Fermentation Enhances the Anti-Inflammatory and Anti-Platelet Properties of Both Bovine Dairy and Plant-Derived Dairy Alternatives
Abstract
1. Introduction
2. Materials and Methods
2.1. Materials, Reagents, and Instrumentation
2.2. Sample Preparation
2.3. Extraction of Total Lipids and Separation into Polar Lipids and Neutral Lipids
2.4. Platelet Aggregometry Biological Assays
2.5. Fatty Acid Composition by LC-MS Analysis
2.6. Statistical Analysis
3. Results and Discussion
3.1. Lipid Yield
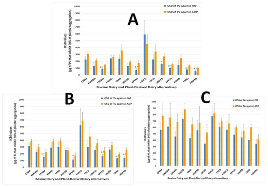
3.2. Anti-Inflammatory and Anti-Platelet Properties of Fermented and Unfermented Plant Drinks
3.3. Fatty Acid Composition of the Fermented and Unfermented Dairy and Plant-Based Dairy Alternatives
4. Conclusions
Author Contributions
Funding
Institutional Review Board Statement
Informed Consent Statement
Acknowledgments
Conflicts of Interest
References
- WHO. Non-Communicable Disease. Available online: https://www.who.int/news-room/fact-sheets/detail/noncommunicable-diseases#:~:text=Key%20facts (accessed on 2 June 2022).
- Tsoupras, A.; Lordan, R.; Zabetakis, I. Inflammation, not Cholesterol, Is a Cause of Chronic Disease. Nutrients 2018, 10, 604. [Google Scholar] [CrossRef] [PubMed]
- Tsoupras, A.B.; Iatrou, C.; Frangia, C.; Demopoulos, C.A. The implication of platelet activating factor in cancer growth and metastasis: Potent beneficial role of PAF-inhibitors and antioxidants. Infect. Disord. Drug Targets 2009, 9, 390–399. [Google Scholar] [CrossRef] [PubMed]
- Tsoupras, A.; Lordan, R.; Zabetakis, I. Inflammation and Cardiovascular Diseases. In The Impact of Nutrition and Statins on Cardiovascular Diseases; Zabetakis, I., Lordan, R., Tsoupras, A., Eds.; Academic Press: Cambridge, MA, USA, 2019; pp. 53–117. [Google Scholar]
- Tierney, A.; Lordan, R.; Tsoupas, A.; Zabetakis, I. Diet and Cardiovascular Disease: The Mediterranean Diet. In The Impact of Nutrition and Statins on Cardiovascular Diseases; Zabetakis, I., Lordan, R., Tsoupras, A., Eds.; Academic Press: Cambridge, MA, USA, 2019; pp. 267–288. [Google Scholar]
- Zabetakis, I.; Lordan, R.; Tsoupras, A.; Ramji, D. Functional Foods and Their Implications for Health Promotion; Zabetakis, I., Lordan, R., Tsoupras, A., Ramji, D., Eds.; Academic Press: Cambridge, MA, USA, 2022; ISBN 0128238127/9780128238127. [Google Scholar]
- Lordan, R.; Walsh, A.; Crispie, F.; Finnegan, L.; Demuru, M.; Tsoupras, A.; Cotter, P.D.; Zabetakis, I. Caprine milk fermentation enhances the antithrombotic properties of cheese polar lipids. J. Funct. Foods 2019, 61, 103507. [Google Scholar] [CrossRef]
- Lordan, R.; Vidal, N.P.; Huong Pham, T.; Tsoupras, A.; Thomas, R.H.; Zabetakis, I. Yoghurt fermentation alters the composition and antiplatelet properties of milk polar lipids. Food Chem. 2020, 332, 127384. [Google Scholar] [CrossRef] [PubMed]
- Tsoupras, A.; Moran, D.; Pleskach, H.; Durkin, M.; Traas, C.; Zabetakis, I. Beneficial Anti-Platelet and Anti-Inflammatory Properties of Irish Apple Juice and Cider Bioactives. Foods 2021, 10, 412. [Google Scholar] [CrossRef] [PubMed]
- Tsoupras, A.; Lordan, R.; O’Keefe, E.; Shiels, K.; Saham, S.K.; Zabetakis, I. Structural Elucidation of Irish Ale Bioactive Polar Lipids with Antithrombotic Properties. Biomolecules 2020, 10, 1075. [Google Scholar] [CrossRef]
- Vargas-Bello-Perez, E.; Faber, I.; Osorio, J.S.; Stergiadis, S. Consumer knowledge and perceptions of milk fat in Denmark, the United Kingdom, and the United States. J. Dairy Sci. 2020, 103, 4151–4163. [Google Scholar] [CrossRef]
- EFSA Panel on Dietetic Products, Nutrition, and Allergies (NDA). Scientific Opinion on Dietary Reference Values for fats, including saturated fatty acids, polyunsaturated fatty acids, monounsaturated fatty acids, trans fatty acids, and cholesterol. EFSA J. 2010, 8, 1461. [Google Scholar] [CrossRef]
- Mensink, R.P. Effects of Saturated Fatty Acids on Serum Lipids and Lipoproteins: A Systematic Review and Regression Analysis; World Health Organization: Geneva, Switzerland, 2016.
- Lordan, R.; Tsoupras, A.; Mitra, B.; Zabetakis, I. Dairy Fats and Cardiovascular Disease: Do We Really Need to be Concerned? Foods 2018, 7, 29. [Google Scholar] [CrossRef] [PubMed]
- García-Burgos, M.; Moreno-Fernández, J.; Alférez, M.J.M.; Díaz-Castro, J.; López-Aliaga, I. New perspectives in fermented dairy products and their health relevance. J. Funct. Foods 2020, 72, 104059. [Google Scholar] [CrossRef]
- Soedamah-Muthu, S.S.; Ding, E.L.; Al-Delaimy, W.K.; Hu, F.B.; Engberink, M.F.; Willett, W.C.; Geleijnse, J.M. Milk and dairy consumption and incidence of cardiovascular diseases and all-cause mortality: Dose-response meta-analysis of prospective cohort studies. Am. J. Clin. Nutr. 2011, 93, 158–171. [Google Scholar] [CrossRef]
- Janssen, M.; Busch, C.; Rodiger, M.; Hamm, U. Motives of consumers following a vegan diet and their attitudes towards animal agriculture. Appetite 2016, 105, 643–651. [Google Scholar] [CrossRef] [PubMed]
- Scholz-Ahrens, K.E.; Ahrens, F.; Barth, C.A. Nutritional and health attributes of milk and milk imitations. Eur. J. Nutr. 2020, 59, 19–34. [Google Scholar] [CrossRef] [PubMed]
- Rivera Del Rio, A.; Boom, R.M.; Janssen, A.E.M. Effect of Fractionation and Processing Conditions on the Digestibility of Plant Proteins as Food Ingredients. Foods. 2022, 11, 870. [Google Scholar] [CrossRef] [PubMed]
- Aydar, E.F.; Tutuncu, S.; Ozcelik, B. Plant-based milk substitutes: Bioactive compounds, conventional and novel processes, bioavailability studies, and health effects. J. Funct. Foods 2020, 70, 103975. [Google Scholar] [CrossRef]
- Clegg, M.E.; Tarrado Ribes, A.; Reynolds, R.; Kliem, K.; Stergiadis, S. A comparative assessment of the nutritional composition of dairy and plant-based dairy alternatives available for sale in the UK and the implications for consumers’ dietary intakes. Food Res. Int. 2021, 148, 110586. [Google Scholar] [CrossRef]
- Chalupa-Krebzdak, S.; Long, C.J.; Bohrer, B.M. Nutrient density and nutritional value of milk and plant-based milk alternatives. Int. Dairy J. 2018, 87, 84–92. [Google Scholar] [CrossRef]
- McClements, D.J.; Newman, E.; McClements, I.F. Plant-based Milks: A Review of the Science Underpinning Their Design, Fabrication, and Performance. Compr. Rev. Food Sci. Food Saf. 2019, 18, 2047–2067. [Google Scholar] [CrossRef] [PubMed]
- Drabińska, N.; Ogrodowczyk, A. Crossroad of Tradition and Innovation—The Application of Lactic Acid Fermentation to Increase the Nutritional and Health-Promoting Potential of Plant-Based Food Products—A Review. Pol. J. Food Nutr. Sci. 2021, 71, 107–134. [Google Scholar] [CrossRef]
- Tangyu, M.; Muller, J.; Bolten, C.J.; Wittmann, C. Fermentation of plant-based milk alternatives for improved flavour and nutritional value. Appl. Microbiol. Biotechnol. 2019, 103, 9263–9275. [Google Scholar] [CrossRef]
- Tsoupras, A.; Moran, D.; Byrne, T.; Ryan, J.; Barrett, L.; Traas, C.; Zabetakis, I. Anti-Inflammatory and Anti-Platelet Properties of Lipid Bioactives from Apple Cider By-Products. Molecules 2021, 26, 2869. [Google Scholar] [CrossRef] [PubMed]
- Bligh, E.G.; Dyer, W.J. A Rapid Method of Total Lipid Extraction and Purification. Can. J. Biochem. Physiol. 1959, 37, 911–917. [Google Scholar] [CrossRef] [PubMed]
- Galanos, D.S.; Kapoulas, V.M. Isolation of polar lipids from triglyceride mixtures. J. Lipid Res. 1962, 3, 134–136. [Google Scholar] [CrossRef]
- Tsoupras, A.; Zabetakis, I.; Lordan, R. Platelet aggregometry assay for evaluating the effects of platelet agonists and antiplatelet compounds on platelet function in vitro. MethodsX 2018, 6, 63–70. [Google Scholar] [CrossRef] [PubMed]
- Ferreira, J.A.; Santos, J.M.; Breitkreitz, M.C.; Ferreira, J.M.S.; Lins, P.M.P.; Farias, S.C.; de Morais, D.R.; Eberlin, M.N.; Bottoli, C.B.G. Characterization of the lipid profile from coconut (Cocos nucifera L.) oil of different varieties by electrospray ionization mass spectrometry associated with principal component analysis and independent component analysis. Food Res. Int. 2019, 123, 189–197. [Google Scholar] [CrossRef]
- Beltran Sanahuja, A.; Maestre Perez, S.E.; Grane Teruel, N.; Valdes Garcia, A.; Prats Moya, M.S. Variability of Chemical Profile in Almonds (Prunus dulcis) of Different Cultivars and Origins. Foods 2021, 10, 153. [Google Scholar] [CrossRef]
- Fernando, D.; Goffman, S.P.; Bergman, C. Genetic Diversity for Lipid Content and Fatty Acid Profile in Rice Bran. JAOCS 2003, 80, 485–490. [Google Scholar]
- Tsoupras, A.; Lordan, R.; Harrington, J.; Pienaar, R.; Devaney, K.; Heaney, S.; Koidis, A.; Zabetakis, I. The Effects of Oxidation on the Antithrombotic Properties of Tea Lipids Against PAF, Thrombin, Collagen, and ADP. Foods 2020, 9, 385. [Google Scholar] [CrossRef]
- Tsoupras, A.; Brummell, C.; Kealy, C.; Vitkaitis, K.; Redfern, S.; Zabetakis, I. Cardio-Protective Properties and Health Benefits of Fish Lipid Bioactives; The Effects of Thermal Processing. Mar. Drugs 2022, 20, 187. [Google Scholar] [CrossRef]
- Reena, M.B.; Krishnakantha, T.P.; Lokesh, B.R. Lowering of platelet aggregation and serum eicosanoid levels in rats fed with a diet containing coconut oil blends with rice bran oil or sesame oil. Prostaglandins Leukot. Essent. Fat. Acids 2010, 83, 151–160. [Google Scholar] [CrossRef]
- Tarmoos, A.A.; Kafi, L.A. Effects of sweet almond (Prunus amygdalus) suspension on blood biochemical parameters in experimentally induced hyperlipidemic mice. Vet World 2019, 12, 1966–1969. [Google Scholar] [CrossRef] [PubMed]
- Wong, W.T.; Ismail, M.; Imam, M.U.; Zhang, Y.D. Modulation of platelet functions by crude rice (Oryza sativa) bran policosanol extract. BMC Complement. Altern. Med. 2016, 16, 252. [Google Scholar] [CrossRef] [PubMed][Green Version]
- Yang, Y.; Andrews, M.C.; Hu, Y.; Wang, D.; Qin, Y.; Zhu, Y.; Ni, H.; Ling, W. Anthocyanin extract from black rice significantly ameliorates platelet hyperactivity and hypertriglyceridemia in dyslipidemic rats induced by high fat diets. J. Agric. Food Chem. 2011, 59, 6759–6764. [Google Scholar] [CrossRef]
- Valero-Cases, E.; Cerda-Bernad, D.; Pastor, J.J.; Frutos, M.J. Non-Dairy Fermented Beverages as Potential Carriers to Ensure Probiotics, Prebiotics, and Bioactive Compounds Arrival to the Gut and Their Health Benefits. Nutrients 2020, 12, 1666. [Google Scholar] [CrossRef]
- Moran, D.; Fleming, M.; Daly, E.; Gaughan, N.; Zabetakis, I.; Traas, C.; Tsoupras, A. Anti-Platelet Properties of Apple Must/Skin Yeasts and of Their Fermented Apple Cider Products. Beverages 2021, 7, 54. [Google Scholar] [CrossRef]
- Hang, Y.; Zhang, T.; Liang, Y.; Jiang, L.; Sui, X. Dietary Bioactive Lipids: A Review on Absorption, Metabolism, and Health Properties. J. Agric. Food Chem. 2021, 69, 8929–8943. [Google Scholar] [CrossRef]
- Martinez-Padilla, E.; Li, K.; Blok Frandsen, H.; Skejovic Joehnke, M.; Vargas-Bello-Perez, E.; Lykke Petersen, I. In Vitro Protein Digestibility and Fatty Acid Profile of Commercial Plant-Based Milk Alternatives. Foods 2020, 9, 1784. [Google Scholar] [CrossRef]
- Granato, D.; Carocho, M.; Barros, L.; Zabetakis, I.; Mocan, A.; Tsoupras, A.; Cruz, A.G.; Pimentel, T.C. Implementation of Sustainable Development Goals in the dairy sector: Perspectives on the use of agro-industrial side-streams to design functional foods. Trends Food Sci. Technol. 2022, 124, 128–139. [Google Scholar] [CrossRef]
- Hannon, B.A.; Thompson, S.V.; An, R.; Teran-Garcia, M. Clinical Outcomes of Dietary Replacement of Saturated Fatty Acids with Unsaturated Fat Sources in Adults with Overweight and Obesity: A Systematic Review and Meta-Analysis of Randomized Control Trials. Ann. Nutr. Metab. 2017, 71, 107–117. [Google Scholar] [CrossRef]
- Nunez, D.; Randon, J.; Gandhi, C.; Siafaka-Kapadai, A.; Olson, M.S.; Hanahan, D.J. The inhibition of platelet-activating factor-induced platelet activation by oleic acid is associated with a decrease in polyphosphoinositide metabolism. J. Biol. Chem. 1990, 265, 18330–18338. [Google Scholar] [CrossRef]
- Bazán-Salinas, I.L.; Matías-Pérez, D.; Pérez-Campos, E.; Pérez-Campos Mayoral, L.; García-Montalvo, I.A. Reduction of Platelet Aggregation From Ingestion of Oleic and Linoleic Acids Found in Vitis vinifera and Arachis hypogaea Oils. Am. J. Ther. 2016, 23, e1315–e1319. [Google Scholar] [CrossRef] [PubMed]
- Santos, H.O.; Howell, S.; Earnest, C.P.; Teixeira, F.J. Coconut oil intake and its effects on the cardiometabolic profile—A structured literature review. Prog. Cardiovasc. Dis. 2019, 62, 436–443. [Google Scholar] [CrossRef] [PubMed]

| Samples | TL 1 | NL 1 | PL 1 |
|---|---|---|---|
| BM | 2.87 ± 0.25 * | 2.01 ± 0.22 * | 0.80 ± 0.12 * |
| HMFBM | 2.36 ± 0.41 * | 1.55 ± 0.45 * | 0.85 ± 0.17 * |
| HMAD | 0.43 ± 0.29 | 0.32 ± 0.27 | 0.11 ± 0.07 |
| HMFAD | 0.25 ± 0.27 | 0.19 ± 0.20 | 0.06 ± 0.07 |
| HMRD | 0.20 ± 0.10 | 0.14 ± 0.04 # | 0.06 ± 0.02 |
| HMFRD | 0.15 ± 0.05 # | 0.09 ± 0.06 # | 0.06 ± 0.05 |
| HMCD | 2.52 ± 0.81 * | 2.47 ± 0.80 * | 0.05 ± 0.01 |
| HMFCD | 1.88 ± 0.64 * | 1.83 ± 0.64 * | 0.05 ± 0.01 |
| CPFBM | 2.80 ± 0.25 * | 2.41 ± 0.25 * | 0.38 ± 0.03 * |
| CPAD | 0.62 ± 0.06 | 0.59 ± 0.07 | 0.04 ± 0.01 |
| CPFAD | 3.42 ± 0.52 * | 3.26 ± 0.51 * | 0.16 ± 0.01 |
| CPCD | 0.77 ± 0.03 | 0.75 ± 0.03 | 0.02 ± 0.01 # |
| CPFCD | 7.52 ± 0.47 ** | 7.39 ± 0.46 ** | 0.12 ± 0.01 |
| CPRD | 0.70 ± 0.08 | 0.56 ± 0.12 | 0.14 ± 0.05 |
| Fatty Acid | Lipid Number | BM | HMFBM | HMRD | HMFRD | HMAD | HMFAD | HMCD | HMFCD |
|---|---|---|---|---|---|---|---|---|---|
| Caprylic | 8:0 | 0.04 ± 0.011 | 0.04 ± 0.001 | 0.26 ± 0.163 | 0.15 ± 0.035 | ND | ND | 0.02 ± 0.005 | 0.13 ± 0.004 |
| Pelargonic | 9:0 | 0.02 ± 0.001 | ND | ND | ND | ND | ND | ND | ND |
| Capric | 10:0 | 0.69 ± 0.010 | 0.41 ± 0.010 | 0.09 ± 0.038 | 0.19 ± 0.043 | ND | 0.11 ± 0.010 | 0.36 ± 0.018 | 1.01 ± 0.026 |
| Undecylic | 11:0 | 0.16 ± 0.001 | ND | ND | ND | ND | ND | ND | 0.04 ± 0.000 |
| Lauric | 12:0 | 7.33 ± 0.086 | 35.11 ± 0.835 | 1.97 ± 0.110 | 9.82 ± 0.037 | 0.67 ± 0.023 | 9.12 ± 0.602 | 20.35 ± 0.096 | 46.95 ± 0.206 |
| Tridecylic | 13:0 | 0.38 ± 0.004 | 0.08 ± 0.004 | 0.06 ± 0.000 | 0.05 ± 0.001 | 0.04 ± 0.001 | 0.03 ± 0.002 | 0.06 ± 0.000 | 0.07 ± 0.001 |
| Myristic | 14:0 | 16.78 ± 0.113 | 15.92 ± 0.230 | 11.54 ± 0.305 | 11.02 ± 0.195 | 1.71 ± 0.034 | 4.78 ± 0.281 | 9.35 ± 0.084 | 21.82 ± 0.022 |
| Pentadecylic | 15:0 | 4.18 ± 0.015 | 0.65 ± 0.007 | 0.44 ± 0.007 | 0.33 ± 0.003 | 0.84 ± 0.670 | 0.22 ± 0.012 | 0.23 ± 0.003 | 0.07 ± 0.000 |
| Palmitic | 16:0 | 27.26 ± 0.442 | 18.53 ± 0.085 | 47.73 ± 0.142 | 34.18 ± 0.294 | 31.71 ± 0.280 | 15.57 ± 1.076 | 14.42 ± 0.412 | 9.68 ± 0.078 |
| Palmitoleic | 16:1(9) | 4.02 ± 0.020 | 1.10 ± 0.010 | 0.64 ± 0.017 | 0.64 ± 0.008 | 0.74 ± 0.011 | 0.97 ± 0.059 | 1.31 ± 0.012 | 0.08 ± 0.000 |
| Palmitelaidic | 16:1(9t) | ND | ND | ND | ND | ND | ND | ND | ND |
| Margaric | 17:0 | 3.18 ± 0.115 | 0.6 ± 0.005 | 0.35 ± 0.019 | 0.27 ± 0.011 | 0.39 ± 0.019 | 0.32 ± 0.016 | 0.19 ± 0.012 | 0.08 ± 0.003 |
| Stearic | 18:0 | 0.65 ± 0.046 | 0.44 ± 0.009 | 0.62 ± 0.012 | 0.38 ± 0.018 | 1.37 ± 0.019 | 4.80 ± 4.954 | 1.12 ± 0.135 | 0.38 ± 0.034 |
| Oleic | 18:1(9) | 33.09 ± 0.270 | 21.77 ± 1.049 | 29.28 ± 0.260 | 18.52 ± 0.766 | 61.79 ± 0.269 | 49.07 ± 2.335 | 47.48 ± 0.507 | 17.11 ± 0.113 |
| Elaidic | 18:1(9t) | ND | ND | ND | ND | ND | ND | ND | ND |
| Linoleic | 18:2(9,12) n-6 | 1.18 ± 0.004 | 3.88 ± 0.038 | 6.58 ± 0.119 | 23.41 ± 0.316 | 0.36 ± 0.004 | 14.06 ± 0.768 | 4.50 ± 0.050 | 2.40 ± 0.019 |
| Linolenic (α + γ) | 18:3(9,12,15) n-3/18:3(6,9,12) n-6 | ND | 0.39 ± 0.004 | 0.02 ± 0.001 | 0.86 ± 0.009 | ND | 0.19 ± 0.011 | 0.10 ± 0.000 | 0.08 ± 0.000 |
| Stearidonic | 18:4(6,9,12,15) n-3 | ND | ND | ND | ND | ND | ND | ND | ND |
| Nonadecylic | 19:0 | 0.02 ± 0.001 | ND | ND | ND | ND | ND | ND | ND |
| Arachidic | 20:0 | 0.48 ± 0.128 | 0.23 ± 0.108 | 0.23 ± 0.162 | ND | 0.38 ± 0.231 | 0.21 ± 0.150 | 0.21 ± 0.150 | ND |
| Gadoleic | 20:1(9) | 0.26 ± 0.047 | 0.14 ± 0.015 | 0.20 ± 0.007 | ND | ND | 0.24 ± 0.018 | 0.31 ± 0.011 | 0.08 ± 0.010 |
| Gondoic | 20:1(11) | ND | ND | ND | ND | ND | ND | ND | ND |
| DihomoLinoleic | 18:2(10,12) n-6 | 0.04 ± 0.002 | ND | ND | ND | ND | 0.05 ± 0.001 | ND | ND |
| Dihomolinolenic | 18:3(8,11,14) n-6 | 0.01 ± 0.000 | 0.16 ± 0.002 | ND | ND | ND | 0.01 ± 0.001 | 0.01 ± 0.000 | ND |
| Mead Acid | 20:3(5,8,11) | ND | ND | ND | ND | ND | ND | ND | ND |
| Arachidonic | 20:4(5,8,11,14) n-6 | ND | 0.24 ± 0.005 | ND | ND | ND | 0.03 ± 0.006 | ND | ND |
| Eicosatetraenoic | 20:4 | ND | ND | ND | ND | ND | ND | ND | ND |
| EPA | 20:5(5,8,11,14,17) n-3 | ND | 0.12 ± 0.002 | ND | ND | ND | 0.05 ± 0.004 | ND | ND |
| Heneicosylic | 21:0 | ND | ND | ND | ND | ND | ND | ND | ND |
| Behenic | 22:0 | ND | ND | ND | ND | ND | ND | ND | ND |
| Erucic | 22:1(13) | 0.16 ± 0.111 | ND | ND | ND | ND | 0.1 ± 0.074 | ND | ND |
| Docosadienoic | 22:2(13,16) n-6 | ND | ND | ND | ND | ND | ND | ND | ND |
| Eranthic | 22:3(5,13,16) n-6 | ND | ND | ND | ND | ND | ND | ND | ND |
| Ardenic | 22:4(7,10,13,16) n-6 | ND | 0.03 ± 0.003 | ND | ND | ND | ND | ND | ND |
| DPA | 22:5(4,7,10,13,16) n-3 | ND | 0.16 ± 0.001 | ND | ND | ND | ND | ND | ND |
| DHA | 22:6(4,7,10,13,16,19) n-3 | 0.01 ± 0.002 | ND | ND | ND | 0.02 ± 0.008 | 0.05 ± 0.007 | ND | ND |
| Tricosylic | 23:0 | ND | ND | ND | 0.19 ± 0.264 | ND | ND | ND | ND |
| Lignoceric | 24:0 | 0.06 ± 0.080 | ND | ND | ND | ND | ND | ND | ND |
| SFA | 61.23 | 72.02 | 63.29 | 56.57 | 37.10 | 35.16 | 46.30 | 80.24 | |
| MUFA | 37.53 | 23.01 | 30.11 | 19.17 | 62.53 | 50.39 | 49.10 | 17.27 | |
| PUFA | 1.24 | 4.97 | 6.60 | 24.26 | 0.37 | 14.45 | 4.60 | 2.49 | |
| UFA | 38.77 | 27.98 | 36.71 | 43.43 | 62.90 | 64.84 | 53.70 | 19.76 | |
| UFA/SFA | 0.63 | 0.39 | 0.58 | 0.77 | 1.70 | 1.84 | 1.16 | 0.25 |
| Fatty Acid | Lipid Numbers | BM | CPFBM | CPRD | CPAD | CPFAD | CPCD | CPFCD |
|---|---|---|---|---|---|---|---|---|
| Caprylic | 8:0 | 0.04 ± 0.011 | 0.05 ± 0.006 | 0.02 ± 0.008 | 0.01 ± 0.001 | ND | 0.06 ± 0.005 | 0.31 ± 0.031 |
| Pelargonic | 9:0 | 0.02 ± 0.001 | ND | ND | ND | ND | 0.01 ± 0.001 | ND |
| Capric | 10:0 | 0.69 ± 0.010 | 0.49 ± 0.063 | 0.12 ± 0.006 | 0.29 ± 0.027 | 0.01 ± 0.003 | 0.75 ± 0.021 | 0.81 ± 0.030 |
| Undecylic | 11:0 | 0.16 ± 0.001 | 0.18 ± 0.015 | ND | ND | ND | 0.17 ± 0.009 | 0.04 ± 0.001 |
| Lauric | 12:0 | 7.33 ± 0.086 | 8.21 ± 0.342 | 7.92 ± 0.102 | 5.24 ± 0.057 | 1.91 ± 0.011 | 16.5 ± 1.20 | 23.76 ± 0.310 |
| Tridecylic | 13:0 | 0.38 ± 0.004 | 0.32 ± 0.001 | 0.02 ± 0.000 | 0.24 ± 0.002 | ND | 0.21 ± 0.014 | 0.03 ± 0.001 |
| Myristic | 14:0 | 16.78 ± 0.113 | 11.72 ± 0.050 | 5.59 ± 0.031 | 10.31 ± 0.100 | 0.96 ± 0.016 | 12.48 ± 1.010 | 10.54 ± 0.038 |
| Pentadecylic | 15:0 | 4.18 ± 0.015 | 2.47 ± 0.031 | 0.13 ± 0.004 | 2.68 ± 0.043 | 0.06 ± 0.000 | 1.91 ± 0.201 | 0.06 ± 0.000 |
| Palmitic | 16:0 | 27.26 ± 0.442 | 20.1 ± 0.466 | 35.05 ± 0.087 | 27.49 ± 0.323 | 13.81 ± 0.248 | 19.73 ± 1.445 | 14.41 ± 0.073 |
| Palmitoleic | 16:1(9) | 4.02 ± 0.020 | 3.44 ± 0.038 | 0.70 ± 0.005 | 2.48 ± 0.031 | 1.23 ± 0.019 | 7.26 ± 7.150 | 0.47 ± 0.004 |
| Palmitelaidic | 16:1(9t) | ND | ND | ND | ND | ND | ND | ND |
| Margaric | 17:0 | 3.18 ± 0.115 | 4.78 ± 0.111 | 0.31 ± 0.010 | 2.66 ± 0.063 | 0.53 ± 0.036 | 1.86 ± 0.142 | 0.12 ± 0.003 |
| Stearic | 18:0 | 0.65 ± 0.046 | 1.05 ± 0.018 | 0.78 ± 0.004 | 1.4 ± 0.369 | 2.16 ± 0.066 | 0.97 ± 0.066 | 1.43 ± 0.172 |
| Oleic | 18:1(9) | 33.09 ± 0.270 | 33.7 ± 0.241 | 24.25 ± 0.132 | 44.23 ± 0.315 | 55.41 ± 0.257 | 29.45 ± 1.915 | 39.66 ± 0.131 |
| Elaidic | 18:1(9t) | ND | ND | ND | ND | ND | ND | ND |
| Linoleic | 18:2(9,12) n-6 | 1.18 ± 0.004 | 6.99 ± 0.075 | 22.97 ± 0.187 | 1.60 ± 0.028 | 21.94 ± 0.086 | 5.13 ± 0.509 | 7.29 ± 0.051 |
| Linolenic (α + γ) | 18:3(9,12,15) n-3/18:3(6,9,12) n-6 | ND | 2.37 ± 0.143 | 1.59 ± 0.025 | 0.09 ± 0.002 | 0.54 ± 0.005 | 1.04 ± 0.069 | 0.13 ± 0.003 |
| Stearidonic | 18:4(6,9,12,15) n-3 | ND | 0.06 ± 0.002 | ND | ND | ND | ND | ND |
| Nonadecylic | 19:0 | 0.02 ± 0.001 | 0.03 ± 0.015 | ND | 0.06 ± 0.002 | ND | 0.04 ± 0.003 | ND |
| Arachidic | 20:0 | 0.48 ± 0.128 | 0.37 ± 0.107 | 0.19 ± 0.138 | 0.71 ± 0.281 | 0.65 ± 0.460 | 1.2 ± 0.930 | 0.26 ± 0.220 |
| Gadoleic | 20:1(9) | 0.26 ± 0.047 | 0.84 ± 0.144 | 0.30 ± 0.047 | 0.37 ± 0.009 | 0.71 ± 0.034 | 0.48 ± 0.074 | 0.63 ± 0.077 |
| Gondoic | 20:1(11) | ND | ND | ND | ND | ND | ND | ND |
| DihomoLinoleic | 18:2(10,12) n-6 | 0.04 ± 0.002 | 0.39 ± 0.015 | 0.06 ± 0.002 | 0.04 ± 0.002 | 0.08 ± 0.003 | 0.08 ± 0.006 | 0.04 ± 0.001 |
| Dihomolinolenic | 18:3(8,11,14) n-6 | 0.01 ± 0.000 | 0.49 ± 0.004 | ND | ND | ND | 0.1 ± 0.009 | ND |
| Mead Acid | 20:3(5,8,11) | ND | ND | ND | ND | ND | ND | ND |
| Arachidonic | 20:4(5,8,11,14) n-6 | ND | 0.77 ± 0.009 | ND | ND | ND | 0.17 ± 0.018 | ND |
| Eicosatetraenoic | 20:4 | ND | ND | ND | ND | ND | ND | ND |
| EPA | 20:5(5,8,11,14,17) n-3 | ND | 0.41 ± 0.006 | ND | ND | ND | 0.13 ± 0.008 | ND |
| Heneicosylic | 21:0 | ND | ND | ND | ND | ND | ND | ND |
| Behenic | 22:0 | ND | ND | ND | ND | ND | ND | ND |
| Erucic | 22:1(13) | 0.16 ± 0.111 | 0.15 ± 0.108 | ND | 0.07 ± 0.049 | ND | 0.14 ± 0.100 | 0.02 ± 0.012 |
| Docosadienoic | 22:2(13,16) n-6 | ND | ND | ND | ND | ND | ND | ND |
| Eranthic | 22:3(5,13,16) n-6 | ND | 0.02 ± 0.001 | ND | ND | ND | ND | ND |
| Ardenic | 22:4(7,10,13,16) n-6 | ND | 0.08 ± 0.001 | ND | ND | ND | 0.02 ± 0.001 | ND |
| DPA | 22:5(4,7,10,13,16) n-3 | ND | 0.48 ± 0.004 | ND | ND | ND | 0.11 ± 0.010 | ND |
| DHA | 22:6(4,7,10,13,16,19) n-3 | 0.01 ± 0.002 | 0.04 ± 0.028 | ND | 0.02 ± 0.014 | 0.01 ± 0.001 | ND | ND |
| Tricosylic | 23:0 | ND | ND | ND | ND | ND | ND | ND |
| Lignoceric | 24:0 | 0.06 ± 0.080 | ND | ND | ND | ND | ND | ND |
| SFA | 61.23 | 49.76 | 50.13 | 51.10 | 20.08 | 55.89 | 51.77 | |
| MUFA | 37.53 | 38.14 | 25.25 | 47.15 | 57.35 | 37.32 | 40.78 | |
| PUFA | 1.24 | 12.10 | 24.62 | 1.75 | 22.57 | 6.79 | 7.46 | |
| UFA | 38.77 | 50.24 | 49.87 | 48.9 | 79.92 | 44.11 | 48.23 | |
| UFA/SFA | 0.63 | 1.01 | 0.99 | 0.66 | 3.98 | 0.79 | 0.93 |
Publisher’s Note: MDPI stays neutral with regard to jurisdictional claims in published maps and institutional affiliations. |
© 2022 by the authors. Licensee MDPI, Basel, Switzerland. This article is an open access article distributed under the terms and conditions of the Creative Commons Attribution (CC BY) license (https://creativecommons.org/licenses/by/4.0/).
Share and Cite
Glenn-Davi, K.; Hurley, A.; Brennan, E.; Coughlan, J.; Shiels, K.; Moran, D.; Saha, S.K.; Zabetakis, I.; Tsoupras, A. Fermentation Enhances the Anti-Inflammatory and Anti-Platelet Properties of Both Bovine Dairy and Plant-Derived Dairy Alternatives. Fermentation 2022, 8, 292. https://doi.org/10.3390/fermentation8070292
Glenn-Davi K, Hurley A, Brennan E, Coughlan J, Shiels K, Moran D, Saha SK, Zabetakis I, Tsoupras A. Fermentation Enhances the Anti-Inflammatory and Anti-Platelet Properties of Both Bovine Dairy and Plant-Derived Dairy Alternatives. Fermentation. 2022; 8(7):292. https://doi.org/10.3390/fermentation8070292
Chicago/Turabian StyleGlenn-Davi, Kyeesha, Alison Hurley, Eireann Brennan, Jack Coughlan, Katie Shiels, Donal Moran, Sushanta Kumar Saha, Ioannis Zabetakis, and Alexandros Tsoupras. 2022. "Fermentation Enhances the Anti-Inflammatory and Anti-Platelet Properties of Both Bovine Dairy and Plant-Derived Dairy Alternatives" Fermentation 8, no. 7: 292. https://doi.org/10.3390/fermentation8070292
APA StyleGlenn-Davi, K., Hurley, A., Brennan, E., Coughlan, J., Shiels, K., Moran, D., Saha, S. K., Zabetakis, I., & Tsoupras, A. (2022). Fermentation Enhances the Anti-Inflammatory and Anti-Platelet Properties of Both Bovine Dairy and Plant-Derived Dairy Alternatives. Fermentation, 8(7), 292. https://doi.org/10.3390/fermentation8070292

