Abstract
The growing demand for natural products benefits the development of bioprocesses to obtain value-added compounds using residues such as sweet whey, which is rich in lactose. The yeast Kluyveromyces marxianus can ferment sweet whey to obtain 2-phenylethanol (2-PhEtOH), which is a superior alcohol with a rose aroma. Such fermentation only requires the addition of L-phenylalanine (precursor) and (NH4)2SO4 (salt). Therefore, it was sought to improve the fermentation conditions to produce 2-PhEtOH, which, in turn, would achieve the maximum decrease in the Chemical Oxygen Demand (COD) of the fermentation medium. With the use of the Response Surface Methodology and the application of a Central Composite Design for optimization, two parameters were evaluated as a function of time: salt concentration and precursor. The experimental data were adjusted to a second order polynomial, identifying that the precursor concentration presents a statistically significant effect. The best conditions were: 4.50 g/L of precursor and 0.76 g/L of salt, with a maximum production of 1.2 g/L (2-PhEtOH) at 48 h and achieving a maximum percentage of COD removal of 76% at 96 h. Finally, the optimal conditions were experimentally validated, recommending the use of the model.
1. Introduction
The biotechnological production of aromatic compounds with pharmacological, food and cosmetic interest, has acquired greater importance. Since the production by chemical synthesis (Friedel-Crafts and Gringnard) and plant extraction, generates corrosive and toxic waste for humans and the environment [1,2,3,4] and makes difficult the use of aroma in the food industry where aroma legally labeled “natural” are required [5]. 2-Phenylethanol (2-PhEtOH) is a higher alcohol with a pleasant rosy aroma, whose demand increases between 10 and 15% each year and when it comes from natural sources, its market value may be higher than USD 1000 dollars/kg [6]. It is important to note that its production is limited due to adverse effects linked to chemical synthesis, which makes it attractive to obtain by fermentation [7].
The production of 2-PhEtOH by fermentation has been well studied, obtaining in optimized processes up to 5.6 g/L using well-defined and expensive culture media [2]. However, there is another variant of the fermentative methods for obtaining 2-PhEtOH, in which the use of agro-industrial residues as nutrients source for culture media has been explored, although there are few studies. When beet molasses was used as carbon sources supplemented with 7 g/L of L-phenylalanine, 0.89 g/L of 2-PhEtOH was achieved using Kluyveromyces marxianus [8]. With grape juice as the carbon source supplied with 5 g/L of L-phenylalanine, 0.77 g/L of 2-PhEtOH was obtained by K. marxianus [3]. When cane molasses wastewater was supplemented with 6 g/L of L-phenylalanine, 0.99 g/L of 2-PhEtOH was produced using microbial mixed cultures [4]. A study with six isolated strains, all displayed the ability to produce 2-PhEtOH in a range of 1.17–3.28 g/L using a medium with 3% (w/v) whey supplemented with 3% (w/v) sugar beet (molasses, thick juice, or sludge II) and 5 g/L of L-phenylalanine [8]. Lastly, K. marxianus in grape must cultures, produces 2-PhEtOH at 0.47 g/L when supplemented with 3.0 g of L-phenylalanine [9]. All the studies with residuals, use them in a complementary way, except the work by [9] where they use of the complete grape must and only supplemented with L-phenylalanine. This implies that the use of crude residues (undiluted) has not often been explored, much less has been optimized to produce 2-PhEtOH. The only antecedent of optimization with residuals is that reported by [9] where a central composite design and response surface methodology was used.
The yeast K. marxianus has the characteristic of growing and developing in lactose-rich media; therefore, it can be used to ferment residues from the cheese industry [2]. Sweet whey is considered a pollutant with a high content of organic matter, whose chemical oxygen demand (COD) values are between 6000–8000 mg/L [10], with a lactose content of 40 to 60 g/L [11]. Previous research has highlighted the use of whey to produce higher alcohols such as 2-PhEtOH, that it is obtained from the Ehrlich pathway; however, although it is known that this route has a higher yield of metabolite production, it is affected by several factors [2,12,13]. The principals are the carbon, nitrogen and precursor source (L-phenylalanine). This relationship can affect production performance, as well as the accumulation of some metabolite, causing an inhibition of yeast growth [14]. 2-PhEtOH production optimization with crude sweet whey has two advantages, obtaining a product with high added value using an agro-industrial waste, as well as the significant reduction of the organic load of the waste that allows the subsequent waste treatment to be less expensive. In this way, a benefit is obtained from the waste treatment of a residue that is very difficult to eliminate and reduces the use of synthetic culture media. The use of 2-PhEtOH in the food industry is also favored as it comes from a GRAS microorganism (K. marxianus) [9].
The response surface methodology (RSM) is a set of mathematical and statistical tools, based on a multiple regression analysis using experimental data that yields equations that allow us to identify and statistically relate the multiple variables that affect the fermentation process, obtaining benefits such as an increase in production performance, reduction of time and cost of the process [14,15,16,17]. In this work, the best fermentation conditions were optimized and validated to produce 2-PhEtOH from sweet whey with K. marxianus and the reduction of COD of the culture medium, by means of RSM, evaluating two parameters as a function of time: concentration of L-phenylalanine (precursor) and (NH4)2SO4 (salt).
2. Materials and Methods
2.1. Biological Material
The Kluyveromyces marxianus strain was kept in petri dishes with Potato Dextrose Agar (PDA) medium, 39 g/L (Bioxon, Cuautitlán Izcalli, Estado de México, México); incubated for 24 h at 28 °C and subsequently refrigerated at 4 °C, until use [2]. For the inoculum of subsequent cultures with whey, the strain was grown in an LPY medium, lactose (80 g/L) (Tecsiquim, Toluca de Laredo, México), casein peptone (40 g/L) (Bioxon, Cuautitlán Izcalli, Estado de México, México) and extract yeast (20 g/L) (MCD LAB, Tlalnepantla de Baz, Estado de México, México), at pH 4.8.
2.2. Sweet Whey (Substrate)
A 50 L batch of sweet whey was provided by the dairy producer PROUNILAC of the Autonomous University of the State of Hidalgo (Tulancingo de Bravo, Hidalgo, Mexico). Before refrigeration, the whey was pasteurized at 63 °C for 30 min. The pH was adjusted to 4.8, with a solution of H2SO4 at a concentration of 1 N. The samples were kept in 10 L polypropylene containers, then they were transported with ice to the laboratory, where they were stored at 4 °C, until its use.
2.3. Experimental Design: Central Composite Design (CCD)
To evaluate the fermentation conditions of 2-PhEtOH production (precursor and salt concentration), a rotatable composite central design (CCD) was used, the distance between the axial points to the center was α = ±1.41. Four center points were established to provide a predicted stable reasonable variance [14,15]. The range and levels of the variables are presented in Table 1. The design was obtained with the help of Design Expert software version 11.1.
Table 1.
Central Composite Design Matrix.
2.4. Fermentation
The strains were pre-grown in 250 mL Erlenmeyer flaks, containing a 100 mL working volume of yeast medium LPY and incubated at 28 °C for 24 h and 245 rpm. For the fermentation, the stains were inoculated at 1 × 106 cells per ml and incubated at 28 °C for 24 h and 245 rpm. The inoculum was added (100 µL) to 24-well plates (Fisher Scientific, Monterrey, Nuevo León, México), which working volume was 1.9 mL, then was fixed in a support with orbital shaking (5 mm diameter shaking) [18]. Each well of the plate containing the inoculum was previously adjusted to the amount of 1 × 106 cells per mL and 100 µL precursor and salt whose concentrations for each treatment (defined in Table 1), the remaining volume 1700 μL was sweet whey pretreated (see 2.2) [19]. Every 24 h, aliquots of 1 mL were taken from each well and placed in sterile plastic (Eppendorf, Coyoacán, Cuidad de México, México) tubes and analyzed by gas chromatography to detect the production of 2-PhEtOH. All fermentation were carried in triplicate.
2.5. Optimization
The optimization of the fermentation was carried out by the response surface methodology, using least squares with the Design Expert software 11.1. The objective function was a second-order model (Equation (1)) [14,15,16,17].
where:
Y = Response variable.
Xi and Xj = Independent variables.
β0 = Intersection coefficient.
βi = Linear coefficient.
βii = Quadratic coefficient.
βij = Coefficient of cross products.
ε = Random experimental error.
The validation of the model obtained for each fermentation time was carried out, performing mean comparisons with the same software mentioned above.
2.6. Gas Chromatography (GC)
The aliquots of 1 mL were previously centrifuged at 600 rpm for 3 min. The supernatant was removed and filtered with cellulose membrane (0.2 µm) and placed in sterile plastic tubes (Eppendorf, Coyoacán, Cuidad de México, Mexico). The analysis was performed in a gas chromatograph (Thermo Fisher Scientific model, Trace 1310, Bremen, Germany) equipped with an FID detector and a DB WAX J&W Scientifics column (60 m × 0.25 mm × 0.25 μm). The injector and detector temperatures were set at 250 °C and 300 °C, respectively.
The oven operated with a temperature ramp from 35 to 210 °C, with a heating rate of 50 °C/min for 4 min. The carrier gas was nitrogen at 1 mL/min. Compounds were identified and quantified through standard comparisons. Each injection was done in triplicate.
2.7. Determination of the Chemical Oxygen Demand (COD)
The COD was determined in all the samples by triplicate, following the standardized method 973.46E of the AOAC (1996). The reading was taken with a spectrophotometer (Thermo Scientific model BioMate 3S, Bremen, Germany) 44 at 600 nm. The determination of the COD concentration was made with the calibration curve, expressed in mg O2/L. According to [20], the COD removal efficiency of each treatment used in the central compound design was calculated. The equation for determination is:
where:
R: System removal efficiency (%).
Y: Output pollutant load (mg O2/L COD or TSS/L).
Y0: Inlet pollutant load (mg O2/L COD or TSS/L).
2.8. Statistic Analysis
For the validation of the obtained models, a means tests by LSD (least-squares deviation) was applied, with a confidence limit of 95%, using the Design Expert software 11.1.
3. Results
3.1. Production of 2-PhEtOH
For 2-PhEtOH optimization, three experimental stages were carried out. First, two variables were selected according to preliminary studies, showing that the concentration of L-phenylalanine and salt influence aroma production [19]. Second, the best fermentation conditions were observed by obtaining the models, corroborating that the precursor concentration presents a statistically significant effect on the response. Finally, the conditions were verified to ratify the results obtained. Table 2 shows the analysis of variance of the respective models that were generated from experimental data. Likewise, the equations generated are presented in Table 3.
Table 2.
Analysis of variance of 2-PhEtOH production, at different fermentation times.
Table 3.
Equations of the 2-PhEtOH production models.
In the results of Table 2, the effect of the precursor and salt concentration on the response is observed, allowing to obtain the regressions (Table 3). The R2 values, of each of the fermentation times, present slightly low. However, the data indicate that the equations are adequate to analyze and establish the prediction of the changes in the concentration of 2-PhEtOH. The precursor concentration is the key factor since it has a value of p < 0.05. The value of this factor can be positive or negative depending on the response. Although it depends on other factors that will be detailed later. The approximations of the best fermentation conditions are shown in Figure 1, which confirms the values and models observed in Table 2 and Table 3. According to variations in R2 of each model, it is recommended to perform a validation of the same.
Figure 1.
Response surfaces of the different fermentation times on 2-PhEtOH production, where (A) 24 h, (B) 48 h, (C) 72 h and (D) 96 h.
Table 4 shows the maximum concentration of the aroma, as well as the combination of precursor and salt for the generated values, highlighting the 48 and 72 h. Since the maximum concentration of 2-PhEtOH was obtained, with 1.25 and 1.17 g/L, respectively.
Table 4.
Production of 2-PhEtOH in different times.
Figure 1A, B schematizes the fermentation at 24 and 48 h of culture, where a flat shape can be seen, attributable to a first-order model, while at 72 and 96 h it corresponds to a second-order model, which is appropriate to observe the maximum response within the study region.
3.2. Decrease in COD
The COD concentration was determined at the beginning of the process, as well as in the different fermentation times, to determine the % removal efficiency of organic matter according to the different treatments tested (Table 5).
Table 5.
Initial COD concentration.
The data reveal that the content of organic matter present in the sweet whey, surpasses the permissible limit for its discharge to water bodies [10]. This makes it a major environmental pollutant if not treated properly. That is why look alternatives for the use of sweet whey that generate added value, make its waste treatment attractive before disposing of it. The present study intends to link through optimization, the use of the precursor and salt in the production of 2-PhEtOH, with the maximum % removal of COD (Table 6 and Table 7).
Table 6.
Analysis of variance of the decrease in COD, at different times of fermentation.
Table 7.
Equations of the COD models.
From both tables it is generally identified that almost all the terms, except for the quadratic of salt, are significant. This is corroborated with the R2 value. The use of models is recommended.
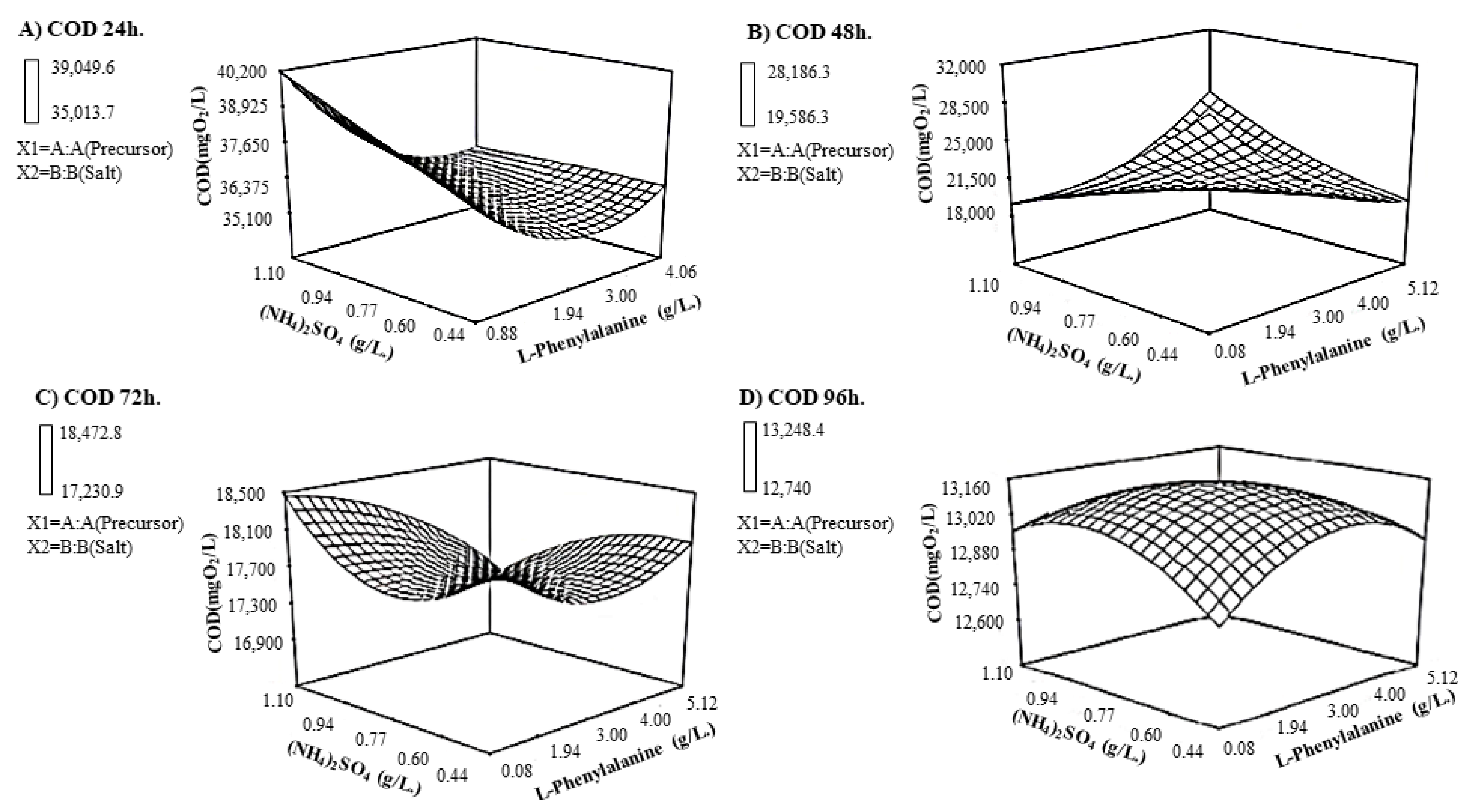
From Figure 2, the curvatures presented in the graphs are characteristic of a second-order model, which is evident at 96 h. The data of the % removal of COD from sweet whey are presented in Table 8.
Figure 2.
COD response surface, at the different fermentation times, where (A) 24 h, (B) 48 h, (C) 72 h and (D) 96 h.
Table 8.
Removal of COD in different fermentation times.
Table 8 identifies that, at 96 h, the maximum % removal of 76% was obtained, demonstrating the efficacy of the applied treatments.
3.3. Validation of the Models
Of the twelve applied treatments, those with the highest 2-PhEtOH production were selected, to validate the proposed models at 48, 60 and 72 h (Figure 3).
Figure 3.
Mean comparisons (LSD) of the 2-PhEtOH production conditions.
The mean comparison graph (Figure 3), shows that treatment 1 (T1) produces the lower amount of 2-PhEtOH, under the conditions predicted by the model, while at 60 h the yeast produces approximately 1 g/L and at 72 h it produces 1.2 g/L. Whereas treatment T2 produces a greater metabolite concentration at 48 h. Although a large increase in production is not observed with respect to 60 and 72 h, with a production of 1.08 g/L. The aroma concentration is like the aforementioned results, for which the use of the obtained models is recommended to predict future responses.
4. Discussion
The microbial fermentation process is complex, since small variations in the composition of the media and the study conditions influence the yields of the metabolites, as well as causing changes in the metabolism of the strain [21,22,23]. Investigations carried out by various authors support the fundamental role of the concentration of the carbon and nitrogen sources [3,19]. One study report that have different nitrogen source during fermentation significantly reduces the production of higher alcohols in cultures of Hanseniaspora Vinae, showing that cultivation conditions and yeast species are important factors. Therefore, although it is difficult to determine the optimal fermentation conditions, the RSM is a powerful tool to optimize the fermentation medium of K. marxianus during aroma production, according to the experimental results and the analysis of variance of the obtained models. The statistically significant factor is the content of the amino-acid L-phenylalanine present in the fermentation broth (p < 0.05). This can be attributed to the fact that the Ehrlich pathway is favored, since L-phenylalanine is the precursor of this. The difference with the Shikimate pathway is that it has several regulations, related to the feedback of metabolic branches that implies more steps to achieve bioconversion [7,24,25].
The physiologic response of the strain is related with the culture medium composition. It plays an important role in avoiding the synthesis of unwanted by-products and impacts the fermentation efficiency of any product of interest [26]. Therefore, from Figure 1A can be seen, at 24 h, a flat shape attributable to a first-order model, indicating that it is not yet on optimal region [15]. This behavior serves as a starting point to guide towards the best conditions of the experiment, where preferably it should be presented a curvature (second-order model). At 48 h (Figure 1B), a same behavior it observed, first-order model was obtained again with a considerable lack of adjustment, which may be attributable to the fact that it was always trying to fit a second-order model. One way to counteract this inconvenience is to eliminate terms that affect the response. However, it is necessary to establish a hierarchical order of the candidates to be eliminated, since it may or may not benefit the error [15]. However, this begins to observe a curvature, which indicates an approach to a second-order model.
The production of 2-PhEtOH at 72 and 96 h (Figure 1C,D), shows graphs corresponding to a second-order model, which allows to observe a maximum response within the study region. Table 4 shows the maximum aroma concentration, as well as the combination of precursor and salt necessary to achieve it. The 48 and 72 h stand out, because it obtained the maximum concentration of 2-PhEtOH, the values were 1.25 and 1.17 g/L, respectively. It has been reported that working with 1 g/L of L-phenylalanine and 0.45 g/L of (NH4)2SO4, aroma production values of 0.78 g/L at 96 h will obtained [24]. Under these conditions, it can see that the applied treatments improve the fermentation time, the main objective of optimizing a process. Some authors suggest considering the ethanol production; 2-PhEtOH and ethanol show a synergistic effect, inhibiting yeast proliferation, recommending avoiding the accumulation of both during the fermentation process [7,19,27]. The last can be disregarded due to Crabtree effect in K. Marxianus. Recently, [28] concluded that under micro-aeration conditions and a high content of carbon source (inulin) the production of ethyl alcohol could be favored. For this reason, it is intuited that the system of this study follows this way. Therefore, it is suggested to carry out new studies considering aeration as variables.
As pointed out in the introduction, few studies explore the use of industrial waste to produce aromatic compounds, especially using them crude, that is, undiluted. The review carried out by [6] presents an analysis of the investigations that have used agro-industrial residues. Like the grape must, where the production of 2-PhEtOH was 0.39 g/L with 3 g/L of precursor in 84 h of culture. Like the present study, they optimized production, taking pH, temperature and precursor concentration as variables [8]. In another report [18], with sugar beet molasses, reaching 0.89 g/L with 7 g/L of L-phenylalanine in 41 h. The concentration of 2-PhEtOH in the present study is higher than those reported.
The data obtained reveal that the content of organic matter (Table 5) present in the sweet whey, exceeds the permissible limit for its discharge into water bodies [10]. As a result, the environmental problems range from phenomena such as eutrophication impacting the life and development of aquatic species, as well as the proliferation of unpleasant odors. Obtaining polynomials and response surface graphs (Table 6 and Figure 2) allows not only to relate the effect of the precursor and salt on the production of 2-PhEtOH, but the role they play with the % COD removal, where the significant factors of are the salt content and precursor. This were corroborated with the behavior of the graphs (Figure 2), which correspond to a second-order model given the curvature they present, being more evident at 96 h. In Table 8, at 96 h, the maximum removal percentage was obtained with 76%, demonstrating the efficacy of the applied treatments by reducing three-quarters of the initial COD load. Another study where the reduction of the organic load of the whey was explored for K. marxianus, reporting a reduction up to 64.3% with an initial content of 51,500 mg O2/L, within the first 10–12 h under aerobic conditions [29].
This can be a consequence of the Crabtree effect in yeasts, which major example is defined as a preferential fermentation process due to high levels of carbohydrates, even under aerobic conditions [30]. It is classified as positive and negative. Saccharomyces cerevisiae it is a Crabtree-positive yeast, characterized by not producing biomass, due to its sensitivity to high glucose concentrations, preferring to carry out alcoholic fermentation instead of breathing [31]. Contrary, with K. marxianus, a Crabtree-negative yeast, can grow under aerobic conditions in the presence of high levels of carbon source. For this reason, although ethanol production was not determined in the present work, it cannot be considered as a variable that influenced the production of 2-PhEtOH. Since K. marxianus, being Crabtree-negative, does not produce ethanol under aerobic conditions even under high carbohydrate loads, which allows consuming a greater amount of them in shorter periods of time. The low tendency in K. marxianus to produce alcohol might be a consequence of its capacity of keeping a glycolytic flux constant, due in part to the diversion of carbon flux towards the biosynthesis of carbohydrates and towards the pentose phosphate pathway [32]. Therefore, K. marxianus is considered effective for the rapid conversion of carbon sources [31]. This was also observed by [29], who reported higher percentages of decrease in organic matter, which for practical purposes meets its objective. While the objective of the present work was not only to reduce the COD, but also to obtain the maximum production of 2-PhEtOH. The results of the experimental validation of the precursor and salt concentration estimates were positive and close to previously observed. Therefore, the use of models is recommended to predict future responses. Optimizing the use of waste in the raw state (undiluted), to produce value-added metabolites, has operational and economic advantages. At an operational level, it allows lower operating volumes and, as observed in this study, it contributes to the remediation of sweet whey, with which a significant economic benefit could be obtained [6].
5. Conclusions
Through the response surface methodology, using a central compound design, the production of 2-Phenylethanol was optimized, from the fermentation of sweet whey with Kluyveromyces marxianus. The optimal values found were 4.50 g/L of L-phenylalanine and 0.76 g/L of (NH4)2SO4, reaching a metabolite formation of 1.2 g/L in 48 h.
The analysis of variance of the twelve treatments, allowed us to visualize the significance of the precursor and the salt to increase the production of 2-PhEtOH and decrease the COD, finding that L-phenylalanine has a significant effect. When validating the results, the use of models is recommended. Finally, it is important to emphasize the complexity of the organic matter used for this work, since it is precisely this that makes the optimization of the process a challenge. For future research it is necessary to design an aroma recovery mechanism, preferably as it is produced, to enhance the production of 2-PhEtOH and give it better use to the added precursor.
Author Contributions
Conceptualization, M.A.-V., A.C.-R. and C.A.G.-A.; methodology, M.A.-V., L.C.-B., C.A.G.-A. and M.d.R.R.-V.; software, C.A.G.-A. validation, M.A.-V., C.A.G.-A. and A.T.-J.; formal analysis, M.A.-V. and C.A.G.-A.; investigation, M.A.-V. and A.C.-R.; resources, A.C.-R., C.A.G.-A., M.d.R.R.-V., J.C.-R. and A.T.-J.; data curation, M.A.-V. and C.A.G.-A.; writing—original draft preparation, M.A.-V. and A.C.-R.; writing—review and editing, M.A.-V., A.C.-R.; visualization, M.A.-V., A.C.-R., L.C.-B. and M.d.R.R.-V.; supervision, A.C.-R., C.A.G.-A.; project administration, A.C.-R. and C.A.G.-A.; funding acquisition, A.C.-R. and C.A.G.-A. and J.C.-R. All authors have read and agreed to the published version of the manuscript.
Funding
This research received no external funding.
Institutional Review Board Statement
Not applicable.
Informed Consent Statement
Not applicable.
Data Availability Statement
No extra data are available.
Acknowledgments
The first author thanks the support to Consejo Nacional de Ciencia y Tecnología (CONACYT) for the scholarship awarded to obtain the master’s degree in biotechnology on the postgraduate program of Universidad Politécnica de Pachuca, included in the National Quality Postgraduate Program.
Conflicts of Interest
The authors declare no conflict of interest.
References
- Etschmann, M.; Sell, D.; Schrader, J. Screening of yeasts for the production of the aroma compound 2-phenylethanol in a molasses-based medium. Biotechnol. Lett. 2003, 25, 531–536. [Google Scholar] [CrossRef]
- Etschmann, M.; Sell, D.; Schrader, J. Medium optimization for the production of the aroma compound 2-phenylethanol using a genetic algorithm. J. Mol. Catal. B Enzym. 2004, 29, 187–193. [Google Scholar] [CrossRef]
- Sarkar, N.; Ghosh, S.K.; Bannerjee, S.; Aikat, K. Bioethanol production from agricultural wastes: An overview. Renew. Energ. 2012, 37, 19–27. [Google Scholar] [CrossRef]
- Mu, L.; Hu, X.; Liu, X.; Zhao, Y.; Xu, Y. Production of 2-phenylethanol by microbial mixed cultures allows resource recovery of cane molasses wastewater. Fresen Environ. Bull. 2014, 23, 1356–1365. [Google Scholar]
- Longo, M.A.; Sanromán, M.A. Production of food aroma compounds: Microbial and enzymatic methodologies. Food Technol. Biotechnol. 2006, 44, 335–353. [Google Scholar]
- Mitri, S.; Koubaa, M.; Maroun, R.G.; Rossignol, T.; Nicaud, J.M.; Louka, N. Bioproduction of 2-Phenylethanol through Yeast Fermentation on Synthetic Media and on Agro-Industrial Waste and By-Products: A Review. Foods 2022, 11, 109. [Google Scholar] [CrossRef]
- Rodríguez-Romero, J.J.; Aceves-Lara, C.A.; Ferreira-Silva, C.; Gschaedler, A.; Amaya-Delgado, L.; Arrizon, J. 2-Phenylethanol and 2-phenylethylacetate production by nonconventional yeasts using tequila vinasses as a substrate. Biotechnol. Rep. 2020, 25, e00420. [Google Scholar] [CrossRef] [PubMed]
- Chreptowicz, K.; Sternicka, M.K.; Kowalska, P.D.; Mierzejewska, J. Screening of yeasts for the production of 2-phenylethanol (rose aroma) in organic waste-based media. Lett. Appl. Microbiol. 2018, 66, 153–160. [Google Scholar] [CrossRef]
- Garavaglia, J.; Flores, S.H.; Pizzolato, T.M.; do Carmo Peralba, M.; Ayub, M.A.Z. Bioconversion of L-phenylalanine into 2-phenylethanol by Kluyveromyces marxianus in grape must cultures. World J. Microbiol. Biotechnol. 2007, 23, 1273–1279. [Google Scholar] [CrossRef]
- Spalatelu, C. Biotechnological valorization of whey. Innov. Rom. Food Biotechnol. 2012, 10, 1–8. [Google Scholar]
- Prazeres, A.R.; Carvalho, F.; Rivas, J. Cheese whey management: A review. J. Environ. Manag. 2012, 110, 48–68. [Google Scholar] [CrossRef] [PubMed]
- Qian, X.; Yan, W.; Zhang, W.; Dong, W.; Ma, J.; Ochsenreither, K.; Jiang, M.; Xin, F. Current status and perspectives of 2-phenylethanol production through biological processes. Crit. Rev. Biotechnol. 2019, 39, 235–248. [Google Scholar] [CrossRef]
- Hua, D.; Xu, P. Recent advances in biotechnological production of 2-phenylethanol. Biotechnol. Adv. 2011, 29, 654–660. [Google Scholar] [CrossRef]
- Montgomery, D. Design and Analysis of Experiments, 8th ed.; Wiley: Hoboken, NJ, USA, 2012; pp. 478–544. [Google Scholar]
- Corona-González, R.; Ramos-Ibarra, J.; Gutiérrez-González, P.; Pelayo-Ortiz, C.; Guatemala-Morales, G.; Arriola-Guevara, E. The use of response surface methodology to evaluate the fermentation conditions in the production of tepache. Rev. Mex. Ing. Quím. 2020, 12, 19–28. [Google Scholar]
- Hernández-Díaz, W.N.; Hernández-Campos, F.J.; Vargas-Galarze, Z.; Rodríguez-Jiménez, G.C.; García-Alvarado, M.A. Coffee Grain Rotary Drying Optimization. Rev. Mex. Ing. Quím. 2013, 12, 315–325. [Google Scholar]
- Téllez-Mora, P.; Peraza-Luna, F.A.; Feria-Velasco, A.; Andrade-González, I. Optimization of fermentation process for tequila production using response surface methodology (RSM). Rev. Mex. Ing. Quím. 2020, 11, 163–176. [Google Scholar]
- Ramírez-Vargas, R.; Vital-Jacome, M.; Camacho-Pérez, E.; Hubbard, L.; Thalasso, F. Characterization of oxygen transfer in a 24-well microbioreactor system and potential respirometric applications. J. Biotechnol. 2014, 186, 58–68. [Google Scholar] [CrossRef][Green Version]
- Conde-Báez, L.; Castro-Rosas, J.; Villagómez-Ibarra, J.R.; Páez-Lerma, J.B.; Gómez-Aldapa, C. Evaluation of waste of the cheese industry for the production of aroma of roses (Phenylethyl alcohol). Waste Biomass Valori. 2017, 8, 1343–1350. [Google Scholar] [CrossRef]
- Bong-yul, T.; Bong-sik, T.; Young-ju, K.; Yong-jin, P.; Young-hun, Y.; Gil-ho, M. Optimization of color and COD removal from livestock wastewater by electrocoagulation process: Application of Box–Behnken design (BBD). J. Ind. Eng. Chem. 2015, 28, 307–315. [Google Scholar]
- Yun, T.Y.; Feng, R.J.; Zhou, D.B.; Pan, Y.Y.; Chen, Y.F.; Wang, F.; Yin, L.Y.; Zhang, Y.D.; Xie, J.H. Optimization of fermentation conditions through response surface methodology for enhanced antibacterial metabolite production by Streptomyces sp. 1-14 from cassava rhizosphere. PLoS ONE 2018, 13, e0206497. [Google Scholar] [CrossRef]
- Kaur, H.; Arora, D.S.; Sharma, V. Isolation, purification, and characterization of antimicrobial compound 6-[1, 2-dimethyl-6-(2-methyl-allyloxy)-hexyl]-3-(2-methoxy-phenyl)-chromen-4-one from Penicillium sp. HT-28. Appl. Biochem. Biotechnol. 2014, 8, 1963–1976. [Google Scholar] [CrossRef] [PubMed]
- Scherlach, K.; Hertweck, C. Triggering cryptic natural product biosynthesis in microorganisms. Org. Biomol. Chem. 2009, 7, 1753–1760. [Google Scholar] [CrossRef] [PubMed]
- Liu, J.; Jiang, J.; Bai, Y.; Fan, T.-P.; Zhao, Y.; Zheng, X. Mimicking a new 2-phenylethanol production pathway from Proteus mirabilis JN458 in Escherichia coli. J. Agric. Food Chem. 2018, 13, 3498–3504. [Google Scholar] [CrossRef]
- Yin, S.; Zhou, H.; Xiao, X.; Lang, T.; Liang, J.; Wang, C. Improving 2-Phenylethanol Production via Ehrlich Pathway using genetic engineered Saccharomyces cerevisiae strains. Curr. Microbiol. 2015, 70, 762–767. [Google Scholar] [CrossRef]
- Dubencovs, K.; Liepins, J.; Suleiko, A.; Suleiko, A.; Vangravs, R.; Kassaliete, J.; Scerbaka, R.; Grigs, O. Optimization of Synthetic Media Composition for Kluyveromyces marxianus Fed-Batch Cultivation. Fermentation 2021, 7, 62. [Google Scholar] [CrossRef]
- Wang, H.; Dong, Q.; Guan, A.; Meng, C.; Shi, X.; Guo, Y. Synergistic inhibition effect of 2-phenylethanol and ethanol on bioproduction of natural 2-phenylethanol by Saccharomyces cerevisiae and process enhancement. J. Biosci. Bioeng. 2011, 1, 26–31. [Google Scholar] [CrossRef] [PubMed]
- Ha-Tran, D.M.; Nguyen, T.T.M.; Huang, C.-C. Kluyveromyces marxianus: Current State of Omics Studies, Strain Improvement Strategy and Potential Industrial Implementation. Fermentation 2020, 6, 124. [Google Scholar] [CrossRef]
- Gutierrez, E.; Bastidas, M. Optimal reduction of the organic load of sweet whey through the growth of Kluyveromyces marxianus. Afinidad LXXIII 2015, 575, 185–190. [Google Scholar]
- De Deken, R.H. The Crabtree effect: A regulatory system in yeast. J. Gen. Microbiol. 1966, 44, 149–156. [Google Scholar] [CrossRef] [PubMed]
- Karim, A.; Gerliani, N.; Aïder, M. Kluyveromyces marxianus: An emerging yeast cell factory for applications in food and biotechnology. Int. J. Food Microbiol. 2020, 333, 108818. [Google Scholar] [CrossRef] [PubMed]
- Bellaver, L.H.; de Carvalho, N.M.B.; Abrahão-Neto, J.; Gombert, A.K. Ethanol formation and enzyme activities around glucose-6-phosphate in Kluyveromyces marxianus CBS 6556 exposed to glucose or lactose excess. FEMS Yeast Res. 2004, 4, 691–698. [Google Scholar] [CrossRef] [PubMed]
Publisher’s Note: MDPI stays neutral with regard to jurisdictional claims in published maps and institutional affiliations. |
© 2022 by the authors. Licensee MDPI, Basel, Switzerland. This article is an open access article distributed under the terms and conditions of the Creative Commons Attribution (CC BY) license (https://creativecommons.org/licenses/by/4.0/).


