Next Article in Journal
Bacillus- and Lactobacillus-Based Dietary Synbiotics Are Associated with Shifts in the Oropharyngeal, Proximal Colonic, and Vaginal Microbiomes of Korean Native Black Pigs
Previous Article in Journal
Total Lipids and Fatty Acids in Major New Zealand Grape Varieties during Ripening, Prolonged Pomace Contacts and Ethanolic Extractions Mimicking Fermentation
 
 
Font Type:
Arial Georgia Verdana
Font Size:
Aa Aa Aa
Line Spacing:
Column Width:
Background:
Article

Optimization of the Production and Characterization of an Antifungal Protein by Bacillus velezensis Strain NT35 and Its Antifungal Activity against Ilyonectria robusta Causing Ginseng Rusty Root Rot

1
College of Plant Protection, Jilin Agricultural University, Changchun 130118, China
2
College of Life Science, Jilin Agricultural University, Changchun 130118, China
*
Authors to whom correspondence should be addressed.
These authors contributed equally to this work.
Fermentation 2023, 9(4), 358; https://doi.org/10.3390/fermentation9040358
Submission received: 25 February 2023 / Revised: 25 March 2023 / Accepted: 29 March 2023 / Published: 5 April 2023
(This article belongs to the Section Microbial Metabolism, Physiology & Genetics)

Abstract

A biocontrol Bacillus velezensis strain, NT35, was isolated from the rhizosphere soil of ginseng, and its sterile filtrate was obtained through a 0.22 μm filter which had a significant inhibitory effect against Ilyonectria robusta, which causes rusty root rot in Panax ginseng. In order to obtain the best sterile filtrate, the medium fermentation conditions of the strain NT35 were optimized using response surface methodology (RSM), and the best composition was obtained. Therefore, the fermentation medium was composed of yeast extract powder 2.5%, cornmeal 1.5%, K2HPO4 1.5%, and (NH4)2SO4 2.5%. The optimal inoculum amount was 6%, at an initial pH value of 7.0 and culturing at 34 °C at 180 rpm. The antifungal protein 1-4-2F was obtained through precipitation via 30% (NH4)2SO4 precipitation, desalting by Sephadex G-25, ion-exchange chromatography, and gel filtration chromatography. Tricine-SDS-PAGE showed that the purified protein had a relative molecular weight of approximately 6.5 kDa. The protein 1-4-2F was relatively stable and had better antifungal activity at pH 4–10 and 20–100 °C under ultraviolet irradiation of 30 W. The amino acid sequence of protein 1-4-2F was obtained using mass spectrometry, and had 100% similarity to a hypothetical protein from B. velezensis YAU B9601-Y2 (Accession No: AFJ62117). Its molecular weight was 10.176 kDa, the isoelectric point was 9.08, and its sequence coverage reached 49%. The EC50 value of the protein 1-4-2F against I. robusta was 1.519 μg·mL−1. The mycelia morphology of I. robusta changed significantly after treatment with antifungal protein under microscopic observation; the branches of the mycelia increased, distorted, partially swelled into a spherical or elliptical shape, and even ruptured; and the cells became vacuoles.

1. Introduction

Ginseng (Panax ginseng C. A. Mey) is a perennial herbal medicinal plant belonging to the Araliaceae family and the Panax genus [1]. In China, more and more ginseng has been planted, but the occurrence of ginseng diseases has also attracted more and more attention. Among them, Ilyonectria robusta is considered to be the main cause of ginseng rusty root rot [2]. In order to control plant diseases, biological control has become the first choice and a research hotspot to reduce the application of chemical fungicides and promote the healthy development of agriculture. Many beneficial bacterial and fungal agents have been employed for biocontrol purposes. It has been found that some antagonistic microorganisms have good inhibitory effects on plant pathogens, so they are used for biological control. Among these, Bacillus is widely used as a biological control bacterium, and is considered to be the main source of secondary metabolic active products, which are easy to separate and purify [3,4,5].
Optimization fermentation conditions are obtained by manipulating the nutritional and physical environment around the secondary metabolism produced by microorganisms, therefore improving the content and product activity of a biocontrol strain. A study showed that by using a mixed fermentation process and optimizing the pH value, sugar content, and fermentation conditions, the yield of Lactobacillus rhamnosus was increased by 27.5%, and the titer of L-lactic acid produced by Bacillus coagulans and L. rhamnosus reached 121 g·L1and 2.18 g·L1 [6]. A study isolated a Bacillus velezensis strain DB219 with high milk-clotting activity (MCA) and low proteolytic activity (PA), and obtained the optimal fermentation conditions through single-factor experiments, the Plackett–Burman (PB) test, and Response Surface Methodology (RSM) analysis [7]. Another study pointed out that the antifungal lipopeptide iturin can be extracted from the fermentation broth of Bacillus sp. BH072, so the production and antifungal activity of iturin can be improved by optimizing the fermentation conditions through RSM [8]. Wang et al. studied the ability of the Paenibacillus polymyxa Cp-S316 medium to produce antifungal active substances, so fractional factorial design and RSM were used to optimize the medium and increase the production [9]. These findings laid an important foundation for subsequent research on the optimization of fermentation media for biological control strains.
Bacillus has a variety of biocontrol effects due to the large number of Bacillus species; they can produce different metabolites [10]. Wu et al. studied the isolation and purification of a novel antifungal protein (MD) from Bacillus sp. strain MD-5 by ion-exchange chromatography and high-performance liquid chromatography (HPLC), which can inhibit the growth of Staphylococcus aureus [11]. In another study, alkaline protease was isolated and purified from Bacillus sp. ZJ1502, and its enzymatic properties were studied, which laid a foundation for further understanding of the enzymatic properties of Bacillus sp. [12]. A novel bacteriocin, LF-BZ532, was produced by Lactobacillus fermentum BZ532 and, through separation and purification, it demonstrated a broad-spectrum antifungal effect on both Gram-positive and Gram-negative bacteria, as well as strong thermal stability and acid–base stability [13]. A study showed that Bacillus halotolerans CT2 isolated from Tunisian potato can produce a protease (prot CT2) with increased yield, and the protease was purified by methods such as gel filtration chromatography, showing high stability [14]. Different biocontrol bacteria can isolate various antifungal products through different isolation methods to inhibit different plant diseases.
A study found that two B. velezensis samples isolated from raw clover and orange blossom honey exhibited strong antifungal activity. The main antifungal compound produced by B. velezensis was identified as iturin A, a lipopeptide with broad-spectrum antifungal activity [15]. Another study aimed to study the separation and purification of the culture supernatant of the B. velezensis AR1 strain by column chromatography and a Strata SI-1 column. The purified metabolite which was obtained was identified as 5-N-tyrosinylornithine, which has antifungal activity [16]. Strains from different sources of the same species can produce different antifungal substances, such as iturin A, monomeric compounds, etc., to inhibit the growth of different pathogenic fungi, but no research has been conducted on the production of antifungal proteins to inhibit the growth of I. robusta. Therefore, previous studies can provide a theoretical basis for further research on obtaining antifungal substances from B. velezensis. The objective of this study was to manipulate the growth conditions and nutritional and physical factors to optimize the media and fermentation conditions of B. velezensis NT35, and to further isolate, purify, and characterize the antifungal protein from sterile filtrate.

2. Materials and Methods

2.1. Source of Culture Strain

B. velezensis strain NT35 was isolated from ginseng rhizosphere soil, purified on nutrient agar (NA) medium, and stored at 4 °C. The I. robusta strain CBLJ-3 was cultured and preserved on a potato dextrose agar (PDA) medium. All strains were provided and preserved by the Laboratory of Integrated Management of Plant Diseases, Jilin Agricultural University (Changchun, China).
The basic fermentation medium was composed of NaCl (5 g·L−1), tryptone (10 g·L−1), and yeast extract (10 g·L−1) at pH 7.0. The optimized medium was changed based on the composition of the carbon source (yeast extract), nitrogen source (tryptone), inorganic salt (NaCl), and trace elements of the Luria–Bertani (LB) medium.

2.2. Determination Growth Curve and Antifungal Activity of Strain NT35

Strain NT35 was inoculated into 250 mL of LB medium and grown at 28 °C and 160 rpm to make a fermentation seed liquid. The seed liquid (4%) was inoculated into 50 mL of basic fermentation medium. The optical density at 600 nm (OD600) of the culture was measured at 160 rpm and 28 °C each hour.
The antifungal activity was measured via the Oxford cup method. A sterile Oxford cup was placed on a PDA plate mixed with I. robusta, and 200 µL of sterile fermentation broth of strain NT35 was added to the Oxford cup and incubated at 25 °C for 5–6 days.

2.3. Single-Factor Optimization

A total of nine carbon sources, eight nitrogen sources, four inorganic salts, and five trace elements were used to replace the elements of the initial LB medium, while the concentrations of the other components remained unchanged. Based on the LB medium, different carbon sources (cornmeal, sucrose, sodium acetate, soluble starch, sodium citrate, maltose, lactose, glucose, and maltose) with a concentration of 10 g·L−1 were chosen to replace the yeast extract of the LB medium. Similarly, different nitrogen sources (beef extract, (NH4)2SO4, soybean flour, NaNO3, NH4Cl, urea, KNO3, and bran) with a concentration of 10 g·L−1 were used to replace the tryptone of the LB medium. Different inorganic salts (K2HPO4, Na2CO3, CaCl2, and KCl) with a concentration of 5 g·L−1 and different trace elements (FeSO4, KI, CuSO4, H3BO3 and ZnSO4) with a concentration of 5 g·L−1 were also used. The blank control was the initial LB medium. The effects of each replacement material on the growth of the strain and the antagonistic effect of the cell-free fermentation filtrate of the strain NT35 were determined via both OD600 and Oxford cup after being cultured at 28 °C and 160 rpm for 72 h.

2.4. Response Surface Methodology (RSM)

2.4.1. Plackett–Burman (PB) Test Design

Design Expert Version 8.0 software was used to create a shake-flask fermentation experiment design based on the single-factor experiment result, including 11 factors (n = 11), of which 9 were main factors and 2 were virtual. The key factors affecting the OD600 value of the fermentation products were screened with respect to the following nine factors: (A) cornmeal, 10–20 g·L−1; (B) maltose, 10–20 g·L−1; (C) glucose, 10–20 g·L−1; (D) (NH4)2SO4, 15–35 g·L−1; (E) beef extract, 15–35 g·L−1; (F) yeast extract powder, 15–35 g·L−1; (G) K2HPO4, 10–20 g·L−1; (H) KCl, 10–20 g·L−1; and (I) Na2CO3, 10–20 g·L−1. Two virtual factors, K and L, were added to estimate the experimental error. Each factor in the experiment fell between 1 (high level, the maximum value in the range) and –1 (low level, the minimum value in the range). Each experiment was performed in triplicate.

2.4.2. Steepest Climbing Test Design

According to the results of the PB test, four key factors that had a significant impact on the antifungal effect were comprehensively screened: (A) yeast extract, (B) cornmeal, (C) K2HPO4, and (D) (NH4)2SO4. The steepest slope test was used to explore the dosage range of the four factors obtained from the screening, and an appropriate step size was determined and selected to provide a basis for the subsequent design of the response surface test. Each experiment was repeated three times.

2.4.3. Optimization via RSM

According to the results of the PB test and the steepest climbing test, the four factors (A, B, C, and D) were employed as variables, the concentration was optimized as the center point, and the antifungal effect was the response value; then, four factors and three levels were designed. Each group of tests was repeated three times.

2.5. Fermentation Conditions

Four condition factors were chosen to be improved by changing a certain condition, while the other conditions remained unchanged; then, the mixture was cultured for 12 h. The optimal concentrations of seed liquid were inoculated into the medium at 2%, 4%, 6%, 8%, and 10% (v/v). The shaking speeds were set to 160, 170, 180, 190, and 200 rpm. The initial pH values of the medium (before sterilization) were 5.0, 6.0, 7.0, 8.0, and 9.0. The culture temperatures were 25 °C, 28 °C, 31 °C, 34 °C, and 37 °C. Both the OD600 value and antifungal activity were measured, and all condition factors were tested in triplicate.

2.6. Extraction of Crude Proteins

The strain NT35 was incubated under optimal fermentation conditions for 72 h, and the fermentation filtrate was centrifuged at 10,000× g for 20 min at 4 °C to remove bacteria, then filtered through a 0.22 μm filter to obtain sterile filtrate. (NH4)2SO4, with saturations of 30%, 40%, 50%, and 60%, was slowly added to the sterile filtrate and incubated overnight at 4 °C to precipitate proteins. The sterile filtrates of different treatments were centrifuged at 8000× g for 15 min at 4 °C, and the precipitate obtained after centrifugation was dissolved with a certain proportion of deionized water (sterile filtrate volume/deionized water = 10:1), and dialysis was carried out using a bag with a cutoff component of 8–14 kDa in deionized water overnight at 4 °C. Then, we observed whether BaCl2 was added to the dialysate to determine whether there was precipitation, and judged whether the dialysis was complete. After the dialysis was completed, the solution in the dialysis zone was vacuum freeze-dried for 72 h to obtain crude protein for the next step of the analysis [17].

2.7. Evaluation of Antifungal Activity of the Proteins

An 80 μL conidia suspension (105 spores·mL−1) of I. robusta strain CBLJ-3 was uniformly spread on a PDA medium plate. Six holes were punched in the culture medium with a hole punch; then, proteins precipitated with different concentrations of (NH4)2SO4 were added, as well as the supernatant and sterile filtrate as blank controls. The supernatant refers to the liquid obtained after the fermentation filtrate, without adding (NH4)2SO4, was centrifuged at 4 °C to remove precipitate. The plates were incubated at 25 °C for four days to determine the antifungal activity at each concentration. All of the assays were tested in triplicate.

2.8. Production and Characterization of Antifungal Proteins

The protein was concentrated using a vacuum freeze-drier (Beijing Songyuan Huaxing Technology Develop Co., Ltd., Beijing, China) and dissolved in 20 mM Tris-HCl of pH = 8.0 for a concentration of 10 mg·mL−1. The proteins without cells, referred to as “crude protein”, were obtained through a 0.22 μm filter. We used a Sephadex G-25 column (GE, 5 mL, GE Healthcare, Chicago, II, USA) for further desalination. The column was thoroughly equilibrated with Tris-HCl first, and then a 2 mL sample was loaded. The elution flow rate was 2 mL·min−1, and each absorption peak of the specific wavelength of 280 nm for proteins was collected. The antifungal activity of each peak was determined based on the inhibition zone via the agar punching method, and a large number of peaks with antifungal activity were collected for further separation.
The protein collected in the previous step was lyophilized and dissolved in 20 mM Tris-HCl of pH = 8.0 for a protein concentration of 8 mg·mL−1. After using buffer A to equilibrate the weak anion-exchange column (DEAE-Sepharose Fast Flow Column, GE Healthcare, Chicago, IL, USA) with 5 column volumes, a 2 mL sample was loaded and the equilibrium and elution flow rates were kept constant at 2 mL·min−1. After loading the sample, it was first eluted with 20 mM Tris-HCl for 5 times the column volume, and then (0–1M) NaCl was used to linearly elute the protein for 10 times the column volume. The eluted peaks were collected and dialyzed against Tris-HCl at 4 °C. The antifungal activity of each elution peak was determined, and a large number of elution peak proteins with antifungal activity were collected.
The protein with antifungal activity, which was collected by the process described above, was filtered through a 0.22 μm filter. After using 20 mM Tris-HCl of pH = 8.0 to equilibrate the Gel Filtration Chromatography Exchange Column (Superdex 75 Increase 193 10/300 GL, GE Healthcare, Chicago, II, USA) with 5 times the column volume, a 1 mL sample was loaded, and the equilibrium and elution flow rates were kept constant at 0.75 mL·min−1. The eluted peaks were collected and dialyzed against Tris-HCl at 4 °C. After lyophilization, the antifungal activity of each peak was measured, and the active peak protein was prepared and collected on a large scale.
The purity of the target protein was determined via N-(2-Hydroxy-1,1-bis(hydroxymethyl) ethyl) glycine–sodium dodecyl sulfate polyacrylamide gel electrophoresis (Tricine-SDS-PAGE) [18]. Electrophoresis was accomplished with a 4% stacking gel, 10% interlayer gel, and 6.5% running gel. Approximately 10 µL of purified protein was run along with standard molecular weight markers. The dragging process of loaded protein started with an initial current of 15 mA and a constant current of 30 mA for 30 min. After electrophoresis, the gel was stained with Coomassie Brilliant Blue R-250 (CBB R-250) and destained in glacial acetic acid. All of the above procedures were repeated three times.
The electrophoretic band was cut out, and the target proteins were identified via liquid chromatography tandem mass spectrometry (LC-MS/MS) (Beijing Protein Innovation CO., Ltd., Beijing, China) analysis.
The cut glue was placed into a clean 1.5 mL centrifuge tube, 1 mL double distilled water (ddH2O) was added to the tube. Then, the mixture was washed for 10 min, the water was removed, and the process was repeated once. Next, 1 mL of Kodye destaining solution was added to the tube, the mixture was washed for 10 min, and the destaining solution was removed; this was repeated once (configuration of in-gel digestion and destaining solution: 50% acetonitrile, 25 mM NH4HCO3). Finally, acetonitrile was added for dehydration until the colloidal particles were completely white, and the acetonitrile was vacuum-dried. After draining, 10 mM DL-Dithiothreitol (DTT) was added to allow the particles to absorb completely, and they were placed in a 56-degree water bath and incubated for 1 h. After incubation, the excess DTT liquid was removed, 55 mM IAM was added, and the sample was incubated at room temperature in the dark for 45 min. After incubation, excess iodoacetamide (IAM) liquid was removed, 25 mM NH4HCO3 was added, and the sample was washed for 10 min. This procedure was repeated once. The sample was centrifuged to remove NH4HCO3, destaining solution was added to be washed for 10 min, and this was repeated once. Acetonitrile was dehydrated until the colloidal particles completely turned white, and the acetonitrile was vacuum-dried. Next, 1 μg·μL−1 enzyme stock solution was diluted 15 times with 25 mM NH4HCO3 and added to the dehydrated micelles to allow the micelles to fully absorb. Then, 25 mM NH4HCO3 was added to cover the micelles, and they were placed in a 37 °C water bath to digest overnight. After overnight, digestion was terminated by adding formic acid (FA) at a final concentration of 0.1%. A 10 μL sample was placed on the machine and a mass spectrometer was used for detection. The dried peptides were reconstituted with 0.1% FA solution and separated, and the separated peptides were ionized with an electrospray ionization (ESI) ion source, then entered into a Q Exactive mass spectrometer (Thermo Fisher Scientific, Waltham, MA, USA) for Data Independent Acquisition (DIA) mode detection. Finally, Mascot Version 2.3.01 was used to search the Uniprot_human (Number of sequences: 172,097) database in order to identify and analyze the protein.

2.9. Determination of Antifungal Stability

The antifungal protein was subjected to temperature stability studies. Tris-HCl was added to dilute the antifungal protein to 1 mg·mL−1. The active protein solutions were kept at 40 °C, 60 °C, 80 °C, 100 °C, and 120 °C (0.1 MPa) for 30 min to evaluate the temperature stability.
The pH stability was determined by adding HCl to cause the pH value of the antifungal protein solution to reach 2.0, 4.0, and 6.0; then, NaOH was added so that its pH value reached 8.0, 10.0, and 12.0. After incubating overnight at 4 °C, the pH value of the protein was adjusted back to neutral. Its antifungal activity was detected by comparing the blank control and the antifungal protein by pH treatment.
The antifungal protein was treated with ultraviolet irradiation for 12 h to test the ultraviolet stability, and was then mixed with chloroform in an equal volume and shaken for 60 min. After centrifugation, the layers were separated and the aqueous phase was taken. The samples were left to stand overnight at 4 °C to volatilize residual chloroform. The activities of the antifungal proteins were detected.
Proteinase K was added to the antifungal protein solution so that the final concentration was 100 micrograms, and the mixed samples were incubated at 37 °C for 60 min to test the enzyme stability.
Three replicates were set for each stability experiment, diameters of the inhibition zones were measured for estimating antifungal activity, and the least significant difference (LSD) method was used for analysis in the data processing system (DPS).

2.10. Toxicity Test

The toxicity of the purified proteins on I. robusta was tested using the mycelium growth rate method. The PDA medium was melted at high temperature and cooled to 30–40 °C, and the antifungal protein was diluted to a certain concentration and then added to the melted medium for final concentrations of 1 mg·L−1, 10−1 mg·L−1, 10−2 mg·L−1, 10−3 mg·L−1, 10−4 mg·L−1, and 10−5 mg·L−1. Then, the samples added to a sterile petri dish and cultured in a PDA dish without protein as a blank control. A fungal cake with a diameter of 8 mm was cut from the freshly incubated I. robusta strain and placed in the center of the plate. After the agar disks were inverted on the prepared PDA disks, they were cultured at 25 °C until the colony diameter in the control group reached 60 mm. Each experiment was repeated three times. The colony diameter was measured using the crossing method, and the inhibition rate was calculated based on the percentage change of the colony diameter compared to the control group. Finally, the EC50 value was calculated based on the inhibition rate and the corresponding protein concentrations [19].
Microstructure changes in the purified antifungal protein against the ginseng rust rot pathogen were observed via an ultra-depth of field microscope (Keyence Co., Ltd., Shanghai, China). The PDA solid medium was melted at a high temperature, 40 μL of the antifungal protein to be tested was added to the hole using a hole punch (diameter: 6 mm), and the I. robusta cake was inserted on the right side and cultured at 28 °C for 7 days. The inhibition zone interface medium in the plate was cut and made into a temporary piece, and the effect of the antifungal protein on rust hyphae was observed under an ultra-depth of field microscope at 500× magnification.

3. Results

3.1. Growth Curve Assay of Strain NT35

The data show that the logarithmic growth phase of the biocontrol bacterium strain NT35 formed 3–13 h after inoculation (Figure 1). During this period, the growth activity of the strain was stronger, and it was suitable for seed liquid. The concentration was highest with 108 cfu·mL−1 at 9 h; therefore, 9 h was determined as the seed fluid time in the next fermentation culture.

3.2. Effect of Different Nutrient Sources on Antifungal Metabolite Products and Biomass

Among the nine carbon sources (cornmeal, sucrose, sodium acetate, soluble starch, sodium citrate, maltose, lactose, glucose, and maltose) with a concentration of 10 g·L−1, the antagonistic effect on I. robusta was highest when using cornmeal, for which the inhibition zone was 19.6 mm. We also found that this was 5.16 mm higher than the control. According to the growth of the bacterial cells, it was highest when using cornmeal (significantly higher than that of the control). Comprehensive consideration shows that cornmeal was a candidate carbon source for the further fermentation optimization of biocontrol strain NT35 (Figure 2A).
For the eight nitrogen sources (beef extract, (NH4)2SO4, soybean flour, NaNO3, NH4Cl, urea, KNO3, and bran) with a concentration of 10 g·L−1, the antagonistic effect of beef extract was the highest, for which the inhibition zone was 16 mm, followed by (NH4)2SO4 at 15.75 mm. According to the growth of the bacterium cells, bran and soybean flour were the best, but these two nitrogen sources need to be boiled, filtered, and centrifuged in the process of use, which is not convenient for practical application. Secondly, according to the growth of the bacterial cells, beef extract showed better results than the blank control. However, beef extract is both a carbon source and a nitrogen source, which may lead to inaccurate experimental results, so it is not suitable as a nitrogen source. The bacterial growth of (NH4)2SO4 was slightly higher than the blank control; (NH4)2SO4 is an ammonium salt required by the culture medium. Therefore, tryptone in the basic medium was finally replaced and screened using (NH4)2SO4, which is more suitable as a nitrogen source. Therefore, the combination of an inorganic nitrogen source (NH4)2SO4 and an organic nitrogen source yeast extract powder was selected as the nitrogen source for the next test (Figure 2B).
For the four inorganic salts (K2HPO4, Na2CO3, CaCl2, and KCl) with a concentration of 5 g·L−1, the bacterial growth with Na2CO3, K2HPO4, KCl, and CaCl2 was better than that of the control; however, the antifungal effect of K2HPO4 was better than that of blank control, and the antifungal effect of the other three inorganic salts was not as good as that of blank control. The antagonistic effect of K2HPO4 was the highest, for which the inhibition zone was 34.37 mm, followed by the blank control at 17.78 mm. Moreover, K2HPO4 is a water-soluble substance with good solubility in the medium. It had a huge impact on the application of fermentation broth in the next test of biocontrol strain NT35, so we chose K2HPO4 as the most suitable inorganic salt for biocontrol strain NT35 (Figure 2C).
For the five trace elements (FeSO4, KI, CuSO4, H3BO3, and ZnSO4) with a concentration of 5 g·L−1, although the culture medium added with FeSO4 exhibited better bacterial growth and antifungal effects than the other four trace elements compared with the blank control, the antifungal effect of the five trace elements was not as good as that of blank control. The antagonistic effect of the blank control was the highest, for which the inhibition zone was 15.74 mm. The base was not suitable for adding trace elements (Figure 2D).

3.3. PB Test

Based on the single-factor screening result, nine factors were chosen to design the PB test: cornmeal (A), maltose (B), glucose (C), (NH4)2SO4 (D), beef extract (E), yeast extract (F), K2HPO4 (G), KCl (H), and Na2CO3 (I). The values of each combination test are given in Table S1. The obtained results were analyzed using Minitab 18 software, and we found that yeast extract > K2HPO4 > (NH4)2SO4 > other factors. We determined that the four factors, namely, cornmeal, yeast extract, Na2CO3, and (NH4)2SO4, were all positively correlated, so these were selected for the next test.

3.4. Steepest Climb Test

Four significant factors were screened out through the PB test, but the dosage range was not further determined, so the steepest climbing test was carried out to explore the optimum range and optimum dosage. The test results are shown in Table S2. The bacteriostatic effect was the best in the third group of treatments, indicating that the factor level of the modified treatment was close to the optimum; thus, this combination was selected as the central level for the RSM design.

3.5. RSM Test

According to the above test results, we determined the factors and levels and designed a RSM test. The results are shown in Table S3. The Y value represents the antifungal effect, and the following regression equation was obtained: R1 = +10.00000 + 8.00167A − 8.06333B − 3.73000C + 1.60500D − 0.060000AB + 0.24000AC + 3.54000AD − 9.56000BC + 6.48000BD − 4.04000CD + 13.56000A2 + 2.52000B2.
In the above formula, R1 is the response value bacteriostatic zone. A, B, C, and D denote the coded values of yeast extract powder, cornmeal, K2HPO4, and (NH4)2SO4, respectively. The ANOVA results of the quadratic polynomial equation fitting are shown in Table S4. The model p-value was less than 0.0001, and the regression model of this experiment reached a significant level, indicating that the regression was significant and the lack of fit item was not significant at the p = 0.05 level. The variance analysis results of each item of the regression model also showed that the first- and second-order items had a significant impact, so the change in the response value was complicated; there was no simple linear relationship with each experimental factor. In the regression model, the surface effect of the linear term on the sample value was significant, and the surface effect of the quadratic term was slightly significant. Therefore, the relationship between yeast extract, cornmeal, K2HPO4, and (NH4)2SO4 can change within a certain range so that the number of viable bacteria in the fermentation broth can reach the highest level.

3.6. RSM Graphical Analysis

The response surface diagram is a three-dimensional surface diagram formed between each experimental factor and the response value (Figure S1). The figure can directly reflect the influence of each experimental factor on the response value, optimize the best process parameters, and reflect the interaction relationship between the factors. We used Design Expert software, version 8.0, to perform quadratic polynomial regression fitting on the test results in the table, and obtained a response surface map and a contour map.
According to the prediction of the regression equation, the optimized medium was obtained via simulation: yeast extract, 2.5%; cornmeal, 1.5%; K2HPO4, 1.5%; and (NH4)2SO4, 2.5%. The maximum antifungal zone value reached 34.43 mm. We tested according to this formula to verify the optimization effect and compared it with the basal medium. The inhibition zone value of the optimized medium was 33.895 mm, while that of the basal fermentation medium was 20.18 mm (Figure 3). The obtained inhibition zone value was close to the predicted value, indicating that the model is credible.

3.7. Optimized Production of Active Antifungal Protein

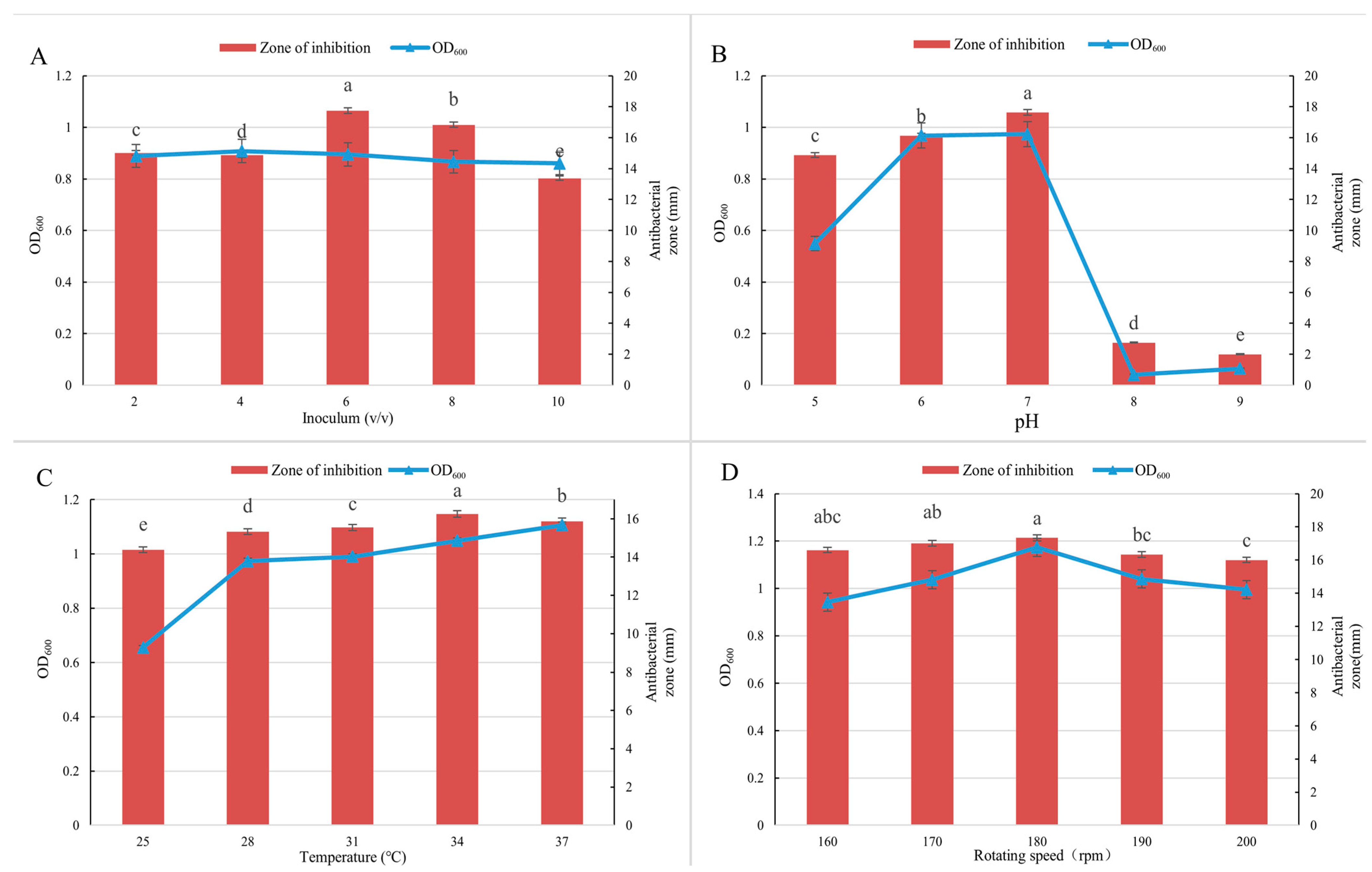
The fermentation conditions for strain NT35 were optimized (Figure 4). When the inoculum amount was 2–10%, with an increase in the amount of inoculum, the OD600 value of the fermentation broth essentially did not change. When the amount was 6%, the maximum diameter of the inhibition zone was 23.75 mm. The optimal inoculum size was 6% (Figure 4A).
When the initial pH value was 5.0–7.0, the OD600 value measured for strain NT35 increased with the increase in pH. When the pH exceeded 7, the OD600 value decreased significantly. The bacteriostatic activity was also the best at pH = 7.0 and 23.625 mm, so the optimal initial pH of strain NT35 was 7.0 (Figure 4B).
A temperature of 25–37 °C had a positive correlation with the growth of strain NT35. With the increase in temperature, the OD600 value and activity increased. However, considering the energy consumption process and the cost, 34 °C was selected as the culture temperature for strain NT35 (Figure 4C).
The growth of strain NT35 also requires the participation of oxygen. The oxygen content of the fermentation broth was adjusted by changing the rotation speed of the shake flask. If the rotation speed was too low, the oxygen content of the fermentation broth was also low, which is not conducive to the growth of bacteria. When the shaker speed was 180 rpm, the OD600 value and activity of the fermentation broth reached a peak; thus, the optimum shaker speed for strain NT35 was 180 rpm (Figure 4D).

3.8. Purification, Identification, and Activity Assay of Antifungal Proteins

The antifungal activity of crude protein treated with different saturated concentrations of (NH4)2SO4 was detected. It resulted that after NT35 sterile filtrate was treated with (NH4)2SO4 with a saturation of 30%, its antifungal effect was the most obvious (Figure 5A). Therefore, 30% (NH4)2SO4 was selected as the optimum precipitation concentration, and a large amount of crude protein was prepared.
Proteins present in the supernatant were collected via (NH4)2SO4 precipitation, but a large number of contaminants remained. Column chromatography was used for further desalination. After the crude proteins were desalted using a Sephadex G-25, two protein elution peaks (Figure 5B) and one salt peak appeared. Among them, the first and second peaks exhibited antifungal activity, but the second peak exhibited stronger antibacterial activity. Hence, the 1F peak of the protein was selected for further analysis.
The active desalted protein 1F was collected, and two protein flowing peaks and three elution peaks appeared after elution via weak anion-exchange chromatography (Figure 5C). Among them, peak 1-4F and peak 1-5F appeared to be in an obvious inhibition zone. Similarly, the peaks with stronger antifungal activity were selected by the results shown on the PDA medium.
The active protein 1-4F, eluted via ion-exchange chromatography, was collected, and three major elution peaks appeared after elution via gel filtration chromatography (Figure 5D). Among them, peak 1-4-2F was the active peak, and showed significant antifungal activity.
The concentrated antifungal protein 1-4-2F (20 μL) was taken and detected using Tricine-SDS-PAGE. The results show a single monomeric protein band with an estimated molecular mass of 6.5 kDa (Figure 6). It was obvious that the protein had high purity and no subunit, and could be identified by LC-MS/MS.
The peptide sequence of the target protein was blasted in the National Center for Biotechnology Information (NCBI: https://www.ncbi.nlm.nih.gov/taxonomy, accessed on 20 January 2020). The 1-4-2F LC-MS/MS identification results, comprehensive analysis of the searched proteins according to the score value, the size of the sequence coverage and molecular mass (Mr) on the gel (Figure S2A), and the amino acid sequence of protein 1-4-2F had 100% similarity to the hypothetical protein from B. velezensis YAU B9601-Y2 (Accession No: AFJ62117). Therefore, the selected protein was preliminarily identified as an uncharacterized protein (Accession No: AFJ62117). The structural domain search and homology analysis of the conserved amino acid sequence were performed using the BLAST program protein database of the NCBI (Figure S2B).
Using online analysis with ProtParam (https://web.expasy.org/protparam, accessed on 20 January 2020), we established that the protein consisted of 89 amino acids, the total number of positively charged residues (arginine and lysine) in the sequence was 15, and the total number of negatively charged residues (aspartic acid and glutamic acid) was 11. When cultured in vitro, we predict its half-life to be 30 h in mammalian reticulocytes, more than 20 h in yeast cells, and more than 10 h in Escherichia coli. The instability index was 4.3, the stability was good, the fat coefficient was 94.16, the overall average hydrophilicity was –0.033, and the hydrophilicity was good (Table S5).
Through online analysis software, TransMembrane prediction, using Hidden Markov models (TMHMM Server Version 2.0) was performed, and the protein was predicted to have a transmembrane structure. The results show that the protein had no transmembrane domain (Figure S3A).
Using the online analysis software Self-Optimized Prediction Method with Alignment (SOPMA), the protein secondary structure was predicted and analyzed. In this analysis, h was the α-helix, e was the extended polypeptide chain (β-strands), t was expressed as β-turns, and c represented random coils (Figure S3B, Table S6).

3.9. Stability Studies of Antifungal Proteins

The eluted 1-4-2F peak was selected for the stability study (Figure 7). The results show that the protein 1-4-2F exhibited antifungal activity at 20–100 °C, but completely lost this activity at 121 °C (Figure 7A). This protein was acid–base resistant and exhibited antifungal activity at pH 4–10, but the activity was lost under extreme acid or base conditions (Figure 7B). There was still antifungal activity under 30 W UV lamp irradiation (Figure 7C). However, this was inactivated by treatment with proteinase K (Figure 7D) and chloroform at a final concentration of 100 μg·mL−1 (Figure 7E).

3.10. Indoor Toxicity of the Antifungal Proteins on I. robusta

The results show that the EC50 value (y = 0.66x + 0.022, R2 = 0.9963) of protein 1-4-2F against I. robusta was 1.519 μg·mL−1. As the protein concentration increased, the diameter of the mycelia of I. robusta was smaller (Figure 8). It can be seen that the antifungal protein concentration was negatively correlated with the growth area of I. robusta, and positively correlated with the growth inhibition rate.
Under the microscope, it was observed that the hyphae of the untreated strain I. robusta had a smooth surface and no abnormalities at the top (Figure 9C). On the other hand, the hyphae of the strain I. robusta treated with 1-4-2F protein were enlarged and even vacuolated at the top (Figure 9D), severely curved (Figure 9E), and obviously irregular and thickened (Figure 9F). After treatment, the spores enlarged and became dumbbell-shaped (Figure 9H).

4. Discussion

Adjusting the nutritional and physical environment of secondary metabolites is a major step in the optimization of fermentation conditions. In our study, by measuring the growth curve of the strain NT35, it was shown that at 9 h, the most abundant bacteria were 108 cfu·mL−1, which showed strong activity (Figure 1). In order to further explore the optimization of its fermentation conditions, antifungal activity of these bacteria against I. robusta was detected by changing the composition of the fermentation medium, as well as changing the bacterial concentration, indicating the combination of cornmeal as a candidate carbon source; the combination of inorganic nitrogen source (NH4)2SO4 and organic nitrogen source yeast extract as nitrogen sources; and K2HPO4 as an inorganic salt source for the further optimization of strain NT35 (Figure 2). A study showed that the optimal nutrient conditions of Weissella cibaria strain JW15 were screened using a PB design. The optimal medium significantly increased the biomass production of JW15 by 1.98-fold. The dry cell weight was 1.67 times higher than that of the RSM [20]. Another study showed that the fermentation variables of Bacillus sp. RKY3 were designed according to the PB design and response surface method; the production of protease in the optimized medium increased by 2.3-fold overall; and the enzyme activity increased significantly by 522 U·mL−1 [21]. In another study, the culture medium of Bacillus amyloliquefaciens strain HM618 was optimized based on the response surface method, and the surfactin level increased by 1.152 g·L−1 against Botrytis cinerea, Rhizoctonia solani, and E. coli [22]. Similarly, in our study, based on the single-factor screening results obtained through the PB test, significant factors of cornmeal, yeast extract, Na2CO3, and (NH4)2SO4 were selected for the next step in the steepest climbing test (Table S1). The optimum dosage was determined through the steepest climbing test, and the results showed that yeast extract (25 g·L−1), cornmeal (15 g·L−1), K2HPO4 (15 g·L−1), and (NH4)2SO4 (25 g·L−1) had the greatest antifungal effects (Table S2). Therefore, this combination was selected for the next step of RSM design. Lastly, through the RSM test, the response surface plot and contour plot were obtained (Figure S1). The optimized fermentation medium and basal medium were tested for antifungal activity, and the antifungal activity of the optimized fermentation medium was 40.46% higher than that of the basal medium (Figure 3). Although the optimized fermentation medium was obtained, the inoculum size, pH, temperature, and rotational speed were not screened, so the physical environment of the optimized fermentation broth was studied. The optimal inoculum size which was finally screened out was 6%, the optimal initial pH was 7.0, the optimal temperature was 34 °C, and the optimal rotational speed was 180 rpm (Figure 4). The antifungal activity of the optimized fermentation medium was significantly improved, which provided a basis for the subsequent separation of the fermentation filtrate.
Our main goal was to clarify the mechanism of microbial biocontrol in order to isolate, purify, and identify antifungal metabolites as antibiotic substances that can inhibit target cells by interfering with the biosynthesis of the peptidoglycan layer and, thus, blocking cell wall formation [23]. For example, B. subtilis strain LFB112 can produce a bacteriocin, BLIS, with a molecular weight of 6.3 kDa, which exhibits inhibition activity against the pathogens E. coli, Salmonella enteritidis, Pseudumonas aeruginosa, Pasteurella multocida, Clostridium perfringen, and S. aureus [24]. Yoshida et al. found that B. amyloliquefaciens RC-2 produced bacteriocin A2 against Bacillus anthracis and several other phytopathogenic fungi [25]. Two rhizosphere-associated B. velezensis isolates (Y6 and F7) exhibited strong antifungal activity against Ralstonia solanacearum and Fusarium oxysporum, among which lipopeptides were shown to play distinct roles [26]. Another study isolated and screened a fungal-antagonistic endophytic B. velezensis FZ06 from fresh Pu’erh tea tree leaves, and used this as the starting strain to extract and isolate its antifungal products against B. velezensis FZ06. When purified, it was identified as an antifungal lipopeptide, and showed a good inhibitory effect on typical food spoilage bacteria and toxin-producing fungi [27]. In addition, the crude lipopeptides (iturins, fenycins, and suractins) of B. velezensis strain FJAT-46737 had an inhibitory rate of 96.2% against R. solanacearum, causing tomato bacterial wilt [28]. In another study, a strain with high antipathogenic activity, B. velezensis, was screened out from 77 strains isolated from sea mud in the Arctic Ocean. The production of active metabolites by the strain was improved by optimizing the medium composition and fermentation conditions, and the structure of the main metabolites was identified. The results show that this had a certain growth-promoting effect on plants. The metabolites of the strain contained macrolactin A, which has obvious antagonistic effects on a variety of pathogenic bacteria and fungi. Experiments on cucumber seedlings have shown that the metabolites of the strain had a protective effect on cucumber wilt [29]. A study found that the n-butanol extract of the B. velezensis HN-2 strain fermentation liquid exhibited strong antifungal activity against Xanthomonas oryzae pv. oryzae, and the main active ingredient in the n-butanol extract was obtained through separation and purification. The B. velezensis HN-2 secondary metabolite surfactin is the main active substance of HN-2, which can induce X. oryzae pv. oryzae to produce polyhydroxyalkanoates (PHAs) [30].
By adding different saturation concentrations of (NH4)2SO4 to screen for the saturation concentration which showed the best antifungal activity, it was concluded that 30% (NH4)2SO4 can be used as the optimal concentration for the next step of separation and analysis (Figure 5A). After filtration by a Superdex G-25 column, two absorption peaks were obtained. After antifungal detection, the absorption peak with more significant activity, 1F, was selected for the next step of ion-exchange chromatography (Figure 5B). Five absorption peaks were obtained after DEAE-Sepharose Fast Flow column chromatography, among which 1-4F and 1-5F showed antifungal activity. As it demonstrated stronger activity, 1-4F was selected for subsequent gel filtration chromatography (Figure 5C). Finally, after Superdex 75 10/300 GL gel chromatography was performed, an active absorption peak was obtained. Tricine-SDS-PAGE for this absorption peak showed only one band, indicating that the isolated and purified protein was a single antifungal proteins that could, thus, be analyzed by mass spectrometry (Figure 5D, 6). The antifungal activity of the purified antifungal protein was measured, and it was shown that the growth rate of rust fungus was different after different concentrations of protein were added to PDA medium, indicating that the higher the added protein concentration, the more inhibited the growth of rust mycelia (Figure 8). According to the LC-MS/MS results, the amino acid sequence of protein 1-4-2F showed 100% similarity to the hypothetical protein from B. velezensis YAU B9601-Y2 (Accession No: AFJ62117). A total of 17 unique peptides were detected in the protein with a molecular weight of 10.176 kDa, and 89 amino acids were detected with an isoelectric point of 9.08. This protein encodes an unknown protein; thus, we speculated that a new antifungal protein may have been isolated. We screened the searched proteins and stipulated that the minimum number of matching peptides was 4, and that a score value > 70 and a sequence coverage > 20% were statistically significant (Figure S2). Transmembrane structure prediction of the antifungal protein revealed a lack of transmembrane structure. The secondary structure predicted that α-helix would contain 32.58%, extended polypeptide chain would contain 32.58%, β-turns would contain 17.98%, and random coils would contain 16.85%. An increased number α-helix structures enabled the protein to maintain its structure and perform its functions (Figure S3). It has been proven that Aspergillus pachycristatus is useful for the production of the antifungal echinocandin B, but its secondary metabolites are unknown. Research conducted by constructing mutants of secondary metabolic genes, evaluating the secondary metabolites produced by wild-type and mutant strains, and exploring secondary metabolism through metabolic networks has revealed the presence of a series of unexplored secondary metabolites [31]. An actinomycete (Streptomyces lunalinharesii A54A) co-cultured with the plant pathogen R. solani can produce secondary metabolites with antifungal activity [32]. Similarly, although the protein in this study had no functional domain due to the low capacity of the provided B. velezensis protein database, it was not matched to the protein in the NCBI (https://www.ncbi.nlm.nih.gov/taxonomy, accessed on 20 January 2020). This indicates that the protein in this study is an unknown new protein, and this protein can exhibit strong antifungal activity against I. robusta after optimizing its fermentation conditions, then isolating and purifying it. Therefore, the 1-4-2F protein can be further studied via cloning, prokaryotic expression, and gene knockout experiments. This lays the foundation for the construction of biocontrol engineering bacteria and the development and application of biopesticides.
One study found that Bacillus methylotrophicus NJ13, isolated from ginseng, contains an aseptic fermentation liquid with an obvious inhibitory effect on I. robusta, and the antifungal protein obtained after separation and purification has thermal stability, pH stability, and ultraviolet stability [17]. The antifungal activity of the active substances in the fermentation product of strain B. velezensis FZ06 can be maintained well under heat treatment conditions in a 100 °C water bath for 30 min, and can be kept stable for more than 28 days in a 4 °C environment; it also has a good pH value, in the range of 2–10. The acid and alkali tolerance of the antifungal active substances in the fermented product can be extracted with anhydrous methanol, and no antifungal activity has been detected in the extraction residue [27]. Similarly, in this study, the stability test of the purified protein showed that it has a wide range of antifungal activity at certain temperatures and pH values, and it can still maintain a high activity level after incubation at 20–100 °C for 30 min. Additionally, it can maintain high activity at pH 4–10. It can maintain its activity with no obvious effect on the antifungal activity of the protein under ultraviolet light irradiation, but the protein completely loses its activity after being treated with proteinase K and chloroform (Figure 7). This shows that this protein has extremely high stability, which can provide a theoretical basis for the next study.
A study found that the ZD01 strain of B. subtilis has a strong antagonistic effect on potato early blight. It was screened, and the secondary metabolite antimicrobial peptide of B. subtilis ZD01 was identified as the main antifungal substance. This peptide can significantly inhibit the growth mycelium of the Alternaria solani causal agent of early blight in the stems, foliage, and tubers of potatoes. This leads to mycelium bending, surface wrinkling, local swelling, and other deformities, and extracellular secretions increase significantly [33]. In this study, it was found that after treatment of I. robusta with antifungal proteins, the growth of mycelia could be inhibited. Under the microscope, it was observed that the top of the mycelia of the strain I. robusta treated with 1-4-2F protein was enlarged and vacuolated, and the hyphae were severely curved and thickened; additionally, the spores were dumbbell-shaped after treatment. Therefore, the antifungal protein isolated and purified from B. velezensis NT35 is expected to become a new biological control agent to replace chemical fungicides.

Supplementary Materials

The following supporting information can be downloaded at https://www.mdpi.com/article/10.3390/fermentation9040358/s1. Figure S1: Response surface and contour of each test factor to inhibition zone. (A) The combined effects of yeast extract and cornmeal; (B) the combined effects of yeast extract and K2HPO4; (C) the combined effects of yeast extract and (NH4)2SO4; (D) the combined effects of cornmeal and K2HPO4; (E) the combined effects of cornmeal and (NH4)2SO4. Figure S2: liquid chromatography tandem mass spectrometry (LC-MS/MS) results. (A) Identification results of antifungal protein 1-4-2F; (B) amino acid sequence homology analysis of antifungal proteins. Figure S3: Bioinformatic analysis of antifungal protein 1-4-2F. (A) Transmembrane structure prediction; (B) secondary structure prediction, where h is the α-helix, e is the extended polypeptide chain, t is expressed as β-turns, and c represents random coils. Table S1: Plackett–Burman experimental design number and measured value. A, cornmeal, 10–20 g·L−1; B, maltose, 10–20 g·L−1; C, glucose, 10–20 g·L−1; D, (NH4)2SO4, 15–35 g·L−1; E, beef extract, 15–35 g·L−1; F, yeast extract powder, 15–35 g·L−1; G, K2HPO4, 10–20 g·L−1; H, KCl, 10–20 g·L−1; and I, Na2CO3, 10–20 g·L−1. Table S2: Measured value of steepest climbing test. Table S3: Experimental design and results of response surface analysis. The inhibition zone values (mm) are expressed as mean ± standard deviation (SD). Table S4: Response surface regression analysis (** p < 0.01). Table S5: Unknown protein amino acid sequence analysis. Table S6: Unknown protein secondary structure prediction.

Author Contributions

Y.J. and C.C. designed the experiments. M.L., H.T., Z.L., Y.S., L.C. and C.R. performed the experiments. M.L., Y.J. and C.C. prepared the manuscript. All authors have read and agreed to the published version of the manuscript.

Funding

This work was supported by the earmarked fund for the China Agriculture Research System (CARS-21), Jilin Science and Technology Development Project (20210202075NC, 20230204008YY).

Institutional Review Board Statement

Not applicable.

Informed Consent Statement

Not applicable.

Data Availability Statement

Not applicable.

Acknowledgments

Thanks to the Fusong Shenwang Plant Protection Co., Ltd., China for the support and the provision of ginseng samples.

Conflicts of Interest

The authors declare no conflict of interest.

References

  1. Wang, Y.; Zhai, H.Q.; Lu, L.N.; Liu, A.X.; Wang, J.L.; Guo, Y.F.; Guo, Y.Z.; Wang, J.J. Textual research and modern review on ginseng. World Chin. Med. 2017, 12, 470–473+476. [Google Scholar] [CrossRef]
  2. Lu, X.H.; Jiao, X.L.; Chen, A.J.; Luo, Y.; Gao, W.W. First Report of Ilyonectria robusta Causing Rusty Root of Asian Ginseng in China. Plant Dis. 2015, 99, 156. [Google Scholar] [CrossRef] [PubMed]
  3. Lin, C.; Tsai, C.H.; Chen, P.Y.; Wu, C.Y.; Chang, Y.L.; Yang, Y.L.; Chen, Y.L. Biological control of potato common scab by Bacillus amyloliquefaciens Ba01. PLoS ONE 2018, 13, e0196520. [Google Scholar] [CrossRef] [PubMed]
  4. Tumbarski, Y.; Deseva, I.; Mihaylova, D.; Stoyanova, M.; Krastev, L.; Nikolova, R.; Yanakieva, V.; Ivanov, I. Isolation, characterization and amino acid composition of a bacteriocin produced by Bacillus methylotrophicus strain BM47. Food Technol. Biotechnol. 2018, 56, 546–552. [Google Scholar] [CrossRef] [PubMed]
  5. Zou, X.; Xia, L.; Wang, N.; Jiang, Z.; Li, L.; Zheng, Y. Research progress on the characteristics and purification methods of antibacterial substances produced by biocontrol Bacillus. Xiandai Yuanyi Contemp. Hortic. 2017, 23, 39–41. [Google Scholar] [CrossRef]
  6. Wang, Y.; Chen, C.; Cai, D.; Wang, Z.; Qin, P.; Tan, T. The optimization of l-lactic acid production from sweet sorghum juice by mixed fermentation of Bacillus coagulans and Lactobacillus rhamnosus under unsterile conditions. Bioresour. Technol. 2016, 218, 1098–1105. [Google Scholar] [CrossRef]
  7. Zhang, Y.; Hu, J.; Liu, X.; Jiang, C.; Sun, J.; Song, X.; Wu, Y. Isolation and production optimization of a novel milk-clotting enzyme Bacillus velezensis DB219. AMB Express 2022, 12, 149. [Google Scholar] [CrossRef]
  8. Zhao, X.; Han, Y.; Tan, X.Q.; Wang, J.; Zhou, Z.J. Optimization of antifungal lipopeptide production from Bacillus sp. BH072 by response surface methodology. J. Microbiol. 2014, 52, 324–332. [Google Scholar] [CrossRef]
  9. Wang, Z.W.; Liu, X.L. Medium optimization for antifungal active substances production from a newly isolated Paenibacillus sp. using response surface methodology. Bioresour. Technol. 2008, 99, 8245–8251. [Google Scholar] [CrossRef]
  10. Pfeiffer, T.; Schuster, S.; Bonhoeffer, S. Cooperation and competition in the evolution of ATP-producing pathways. Science 2001, 292, 504–507. [Google Scholar] [CrossRef]
  11. Wu, Y.; Guo, W.; Zhao, J.; Ding, L.; Chen, X. Isolation and identification of a novel LCI like antibacterial protein from Bacillus sp. MD-5 reveals its potential application in controlling Staphylococcus aureus in food industry. Food Control. 2018, 89, 142–149. [Google Scholar] [CrossRef]
  12. Yu, P.; Huang, X.; Ren, Q.; Wang, X. Purification and characterization of a H2O2-tolerant alkaline protease from Bacillus sp. ZJ1502, a newly isolated strain from fermented bean curd. Food Chem. 2019, 274, 510–517. [Google Scholar] [CrossRef]
  13. Rasheed, H.A.; Tuoheti, T.; Zhang, Y.; Azi, F.; Tekliye, M.; Dong, M. Purification and partial characterization of a novel bacteriocin produced by bacteriocinogenic Lactobacillus fermentum BZ532 isolated from Chinese fermented cereal beverage (Bozai). LWT 2020, 124, 109113. [Google Scholar] [CrossRef]
  14. Dorra, G.; Ines, K.; Imen, B.S.; Laurent, C.; Sana, A.; Olfa, T.; Pascal, C.; Thierry, J.; Ferid, L. Purification and characterization of a novel high molecular weight alkaline protease produced by an endophytic Bacillus halotolerans strain CT2. Int. J. Biol. Macromol. 2018, 111, 342–351. [Google Scholar] [CrossRef]
  15. Xiong, Z.R.; Cobo, M.; Whittal, R.M.; Snyder, A.B.; Worobo, R.W. Purification and characterization of antifungal lipopeptide produced by Bacillus velezensis isolated from raw honey. PLoS ONE 2022, 17, e0266470. [Google Scholar] [CrossRef]
  16. Bayisa, R.A.; Cho, J.Y.; Kim, K.Y. Purification and identification of a new antifungal dipeptide from Bacillus velezensis AR1 culture supernatant. Pest Manag. Sci. 2021, 77, 775–779. [Google Scholar] [CrossRef]
  17. Jiang, Y.; Ran, C.; Chen, L.; Yin, W.; Liu, Y.; Chen, C.; Gao, J. Purification and characterization of a novel antifungal flagellin protein from endophyte Bacillus methylotrophicus NJ13 against Ilyonectria robusta. Microorganisms 2019, 7, 605. [Google Scholar] [CrossRef]
  18. Schägger, H. Tricine-SDS-PAGE. Nat. Protoc. 2006, 1, 16–22. [Google Scholar] [CrossRef]
  19. Chen, C.Q.; Yan, D.; Jiang, Y.; Xu, P.; Chu, Y.X.; Gao, J. Inhibition effect of biocontrol bacteria NJ13 and its mixture with chemical fungicides against ginseng root rot caused by Fusarium solani. China J. Chin. Mater. Med. 2019, 44, 2015–2019. [Google Scholar] [CrossRef]
  20. Yu, H.S.; Lee, N.K.; Kim, W.J.; Lee, D.U.; Kim, J.H.; Paik, H.D. Optimization of an industrial medium and culture conditions for probiotic Weissella cibaria JW15 biomass using the Plackett-Burman design and response surface methodology. J. Microbiol. Biotechnol. 2022, 32, 630–637. [Google Scholar] [CrossRef]
  21. Reddy, L.V.; Wee, Y.J.; Yun, J.S.; Ryu, H.W. Optimization of alkaline protease production by batch culture of Bacillus sp. RKY3 through Plackett-Burman and response surface methodological approaches. Bioresour. Technol. 2008, 99, 2242–2249. [Google Scholar] [CrossRef] [PubMed]
  22. Liu, S.; Tang, M.H.; Cheng, J.S. Fermentation optimization of surfactin production of Bacillus amyloliquefaciens HM618. Biotechnol. Appl. Biochem. 2022, 70, 38–50. [Google Scholar] [CrossRef] [PubMed]
  23. Wiedemann, I.; Böttiger, T.; Bonelli, R.R.; Wiese, A.; Hagge, S.O.; Gutsmann, T.; Seydel, U.; Deegan, L.; Hill, C.; Ross, P.; et al. The mode of action of the lantibiotic lacticin 3147–a complex mechanism involving specific interaction of two peptides and the cell wall precursor lipid II. Mol. Microbiol. 2006, 61, 285–296. [Google Scholar] [CrossRef] [PubMed]
  24. Ribeiro-Ribas, R.N.; de Carvalho, M.A.; Vieira, C.A.; Apolônio, A.C.; Magalhães, P.P.; Mendes, E.N.; Oliveira, J.S.; Santoro, M.M.; Farias Lde, M. Purification and partial characterization of a bacteriocin produced by an oral Fusobacterium nucleatum isolate. J. Appl. Microbiol. 2009, 107, 699–705. [Google Scholar] [CrossRef]
  25. Yoshida, S.; Hiradate, S.; Tsukamoto, T.; Hatakeda, K.; Shirata, A. Antimicrobial activity of culture filtrate of Bacillus amyloliquefaciens RC-2 isolated from mulberry leaves. Phytopathology 2001, 91, 181–187. [Google Scholar] [CrossRef]
  26. Cao, Y.; Pi, H.; Chandrangsu, P.; Li, Y.; Wang, Y.; Zhou, H.; Xiong, H.; Helmann, J.D.; Cai, Y. Antagonism of two plant-growth promoting Bacillus velezensis isolates against Ralstonia solanacearum and Fusarium oxysporum. Sci. Rep. 2018, 8, 4360. [Google Scholar] [CrossRef]
  27. Li, F. Study on genome sequencing and antimicrobial metabolites produced by endophytic bacterium Bacillus velezensis FZ06 isolated from leaves of Camellia assamica. South China Univ. Technol. 2020, 02, 1–107. [Google Scholar] [CrossRef]
  28. Chen, M.; Wang, J.; Liu, B.; Zhu, Y.; Xiao, R.; Yang, W.; Ge, C.; Chen, Z. Biocontrol of tomato bacterial wilt by the new strain Bacillus velezensis FJAT-46737 and its lipopeptides. BMC Microbiol. 2020, 20, 160. [Google Scholar] [CrossRef]
  29. Zhang, L.; Liu, J.; Dong, J.; Jin, L.; Xu, Y.; Zheng, W.; Quan, C. Screening of marine resistant strain based on PKS and NRPS genes and the activity of its metabolites. Chin. J. Biotechnol. 2022, 38, 4520–4535. [Google Scholar] [CrossRef]
  30. Gao, X.; Lao, G.; Liu, L.; Miu, W.; Jin, P. Study on the mechanism of surfactin, a secondary metabolite of Bacillus velezensis HN-2, inducing Polyhydroxyalkanoate (PHA) in Xanthomonas oryzae pv. oryzae, Xoo. In Proceedings of the Annual Meeting of Chinese Society for Plant Pathology (2021), Guiyang, China, 11 December 2021; p. 376. [Google Scholar] [CrossRef]
  31. Perlatti, B.; Lan, N.; Jiang, Y.; An, Z.; Bills, G. Identification of secondary metabolites from Aspergillus pachycristatus by untargeted UPLC-ESI-HRMS/MS and genome mining. Molecules 2020, 25, 913. [Google Scholar] [CrossRef]
  32. Maimone, N.M.; de Oliveira, L.F.P.; Santos, S.N.; de Lira, S.P. Elicitation of Streptomyces lunalinharesii secondary metabolism through co-cultivation with Rhizoctonia solani. Microbiol. Res. 2021, 251, 126836. [Google Scholar] [CrossRef]
  33. Zhang, D.; Qiang, R.; Yang, Z.; Yuan, W.; Chen, M.; Gao, X.; Yang, Z.; Zhu, J. Study on the inhibition of Bacillus subtilis antibacterial peptide against potato early blight. In Proceedings of the Potato Industry and Seed Industry Innovation (2022), Shijiazhuang, China, 1 July 2022; pp. 450–451. [Google Scholar]
Figure 1. Growth curve of the Bacillus velezensis NT35 strain.
Figure 1. Growth curve of the Bacillus velezensis NT35 strain.
Fermentation 09 00358 g001
Figure 2. Effects of different components of the fermentation media on the inhibitory and bacterial concentration of the fermentation filtrate of the Bacillus velezensis NT35 strain (Means of significant values are separated by Fisher’s Least Significant Difference test (LSD) (p = 0.05), and denoted by lowercase letters.). (A) Carbon sources; (B) nitrogen sources; (C) inorganic salts; (D) trace elements.
Figure 2. Effects of different components of the fermentation media on the inhibitory and bacterial concentration of the fermentation filtrate of the Bacillus velezensis NT35 strain (Means of significant values are separated by Fisher’s Least Significant Difference test (LSD) (p = 0.05), and denoted by lowercase letters.). (A) Carbon sources; (B) nitrogen sources; (C) inorganic salts; (D) trace elements.
Fermentation 09 00358 g002
Figure 3. The diameter of the inhibition zone of different fermentation media on Ilyonectria robusta. (A) Basal medium; (B) optimized medium.
Figure 3. The diameter of the inhibition zone of different fermentation media on Ilyonectria robusta. (A) Basal medium; (B) optimized medium.
Fermentation 09 00358 g003
Figure 4. Effects of different liquid fermentation conditions on the Bacillus velezensis NT35 strain (Means of significant values are separated by Fisher’s Least Significant Difference test (LSD) (p = 0.05), and denoted by lowercase letters.). (A) Inoculum size; (B) pH; (C) temperature; (D) rotational speed.
Figure 4. Effects of different liquid fermentation conditions on the Bacillus velezensis NT35 strain (Means of significant values are separated by Fisher’s Least Significant Difference test (LSD) (p = 0.05), and denoted by lowercase letters.). (A) Inoculum size; (B) pH; (C) temperature; (D) rotational speed.
Fermentation 09 00358 g004
Figure 5. Elution and inhibitory effect of each purification step. (A) Fractionated precipitation sterile fermentation broth. (B) Crude protein was desalted by Sephadex G-25 (1F: peak 1, 2F: peak 2, 3F: peak 3). (C) Protein 1F by DEAE-Sepharose Fast Flow weak anion-exchange chromatography (1-1F: peak 1, 1-2F: peak 2, 1-3F: peak 3, 1-4F: peak 4, 1-5F: peak 5). (D) Elution peaks 1-4F were chromatographed by Superdex 75 10/300 GL gel filtration (1-4-1F: peak 1, 1-4-2F: peak 2, 1-4-3F: peak 3).
Figure 5. Elution and inhibitory effect of each purification step. (A) Fractionated precipitation sterile fermentation broth. (B) Crude protein was desalted by Sephadex G-25 (1F: peak 1, 2F: peak 2, 3F: peak 3). (C) Protein 1F by DEAE-Sepharose Fast Flow weak anion-exchange chromatography (1-1F: peak 1, 1-2F: peak 2, 1-3F: peak 3, 1-4F: peak 4, 1-5F: peak 5). (D) Elution peaks 1-4F were chromatographed by Superdex 75 10/300 GL gel filtration (1-4-1F: peak 1, 1-4-2F: peak 2, 1-4-3F: peak 3).
Fermentation 09 00358 g005
Figure 6. Antifungal protein 1-4-2F Tricine-SDS-PAGE pattern. These blue arrows point to the stripe size.
Figure 6. Antifungal protein 1-4-2F Tricine-SDS-PAGE pattern. These blue arrows point to the stripe size.
Fermentation 09 00358 g006
Figure 7. Stability of the protein 1-4-2F. (A) Temperature; (B) acid–base; (C) UV; (D) proteinase K; (E) chloroform.
Figure 7. Stability of the protein 1-4-2F. (A) Temperature; (B) acid–base; (C) UV; (D) proteinase K; (E) chloroform.
Fermentation 09 00358 g007
Figure 8. Inhibition effect of Ilyonectria robusta by antifungal protein 1-4-2F.
Figure 8. Inhibition effect of Ilyonectria robusta by antifungal protein 1-4-2F.
Fermentation 09 00358 g008
Figure 9. Hyphal and conidial morphology of Ilyonectria robusta, photographed by optical microscope. The black arrows point to the deformed parts. (A,C) Normal hyphae; (B) hyphal swellings; (D) mycelium apex swelling; (E) mycelium bending; (F) mycelia become thicker; (G) normal germination of spores; (H) dumbbell-shaped megaspores. Bar = 25 μm.
Figure 9. Hyphal and conidial morphology of Ilyonectria robusta, photographed by optical microscope. The black arrows point to the deformed parts. (A,C) Normal hyphae; (B) hyphal swellings; (D) mycelium apex swelling; (E) mycelium bending; (F) mycelia become thicker; (G) normal germination of spores; (H) dumbbell-shaped megaspores. Bar = 25 μm.
Fermentation 09 00358 g009
Disclaimer/Publisher’s Note: The statements, opinions and data contained in all publications are solely those of the individual author(s) and contributor(s) and not of MDPI and/or the editor(s). MDPI and/or the editor(s) disclaim responsibility for any injury to people or property resulting from any ideas, methods, instructions or products referred to in the content.

Share and Cite

MDPI and ACS Style

Li, M.; Tang, H.; Li, Z.; Song, Y.; Chen, L.; Ran, C.; Jiang, Y.; Chen, C. Optimization of the Production and Characterization of an Antifungal Protein by Bacillus velezensis Strain NT35 and Its Antifungal Activity against Ilyonectria robusta Causing Ginseng Rusty Root Rot. Fermentation 2023, 9, 358. https://doi.org/10.3390/fermentation9040358

AMA Style

Li M, Tang H, Li Z, Song Y, Chen L, Ran C, Jiang Y, Chen C. Optimization of the Production and Characterization of an Antifungal Protein by Bacillus velezensis Strain NT35 and Its Antifungal Activity against Ilyonectria robusta Causing Ginseng Rusty Root Rot. Fermentation. 2023; 9(4):358. https://doi.org/10.3390/fermentation9040358

Chicago/Turabian Style

Li, Mengtao, Hao Tang, Zongyan Li, Yu Song, Lin Chen, Chao Ran, Yun Jiang, and Changqing Chen. 2023. "Optimization of the Production and Characterization of an Antifungal Protein by Bacillus velezensis Strain NT35 and Its Antifungal Activity against Ilyonectria robusta Causing Ginseng Rusty Root Rot" Fermentation 9, no. 4: 358. https://doi.org/10.3390/fermentation9040358

APA Style

Li, M., Tang, H., Li, Z., Song, Y., Chen, L., Ran, C., Jiang, Y., & Chen, C. (2023). Optimization of the Production and Characterization of an Antifungal Protein by Bacillus velezensis Strain NT35 and Its Antifungal Activity against Ilyonectria robusta Causing Ginseng Rusty Root Rot. Fermentation, 9(4), 358. https://doi.org/10.3390/fermentation9040358

Note that from the first issue of 2016, this journal uses article numbers instead of page numbers. See further details here.

Article Metrics

Back to TopTop