Abstract
Geometric properties of fractures, such as aperture and width, among others, significantly affect the fluid flow behaviors in fractured media. Previous studies have shown that fractures exhibit fractal properties. In this study, we examine the impact of nonlinear flow regimes and aperture and width fractal distributions on the flow behavior through fractal fractures. Both the aperture and width are treated independently following fractal distribution, but with distinct fractal dimensions. We explicitly examine the flow features without using Darcy’s law concept, which relies on the linear flow assumption with an effective permeability of fractal fractures. We directly consider the flow rate in a fracture with average aperture, average flow rate, and flow rate of linear flow in all the fractures, and nonlinear flow rate in all the fractures, and more realistically, the average flow rate when linear and nonlinear flows may coexist in different fractures and their differences. The results demonstrate that the nonlinear flow regime significantly reduces the flow rate through the fractal fractures, which could be quantified by the ratio of critical aperture to the minimum aperture in the fractal fractures. A large ratio of the maximum over the minimum apertures results in a large average flow rate in the fractal fractures. The increase in the minimum aperture also enhances the average flow rate. When the minimum aperture is close to the critical aperture, however, the flow rate in the fractal fractures starts to turn into nonlinear flow in all the fractures, and the average flow rate decreases. The nonlinear effect is amplified in fractal fractures compared to that in a single fracture. A larger fractal dimension of aperture leads to a lower average flow rate in the fractal fractures, as the average aperture decreases with the fractal dimension. However, the fraction of flow rate from the linear flow portion in the fractal fractures over the pure linear flow in all the fractures increases with the fractal dimension.
1. Introduction
Fluid flows in fractures are encountered in many science and engineering applications, such as groundwater and environmental investigations [1,2,3,4], carbon capture and storage studies [5,6,7], oil and gas exploration [8,9,10], and geothermal reservoir operations [11,12], and nuclear waste disposal studies [13], among others. Fracture networks have a significant effect on the porosity, permeability, and fluid flow in naturally fractured units. In many fractured media, matrix permeability is negligible in comparison to the permeability of fractures, and their hydraulic behavior is controlled by fractures, which become the dominant flow paths. The fracture hydraulic conductivity mainly determines the overall hydraulic performance of the fractured media [14,15,16]. Therefore, the development of realistic and robust predictive models of flow and transport in fractured media requires a thorough understanding of the physical processes that govern flow in fractures.
Previous discrete fracture network models usually treated flow behaviors in all individual fractures as linear [17,18,19,20]. Many studies presumed that fluid flow in each single fracture follows the cubic law [21,22] or Darcy’s law [23]. With linear flow, the relationship between the volumetric flow rate and the pressure gradient is linear in fractured network flows [24]. Fractures in nature, however, have a wide range of aperture sizes, orientations, and lengths. With a given hydraulic gradient condition, the flow behavior in a fracture is mainly controlled by the Reynolds number, which increases with fracture aperture. In addition, the flow velocity in fractured media can often reach an intermediate to high range, in which the inertia effects may trigger nonlinear flow [25]. Therefore, both linear and nonlinear flows may simultaneously occur in fractures with various aperture sizes in the fractured media, and the linear flow equation could considerably overestimate the flow rate when the flow is nonlinear in some fractures [15] since the nonlinear flow could significantly impact the flow dynamics in fractures [16,26,27]. Additionally, the complex and convoluted tortuous flow pathways in the fractures tend to amplify the influence of inertia forces and the nonlinear flow feature. As a result, the flow rate deviates from the straightforward linear relationship with the pressure gradient or Darcy’s law [25,28]. When the flow rate is sufficiently high, extra hydrodynamic pressure losses are generated due to the inertial forces [29,30].
Nonlinear flow effect on the flows in fractures has not been fully addressed in previous studies. Edirisinghe and Perera [14] provided a review of the factors affecting fluid inertia and its effect on field applications related to the petroleum industry. Zhu and Cheng [31] developed an analytical approach to calculate the hydraulic gradient-dependent effective permeability of fractures where both linear and nonlinear flows may occur in individual fractures by applying either the cubic law or Forchheimer’s law, depending on the flow characteristics in individual fractures. A critical fracture length was proposed to distinguish flow characteristics in individual fractures. Zhu [32] developed an effective hydraulic conductivity model of discrete fractures in which the aperture and width followed a joint bivariate lognormal distribution and found that the correlation between aperture and width increased the effective hydraulic conductivity.
Geometric properties such as the aperture, orientation, and length, among others, significantly influence the permeability of the fractured media. Previous studies have shown that both single fractures and complex fracture networks exhibit fractal properties [33]. It has been found that the aperture and length distribution of the fracture network have self-similar characteristics [34]. The statistical self-similarity of the fracture network, i.e., fractal characteristics, is considered one of the methods to estimate the equivalent permeability [34,35]. Liu et al. [21] developed a governing equation for fluid flow in a single fracture based on the cubic law and incorporated it into a fracture flow model. They found that the equivalent permeability of the fracture network was sensitive to the random number utilized to generate fracture length. Zhu [36] developed a model of the effective aperture instead of effective permeability that explicitly distinguished linear and nonlinear flows based on the size of the fracture and found that the effective aperture decreases with fractal dimension. Wang and Cheng [37] proposed a new permeability model for a two-dimensional complex tortuous fractured porous medium based on fractal theory by assuming the medium to be made up of a bundle of tortuous fractal-like tree fracture networks. Shi et al. [38] also took topological characteristics of the fracture network into account and developed a theoretical prediction equation of fractal permeability for rough fracture networks. The fracture network permeability increased with the increase in connectivity, minimum branch length, maximum branch length, tortuosity, and aperture proportionality coefficient, and decreased with the increase in tortuosity, fractal dimension, and fracture dip angle. Lahiri [18] derived functional expressions considering linear fluid flow through fracture networks. Effective permeability was expressed as a function of topological connectivity, branch segment length distributions, maximum, and minimum branch segment lengths. Analytical expressions of effective permeability were developed for both fractal and multi-fractal distributions of branch segment lengths.
Zhu [39] proposed a nonlinear flow reduction factor to separate the effective permeability into two components that were related to fractal fracture features and flow characteristics, respectively. The critical Reynolds number was explicitly used to distinguish nonlinear flow from linear flow in individual fractures. The aperture and width were assumed to be related by a scaled relationship. It was found that the ratio of the nonlinear flow rate portion to the linear flow rate portion decreased with the fractal dimension. Hu et al. [40] derived an analytical permeability model for the fractal tree-like fracture network with self-affine surface roughness and branching characteristics. An analytical permeability model was proposed to consider the effects of fracture surface roughness and tree-like branching characteristics on gas flow. Zhao et al. [41] characterized rough topography fracture surfaces using fractal theory and quantified effective permeability and the nonlinear effect of the rough fracture network based on the possible occurrence of linear and nonlinear flows in a single fracture. They found that the nonlinear behavior of fluid flow significantly reduces effective permeability. Zhu and Cheng [31] developed an approach to the effective permeability of fractal fractures where both linear and nonlinear flows may occur in individual fractures. The cubic law was used to calculate linear flow behaviors, and Forchheimer’s law was adopted to quantify nonlinear flow behaviors. While flows in some fractures may be nonlinear, the fractal fractures were treated as a porous medium where Darcy’s law could still be applied. In the study of Zhu and Cheng [31], however, the aperture and width were related by a scaling law signified by a proportionality coefficient and a scaling exponent.
In summary, previous studies on flows in fractal fractures usually assumed that the flow in all the fractures was linear or assumed the aperture and width of the fractures were related according to scaling relationships. Most flow models in fractal fractures also relied on the conceptualization of effective permeability, for which Darcy’s law could still apply. In this study, we examine the impact of nonlinear flow regimes and aperture and width fractal distributions on the overall flow behavior through fractal fractures. Both the aperture and width are treated independently following fractal distribution, but with distinct fractal dimensions. We directly investigate the flow features in fractal fractures without using Darcy’s law concept, which relies on the concept of an effective porous medium with effective permeability or conductivity of fractal fractures. The effective porous medium concept also requires effective permeability to be related to the flow conditions, such as the applied hydraulic gradient. With the existence of potential nonlinear flows in some fractures, Darcy’s law is not applicable as the flow rate is not linearly related to the hydraulic gradient. In this study, we directly consider the flow rate in a fracture with average aperture, average flow rate, and flow rate of linear flow in all fractures, and flow rate of all nonlinear flow in all fractures, and the average flow rate when both linear flow and nonlinear flow may exist in different fractures. Specifically, we quantitatively analyze the flow rate differences among the linear, nonlinear, and mixed flow regimes and discuss the impact of various fractal characteristics on the flow behaviors in the fractal fractures.
2. Methods
2.1. Linear and Nonlinear Flow in a Single Fracture
For linear (laminar) flows in an individual fracture, we adopt the widely used cubic law to determine the volumetric flow rate. For nonlinear (turbulent) flows, we use Forchheimer’s law to determine the velocity V in the fracture. For any fracture with an aperture h and width w, the flow equations for linear flow and nonlinear flow are as follows, respectively:
where the subscripts “x” and “z” denote linear and nonlinear flows, respectively, ρ is the fluid density, is the gravitational acceleration, G is the hydraulic gradient, μ is the fluid viscosity, V is the velocity in the fracture, h is the aperture of the fracture and δ is a coefficient for the nonlinear flow effects. Equation (1) can also be rearranged to explicitly express the volumetric flow rate as directly related to h3 as , which is the cubic law for the linear flow regime. The assumption in using both Equations (1) and (2) is that the width w is much larger than the aperture h to neglect the effect of lateral boundaries.
In this study, we use an empirical formula of δ to quantify the nonlinear flow effects for the nonlinear flow regime, determined by Ward [42], as follows:
where ε is a dimensionless constant.
Using the result b = 0.55 from [42], one can obtain ε = 1.905. Other values of b could also be used. Since the objective of this study is focused on the coupled effects of potential nonlinear flow regime and fractal characteristics of fractures, the value of this empirical nonlinear parameter is fixed and adopted from the literature [42] for the subsequent analysis.
There is one additional term on the right-hand side of Equation (2) compared to Equation (1). This is due to the additional energy loss due to the nonlinear inertia effect. Therefore, under the same hydraulic gradient, the flow rate is smaller for nonlinear flow than for linear flow. Relating the velocity Vz in Equation (2) to the volumetric flow rate in Forchheimer’s law, one has the following equation for nonlinear flow:
This can be solved to obtain the following solution of volumetric flow rate:
In this study, we use a critical aperture Hc, above which the flow is nonlinear in any fracture. Note that the flow behavior based on the cubic law and Forchheimer’s law is very different at the critical aperture Hc. Forchheimer’s law reduces to the cubic law only when the flow rate approaches zero, but not at the critical aperture Hc, which necessitates the use of linear and nonlinear flow equations separately and explicitly in every individual fracture.
2.2. Fractal Distribution of Aperture and Width
For a fractal medium, the aperture is assumed to follow the following fractal distribution equation [43,44]:
where Hm is the maximum aperture, and D is the fractal dimension of the aperture. Note that for an exact fractal distribution, the minimum value of h should be equal to 0. In this study, we approximate the aperture as a truncated power-law distribution in which the aperture is in the range from a minimum of Hn to a maximum of Hm for real-world practical applications.
The width is also assumed to follow a fractal distribution as follows [43,44]:
where Wm is the maximum width, and E is the fractal dimension of the aperture. Like the aperture, the minimum value of w should be equal to 0 for an exact fractal distribution. In this study, we approximate the width as a truncated power-law distribution in which the width is in the range from a minimum of Wn to a maximum of Wm for real-world practical applications. In general, the range of fractal dimension of length is from 1 to 2 for a two-dimensional space, and from 2 to 3 for a three-dimensional space [45]. In this study, we consider a flow domain configuration in which the flow is from a high hydraulic head plane to a low hydraulic head plane. The fractal fractures are featured in the two-dimensional cross-section perpendicular to the general flow direction. Therefore, the value range of both D and E is from 1 to 2 in Equations (7) and (8).
Based on the fractal distribution described above, the total number of fractures in the fractal fractures, Nf, is as follows:
where Hn is the minimum aperture in the fractal discrete fractures.
On the other hand, based on the fractal distribution of fracture width, one has the following:
where Wn is the minimum width of the fractal discrete fractures.
From Equations (9) and (10), the following relation should be satisfied based on the requirement of the same number of total fractures from both distributions as follows:
This leads to the following:
The following three dimensionless ratios can be defined as follows:
where Hn is the aperture ratio of the maximum aperture over the minimum aperture, Hrc is the ratio of the critical aperture over the minimum aperture, and Wr is the ratio of the maximum width over the minimum width. Then, based on the requirement in Equation (12), one has the following:
The probability density function of the aperture h can be obtained as follows:
Similarly, the probability density function of the width w can be determined as follows:
The average aperture of the fractal fractures can be determined as follows:
Similarly, the average width of the fractal fractures can be obtained as follows:
2.3. Linear and Nonlinear Flows in Fractal Fractures
In this study, the probability distributions of aperture and width are treated as independent. The threshold at which the flow becomes nonlinear in an individual fracture could be determined solely by the critical aperture Hc, meaning the hydraulic diameter of the fracture is only approximately related to its aperture. This requires that the aperture is much smaller than the width, as shown by the following approximation:
Based on Equation (19), it can be shown that the critical aperture is related to the critical Reynolds number as follows:
For linear flow in the fracture with the average aperture Ha and width Wa, the flow rate can be calculated as follows:
For nonlinear flow in the fracture with the average aperture Ha and width Wa, the flow rate is as follows:
If the flow in all the fractures is linear, the average flow rate can be determined as follows:
Then, the total flow rate over all the fractures is as follows:
Under the scenarios in which linear and nonlinear flows coexist along different fractures at the same time, which are distinguished based on the critical aperture Hc, we need to calculate the overall average flow rate from the linear and nonlinear portions separately. If a fracture has an aperture larger than Hc, the flow is nonlinear in the fracture, while the flow is linear when the aperture is smaller than Hc. The average flow rate in the fractal fractures consists of contributions from two distinct portions, Q1a from the linear flows in fractures smaller than Hc, and Q2a from the nonlinear flows in those larger than Hc, as follows:
The two terms on the right-hand side, Q1a and Q2a, can be evaluated as follows, respectively:
The total flow rate from all the fractures can then be determined as follows:
Compared to the case of linear flows in all the fractures, the total flow rate ratio of potentially mixed flow over the pure linear flow rate is as follows:
The fraction of its linear flow component portion of potentially mixed flow over the pure linear flow rate is as follows:
Similarly, the fraction of its nonlinear flow component portion of potentially mixed flow over the pure linear flow rate is as follows:
Under the scenario that the flow is nonlinear in all the fractures, the average flow rate in the fractal fractures is calculated as follows:
The portion of the integration with respect to the width w in Equation (35) can be evaluated analytically. The integration with respect to the aperture h is simplified by a variable transformation and rearrangement. The average flow rate in the fractal fractures, in which the flow is nonlinear in all the fractures, can then be expressed as follows:
The total flow rate through all the fractures can then be determined as follows:
To summarize, the flow rate in the fractal fractures and its relationships to the fractal characteristics are developed under three scenarios. In Scenario 1, the flow is assumed to be linear in all the fractures. The average fracture flow rate Qxa is presented in Equation (23), and the total flow rate Qxt is expressed in Equation (24). In Scenario 2, the flow in fractures that are smaller than Hc is linear, and that in the rest of the fractures is nonlinear. The average fracture flow rate Qya is shown in Equations (25) and (28)–(30), and the total flow rate Qyt is calculated in Equation (31). In Scenario 3, the flow is assumed to be nonlinear in all the fractures. The average fracture flow rate Qza is presented in Equations (36) and (37), and the total flow rate Qzt is determined in Equation (38). In addition, the flow rates through a fracture with the average aperture of the fractal fractures for both linear flow (Qxaa) and nonlinear flow (Qzaa) are also derived, and the analytical results are shown in Equations (21) and (22), respectively.
3. Results and Discussion
In this section, we quantitatively analyze and discuss the impact of fractal features under the three scenarios described in the previous section and their differences on the flow rates through the fractal fractures. However, some of the main differences between linear and nonlinear flow behaviors in a single fracture are first outlined and discussed to facilitate the subsequent discussion of flow behaviors in the fractal fractures.
Figure 1 shows the results of how the flow rate of both linear flow and nonlinear flow and their flow rate ratio vary with the hydraulic gradient, G (Figure 1a), and the aperture, ha (Figure 1b). For the linear flow, the flow rate Qx increases linearly with G, which is also a straight-line increase in the log–log plot (Figure 1a). For the nonlinear flow, the flow rate Qz increases with G in a nonlinear fashion (Figure 1a). It increases approximately linearly at small G, but the extent of increase then significantly slows down as G continues to increase. As a result, the flow rate ratio Qz/Qx decreases significantly with G (Figure 1a).
Figure 1.
Linear and nonlinear flow rates and their ratio in relation to (a) the hydraulic gradient G, and (b) the fracture aperture h in a single fracture. Qx and Qz represent the linear and nonlinear flow rates through the fracture, respectively. The fracture width used in calculating the results is 0.01 m.
In the linear flow regime, the flow rate Qx is proportional to h3 (i.e., the cubic law), and in the log–log plot shown in Figure 1b, it is seen as a straight line. For the nonlinear flow, the flow rate increases significantly and then slows down compared to the linear flow rate (Figure 1b). Because of this behavior, the ratio Qz/Qx drops very quickly with the increasing aperture. From an energy consumption point of view, nonlinear flow consumes more energy, which requires higher energy to achieve the same flow rate compared to the linear flow due to the nonlinear inertial effects. Therefore, Qz/Qx drops more quickly with h at a higher G (i.e., open circles for higher G vs. solid circles for lower G, as seen in Figure 1b).
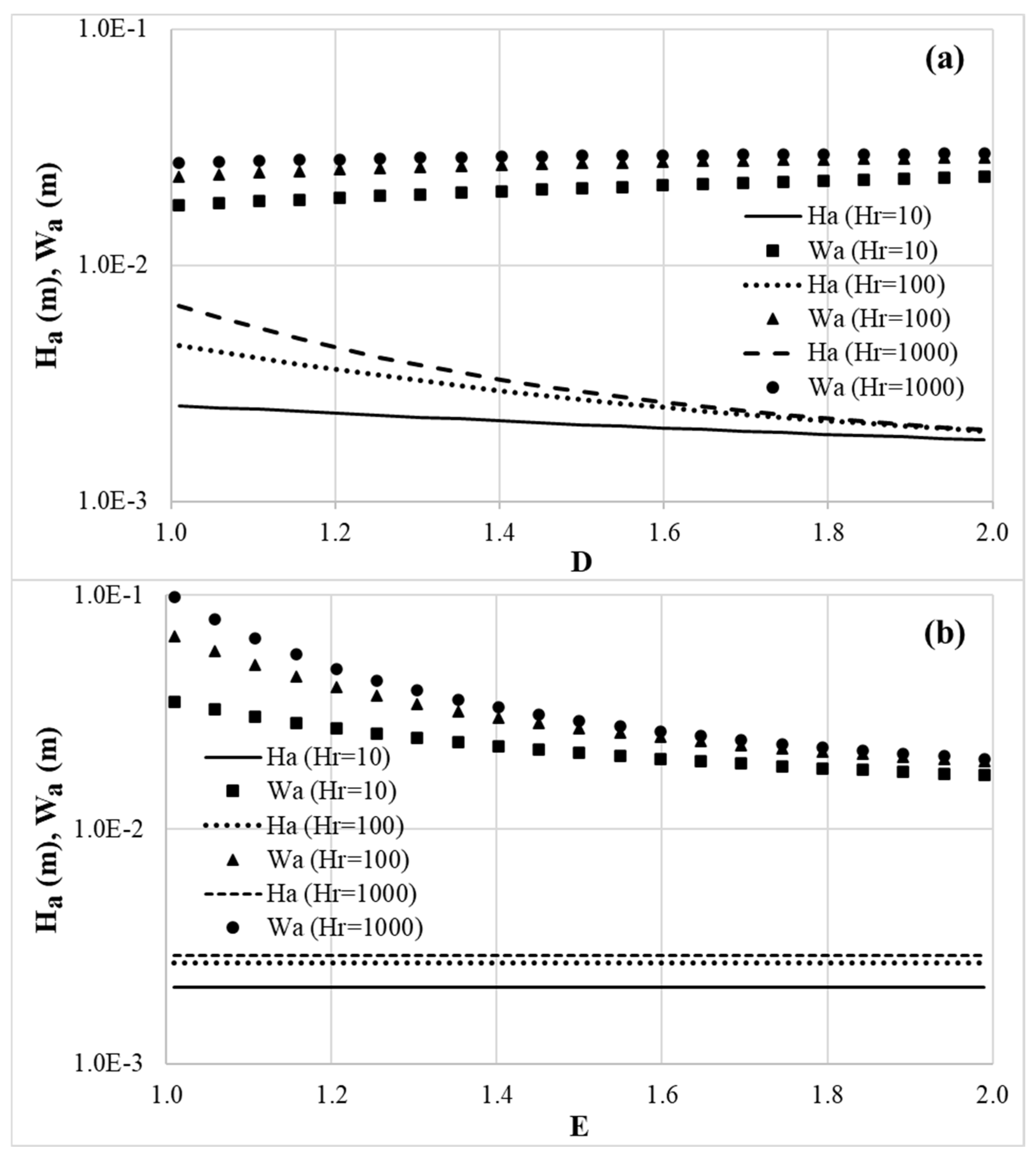
Figure 2 demonstrates the impact of the fractal dimension of aperture, D, and the fractal dimension of width, E, on the average aperture, Ha, and average width, Wa, when the minimum aperture is Hn = 0.001 m and the minimum width Wn = 0.01 m. The results in Figure 2a show that the average aperture decreases with D but slightly increases with E. In general, a larger fractal dimension indicates the fractal medium is more space-filled, which also means that there are more fractures but a smaller size of average fractures since the fractures have a wide range of sizes, especially a large number of fractures in the small end where the aperture probability density function is high. The probability density function drops quickly with the fracture size when the fractal dimension is high, which means the number of large fractures decreases quickly with the fractal dimension. Although the aperture and width have independent fractal distributions with their own fractal dimension, their fractal parameters are required to be related through Equation (14). With this requirement, the dependence of Ha on E can be reflected through its required relation to D. Therefore, Ha is not explicitly dependent on E, as shown in Figure 2b.
Figure 2.
The influence on the average aperture Ha and average width Wa of (a) the fractal dimension of aperture D when E = 1.5, and (b) the fractal dimension of width E when D = 1.5. Other required input parameters include Hn = 0.001 m and Wn = 0.01 m.
The average width, Wa, slightly increases with D. When Hr is large, Wa is nearly independent of D. From the requirement of , Wa increases with D mainly because Wr increases with D. With the given values of D and Hr, the increase in E should be accompanied by decreases in Wr, which indicates that the maximum width Wm should decrease with E. Therefore, the average width decreases with the increase in the fractal dimension of width, E, seen from Figure 2b.
Figure 3 demonstrates the impact of the maximum aperture over the minimum aperture ratio, Hr, on the total flow rate through the fractal fractures, Qxt, and average flow rate, Qxa, for the linear flow regime. Since Hn is kept constant, the increase in Hr should also mean the increase in Hm. The large fractures dominate the flow rate as it is proportional to the cube of aperture in each fracture. As a result, the increase in Hm results in a quick increase in both Qxt and Qxa, as evidenced in Figure 3. In addition, the total flow rate increase is also driven by the increase in the total number of fractures. The average flow increases at a much slower pace than the total flow rate (Figure 3). When Hr becomes larger, the fractures become larger, leading to a larger average fracture, which also means a larger average flow rate.
Figure 3.
The impact of the ratio of maximum aperture over minimum aperture, Hr, on the total flow rate through the fractal fractures, Qxt, and average flow rate, Qxa, for the linear flow regimes: (a) E = 1.5, and (b) D = 1.5. Other required input parameters are Hn = 0.001 m, Wn = 0.01 m, and G = 0.01.
With respect to the impact of the fractal dimension of aperture, D, the total flow rate is higher with a larger fractal dimension D, but average flow rate is lower with a larger D. This is because there are more fractures with larger fractal dimensions, but both the average aperture and the average width are smaller when the fractal dimension becomes larger. With respect to the impact of the fractal dimension of width, E, both the total flow rate and average flow rate decrease with the increase in E. Since , the total number of fractures is not explicitly related to E, and the effect of E is reflected through its relation to D with the given Wr and Hr. Since the average flow rate decreases with E, the total flow rate in the fractal fractures also decreases with E (Figure 3b). From the requirement of , Wr decreases with E; thereby, Wm also decreases with E. As a result, a smaller Wm leads to a smaller Wa, which in turn causes the flow rate in the fractal fractures to become smaller.
Figure 4 illustrates how the maximum aperture over minimum aperture ratio, Hr, affects the average flow rate, Qa (Figure 4a), which denotes either Qxa (all linear flow), Qya (mixed flow), or Qza (all nonlinear flow) depending on the flow scenario, and the ratio of the linear flow rate portion over the pure linear flow rate in the fractal fractures (Figure 4b). The flow rate in the average fracture when the flow is assumed to be either linear (solid circles in Figure 4a) or nonlinear (open circles in Figure 4b) is also plotted in Figure 4 for comparison. The significant impact of the critical aperture over the minimum aperture ratio, Hrc, can also be seen in Figure 4.
Figure 4.
The impact of the ratio of maximum aperture over minimum aperture, Hr, on (a) the average flow rate in the fractal fractures, Qa, and (b) the fraction of linear flow portion over the total flow rate. In Figure 4a, Qa represents either Qxa (all linear flow), Qya (mixed flow), or Qza (all nonlinear flow), depending on the flow scenario in the fractal fractures. Qxaa and Qzaa are the flow rates through a fracture with the average aperture for linear and nonlinear flows, respectively. Other required input parameters are D = 1.5, E = 1.5, Hn = 0.001 m, Wn = 0.01 m, and G = 0.01.
When Hr is smaller than Hrc, the flow in all the fractures is linear, and the increase in its flow rate with Hr is more significant. When Hr reaches Hrc, then the flow in certain portion of the fractures starts to become nonlinear, and the increase in flow rate with Hr slows down significantly due to the increasingly strong nonlinear effect in the fractures that are larger than Hc. With the increase in Hr, there are two competing effects: increasing the average aperture Ha to increase the flow rate and increasing the nonlinear effect to slow down the flow rate. Overall, the net effect is that the average flow rate increases slightly with increasing Hr (Figure 4a).
When the flow in a fracture with the average aperture of fractal fractures is assumed to be nonlinear, the flow rate in the average aperture is slightly below the average nonlinear flow rate in the fractal fractures (i.e., when Hrc = 1 in Figure 4a). When the flow in a fracture with the average aperture of fractal fractures is assumed to be linear, the flow rate through this average aperture is well below the average linear flow rate in the fractal fractures (i.e., when Hrc = 1000 in Figure 4a). Therefore, the fractal distribution of aperture significantly increases the flow rate because a few large fractures contribute significantly to increasing the average flow rate (or the total flow rate). For both flow regimes, the flow increases in a nonlinear fashion with the increase in the aperture. For the linear flow regime, the increase is proportional to the cube of the aperture. Therefore, for the linear flow regime, the flow rate in the fractal fractures is much higher than that for the nonlinear flow, as seen in Figure 4a. For the nonlinear flow in a fracture, while the flow rate also increases with its aperture, the extent of increase is, however, much smaller. Therefore, due to the nonlinear portion of the fractures in the fractal fractures, the flow rate increases much more slowly than its linear counterpart.
For the linear flow portion results shown in Figure 4b, when Hrc = 1, the flow in all the fractures is nonlinear; therefore, the linear portion of the flow rate is always equal to zero. On the other hand, when Hrc = 1000, which means the flow in all the fractures is linear, the flow rate in the fractal fractures increases significantly with Hr (or with Hm since Hn is kept constant in the calculations of the results shown in Figure 4) due to the cubic law in the flow rate relationship with the aperture. In this case, the linear flow portion accounts for 100% of the flow rate. When Hrc increases from 1 to 1000, the linear flow fraction also increases. As Hr reaches Hrc, then the linear flow portion drops quickly and eventually becomes zero as the nonlinear flow portion increases with Hr (Figure 4b).
Figure 5 shows the effect of the ratio of the critical aperture over the minimum aperture, Hrc, on the average flow rate in the fractal fractures, Qa (Figure 4a), which denotes either Qxa (all linear flow), Qya (mixed flow), or Qza (all nonlinear flow) depending on the flow scenario, and the fraction of linear flow portion over the pure linear flow rate, Rlnr, at a few different values of fractal dimension of aperture D for G = 0.01. As Hrc increases (i.e., Hc increases since Hn is kept constant), the fraction of linear flow portion also increases since the flow in the fractures that are smaller than Hc is linear. In the small range of Hrc, the flow rate increases only slowly with Hrc since the fractures below Hrc, in which the flow is linear, are also small and their impact on the total flow rate in the fractal fractures is not significant. When Hrc becomes large, the flow rate increases significantly since the linear flow regime becomes a major contributor to the overall flow rate in the fractal fractures. Due to the cubic law in the linear flow regime, the large fractures significantly increase the flow rate. For fractal fractures with a larger fractal dimension D, the size distribution of fractures becomes more spread, and the size of the average aperture becomes smaller (Figure 2a). Therefore, the average flow rate in fractures Qa is also smaller (Figure 5a).
Figure 5.
The impact of the ratio of the critical aperture over the minimum aperture, Hrc, on (a) the average flow rate in the fractal fractures, Qa, and (b) the fraction of total flow rate over the pure linear flow rate, Rtot, and the fraction of linear flow portion over the pure linear flow rate, Rlnr. In Figure 5a, Qa represents either Qxa (all linear flow), Qya (mixed flow), or Qza (all nonlinear flow), depending on the flow scenario in the fractal fractures. Other required input parameters are E = 1.5, Hr = 1000, Hn = 0.001 m, Wn = 0.01, and G = 0.01.
Rtot exhibits a similar trend to the average flow rate (Figure 5b). When Hrc increases, Rtot also increases. When Hrc reaches Hr, both Rtot and Rlnr are equal to one, which indicates the flow is linear in all the fractures. When Hrc reaches 1000 (i.e., the same as Hr in the results in Figure 5), the flow in all the fractures is linear, and therefore, Rtot reaches one (i.e., 100% flow in the fractal fractures is linear). Note that the ratio Rtot is defined as the ratio of total flow rate in the fractal fractures over the total flow rate when the flow is all linear in all the fractures and calculated by assuming the flow rate obeys the cubic law (Equation (1)). When Hrc decreases, both Rtot and Rlnr decrease quickly as the flow in part of the fractures (i.e., the portion of large fractures) becomes nonlinear, which decreases the flow rate significantly.
From Figure 3a, it can be observed that the average linear flow rate Qxa decreases quickly when D increases. The ratio Rtot, however, increases with D (Figure 5b) since the pure linear flow rate (i.e., the denominator) decreases significantly with D in the calculations of Rtot and Rlnr. Therefore, the ratios Rtot and Rlnr both increase with D. When D is large, the overall aperture is small (Figure 2a), where the nonlinear flow effect is insignificant (Figure 1b), which means the flow rate ratio over the pure linear flow rate is large. This flow behavior also explains the phenomenon that both the ratios Rtot and Rlnr increase with D, as shown in Figure 5b.
At the low end of Hrc, when the flow in most fractures is nonlinear, the overall flow rate ratio over that of pure linear flow rate in all fractures is small compared to the scenario in which the flow in all the fractures is linear. This is because when Hrc becomes small, the flow in most fractures becomes nonlinear and the overall flow rate drops quickly; its ratio becomes small. The fraction of the linear flow in the fractal fractures is zero when Hrc = 1.0 (i.e., the flow is nonlinear in all the fractures). When Hrc increases, Rlnr increases quickly to converge with the total flow rate portion Rtot (Figure 5b).
Figure 6 shows the effect of the critical aperture over the minimum aperture ratio, Hrc, on the flow rate in the fractal fractures at a few different values of fractal dimension of width E for G = 0.01. The increase in Hrc always significantly increases the overall flow rate and the ratio of flow rate over the pure linear flow rate, as the increase in Hrc signals the switch from the pure nonlinear flow to the pure linear flow. The extent of increase becomes more significant when Hrc becomes larger, and more and more large fractures experience linear flows. As discussed earlier, the effect of E on the flow rate is embedded in the required relation, Equation (14), and the effect of E is not completely independent. The fractal dimension of width E does not affect flow rate ratios, since E has the same effect on the flow rate of the mixed linear and nonlinear flow rates and on the pure linear flow rate in the fractal fractures. When Hrc reaches a certain value (about 10 in the results in Figure 6), the flow starts to be dominated by the linear flow in the fractures that are below Hrc and the total flow rate ratio is almost the same as the linear portion, in which the nonlinear flow contribution to the total flow rate becomes minimal.
Figure 6.
The impact of the ratio of the critical aperture over the minimum aperture, Hrc, on the average flow rate in the fractal fractures, Qa, and the fraction of total flow rate over the pure linear flow rate, Rtot, and the fraction of linear flow portion over the pure linear flow rate, Rlnr. In the figure, Qa represents either Qxa (all linear flow), Qya (mixed flow), or Qza (all nonlinear flow), depending on the flow scenario in the fractal fractures. Other required input parameters include D = 1.5, Hr = 1000, Hn = 0.001 m, Wn = 0.01 m, and G = 0.01.
Figure 7 shows the effect of the ratio of the critical aperture over the minimum aperture, Hrc, on the average flow rate in the fractal fractures, Qa, which could be either Qxa (all linear flow), Qya (mixed flow), or Qza (all nonlinear flow) depending on the flow scenario, and the fraction of linear flow portion over the pure linear flow rate, Rlnr, at a few different values of fractal dimension of aperture D for G = 0.1 (i.e., G is 10 times that in Figure 5). For the linear flow regime, the flow rate is linearly proportional to G. For the nonlinear flow regime, the flow rate also increases with G, but the extent of increase is less profound compared to the linear flow regime. In particular, the flow rate is approximately proportional to the square root of G for the nonlinear flow when G is large, while for the linear flow, the flow rate is directly proportional to G. Therefore, the flow rate reduction for the nonlinear flow compared to the linear flow is significant when G is large.
Figure 7.
The impact of the ratio of the critical aperture over the minimum aperture, Hrc, on (a) the average flow rate in the fractal fractures, Qa, and (b) the fraction of total flow rate over the pure linear flow rate, Rtot, and the fraction of linear flow portion over the pure linear flow rate, Rlnr. In Figure 7a, Qa represents either Qxa (all linear flow), Qya (mixed flow), or Qza (all nonlinear flow), depending on the flow scenario in the fractal fractures. Other required input parameters are E = 1.5, Hr = 1000, Hn = 0.001 m, Wn = 0.01, and G = 0.1.
Comparing Figure 5a and Figure 7a, it can be observed that while the increasing trend of the average flow rate and fractions of flow rate in relation to Hrc are similar for both G = 0.01 and G = 0.1, there are major quantitative differences. When Hrc = 1.0 (i.e., the flow in all the fractures is nonlinear), the flow rate only increases about three times for D = 1.1 with G increasing from 0.01 to 0.1. For the linear flow regime when Hrc = 1000 (i.e., flow in all the fractures is linear flow), the flow rate increases 10 times for D = 1.1 when G increases from 0.01 to 0.1. This conclusion also holds for other D values.
In a single fracture, the extent of increase for nonlinear flow significantly drops with increasing aperture. When the aperture increases from 0.0001 m to 0.1 m, for example, the linear flow rate increases 109 times, but for the nonlinear flow, the flow rate only increases less than 106 times with the same increase in aperture when G = 0.01. For G = 0.1, the nonlinear flow rate increase is less than 300,000 times. For the fractal fractures, the flow is dominated by the few large fractures, and the decreasing extent in the flow rate due to the nonlinear behavior becomes much more significant than that in an average fracture.
Figure 8 shows the effect of Hrc on the flow in the fractal fractures at a few different values of fractal dimension of width E for G = 0.1 (i.e., 10 times the G value in Figure 6). Similar to the results shown in Figure 6 for G = 0.01, the fractal dimension of width E does not affect flow rate ratios but only impacts the flow rate, since E has the same effect on the flow rate of mixed linear and nonlinear flows in the fractal fractures and on the pure linear flow rate. Both the flow rate and the flow rate ratios increase with Hrc, because an increasing Hrc means more fractures experience the linear flow behavior, which has a larger flow rate compared to the nonlinear flow regime.
Figure 8.
The impact of the ratio of the critical aperture over the minimum aperture, Hrc, on the average flow rate in the fractal fractures, Qa, and the fraction of total flow rate over the pure linear flow rate, Rtot, and the fraction of linear flow portion over the pure linear flow rate, Rlnr. Other required input parameters are D = 1.5, Hr = 1000, Hn = 0.001 m, Wn = 0.01 m, and G = 0.1.
Figure 9 illustrates the effect of the minimum aperture, Hn, on the average flow rate Qa (Figure 4a), which could be either Qxa (all linear flow), Qya (mixed flow), or Qza (all nonlinear flow) depending on the flow scenario, for different D values when G = 0.01. When Hc and Hm are kept constant, increasing Hn means both Hrc and Hr are decreasing. As Hn increases, the number of fractures in which the flow is linear decreases, but the average aperture increases, such that the average flow rate increases. When Hn approaches Hc, the linear flow portion in the fractal fractures starts to disappear, such that the average flow rate exhibits a drop, although the average aperture still increases. The drop in flow rate due to all fractures exhibiting nonlinear flow behavior outweighs the increase in the average flow rate from increasing average aperture.
Figure 9.
The impact of the minimum aperture, Hn, on (a) the average flow rate in the fractal fractures, Qa, and (b) the fraction of total flow rate over the pure linear flow rate, Rtot, and the fraction of linear flow portion over the pure linear flow rate, Rlnr, for different values of D. In Figure 9a, Qa represents either Qxa (all linear flow), Qya (mixed flow), or Qza (all nonlinear flow) depending on the flow scenario in the fractal fractures. Qxaa and Qzaa are the flow rates through a fracture with the average aperture for linear and nonlinear flows, respectively. Other required input parameters are E = 1.5, Hm = 1.0 m, Hc = 0.01 m, Wn = 0.01 m, and G = 0.01.
For comparison, the pure linear flow rate (Qxaa) and the pure nonlinear flow rate (Qzaa) in a fracture with the average aperture are also included in Figure 9a. For the pure linear flow, Qxaa increases in a power-law form since the log–log plot is a straight line, as seen in Figure 9a. From Equation (17), the average aperture is linearly proportional to Hn. Therefore, the pure linear flow rate should be proportional to the cube of Hn due to the cubic law for the linear flow regime in a fracture. For the pure nonlinear flow, the flow rate behavior changes from approximately the cube of Hn when Hn is small to about the power of 2/3 of Hn when Hn is large, which can be derived from Equation (5). Similar to the average flow rate behavior in the fractal fractures, the flow rates for both pure linear flow and pure nonlinear flow in an average fracture also decrease when the fractal dimension of aperture D increases, since the average aperture decreases with D.
From Figure 9b, it can be observed that Rtot is small. Even with Hn = 0.0001 m, the total flow rate is less than 0.7% of that from the pure linear flow. Since h is larger than Hc (i.e., 0.01 m for the results in Figure 9), the flow is nonlinear, and these large fractures are dominated by the nonlinear flows, in which the flow rate is significantly smaller than that of the linear flow regime. While the flow rate decreases with increasing D in all the flow regimes considered (Figure 9a), the flow rate ratio over the pure linear flow increases with increasing D (Figure 9b). The flow rate in the pure linear flow regime decreases faster than that in the other regimes, and as a result, both the flow rate ratios, Rtot and Rlnr, increase with increasing D.
Figure 10 demonstrates the effects of Hn for different E values when G = 0.01, D = 1.5, Hm = 1.0 m, Hc = 0.01 m, and Wn = 0.01 m. Figure 10a shows the influence of the minimum aperture, Hn, on the average flow rate in the fractal fractures (Qa), the linear flow rate in a fracture with the average aperture (Qxaa), the nonlinear flow rate in a fracture with the average aperture (Qzaa), while Figure 10b illustrates the impact of Hn on the ratio of total flow rate over the pure linear flow rate (Rtot) and the ratio of linear portion of total flow rate over the pure linear flow rate (Rlnr). Since Hm is kept constant, the increase in Hm means that the average aperture Ha also increases, which also increases the average flow rate. When Hn approaches Hc (0.01 m in Figure 10), the flow in all the fractures is about to become nonlinear, and the average flow rate starts to drop, as seen in Figure 10a. When E increases, although the average aperture Ha is not affected by E, the average width Wa decreases when E increases (Figure 2b). Therefore, the average flow rate also decreases with increasing E (Figure 10a). For both pure linear and nonlinear flows, the average flow rate always increases with increasing Hn simply because the average aperture increases monotonically with Hn as the number of small fractures decreases.
Figure 10.
The impact of the minimum aperture, Hn, on (a) the average flow rate in the fractal fractures, Qa, and (b) the fraction of total flow rate over the pure linear flow rate, Rtot, and the fraction of linear flow portion over the pure linear flow rate, Rlnr, for different values of E. Other required input parameters are D = 1.5, Hm = 1.0 m, Hc = 0.01 m, Wn = 0.01 m, and G = 0.01.
From Figure 10b, it can be observed that when Hn is small, the fraction of fractures in which the flow is linear is high. Therefore, the total flow rate ratio compared to the pure linear flow starts with a relatively high value, although the ratio is only about 0.1% because the flow in large fractures is nonlinear. For the nonlinear flow in large fractures, the flow rate reduction compared to the pure linear flow is very significant, which explains why Rtot is small. As Hn increases, the proportion of fractures in which the flow is linear continues to drop and both the total flow rate ratio Rtot and the linear flow portion ratio compared to the pure linear flow Rlnr also drop until Rlnr becomes zero when Hn is equal to Hc, seen in Figure 10b, which means the flow in all the fractures is nonlinear.
From both Figure 9a and Figure 10a, it can also be observed that the nonlinear effect is amplified in the fractal fractures compared to that in a single fracture. For the nonlinear flow, the average flow rate in the fractal fractures is higher than that in a single fracture, with the average aperture for both cases of D = 1.1 and D = 1.9 (Figure 9a and Figure 10a).
The results in this study demonstrate that the significant coupled effects from the nonlinear flow behaviors and fractal features of fractured media could be quantified by the ratio of critical aperture to the minimum aperture in the fractal fractures. Currently, it is not possible to compare the results with other studies since either theoretical or experimental works in the literature that explicitly separated the flow regimes in fractal media based on a critical aperture, which would have allowed a direct comparison with the results from this study, are not available. The current study has the potential to provide a guide for future studies, especially experimental ones, to better understand the role of the coupling of nonlinear flow and fractal nature in flows through fractal media.
4. Conclusions
In this study, an analytical approach is developed to determine the flow rate in fractal fractures where linear and nonlinear flows may coexist in different fractures. Both the aperture and width could follow fractal distributions with distinct fractal dimensions. The impact of nonlinear flow regimes and aperture and width fractal distributions on the overall flow behavior through fractal fractures is investigated. The flow features are directly examined without using Darcy’s law concept, which relies on the concept of an effective porous medium with effective permeability or conductivity of fractal fractures. The main conclusions are summarized as follows.
Nonlinear flow regimes in large fractures significantly reduce the overall flow rate through the fractal fractures. The significant impact could be quantified by the parameter of Hrc, which is the ratio of critical aperture to the minimum aperture in the fractal fractures. For fractal fractures, there is a wide size range of apertures. A large ratio of the maximum over the minimum apertures increases the average flow rate as the fractal distribution samples large fractures that dominate the flow rate increase. The increase in the minimum aperture enhances the average flow rate in the fractal fractures. When the minimum aperture is close to the critical aperture, however, the flow in the fractal fractures starts to turn to nonlinear flow in all the fractures, and the average flow rate decreases. The nonlinear flow effect is amplified in the fractal fractures compared to that in a single fracture because the average flow rate in the fractal fractures is higher than that in a single fracture with the average aperture for the nonlinear flow regime. A larger fractal dimension of aperture leads to a lower average flow rate in the fractal fractures as the average aperture decreases with the fractal dimension. However, the fraction of flow rate from the linear flow portion in the fractal fractures over the pure linear flow in all the fractures increases with the fractal dimension.
Funding
This research received no external funding.
Data Availability Statement
The original contributions presented in this study are included in the article. Further inquiries can be directed to the author.
Conflicts of Interest
The author declares no conflicts of interest.
References
- Abotalib, A.Z.; Heggy, E.; Scabbia, G.; Mazzoni, A. Groundwater dynamics in fossil fractured carbonate aquifers in Eastern Arabian Peninsula: A preliminary investigation. J. Hydrol. 2019, 571, 460–470. [Google Scholar] [CrossRef]
- Ferreira, C.A.S.; Nick, H.M. Computed-tomography-based discrete fracture-matrix modeling: An integrated framework for deriving fracture networks. Adv. Water Resour. 2023, 177, 104450. [Google Scholar] [CrossRef]
- Medici, G.; West, L.J.; Banwart, S.A. Flow velocities in a fractured carbonate aquifer-type: Implications for contaminant transport. J. Contam. Hydrol. 2019, 222, 1–16. [Google Scholar] [CrossRef] [PubMed]
- Shi, D.; Li, L.; Liu, J.; Wu, M.; Pan, Y.; Tang, J. Effect of discrete fractures with or without roughness on seepage characteristics of fractured rocks. Phys. Fluids 2022, 34, 073611. [Google Scholar] [CrossRef]
- Ali, M.; Jha, N.K.; Pal, N.; Keshavarz, A.; Hoteit, H.; Sarmadivaleh, M. Recent advances in carbon dioxide geological storage, experimental procedures, influencing parameters, and future outlook. Earth-Sci. Rev. 2022, 225, 103895. [Google Scholar] [CrossRef]
- March, R.; Doster, F.; Geiger, S. Assessment of CO2 storage potential in naturally fractured reservoirs with dual-porosity models. Water Resour. Res. 2018, 54, 1650–1668. [Google Scholar] [CrossRef]
- Riazi, M.; Sohrabi, M.; Bernstone, C.; Jamiolahmady, M.; Ireland, M. Visualisation of mechanisms involved in CO2 injection and storage in hydrocarbon reservoirs and water-bearing aquifers. Chem. Eng. Res. Des. 2011, 89, 1827–1840. [Google Scholar] [CrossRef]
- Lai, J.; Liu, B.; Li, H.; Pang, X.; Liu, S.; Bao, M.; Wang, G. Bedding parallel fractures in fine-grained sedimentary rocks: Recognition, formation mechanisms, and prediction using well log. Pet. Sci. 2022, 19, 554–569. [Google Scholar] [CrossRef]
- Sarkheil, H.; Hassani, H.; Alinia, F. Fractures distribution modeling using fractal and multi-fractal–neural network analysis in Tabnak hydrocarbon field, Fars, Iran. Arab. J. Geosci. 2013, 6, 945–956. [Google Scholar] [CrossRef]
- Shi, D.; Chang, X.; Li, L.; Wu, M.; Song, R.; Guo, Y.; Tang, J.; Liu, J. Differences in the permeability assessment of the fractured reservoir rocks using the conventional and the rough discrete fracture network modeling. J. Pet. Explor. Prod. Technol. 2024, 14, 495–513. [Google Scholar] [CrossRef]
- Chen, Y.; Ma, G.; Wang, H. Heat extraction mechanism in a geothermal reservoir with rough-walled fracture networks. Int. J. Heat Mass Transf. 2018, 126, 1083–1093. [Google Scholar] [CrossRef]
- Vidal, J.; Genter, A. Overview of naturally permeable fractured reservoirs in the central and southern Upper Rhine Graben: Insights from geothermal wells. Geothermics 2018, 74, 57–73. [Google Scholar] [CrossRef]
- Tsang, C.-F.; Neretnieks, I.; Tsang, Y. Hydrologic issues associated with nuclear waste repositories. Water Resour. Res. 2015, 51, 6923–6972. [Google Scholar] [CrossRef]
- Edirisinghe, E.A.A.V.; Perera, M.S.A. Review on the impact of fluid inertia effect on hydraulic fracturing and controlling factors in porous and fractured media. Acta Geotech. 2024, 19, 7923–7965. [Google Scholar] [CrossRef]
- Fang, H.; Zhu, J.; Qiu, J.; Su, Y.; Xia, D. Laminar and turbulent groundwater flows in confined two- and three-dimensional discrete fracture networks. Eng. Geol. 2022, 308, 106824. [Google Scholar] [CrossRef]
- Javadi, M.; Sharifzadeh, M.; Shahriar, K. A new geometrical model for non-linear fluid flow through rough fractures. J. Hydrol. 2010, 389, 18–30. [Google Scholar] [CrossRef]
- Hyman, J.D.; Navarre-Sitchler, A.; Sweeney, M.R.; Pachalieva, A.; Carey, J.W.; Viswanathan, H.S. Quartz dissolution effects on flow channelization and transport behavior in three-dimensional fracture networks. Geochem. Geophys. Geosystems 2024, 25, e2024GC011550. [Google Scholar] [CrossRef]
- Lahiri, S. Estimating effective permeability using connectivity and branch length distribution of fracture network. J. Struct. Geol. 2021, 146, 104314. [Google Scholar] [CrossRef]
- Wang, C.; Wu, K.; Scott, G. Improvements to the fracture pipe network model for complex 3D discrete fracture networks. Water Resour. Res. 2022, 58, e2020WR029450. [Google Scholar] [CrossRef]
- Zhu, J. Impact of scaling break and fracture orientation on effective permeability of fractal fracture network. SN Appl. Sci. 2019, 1, 4. [Google Scholar] [CrossRef]
- Liu, R.; Li, B.; Jiang, Y. A fractal model based on a new governing equation of fluid flow in fractures for characterizing hydraulic properties of rock fracture networks. Comput. Geotech. 2016, 75, 57–68. [Google Scholar] [CrossRef]
- Min, K.B.; Jing, L.; Stephansson, O. Determining the equivalent permeability tensor for fractured rock masse using a stochastic REV approach: Method and application to the field data from Sellafield UK. Hydrogeol. J. 2004, 12, 497–510. [Google Scholar] [CrossRef]
- Noetinger, B. A quasi steady state method for solving transient Darcy flow in complex 3D fractured networks accounting for matrix to fracture flow. J. Comput. Phys. 2015, 283, 205–223. [Google Scholar] [CrossRef]
- Latham, J.-P.; Xiang, J.; Belayneh, M.; Nick, H.M.; Tsang, C.F.; Blunt, M.J. Modelling stress-dependent permeability in fractured rock including effects of propagating and bending fractures. Int. J. Rock Mech. Min. Sci. 2013, 57, 100–112. [Google Scholar] [CrossRef]
- Zimmerman, R.W.; Al-Yaarubi, A.; Pain, C.C.; Grattoni, C.A. Non-linear regimes of fluid flow in rock fractures. Int. J. Rock Mech. Min. Sci. 2004, 41, 163–169. [Google Scholar] [CrossRef]
- He, X.; Sinan, M.; Kwak, H.; Hoteit, H. A corrected cubic law for single-phase laminar flow through rough-walled fractures. Adv. Water Resour. 2021, 154, 103984. [Google Scholar] [CrossRef]
- Rong, G.; Cheng, L.; He, R.; Quan, J.; Tan, J. Investigation of critical non-linear flow behavior for fractures with different degrees of fractal roughness. Comput. Geotech. 2021, 133, 104065. [Google Scholar] [CrossRef]
- Cardenas, M.B.; Slottke, D.T.; Ketcham, R.A.; Sharp, J.M. Effects of inertia and directionality on flow and transport in a rough asymmetric fracture. J. Geophys. Res. Solid Earth 2009, 114, B06204. [Google Scholar] [CrossRef]
- Nowamooz, A.; Radilla, G.; Fourar, M. Non-Darcian two-phase flow in a transparent replica of a rough-walled rock fracture. Water Resour. Res. 2009, 45, W07406. [Google Scholar] [CrossRef]
- Ranjith, P.G.; Darlington, W. Nonlinear single-phase flow in real rock joints. Water Resour. Res. 2007, 43, W09502. [Google Scholar] [CrossRef]
- Zhu, J.; Cheng, Y. Effective permeability of fractal fracture rocks: Significance of turbulent flow and fractal scaling. Int. J. Heat Mass Transf. 2018, 116, 549–556. [Google Scholar] [CrossRef]
- Zhu, J. Effective hydraulic conductivity of discrete fracture network with aperture-length correlation. Geosci. J. 2020, 24, 329–338. [Google Scholar] [CrossRef]
- Liu, R.; Yu, L.; Jiang, Y.; Wang, Y.; Li, B. Recent developments on relationships between the equivalent permeability and fractal dimension of two-dimensional rock fracture networks. J. Nat. Gas Sci. Eng. 2017, 45, 771–785. [Google Scholar] [CrossRef]
- Luo, X.; Cheng, Y.; Tan, C. Calculation method of equivalent permeability of dual-porosity media considering fractal characteristics and fracture stress sensitivity. J. Pet. Explor. Prod. Technol. 2023, 13, 1691–1701. [Google Scholar] [CrossRef]
- Xia, B.; Luo, Y.; Hu, H.; Wu, M. Fractal permeability model for a complex tortuous fracture network. Phys. Fluids 2021, 33, 096605. [Google Scholar] [CrossRef]
- Zhu, J. Effective aperture and orientation of fractal fracture network. Phys. A 2018, 512, 27–37. [Google Scholar] [CrossRef]
- Wang, F.; Cheng, H. A fractal permeability model for 2D complex tortuous fractured porous media. J. Pet. Sci. Eng. 2020, 88, 106938. [Google Scholar] [CrossRef]
- Shi, D.; Li, L.; Guo, Y.; Liu, J.; Tang, J.; Chang, X.; Song, R.; Wu, M. Estimation of rough fracture network permeability using fractal and topology theories. Gas Sci. Eng. 2023, 116, 205043. [Google Scholar] [CrossRef]
- Zhu, J. Non-linear flow reduction factor and effective permeability of fractal fracture network. J. Nat. Gas Sci. Eng. 2019, 66, 138–147. [Google Scholar] [CrossRef]
- Hu, B.; Wang, J.G.; Sun, R.; Zhao, Z. A permeability model for the fractal tree-like fracture network with self-affine surface roughness in shale gas reservoirs. Geomech. Geophys. Geo-Energy Geo-Resour. 2024, 10, 24. [Google Scholar] [CrossRef]
- Zhao, M.; Kong, D.; Teng, S.; Shi, J. Combined effects of the roughness, aperture, and fractal features on the equivalent permeability and nonlinear flow behavior of rock fracture networks. Phys. Fluids 2024, 36, 074110. [Google Scholar] [CrossRef]
- Ward, J.C. Turbulent flow in porous media. J. Hydraul. Div. 1964, 90, 1–12. [Google Scholar] [CrossRef]
- Mandelbrot, B.B. The Fractal Geometry of Nature; Revised and Enlarged Edition; W.H. Freeman and Co.: New York, NY, USA, 1983; 495p. [Google Scholar]
- Miao, T.; Yu, B.; Duan, Y.; Fang, Q. A fractal analysis of permeability for fractured rocks. Int. J. Heat Mass Transf. 2015, 81, 75–80. [Google Scholar] [CrossRef]
- Yu, B.; Li, J. Some fractal characters of porous media. Fractals 2001, 9, 365–372. [Google Scholar] [CrossRef]
Disclaimer/Publisher’s Note: The statements, opinions and data contained in all publications are solely those of the individual author(s) and contributor(s) and not of MDPI and/or the editor(s). MDPI and/or the editor(s) disclaim responsibility for any injury to people or property resulting from any ideas, methods, instructions or products referred to in the content. |
© 2025 by the author. Licensee MDPI, Basel, Switzerland. This article is an open access article distributed under the terms and conditions of the Creative Commons Attribution (CC BY) license (https://creativecommons.org/licenses/by/4.0/).









