Abstract
Ethanol-stressed cultures of Z. mobilis showed greatly reduced lag times in growth when supplemented with small amounts of acetaldehyde. This effect could be mimicked by other metabolic electron acceptors, including propionaldehyde and oxygen, indicating a redox-based mechanism. Added propionaldehyde was rapidly and stoichiometrically converted to 1-propanol, suggesting that added acetaldehyde is also reduced during early growth. Acetaldehyde addition measurably accelerated glycolysis in nongrowing cells and also slightly stimulated cultures subjected to temperature change, osmotic shock and salt and acetate stress. Acetaldehyde’s stimulatory effect appears to be due to its ability to accelerate glycolysis via its effect on the cellular redox balance. Acetaldehyde reduction opposes the drain on NAD+ concentrations caused by oxidation of the added ethanol, accounting for the particularly strong effect on ethanol-stressed cells. This study provides evidence for our earlier proposed redox-based mechanism for acetaldehyde’s ability to reduce the lag phase of environmentally stressed cultures and suggests that the effect may have applications in industrial fermentations, especially those inhibited by ethanol and toxic compounds present in, for instance, lignocellulosic hydrolysates.
1. Introduction
Ethanol produced by fermentation continues to hold promise as a significant contributor to future global transport fuel requirements, especially when it is produced from low-cost and abundant lignocellulosic feedstocks such as wood and crop residues [1]. For this purpose, the Gram-negative, hyperethanologenic bacterium Zymomonas mobilis has many advantages over conventional yeasts, including the ability to achieve higher fermentation rates and ethanol yields, as well as a very high ethanol tolerance (see reviews by Panesar [2] and Weir [3]). While its narrow substrate range formerly limited the ability of Z. mobilis to ferment unconventional substrates, recent advances in genetic modification of the organism have allowed the successful fermentation of hydrolysates of wood and other lignocellulosic materials [4,5].
A disadvantage that Z. mobilis shares with many other microorganisms is its sensitivity to inhibitors found in industrial fermentation media such as lignocellulosic hydrolysates and molasses [3,6,7]. These inhibitors include alcohols, acetic and other organic acids, furfural, phenolic compounds, heavy metals and salts, including sodium chloride [6,7,8]. Along with other industrial microorganisms, Z. mobilis is also potentially sensitive to adverse environmental conditions caused by changes in processing conditions, including temperature, pH, osmotic and oxidative stresses.
In the past, we demonstrated that the addition of very small quantities of acetaldehyde is successful in ameliorating growth inhibition due to a variety of environmental stresses in Saccharomyces cerevisiae fermentations [9,10,11], including substantial lag reductions in media containing furfural, acetate and other toxic chemicals found in lignocellulosic hydrolysates. Acetaldehyde was particularly effective against ethanol stress [12,13,14,15,16]. The stimulatory effect of acetaldehyde on S. cerevisiae has been shown to be a redox-driven mechanism wherein the addition of acetaldehyde reverses the ethanol-induced redox imbalance and stimulates glycolysis [14]. The acetaldehyde effect has also been shown to be evident in some other yeast species, but not all [16]. Previously, we demonstrated the existence of a large (up to 75%) lag-reducing effect on ethanol-stressed Zymomonas fermentations [12]; however, the mechanism of acetaldehyde stimulation in Z. mobilis has remained undetermined. In this study, we examine the ability of added acetaldehyde to reduce growth inhibition due to a variety of environmental stresses applied to Z. mobilis cultures and provide evidence for a redox-based explanation for acetaldehyde stimulation in this organism.
2. Materials and Methods
2.1. Organism, Media, Inoculum Preparation and Experimental Procedures.
Z. mobilis ZM4 (ATCC 31821) was grown at an initial pH of 6.0 and 30 °C (unless otherwise indicated) in medium containing (g/L): glucose (25), yeast extract (Oxoid) (5), KH2PO4 (2), (NH4)2SO4 (1.5) and MgSO47H2O (1). Cells were grown under either aerobic or anaerobic conditions. Anaerobically grown cells were cultivated in 450 mL of medium in modified 500 mL Erlenmeyer flasks as described before [8], while aerobically grown cells were cultivated in 250 mL of medium in 1 L Erlenmeyer flasks stoppered with cotton wool and baffled with stainless steel coils (3.5 cm diameter, 30 turns per coil) and incubated in a gyratory shaker at 30 °C and 100 rpm [10]. At least three serial subcultures were grown to supply the cells for each experiment. Transfers between subcultures and final harvesting were carried out in the mid to late exponential growth phase, after which the cells were washed twice in medium lacking glucose. Acetaldehyde or any other potential electron acceptors were added to the culture flasks immediately prior to inoculation. In the aerobic cultures, samples for cell number determination and chemical analysis were taken by aseptically removing the cottonwool bung, while in the anaerobic cultures, samples were withdrawn with a hypodermic needle through built-in septa in the modified Erlenmeyer flasks. Unless otherwise specified, the data shown are the means of triplicate fermentations.
2.2. Glucose Utilization in Nongrowing Cultures
Experiments examining glucose utilization in high-cell-density, nongrowing cultures of Z. mobilis were carried out under anaerobic conditions in modified 500 mL Erlenmeyer flasks [14] containing 250 mL of a phosphate glucose buffer of composition (g/L): glucose (25), KH2PO4 (4), MgSO47H2O (1), and FeSO4 (0.01). At least three serial subcultures were grown to supply the cells for each experiment. Transfers between subcultures and final harvesting were carried out in the mid to late exponential growth phase, after which the cells were washed twice in medium lacking glucose to remove any residual acetaldehyde that might have been produced during the growth of the inoculum cultures. The inoculum for the nongrowing cultures was ca. 3 × 1010 cells/mL. The fermentation at that cell density was extremely violent due to the rapid production of CO2 in our closed culture vessels, hence the working volume was 250 mL compared to 450 mL in the growing cultures.
2.3. Analyses
Cell numbers were measured using a Coulter Counter model ZB (Coulter Electronics, Dunstable, UK). Glucose was analyzed using the DNS technique [17] and volatiles by headspace gas chromatography [18]. Organic acids and dihydroxyacetone were assayed by HPLC using a Bio-Rad Aminex HPX-87H organic acid column fitted with an RI detector for the former and a UV detector at 254 nm for the latter. The column was operated at 65 °C with 5 mM H2SO4 as the mobile phase. Water activity was determined using a Decagon CX-2 water activity meter (Decagon Devices Inc., Pullman, WA, USA). The length of the lag phase (lag time) was determined by an extrapolation method mentioned previously [16] in which the intercept of the extrapolated linear lag phase and the extrapolated linear exponential growth phase on the graph was taken as the lag phase.
3. Results
3.1. Evidence That the Acetaldehyde Effect in Z. mobilis Is Redox-Based and Leads to an Enhanced Glycolytic Flux
In this work, the sudden inoculation of Z. mobilis into medium containing 50 g/L ethanol caused a lag phase of approximately nine hours and a marked accumulation of acetaldehyde compared to a nonstressed culture (Figure 1). The ethanol-induced lag phase was reduced to three hours by the addition of 90 mg/L (2 mM) acetaldehyde (Figure 1). Because endogenous acetaldehyde production from fermentation of the glucose substrate complicates an understanding of the fate of the added acetaldehyde, the experiment was repeated with an equimolar concentration of propionaldehyde. This produced an identical lag reduction to that obtained with acetaldehyde (Figure 2). Propionaldehyde was stoichiometrically converted to 1-propanol during the lag and early exponential phases, with no detectable propionate formation. This strengthens the proposition that added acetaldehyde acts as a metabolic electron acceptor and favorably affects the cellular redox balance for the commencement of growth under stress conditions. Other metabolic electron acceptors or their metabolites capable of oxidizing NADH also decreased the lag phase of ethanol-stressed cultures, but only to a minor extent. While 2 mM dihydroxyacetone and 2 mM pyruvate had only slight stimulatory effects (Table 1), the exposure of an anaerobically grown culture to oxygen completely eliminated the ethanol-induced lag phase while greatly stimulating the production of acetaldehyde (Figure 3). The effect of oxygen implies a mechanism similar to that observed with the other metabolic electron acceptors despite the fact that the stimulation of growth afforded by the elimination of the lag phase was eventually undone by the inhibitory effect of oxygen on the organism’s specific growth rate. The latter declined from 0.34 h−1 under anaerobic conditions to 0.09 h−1 under aerobic conditions (Table 1).
Figure 1.
Effect of acetaldehyde supplementation on the growth of Z. mobilis in medium containing 50 g/L ethanol. ■, □ ethanol-stressed culture without acetaldehyde addition; ▲, △ ethanol-stressed culture supplemented with 2 mM (90 mg/L) acetaldehyde; ●, ○ control culture (without ethanol stress). (A) Cell population (closed symbols); (B) acetaldehyde concentration (open symbols).
Figure 2.
Effect of added propionaldehyde on the growth and metabolism of ethanol stressed (50 g/L) Z. mobilis cultures compared to the effect of an equimolar concentration of acetaldehyde. (A) Cell growth; (B) propionaldehyde-to-propanol conversion; (C) glucose utilization. ■,□ ethanol-stressed culture without aldehyde supplementation; ◆,◇,△,▽ ethanol-stressed culture with 2 mM (120 mg/L) added propionaldehyde (△ propionaldehyde; ▽ 1-propanol); ●,○ ethanol-stressed culture with 2 mM (90 mg/L) added acetaldehyde.
Table 1.
Summary of the effects of various metabolic electron acceptors on the growth of ethanol stressed (50 g/L) 1 Z. mobilis.
Figure 3.
Effect of aerobic culture conditions on the growth of Z. mobilis in medium containing 50 g/L ethanol. ■, □ ethanol-stressed culture under anaerobic conditions; ●, ○ ethanol-stressed culture under aerobic conditions. Closed symbols, cell population; open symbols, acetaldehyde concentration. (A) cell populations; (B) acetaldehyde concentration.
Proof that acetaldehyde addition to an ethanol-stressed culture of Z. mobilis directly stimulates glycolysis has so far been lacking, as the utilization of glucose during the lag phase cannot be measured with sufficient accuracy, and subsequent glucose utilization is strongly growth associated (i.e., an enhancement of glucose uptake is expected once the culture begins to grow, regardless of the mechanism of acetaldehyde stimulation; see Figure 2). To determine the effect of acetaldehyde on glycolysis in the absence of growth, acetaldehyde was added to washed high-cell-density cultures of Z. mobilis in ethanol-containing buffer that did not permit growth (Figure 4). At this population density (ca. 3 × 1010 cells/mL), the rate of glucose uptake was 25 g/L/h in unstressed cultures and ca. 13 g/L/h in cultures containing 90 g/L ethanol. The data show that acetaldehyde stimulated the glucose utilization rate in the ethanol-inhibited cultures (by 5 g/L/h to ca. 18 g/L/h), and was concurrently consumed, despite the absence of growth.
Figure 4.
Effect of the addition of acetaldehyde on glucose consumption and the acetaldehyde concentration in nongrowing ethanol-stressed (90 g/L) cultures of Z. mobilis at a population of ca. 3 × 1010 cells per mL. (A) Glucose profile; (B) acetaldehyde profile: ■, □ ethanol-stressed culture without acetaldehyde addition; ▲, △ ethanol-stressed culture with 4.3 mM (190 mg/L) added acetaldehyde; ●, ○ control culture without ethanol stress. The data show one of two replicate fermentations that showed the same trends.
3.2. Effect of Acetaldehyde on Z. mobilis Exposed to Other Environmental Stresses
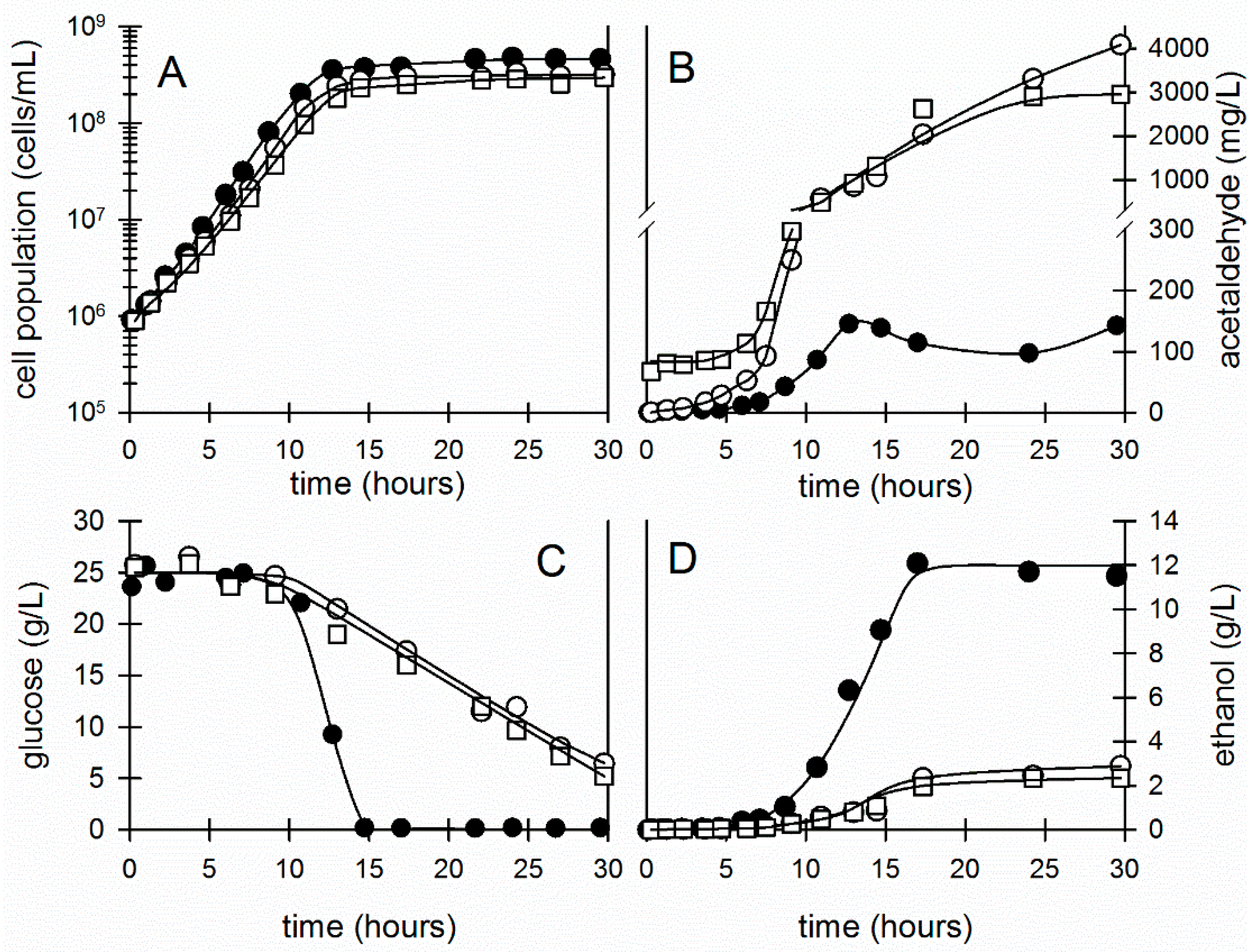
Acetaldehyde addition was found to stimulate the growth of Z. mobilis cultures exposed to various other adverse conditions typical of those encountered in industrial processing, although the stimulatory effects were smaller than seen with ethanol-stressed cultures. With cultures experiencing a temperature shock upon inoculation (an immediate step increase in temperature from 20 °C to 40 °C), the addition of 90 mg/L acetaldehyde decreased the lag time and increased the final cell population (Table 2). This accords with similar moderate stimulatory effects observed when S. cerevisiae cultures were subjected to comparable temperature upshifts or heat shocks [10,12]. A moderate acceleration of growth by acetaldehyde (9 mg/L, but not at 90 mg/L) was also observed in the presence of an osmotic stress (cultures were suddenly inoculated into medium containing 250 g/L sorbitol, leading to a fall in the water activity of the medium from 0.998 to 0.965). Although only a moderate improvement in growth was observed, this response is in contrast to that of osmotically stressed S. cerevisiae, which was strongly inhibited by added acetaldehyde at concentrations as low as 2 mg/L. The exposure to oxygen by transferring from anaerobic- to aerobic growth conditions caused a minor but nonsignificant effect on the growth of Z. mobilis (Figure 5A). The addition of acetaldehyde had no influence on aerobically grown Z. mobilis. While no effect on growth could be observed, glucose metabolism, ethanol production and acetaldehyde accumulation were markedly affected by cultivation under aerobic conditions (Figure 5B–D). Aerobic conditions reduced the glucose uptake rate from 5.5 h−1 to 0.9 h−1 (at max cell numbers) (Figure 5C). The reduction in glucose uptake was matched by a marked reduction in ethanol yield (Figure 5D); however, there was a 30- to 40-fold increase in acetaldehyde accumulation (Figure 5B).
Table 2.
Summary of the effects of acetaldehyde addition on the growth of Z. mobilis under various stress conditions.
Figure 5.
Effect of added acetaldehyde (90 mg/L) on the growth and metabolism of Z. mobilis following a transfer from anaerobic to aerobic conditions; ● control culture (anaerobic); ○ aerobic culture; □ aerobic culture with added acetaldehyde. (A) Growth; (B) acetaldehyde; (C) glucose; (D) produced ethanol.
Z. mobilis is sensitive to ionic stress at salt concentrations well below those associated with osmotic effects [8]. Under our conditions, sodium chloride, sodium sulfate and ammonium chloride all inhibited growth or caused filament formation in Z. mobilis at a concentration (0.175 M) that did not substantially depress the water activity [8]. The addition of acetaldehyde to the stressed cultures caused only marginal growth stimulation, the most prominent effect being with cultures stressed with 0.175 M ammonium chloride, in which acetaldehyde addition caused an increase in cell numbers. Besides salts, acetic acid derived from the acetyl substituents of hemicellulose is a principal inhibitor of Z. mobilis lignocellulose-to-ethanol fermentations [7]. Acetaldehyde addition to acetate stressed cells increased the specific growth rate from 0.24 h−1 to 0.29 h−1 and the final culture population from 5.2 × 107 to 8.0 and 8.9 × 107 at 9 and 90 mg/L of added acetaldehyde respectively (Table 2).
4. Discussion
The stimulatory effect of acetaldehyde on environmentally stressed microorganisms has been ascribed to various causes [10,15]; this work provides strong evidence that in Z. mobilis the effect is facilitated by a redox-based mechanism. Stimulation of growth was observed with several alternative electron acceptors capable of oxidizing NADH, including propionaldehyde, dihydroxyacetone and oxygen, with propionaldehyde exactly mimicking the effects on the growth of an equimolar amount of acetaldehyde. While an association between growth stimulation and the enzymatic reduction of the added acetaldehyde could not be demonstrated in Z. mobilis previously due to endogenous acetaldehyde production [12], in this study the enzymatic, redox-based mechanism can be inferred from the stoichiometric conversion of the added propionaldehyde to propanol. The reduction of acetaldehyde and propionaldehyde is facilitated by alcohol dehydrogenase (Figure 6), which in Z. mobilis utilizes NADH as a metabolic cofactor and converts it to NAD+ [19]. The acetaldehyde effect has previously been elucidated in the yeast Saccharomyces cerevisiae to be a redox-driven mechanism that directly influences the intracellular NADH/NAD+ ratio [14]. Our results show that the acetaldehyde effect in Z. mobilis appears to have the same basis. The reduction of dihydroxyacetone to glycerol in Z. mobilis is affected by glycerol dehydrogenase (Figure 6), which also uses NADH as a cofactor [20]. The comparatively small lag reduction obtained with dihydroxyacetone (compared to the aldehydes) may be due either to the relatively low activity of glycerol dehydrogenase compared to alcohol dehydrogenase or to the greater difficulty by which dihydroxyacetone diffuses through the cell’s membrane [21,22].
Figure 6.
Metabolic pathways and enzymatic steps involving redox reactions. (A) Entner–Doudoroff pathway; (B) alcoholic fermentation involving alcohol dehydrogenase (adh); (C) conversion of dihydroxyacetone to glycerol via glycerol dehydrogenase (glycerol-dh); (D) oxidation of NAD(P)H to NAD(P)+ via NADH(P)H oxidase. (glydh = glyceraldehyde dehydrogenase), (gludh = glucose dehydrogenase).
Exposure of the culture to molecular oxygen completely eliminated the ethanol-induced lag phase in Z. mobilis but slowed the rate of exponential growth. The stimulation can be accounted for by the presence in Z. mobilis of an NADH-oxidase [23] and an NADH-dependent glucose dehydrogenase [24] (Figure 6). The NADH-oxidase is capable of producing NAD+ from NADH by utilizing molecular oxygen as the electron acceptor, while the glucose dehydrogenase has been argued to be responsible for the elevated gluconate accumulation when Z. mobilis is exposed to oxygen, a process that involves the oxidation of NADH [24]. Apart from the reduction in the lag phase following the exposure to the oxygen of an ethanol-stressed culture of Z. mobilis, the presence of oxygen markedly reduced the growth rate of the culture (Table 2). This agrees with previously published work with the inhibition of growth and ethanol production in aerobic cultures of Z. mobilis, e.g., [25,26].
The lag-reducing ability of added pyruvate appears most likely to be due to its conversion to acetaldehyde and subsequent reduction to ethanol. The reduced magnitude of the stimulation, compared to the addition of an equimolar quantity of acetaldehyde, probably reflects the ease with which the acetaldehyde molecule can enter the cell compared to the charged pyruvate ion. A comparison of the accumulated acetaldehyde in the pyruvate-stimulated and control cultures at identical population densities during the exponential phase shows that the specific rate of acetaldehyde production was always higher in the pyruvate-stimulated cultures (data not shown).
Restoration of the NAD+ /NADH ratio in environmentally stressed cells via acetaldehyde addition was earlier speculated to promote growth by increasing the activity of NAD+-dependent enzymes in the glycolytic pathway, increasing the glycolytic flux [12]. This was confirmed by Vriesekoop et al. [14], who observed increased NAD+/NADH ratios and faster glucose uptake in ethanol-stressed yeast cultures. This work shows that acetaldehyde addition also stimulates glycolysis in Z. mobilis, even in nongrowing cultures (Figure 3). The Entner–Doudoroff pathway used by Z. mobilis for catabolism can be affected by changes in the redox balance at both glucose-6-phosphate dehydrogenase and glyceraldehyde-3-phosphate dehydrogenase. Snoep et al. [27] found that the flux of glycolysis in Z. mobilis is limited by the activity of glucose-6-phosphate dehydrogenase, both during normal operation of the Entner–Doudoroff pathway (Figure 6) and when the organism is exposed to an excess of ethanol. An increased intracellular concentration of NAD+ due to acetaldehyde addition would be predicted to increase glucose-6-phosphate dehydrogenase activity and also augment glyceraldehyde-3-phosphate dehydrogenase activity. In Z. mobilis, glyceraldehyde-3-phosphate dehydrogenase activity was found to peak at the time of maximum fermentative activity [28], which coincided with the onset of a rapid decline in NAD+ levels. Redox control of this enzyme has often been implicated as the principal factor regulating glycolytic flux in bacteria that use the Embden–Meyerhoff pathway [29,30,31]. The acetaldehyde effect as seen here in ethanol-stressed Z. mobilis is probably further strengthened because glyceraldehyde-3-dehydrogenase, glyceraldehyde kinase and the alcohol dehydrogenase from Z. mobilis are present as an enzyme complex [32,33], which essentially links the major redox and energy-producing steps from glucose-catabolism directly to the redox rectification step in the fermentation pathway. This means that the redox effect of the enzymatic reduction of acetaldehyde is directly linked to the glycolytic flux through the Entner–Doudoroff pathway and associated ATP generation (Figure 6).
In our earlier work with Saccharomyces cerevisiae, acetaldehyde addition was found to be effective against a wide range of chemical and environmental stresses, although the strongest effects were found with alcohol-stressed cultures [10]. In this work, the maximum growth stimulation was also seen for cultures inoculated into ethanol-containing medium. This likely reflects the fact that the presence of high levels of ethanol facilitates the conversion of the ethanol to acetaldehyde by the reversed operation of alcohol dehydrogenase, which would deplete cellular NAD+ concentrations in alcohol-containing cultures to a greater extent than in those subjected to other stresses. The simultaneous operation of the forward and reverse reactions catalyzed by alcohol dehydrogenase was demonstrated in S. cerevisiae by the simultaneous accumulation of ethanol and propionaldehyde in propanol-stressed cultures grown on glucose [10]. The stimulatory effects of acetaldehyde in this work were generally smaller than in comparable studies with S. cerevisiae, an exception being the effect seen with osmotically stressed cultures, which were stimulated in Z. mobilis but strongly inhibited by acetaldehyde in S. cerevisiae, even at very low concentrations [10]. This can be attributed to S. cerevisiae’s need to synthesize glycerol as an intracellular counter osmolite [34]. In yeast, the addition of acetaldehyde will lead to competition for NADH between alcohol dehydrogenase and glycerol-3-phosphate dehydrogenase, hindering glycerol synthesis [16,35]. In contrast, Z. mobilis does not accumulate glycerol as a counter osmolyte during osmotic stress, instead transporting the extracellular osmo agent (sorbitol in our experiment) into the cell [36]. Hence, the predicted enhancement of ATP synthesis via the Entner–Doudoroff pathway was able to provide a small stimulation with regard to growth. The effect of acetaldehyde addition to Z. mobilis cultures exposed to other environmental stresses were relatively minor or nonexistent (Table 2 and Figure 5). While acetaldehyde addition did not have a marked effect on Z. mobilis growth while being transferred from anaerobic conditions to aerobic conditions, the mere influence of the aerobic conditions caused a 30–40-fold increase in acetaldehyde accumulation (Figure 5). This observation can be explained in terms of the inhibition of the Z. mobilis alcohol dehydrogenase by oxygen [19,37], while concurrently the NADH-oxidase provides sufficient oxidized cofactors for the Entner–Doudoroff pathway to proceed (albeit slowly) and yields ATP. The continuing intracellular production of pyruvate will remain to be decarboxylated into acetaldehyde, which in turn will accumulate due to the inhibition of alcohol dehydrogenase by oxygen.
The stimulation by acetaldehyde of growth upon ethanol stress exposure was found to be most prominent with regard to a reduction in the lag phase rather than an increase in the specific growth rate or final cell numbers at the end of the exponential growth phase. The greater effect on the lag phase is most likely due to the notion that the lag phase is a period of adaptation before the onset of rapid growth (i.e., exponential phase) [38,39]. The adaptation might involve repair of macromolecular damage that occurred upon inoculation into a new environment [40], the synthesis of cellular components necessary for growth, adjustment of membrane fatty acid make-up and fluidity [40] or rectification in a redox balance [14]. Upon completion of the adaptation during the lag phase, the cell cycle progresses to an active and exponential growth period [39]. The growth-stimulating acetaldehyde effect described here appears to have its greatest potency in the reduction of the lag phase, rather than an enhancement of the exponential growth rate or the final cell population. Further experiments on the timing of acetaldehyde addition to ethanol stressed Z. mobilis might provide a greater insight into the potential of acetaldehyde to play a role in potentially enhancing the exponential growth rate as previously observed in the yeast S. cerevisiae [10].
The lesser stimulation of growth in Z. mobilis cultures exposed to stresses other than ethanol stress is likely due to the fact that ethanol stress is most likely to have a direct effect on the redox balance by depleting NAD+ [10,14], which then reduces the ability to generate sufficient ATP for growth to commence. Most other stresses explored in this study facilitate their stress effect through other physiological means [8,40,41,42] that have no direct influence on the intracellular redox balance. In case of ethanol stress and the ameliorating effect of acetaldehyde, enzyme alcohol dehydrogenase is pivotal in causing and rectifying the redox imbalance. We were able to reproduce this redox-rectified growth stimulation by the addition of propionaldehyde.
5. Conclusions and Recommendations for Further Work
Based on our findings, the stimulatory effect on the growth of acetaldehyde on environmentally stressed cultures of Z. mobilis is likely due to a redox-driven mechanism by a metabolic intermediate that easily diffuses through the cell’s membrane. Despite the generally small effects seen to date, further work to characterize the benefits of acetaldehyde addition on Z. mobilis fermentations appears desirable, such as chemical inhibitors in connection with the fermentation of lignocellulosic hydrolysates, which may contain high concentrations of inhibitory compounds, including salts, acetates and alcohols. In this work, we only investigated a number of these compounds individually, and further work will include the exposure to growing cells of combinations of these inhibitors. Further, based on earlier successful use of the technique with S. cerevisiae [10], incremental dosing with acetaldehyde should be investigated as a means of overcoming inhibition by endogenously produced ethanol and shortening the fermentation time in high gravity Z. mobilis fermentations.
Author Contributions
Conceptualization, F.V. and N.B.P.; methodology, F.V.; resources, N.B.P.; investigation, F.V.; data curation and analysis, F.V.; supervision, N.B.P.; writing original draft, F.V.; writing review and editing, F.V. and N.B.P. All authors have read and agreed to the published version of the manuscript.
Funding
This research was funded by the Australian Research Council and the University of Melbourne.
Institutional Review Board Statement
Not applicable.
Informed Consent Statement
Not applicable.
Data Availability Statement
Data will be made available up on request to the corresponding author.
Acknowledgments
We would like to thank Barry Hucker, Vilnis Ezerniek, Gregoria Luna, and Magnus Rasmusson for their technical support during this work.
Conflicts of Interest
The authors declare no conflict of interest.
References
- Althuri, A.; Gujjala, L.K.S.; Banerjee, R. Partially consolidated bioprocessing of mixed lignocellulosic feedstocks for ethanol production. Bioresour. Technol. 2017, 245, 530–539. [Google Scholar] [CrossRef]
- Panesar, P.S.; Marwaha, S.S.; Kennedy, J.F. Zymomonas mobilis: An alternative ethanol producer. J. Chem. Technol. Biotechnol. 2006, 81, 623–635. [Google Scholar] [CrossRef]
- Weir, P.M. The ecology of Zymomonas: A review. Folia Microbiol. 2016, 61, 385–392. [Google Scholar] [CrossRef]
- Yanase, H.; Miyawaki, H.; Sakurai, M.; Kawakami, A.; Matsumoto, M.; Haga, K.; Kojima, M.; Okamoto, K. Ethanol production from wood hydrolysate using genetically engineered Zymomonas mobilis. Appl. Microbiol. Biotechnol. 2012, 94, 1667–1678. [Google Scholar] [CrossRef] [PubMed]
- Xia, J.; Yang, Y.; Liu, C.-G.; Yang, S.; Bai, F.-W. Engineering Zymomonas mobilis for Robust Cellulosic Ethanol Production. Trends Biotechnol. 2019, 37, 960–972. [Google Scholar] [CrossRef] [PubMed]
- Swings, J.; de Ley, J. The biology of Zymomonas. Bacteriol. Rev. 1977, 41, 1–46. [Google Scholar] [CrossRef]
- Franden, M.A.; Pilath, H.M.; Mohagheghi, A.; Pienkos, P.T.; Zhang, M. Inhibition of growth of Zymomonas mobilis by model compounds found in lignocellulosic hydrolysates. Biotechnol. Biofuels 2013, 6, 99. [Google Scholar] [CrossRef]
- Vriesekoop, F.; Rasmusson, M.; Pamment, N. Respective effects of sodium and chloride ions on filament formation and growth and ethanol production in Zymomonas mobilis fermentations. Lett. Appl. Microbiol. 2002, 35, 27–31. [Google Scholar] [CrossRef] [PubMed]
- Barber, A.R.; Hansson, H.; Pamment, N.B. Acetaldehyde stimulation of growth of Saccharomyces cerevisiae in the presence of inhibitors found in lignocellulose-to-ethanol fermentations. J. Ind. Microbiol. Biotechnol. 2000, 25, 104–108. [Google Scholar] [CrossRef]
- Barber, A.R.; Vriesekoop, F.; Pamment, N.B. Effects of acetaldehyde on Saccharomyces cerevisiae exposed to a range of chemical and environmental stresses. Enzym. Microb. Technol. 2002, 30, 240–250. [Google Scholar] [CrossRef]
- Barber, A.R.; Henningsson, M.; Pamment, N.B. Acceleration of high gravity yeast fermentations by acetaldehyde addition. Biotechnol. Lett. 2002, 24, 891–895. [Google Scholar] [CrossRef]
- Stanley, G.A.; Hobley, T.J.; Pamment, N.B. Effect of acetaldehyde on Saccharomyces cerevisiae and Zymomonas mobilis subjected to environmental shocks. Biotechnol. Bioeng. 1997, 53, 71–78. [Google Scholar] [CrossRef]
- Vriesekoop, F.; Pamment, N. Acetaldehyde addition and pre-adaptation to the stressor together virtually eliminate the ethanol-induced lag phase in Saccharomyces cerevisiae. Lett. Appl. Microbiol. 2005, 41, 424–427. [Google Scholar] [CrossRef] [PubMed]
- Vriesekoop, F.; Barber, A.R.; Pamment, N.B. Acetaldehyde mediates growth stimulation of ethanol-stressed Saccharomyces cerevisiae: Evidence of a redox-driven mechanism. Biotechnol. Lett. 2007, 29, 1099–1103. [Google Scholar] [CrossRef]
- Hucker, B.; Vriesekoop, F. Acetaldehyde stimulates ethanol-stressed Saccharomyces cerevisiae, grown on various carbon sources. Folia Microbiol. 2008, 53, 505–508. [Google Scholar] [CrossRef] [PubMed]
- Vriesekoop, F.; Haass, C.; Pamment, N.B. The role of acetaldehyde and glycerol in the adaptation to ethanol stress of Saccharomyces cerevisiae and other yeasts. FEMS Yeast Res. 2009, 9, 365–371. [Google Scholar] [CrossRef]
- Lindsay, H. A colorimetric estimation of reducing sugars in potatoes with 3,5-dinitrosalicylic acid. Potato Res. 1973, 16, 176–179. [Google Scholar] [CrossRef]
- Hobley, T.J.; Pamment, N.B. Liquid injection gas chromatography and the ALDH assay overestimate free acetaldehyde in complex fermentation medium. Biotechnol. Tech. 1997, 11, 39–42. [Google Scholar] [CrossRef]
- Moon, J.-H.; Lee, H.-J.; Park, S.-Y.; Song, J.-M.; Park, M.-Y.; Park, H.-M.; Sun, J.; Park, J.-H.; Kim, B.Y.; Kim, J.-S. Structures of Iron-Dependent Alcohol Dehydrogenase 2 from Zymomonas mobilis ZM4 with and without NAD+ Cofactor. J. Mol. Biol. 2011, 407, 413–424. [Google Scholar] [CrossRef] [PubMed]
- Horbach, S.; Strohhacker, J.; Welle, R.; de Graaf, A.; Sahm, H. Enzymes involved in the formation of glycerol-3-phosphate and the by-products dihydroxyacetone and glycerol in Zymomonas mobilis. FEMS Microbiol. Lett. 1994, 120, 37–44. [Google Scholar] [CrossRef]
- Bolhuis, H.; Martín-Cuadrado, A.B.; Rosselli, R.; Pašić, L.; Rodriguez-Valera, F. Transcriptome analysis of Haloquadratum walsbyi: Vanity is but the surface. BMC Genom. 2017, 18, 1–14. [Google Scholar] [CrossRef] [PubMed]
- Jeckelmann, J.-M.; Erni, B. Transporters of glucose and other carbohydrates in bacteria. Pflügers Archiv—Eur. J. Physiol. 2020, 472, 1129–1153. [Google Scholar] [CrossRef]
- Bringer, S.; Finn, R.K.; Sahm, H. Effect of oxygen on the metabolism of Zymomonas mobilis. Arch. Microbiol. 1984, 139, 376–381. [Google Scholar] [CrossRef]
- Martien, J.I.; Hebert, A.S.; Stevenson, D.M.; Regner, M.R.; Khana, D.B.; Coon, J.J.; Amador-Noguez, D. Systems-Level Analysis of Oxygen Exposure in Zymomonas mobilis: Implications for Isoprenoid Production. mSystems 2019, 4, e00284-18. [Google Scholar] [CrossRef] [PubMed]
- Toh, H.; Doelle, H. Changes in the growth and enzyme level of Zymomonas mobilis under oxygen-limited conditions at low glucose concentration. Arch. Microbiol. 1997, 168, 46–52. [Google Scholar] [CrossRef]
- Krúče, R.; Auzin, L. An elevation of the molar growth yield of Zymomonas mobilis during aerobic exponential growth. Arch. Microbiol. 1997, 167, 167–171. [Google Scholar] [CrossRef]
- Snoep, J.L.; Arfman, N.; Yomano, L.P.; Westerhoff, H.V.; Conway, T.; Ingram, L.O. Control of the glycolytic flux in Zymomonas mobilis by glucose-6-phosphate dehydrogenase activity. Biotechnol. Bioeng. 1996, 51, 190–197. [Google Scholar] [CrossRef]
- Osman, Y.A.; Conway, T.; Bonetti, S.J.; Ingram, L.O. Glycolytic flux in Zymomonas mobilis: Enzyme and metabolite levels during batch fermentation. J. Bacteriol. 1987, 169, 3726–3736. [Google Scholar] [CrossRef]
- Dominguez, H.; Rollin, C.; Guyonvarch, A.; Guerquin-Kern, J.-L.; Cocaign-Bousquet, M.; Lindley, N.D. Carbon-flux distribution in the central metabolic pathways of Corynebacterium glutamicum during growth on fructose. JBIC J. Biol. Inorg. Chem. 1998, 254, 96–102. [Google Scholar] [CrossRef]
- Garrigues, C.; Loubiere, P.; Lindley, N.D.; Cocaign-Bousquet, M. Control of the shift from homolactic acid to mixed-acid fermentation in Lactococcus lactis: Predominant role of the NADH/NAD+ ratio. J. Bacteriol. 1997, 179, 5282–5287. [Google Scholar] [CrossRef]
- Girbal, L.; Soucaille, P. Regulation of Clostridium acetobutylicum metabolism as revealed by mixed-substrate steady-state continuous cultures: Role of NADH/NAD ratio and ATP pool. J. Bacteriol. 1994, 176, 6433–6438. [Google Scholar] [CrossRef] [PubMed]
- Aldrich, H.C.; McDowell, L.; Barbosa, M.F.; Yomano, L.P.; Scopes, R.K.; Ingram, O.L. Immunocytochemical localization of glycolytic and fermentative enzymes in Zymomonas mobilis. J. Bacteriol. 1992, 174, 4504–4508. [Google Scholar] [CrossRef] [PubMed][Green Version]
- Kalnenieks, U. Physiology of Zymomonas mobilis: Some Unanswered Questions. Adv. Microb. Physiol. 2006, 51, 73–117. [Google Scholar] [CrossRef]
- Hohmann, S. Osmotic Stress Signaling and Osmoadaptation in Yeasts. Microbiol. Mol. Biol. Rev. 2002, 66, 300–372. [Google Scholar] [CrossRef] [PubMed]
- Roustan, J.L.; Sablayrolles, J.M. Modification of acetaldehyde concentration during alcoholic fermentation and effect on fermentation kinetics. J. Biosci. Bioeng. 2002, 93, 375–376. [Google Scholar] [CrossRef]
- Struch, T.; Neuss, B.; Bringer-Meyer, S.; Sahm, H. Osmotic adjustment of Zymomonas mobilis to concentrated glucose solutions. Appl. Microbiol. Biotechnol. 1991, 34, 518–523. [Google Scholar] [CrossRef]
- Tamarit, J.; Cabiscol, E.; Aguilar, J.; Ros, J. Differential inactivation of alcohol dehydrogenase isoenzymes in Zymomonas mobilis by oxygen. J. Bacteriol. 1997, 179, 1102–1104. [Google Scholar] [CrossRef]
- Pamment, N.B.; Hall, R.J.; Barford, J.P. Mathematical modeling of lag phases in microbial growth. Biotechnol. Bioeng. 1978, 20, 349–381. [Google Scholar] [CrossRef] [PubMed]
- Rolfe, M.D.; Rice, C.J.; Lucchini, S.; Pin, C.; Thompson, A.; Cameron, A.D.S.; Alston, M.; Stringer, M.F.; Betts, R.P.; Baranyi, J.; et al. Lag Phase Is a Distinct Growth Phase That Prepares Bacteria for Exponential Growth and Involves Transient Metal Accumulation. J. Bacteriol. 2011, 194, 686–701. [Google Scholar] [CrossRef] [PubMed]
- Yang, S.-P.; Xie, J.; Cheng, Y.; Zhang, Z.; Zhao, Y.; Qian, Y.-F. Response of Shewanella putrefaciens to low temperature regulated by membrane fluidity and fatty acid metabolism. LWT 2020, 117, 108638. [Google Scholar] [CrossRef]
- Bekers, M.; Vigants, A.; Laukevics, J.; Toma, M.; Rapoports, A.; Zikmanis, P. The effect of osmo-induced stress on product formation by Zymomonas mobilis on sucrose. Int. J. Food Microbiol. 2000, 55, 147–150. [Google Scholar] [CrossRef]
- Wang, W.-T.; Dai, L.-C.; Wu, B.; Qi, B.-F.; Huang, T.-F.; Hu, G.-Q.; He, M.-X. Biochar-mediated enhanced ethanol fermentation (BMEEF) in Zymomonas mobilis under furfural and acetic acid stress. Biotechnol. Biofuels 2020, 13, 10–28. [Google Scholar] [CrossRef] [PubMed]
Publisher’s Note: MDPI stays neutral with regard to jurisdictional claims in published maps and institutional affiliations. |
© 2021 by the authors. Licensee MDPI, Basel, Switzerland. This article is an open access article distributed under the terms and conditions of the Creative Commons Attribution (CC BY) license (https://creativecommons.org/licenses/by/4.0/).





