRef]
  32. Ferreira, D.F. Sisvar: A Guide for its Bootstrap procedures in multiple comparisons. Rev. Bras. Biom. 2019, 37, 529–535. [Google Scholar] [CrossRef]
  33. R Core Team. R: A Language and Environment for Statistical Computing; R Foundation for Statistical Computing: Vienna, Austria, 2018. [Google Scholar]
  34. Xiong, R.; Grant, A.M.; Ma, R.; Zhang, S.; Tsukruk, V.V. Naturally, derived biopolymer nanocomposites: Interfacial design, properties and emerging applications. Mater. Sci. Eng. 2018, 125, 1–41. [Google Scholar] [CrossRef]
  35. Han Lyn, F.; Chin Peng, T.; Ruzniza, M.Z.; Nur Hanani, Z.A. Effect of oxidation degrees of graphene oxide (GO) on the structure and physical properties of chitosan/GO composite films. Food Packag. Shelf Life 2019, 21, 100373. [Google Scholar] [CrossRef]
  36. Vilvert, J.C.; de Freitas, S.T.; Ferreira, M.A.R.; Costa, C.d.S.R.; Leite, R.H.d.L.; dos Santos, F.K.G.; Aroucha, E.M.M. Preservation of Quality and Bioactive Compounds in Mangoes Using Chitosan-Graphene-Oxide-Based Biodegradable Packaging. Horticulturae 2023, 9, 1145. [Google Scholar] [CrossRef]
  37. Han Lyn, F.; Tan, Q.P.; Zawawi, R.M.; Hanani, Z.A. Enhancing the mechanical and barrier properties of chitosan/graphene oxide composite films using trisodium citrate and sodium tripolyphosphate crosslinkers. J. Appl. Polym. Sci. 2021, 138, 50618. [Google Scholar] [CrossRef]
  38. De Menezes, F.L.G.; Leite, R.H.L.; Santos, F.K.G.; Aria, A.I.; Aroucha, E.M.M. TiO2 incorporated into a blend of biopolymeric matrices improves film properties and affects the postharvest conservation of papaya fruits under UV light. Food Chem. 2024, 433, 137387. [Google Scholar] [CrossRef] [PubMed]
  39. Dos Passos Braga, S.; Magnani, M.; Madruga, M.S.; Galvão, M.S.; Medeiros, L.L.; Batista, A.U.D.; Dias, R.T.A.; Fernandes, L.R.; Medeiros, E.S.; Souza, E.L. Characterization of edible coatings formulated with chitosan and Mentha essential oils and their use to preserve papaya (Carica papaya L.). Innov. Food Sci. Emerg. Technol. 2020, 65, 102472. [Google Scholar] [CrossRef]
  40. Chen, J.T.; Fu, Y.J.; An, Q.F.; Lo, S.C.; Zhong, Y.Z.; Hu, C.C.; Lee, K.R.; Lai, J.Y. Enhancing polymer/graphene oxide gas barrier film properties by introducing new crystals. Carbon 2014, 75, 443–451. [Google Scholar] [CrossRef]
  41. Pott, D.M.; Vallarino, J.G.; Osorio, S. Metabolite changes during postharvest storage: Effects on fruit quality traits. Metabolites 2020, 10, 187. [Google Scholar] [CrossRef] [PubMed]
  42. Thakur, R.; Pristijono, P.; Golding, J.B.; Stathopoulos, C.E.; Scarlett, C.J.; Bowyer, M.; Singh, S.P.; Vuong, Q.V. Development and application of rice starch based edible coating to improve the postharvest storage potential and quality of plum fruit (Prunus salicina). Sci. Hortic. 2018, 237, 59–66. [Google Scholar] [CrossRef]
  43. Zhang, R.; Lan, W.T.; Ding, J.; Ahmed, S.; Qin, W.; He, L. Efect of PLA/PBAT antibacterial flm on storage quality of passion fruit during the shelf life. Molecules 2019, 24, 3378. [Google Scholar] [CrossRef]
  44. Rinaldi, M.M.; Costa, A.M.; Faleiro, F.G.; Junqueira, N.T.V. Postharvest conservation of Passiflora setacea DC. fruits submitted to different sanitizers and storage temperatures. Braz. J. Food Technol. 2017, 20, 1–12. [Google Scholar] [CrossRef]
  45. Nguyen, H.T.; Boonyarithongchai, P.; Buanong, M.; Supapvanich, S.; WongsAree, C. Postharvest hot water treatment followed by chitosan-and κ-carrageenan-based composite coating induces the disease resistance and preserves the quality in dragon fruit (Hylocereus undatus). Int. J. Fruit Sci. 2020, 20, S2030–S2044. [Google Scholar] [CrossRef]
  46. Cai, M.; Zhong, H.Z.; Ma, Q.H.; Yang, K.; Sun, P.L. Physicochemical and microbial quality of Agaricus bisporus packaged in nano-SiO2/TiO2 loaded polyvinyl alcohol films. Food Control 2022, 131, 108452. [Google Scholar] [CrossRef]
  47. Fawole, O.A.; Opara, U.L. Stability of total phenolic concentration and antioxidant capacity of extracts from pomegranate coproducts subjected to in vitro digestion. BMC Complement. Altern. Med. 2016, 16, 1–10. [Google Scholar] [CrossRef] [PubMed]
  48. Dong, C.; Wang, Q.; Wang, Y.; Qin, L.; Shi, Y.; Wang, X.; Wang, R. NtDREB-1BL1 Enhances Carotenoid Biosynthesis by Regulating Phytoene Synthase in Nicotiana tabacum. Genes 2022, 13, 1134. [Google Scholar] [CrossRef] [PubMed]
  49. Mellidou, I.; Georgiadou, E.C.; Kaloudas, D.; Kalaitzis, P.; Fotopoulos, V.; Kanellis, A.K. Vitamins. In Postharvest Physiology and Biochemistry of Fruits and Vegetables; Yahia, E., Ed.; Academic Press: New York, NY, USA, 2019; pp. 359–384. [Google Scholar]
  50. Taiz, L.; Zeiger, E.; Moller, I.M.; Murphy, A. Fisiologia e Desenvolvimento Vegetal, 6th ed.; Artmed Editora: Porto Alegre, Brazil, 2017. [Google Scholar]
  51. Ren, Z.; Liu, Y.; Huang, J.; An, L.; Zhang, Y.; Yang, W.; Lei, T. Low oxygen concentration alleviates banana peel browning by inhibiting membrane lipid oxidation and polyphenol oxidase activity. Int. J. Food Sci. Technol. 2024, 59, 3350–3359. [Google Scholar] [CrossRef]
  52. Ali, S.; Akbar Anjum, M.; Nawaz, A.; Naz, S.; Ejaz, S.; Shahzad Saleem, M.; Ul Hasan, M. Effect of gum arabic coating on antioxidative enzyme activities and quality of apricot (Prunus armeniaca L.) fruit during ambient storage. J. Food Biochem. 2021, 45, e13656. [Google Scholar] [CrossRef] [PubMed]
  53. Baswal, A.K.; Dhaliwal, H.S.; Singh, Z.; Mahajan, B.V.C.; Kalia, A.; Gill, K.S. Influence of carboxy methylcellulose, chitosan and beeswax coatings on cold storage life and quality of Kinnow mandarin fruit. Sci. Hortic. 2020, 260, 108887. [Google Scholar] [CrossRef]
  54. Almeida, C.L.; Figueiredo, L.R.; Ribeiro, D.V.; Santos, A.M.; Souza, E.L.; Oliveira, K.A.; Oliveira, J.E.; Medeiros, E.S. Antifungal edible coatings for fruits based on zein and chitosan nanowhiskers. J. Food Sci. 2024, 89, 404–418. [Google Scholar] [CrossRef]
  55. Zárate-Moreno, J.C.; Escobar-Sierra, D.M.; Ríos-Estepa, R. Development and Evaluation of Chitosan-Based Food Coatings for Exotic Fruit Preservation. BioTech 2023, 12, 20. [Google Scholar] [CrossRef]
  56. Vanden braber, N.L.; Di giorgio, L.; Aminahuel, C.A.; Díaz vergara, L.I.; Martin costa, A.O.; Montenegro, M.A.; Mauri, A.N. Antifungal whey protein films activated with low quantities of water-soluble chitosan. Food Hydrocol. 2021, 110, 106156. [Google Scholar] [CrossRef]
  57. Wang, W.; Xue, C.; Mao, X. Chitosan: Structural modification, biological activity and application. Int. J. Biol. Macromol. 2020, 164, 4532–4546. [Google Scholar] [CrossRef] [PubMed]
Figure 1. Images of the chitosan + beeswax (A), chitosan + beeswax + graphene oxide (B), and chitosan (control) (C) films.
Figure 1. Images of the chitosan + beeswax (A), chitosan + beeswax + graphene oxide (B), and chitosan (control) (C) films.
Horticulturae 10 00756 g001
Figure 2. The respiration rate (mg.CO2.kg−1.H−1) of passion fruit for the control (no coating), chitosan coating supplemented with beeswax (BW), and chitosan coating supplemented with beeswax and graphene oxide (GO), under shelf-life conditions of 22 ± 1 °C and 70% ± 1% RH. The different colors represent the different treatments. The different letters indicate significant differences (p ≤ 0.05), according to ANOVA with Tukey’s test. The vertical error bars represent the standard deviation.
Figure 2. The respiration rate (mg.CO2.kg−1.H−1) of passion fruit for the control (no coating), chitosan coating supplemented with beeswax (BW), and chitosan coating supplemented with beeswax and graphene oxide (GO), under shelf-life conditions of 22 ± 1 °C and 70% ± 1% RH. The different colors represent the different treatments. The different letters indicate significant differences (p ≤ 0.05), according to ANOVA with Tukey’s test. The vertical error bars represent the standard deviation.
Horticulturae 10 00756 g002
Figure 3. Weight loss (%) of passion fruit for the control (no coating), chitosan coating supplemented with beeswax (BW), and chitosan coating supplemented with beeswax and graphene oxide (GO) under shelf-life conditions of 22 ± 1 °C and 70% ± 1% RH. The different capital letters indicate significant differences (p ≤ 0.05) according to ANOVA with Tukey’s test for storage days in the same treatment. The different lowercase letters (p ≤ 0.05), determined by ANOVA with Tukey’s test for the treatments at the same storage time, are significantly different. The vertical bars of different colors represent the average values for each treatment. The vertical error bars above the mean values represent their respective standard deviations.
Figure 3. Weight loss (%) of passion fruit for the control (no coating), chitosan coating supplemented with beeswax (BW), and chitosan coating supplemented with beeswax and graphene oxide (GO) under shelf-life conditions of 22 ± 1 °C and 70% ± 1% RH. The different capital letters indicate significant differences (p ≤ 0.05) according to ANOVA with Tukey’s test for storage days in the same treatment. The different lowercase letters (p ≤ 0.05), determined by ANOVA with Tukey’s test for the treatments at the same storage time, are significantly different. The vertical bars of different colors represent the average values for each treatment. The vertical error bars above the mean values represent their respective standard deviations.
Horticulturae 10 00756 g003
Figure 4. Variations in the skin color of passion fruit at the coordinates L (A), C (B), and h° (C), along with visual assessment (D) of passion fruit shelf life over 8 days under conditions of 22 ± 1 °C and 70% ± 1% RH, were evaluated under different treatments: control (no coating), chitosan coating with beeswax (BW), and chitosan coating with beeswax and graphene oxide (GO). The different capital letters indicate significant differences (p ≤ 0.05), as determined by ANOVA with Tukey’s test, across storage days within the same treatment. The different lowercase letters indicate significant differences (p ≤ 0.05), as determined by ANOVA with Tukey’s test, across different treatments at the same storage time. Vertical bars of different colors represent average values for each treatment, and the vertical error bars above the mean values represent their respective standard deviations.
Figure 4. Variations in the skin color of passion fruit at the coordinates L (A), C (B), and h° (C), along with visual assessment (D) of passion fruit shelf life over 8 days under conditions of 22 ± 1 °C and 70% ± 1% RH, were evaluated under different treatments: control (no coating), chitosan coating with beeswax (BW), and chitosan coating with beeswax and graphene oxide (GO). The different capital letters indicate significant differences (p ≤ 0.05), as determined by ANOVA with Tukey’s test, across storage days within the same treatment. The different lowercase letters indicate significant differences (p ≤ 0.05), as determined by ANOVA with Tukey’s test, across different treatments at the same storage time. Vertical bars of different colors represent average values for each treatment, and the vertical error bars above the mean values represent their respective standard deviations.
Horticulturae 10 00756 g004
Figure 5. Ascorbic acid content (A), total phenolic compound content (B), and antioxidant capacity (IC50) (C) of passion fruit pulp for the control (no coating), chitosan coating with beeswax (BW), and chitosan coating with beeswax and graphene oxide (GO) under shelf-life conditions of 22 ± 1 °C and 70 ± 1% RH. The different capital letters indicate significant differences (p ≤ 0.05) according to ANOVA with Tukey’s test for storage days in the same treatment. The different lowercase letters (p ≤ 0.05), determined by ANOVA with Tukey’s test for the treatments at the same storage time, are significantly different. The vertical bars of different colors represent the average values for each treatment. The vertical error bars above the mean values represent their respective standard deviations.
Figure 5. Ascorbic acid content (A), total phenolic compound content (B), and antioxidant capacity (IC50) (C) of passion fruit pulp for the control (no coating), chitosan coating with beeswax (BW), and chitosan coating with beeswax and graphene oxide (GO) under shelf-life conditions of 22 ± 1 °C and 70 ± 1% RH. The different capital letters indicate significant differences (p ≤ 0.05) according to ANOVA with Tukey’s test for storage days in the same treatment. The different lowercase letters (p ≤ 0.05), determined by ANOVA with Tukey’s test for the treatments at the same storage time, are significantly different. The vertical bars of different colors represent the average values for each treatment. The vertical error bars above the mean values represent their respective standard deviations.
Horticulturae 10 00756 g005
Figure 6. Pearson correlation coefficient between the main components and response variables (A), biplot based on the analysis of the main components of the quality parameters of the passion fruits (B), and score graph (C) for the control (no coating), chitosan coating with added beeswax (BW), and chitosan coating with added beeswax and graphene oxide (GO), under shelf-life conditions of 22 ± 1 °C and 70 ± 1% RH.
Figure 6. Pearson correlation coefficient between the main components and response variables (A), biplot based on the analysis of the main components of the quality parameters of the passion fruits (B), and score graph (C) for the control (no coating), chitosan coating with added beeswax (BW), and chitosan coating with added beeswax and graphene oxide (GO), under shelf-life conditions of 22 ± 1 °C and 70 ± 1% RH.
Horticulturae 10 00756 g006
Figure 7. Sensory analysis of passion fruit subjected to the control (no coating), chitosan coating supplemented with beeswax (BW), and chitosan coating supplemented with beeswax and graphene oxide (GO) under shelf-life conditions of 22 ± 1 °C and 70 ± 1% RH. Acceptance (A): 1 = Excellent (fresh) to 4 = Unacceptable (stale and/or moldy, severe dehydration); Odor (B): 1 = Excellent (no unpleasant odor) to 4 = Unacceptable (moderate or severe unpleasant odor); Occurrence of fungus (C): 1 = Excellent (no fungus) to 4 = Unacceptable (severe fungus affecting more than 50% of the fruit); Adhesion of the film (D): 1 = Excellent (no peeling) to 4 = Unacceptable (with intense peeling affecting more than 50% of the fruit). The different capital letters indicate significant differences (p ≤ 0.05), according to ANOVA with Tukey’s test, for storage days in the same treatment. The different lowercase letters (p ≤ 0.05), determined by ANOVA with Tukey’s test for the treatments at the same storage time, are significantly different. The vertical bars of different colors represent the average values for each treatment. The vertical error bars above the mean values represent their respective standard deviations.
Figure 7. Sensory analysis of passion fruit subjected to the control (no coating), chitosan coating supplemented with beeswax (BW), and chitosan coating supplemented with beeswax and graphene oxide (GO) under shelf-life conditions of 22 ± 1 °C and 70 ± 1% RH. Acceptance (A): 1 = Excellent (fresh) to 4 = Unacceptable (stale and/or moldy, severe dehydration); Odor (B): 1 = Excellent (no unpleasant odor) to 4 = Unacceptable (moderate or severe unpleasant odor); Occurrence of fungus (C): 1 = Excellent (no fungus) to 4 = Unacceptable (severe fungus affecting more than 50% of the fruit); Adhesion of the film (D): 1 = Excellent (no peeling) to 4 = Unacceptable (with intense peeling affecting more than 50% of the fruit). The different capital letters indicate significant differences (p ≤ 0.05), according to ANOVA with Tukey’s test, for storage days in the same treatment. The different lowercase letters (p ≤ 0.05), determined by ANOVA with Tukey’s test for the treatments at the same storage time, are significantly different. The vertical bars of different colors represent the average values for each treatment. The vertical error bars above the mean values represent their respective standard deviations.
Horticulturae 10 00756 g007
Table 1. The solubility, water vapor permeability (WVP), color, and opacity of chitosan-based films with the addition of beeswax and graphene oxide.
Table 1. The solubility, water vapor permeability (WVP), color, and opacity of chitosan-based films with the addition of beeswax and graphene oxide.
FilmsSolubility (%)WVP (g.mm/(h.kPa.m2))a*b*L*Opacity
(%)
CH + BW Horticulturae 10 00756 i00116.83 ± 1.40 ab15.55 ± 1.70 b5.50 ± 0.10 a17.70 ± 1.00 b78.30 ± 0.30 a48.02 ± 1.10 ab
CH + BW + GO Horticulturae 10 00756 i00212.85 ± 1.50 b13.30 ± 1.00 c4.60 ± 0.10 b18.73 ± 0.10 ab71.43 ± 2.30 b49.37 ± 1.50 a
CH Horticulturae 10 00756 i00319.79 ± 1.30 a19.05 ± 1.00 a5.36 ± 0.06 a21.0 ± 0.50 a76.93 ± 0.30 a45.27 ± 1.40 b
The results are expressed as the mean ± standard deviation. Different letters indicate significant differences (p ≤ 0.05) according to ANOVA with Tukey’s test. CH was considered a control. Degrees of freedom = 2.
Table 2. Quality parameters (SS, TA, and SS/TA) of passion fruit in the control (no coating), chitosan coating supplemented with beeswax (BW), and chitosan coating supplemented with beeswax and graphene oxide (GO) treatments under shelf-life conditions of 22 ± 1 °C and 70% ± 1% RH.
Table 2. Quality parameters (SS, TA, and SS/TA) of passion fruit in the control (no coating), chitosan coating supplemented with beeswax (BW), and chitosan coating supplemented with beeswax and graphene oxide (GO) treatments under shelf-life conditions of 22 ± 1 °C and 70% ± 1% RH.
VariablesTreatmentsShelf Life (Days)
048
SS (°Brix)
CH + BW15.50 ± 1.10 aA12.92 ± 0.90 aB10.96 ± 0.10 aC
CH + BW + GO15.50 ± 1.10 aA12.97 ± 0.07 aB11.32 ± 0.20 aC
Control15.50 ± 1.10 aA12.05 ± 1.60 bB9.70 ± 0.30 bC
TA (% citric acid)
CH + BW5.32 ± 0.30 aA4.67 ± 0.14 abB3.54 ± 0.14 bC
CH + BW + GO5.32 ± 0.30 aA4.75 ± 0.14 aB4.18 ± 0.02 aC
Control5.32 ± 0.30 aA4.46 ± 0.08 bB3.17 ± 0.06 bC
Ratio (SS/TA)
CH + BW2.90 ± 0.10 aB2.72 ± 0.10 aB3.12 ± 0.30 aA
CH + BW + GO2.90 ± 0.10 aA2.77 ± 0.10 aA2.70 ± 0.10 bA
Control2.90 ± 0.10 aAB2.72 ± 0.40 aB3.05 ± 0.20 aA
The results are expressed as the mean ± standard deviation. Different capital letters indicate significant differences (p ≤ 0.05) according to ANOVA with Tukey’s test for storage days in the same treatment. Different lowercase letters indicate significant differences (p ≤ 0.05), according to ANOVA with Tukey’s test, for the treatments at the same storage time.
Disclaimer/Publisher’s Note: The statements, opinions and data contained in all publications are solely those of the individual author(s) and contributor(s) and not of MDPI and/or the editor(s). MDPI and/or the editor(s) disclaim responsibility for any injury to people or property resulting from any ideas, methods, instructions or products referred to in the content.

Share and Cite

MDPI and ACS Style

da Silva, W.A.O.; Aroucha, E.M.M.; de Araújo, N.O.; Santos, F.K.G.d.; de Medeiros, J.F.; de Sousa, A.L.V.; de Oliveira Queiroz, L.P.; de Lima Leite, R.H. The Shelf Life of Yellow Passion Fruit with an Edible Biocomposite Coating Based on Chitosan, Graphene Oxide Nanoparticles, and Beeswax. Horticulturae 2024, 10, 756. https://doi.org/10.3390/horticulturae10070756

AMA Style

da Silva WAO, Aroucha EMM, de Araújo NO, Santos FKGd, de Medeiros JF, de Sousa ALV, de Oliveira Queiroz LP, de Lima Leite RH. The Shelf Life of Yellow Passion Fruit with an Edible Biocomposite Coating Based on Chitosan, Graphene Oxide Nanoparticles, and Beeswax. Horticulturae. 2024; 10(7):756. https://doi.org/10.3390/horticulturae10070756

Chicago/Turabian Style

da Silva, Wedson Aleff Oliveira, Edna Maria Mendes Aroucha, Nícolas Oliveira de Araújo, Francisco Klebson Gomes dos Santos, José Francismar de Medeiros, Arthur Lira Vasconcelos de Sousa, Luiz Paulo de Oliveira Queiroz, and Ricardo Henrique de Lima Leite. 2024. "The Shelf Life of Yellow Passion Fruit with an Edible Biocomposite Coating Based on Chitosan, Graphene Oxide Nanoparticles, and Beeswax" Horticulturae 10, no. 7: 756. https://doi.org/10.3390/horticulturae10070756

APA Style

da Silva, W. A. O., Aroucha, E. M. M., de Araújo, N. O., Santos, F. K. G. d., de Medeiros, J. F., de Sousa, A. L. V., de Oliveira Queiroz, L. P., & de Lima Leite, R. H. (2024). The Shelf Life of Yellow Passion Fruit with an Edible Biocomposite Coating Based on Chitosan, Graphene Oxide Nanoparticles, and Beeswax. Horticulturae, 10(7), 756. https://doi.org/10.3390/horticulturae10070756

Note that from the first issue of 2016, this journal uses article numbers instead of page numbers. See further details here.

Article Metrics

Back to TopTop