Development of Chincho (Tagetes elliptica Sm.) Essential Oil Organogel Nanoparticles through Ionic Gelation and Process Optimization with Box–Behnken Design
Abstract
1. Introduction
2. Results and Discussion
2.1. Experimental Design Summary
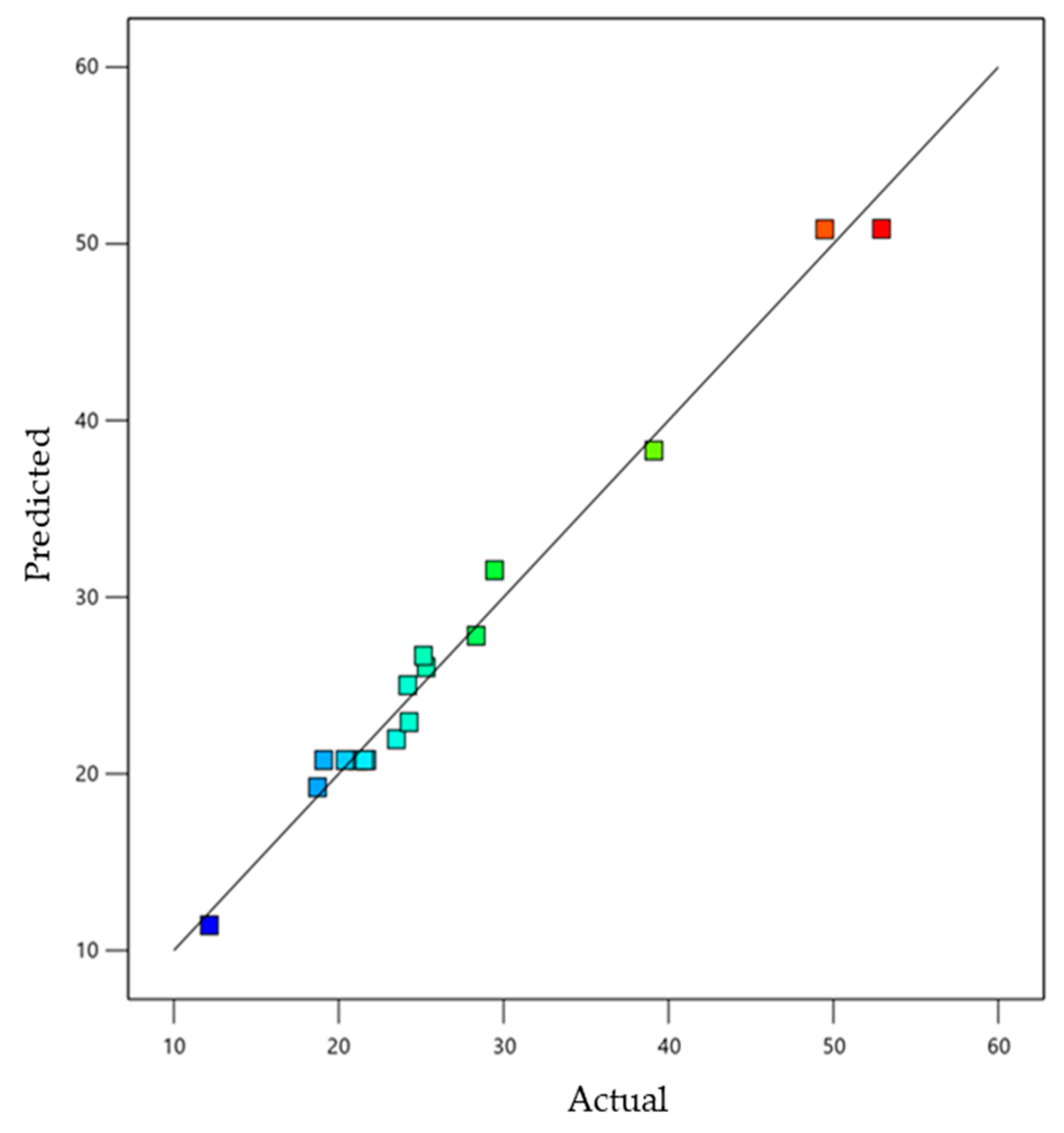
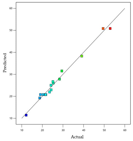
2.1.1. Fitting Model
2.1.2. Statistical Analysis
2.2. Effect of Independent Variables on Encapsulation Efficiency (Y1)
2.3. Effect of Independent Variables on Loading Capacity (Y2)
2.4. Optimization of the Encapsulation Process
2.5. Characterization of Optimized Formulations
2.5.1. Particle Size, Zeta Potential, and Polydispersity Index PDI
2.5.2. Surface Morphology
2.5.3. Release of Chincho Essential Oil at In Vitro Conditions
2.5.4. Antimicrobial Activity
3. Conclusions
4. Materials and Methods
4.1. Materials
4.2. Experimental Design Using Box–Benhken (BBD)
4.3. Preparation of CEO-CSNPs by Ionic Gelation
Determination of Encapsulation Efficiency (EE%) and Loading Capacity (LC%)
4.4. Characterization of Chincho (Tagetes ellitptica Sm.) Essential Oil-Loaded CS-NPs
Polydispersity, Particle Size, and Zeta Potential
4.5. Particles Morphology
4.6. In Vitro Release Study
4.7. Antibacterial Study
4.8. Statistical Analysis
Author Contributions
Funding
Institutional Review Board Statement
Informed Consent Statement
Data Availability Statement
Conflicts of Interest
References
- Al-Maqtari, Q.; Rehman, A.; Mahdi, A.; Al-Ansi, W.; Wei, M.; Yanyu, Z.; Phyo, H.M.; Galeboe, O.; Yao, W. Application of essential oils as preservatives in food systems: Challenges and future prospectives—A review. Phytochem. Rev. 2022, 21, 1209–1246. [Google Scholar] [CrossRef]
- Giannenas, I.; Sidiropoulou, E.; Bonos, E.; Christaki, E.; Florou-Paneri, P. Chapter 1. The history of herbs, medicinal and aromatic plants, and their extracts: Past, current situation and future perspectives. In Feed Additives, 1st ed.; Florou-Paneri, P., Christaki, E., Giannenas, I., Eds.; Academic Press: Athens, Greece, 2020; pp. 1–18. [Google Scholar] [CrossRef]
- Stefanaki. A.; Andel, T. Chapter 3. Mediterranean aromatic herbs and their culinary use. In Aromatic Herbs in Food, 1st ed.; Stefanaki, A., van Andel, T., Eds.; Naturalis Biodiversity Center: Leiden, The Netherlands, 2021; pp. 93–121. [Google Scholar] [CrossRef]
- Marotti, M.; Piccaglia, R.; Biavati, B.; Marotti, I. Characterization and yield evaluation of essential oils from different tagetes species. J. Essent. Oil Res. 2004, 16, 440–444. [Google Scholar] [CrossRef]
- Salehi, B.; Valussi, M.; Morais-Braga, M.; Carneiro, J.; Leal, A.; Coutinho, H.; Vitalini, S.; Kręgiel, D.; Antolak, H.; Sharifi-Rad, M.; et al. Tagetes spp. Essential Oils and Other Extracts: Chemical Characterization and Biological Activity. Molecules 2018, 23, 2847. [Google Scholar] [CrossRef]
- Varghese, S.; Siengchin, S.; Parameswaranpillai, J. Essential oils as antimicrobial agents in biopolymer-based food packaging—A comprehensive review. Food Biosci. 2020, 38, 100785. [Google Scholar] [CrossRef]
- Bakkali, F.; Averbeck, S.; Averbeck, D.; Idaomar, M. Biological effects of essential oils—A review. Food Chem. Toxicol. 2008, 46, 446–475. [Google Scholar] [CrossRef]
- Wintola, O.; Olajuyigbe, A.; Afolayan, A.; Coopoosamy, R.; Olajuyigbe. O.; Chemical composition, antioxidant activities and antibacterial activities of essential oil from Erythrina caffra Thunb. growing in South Africa. Heliyon 2021, 7, e07244. [Google Scholar] [CrossRef]
- Abdelaziz, E.; Filali, F.; Presti, V.; Zekkori, B.; Nalbone, L.; Bouymajane, A.; Trabelsi, N.; Lamberta, F.; Bentayeb, A.; Giuffrida, A.; et al. Chemical composition, antioxidant capacity and antibacterial action of five Moroccan essential oils against Listeria monocytogenes and different serotypes of Salmonella enterica. Microb. Pathog. 2020, 149, 104510. [Google Scholar] [CrossRef]
- Bhavaniramya, S.; Vishnupriya, S.; Al-Aboody, M.S.; Vijayakumar, R.; Baskaran, D. Role of essential oils in food safety: Antimicrobial and antioxidant applications. Grain Oil Sci. Technol. 2019, 2, 49–55. [Google Scholar] [CrossRef]
- Walia, S.; Kumar, R. Wild marigold (Tagetes minuta L.) an important industrial aromatic crop: Liquid gold from the Himalaya. J. Essent. Oil Res. 2020, 32, 373–393. [Google Scholar] [CrossRef]
- Ibrahim, S.R.M.; Abdallah, H.M.; El-Halawany, A.M.; Esmat, A.; Mohamed, G.A. Thiotagetin B and tagetannins A and B, new acetylenic thiophene and digalloyl glucose derivatives from Tagetes minuta and evaluation of their in vitro antioxidative and anti-inflammatory activity. Fitoterapia 2018, 125, 78–88. [Google Scholar] [CrossRef]
- Kumar, R.; Sharma, S.; Ramesh, K.; Pathania, V.; Prasad. R. Irradiance stress and plant spacing effect on growth, biomass and quality of wild marigold (Tagetes minuta L.)—An industrial crop in western Himalaya. J. Essent. Investig. Pet. 2014, 26, 348–358. [Google Scholar] [CrossRef]
- Pichette, F.; Garneau, G.; Collin, F.; Jean, H.; López, J. Essential Oils from Bolivia. IV. Compositae: Tagetes aff. maxima Kuntze and Tagetes multiflora H.B.K. J. Essent. Oil Res. 2005, 17, 27–28. [Google Scholar] [CrossRef]
- Kashyap, P.; Singh, S.; Singh, M.; Gupta, A.; Tandon, S.; Shanker, K.; Verma, R.; Verma, R. An efficient process for the extraction of lutein and chemical characterization of other organic volatiles from marigold (Tagetes erecta L.) flower. Food Chem. 2022, 396, 133647. [Google Scholar] [CrossRef] [PubMed]
- Huang, X.; Gao, W.; Yun, X.; Qing, Z.; Zeng, J. Effect of Natural Antioxidants from Marigolds (Tagetes erecta L.) on the Oxidative Stability of Soybean Oil. Molecules 2022, 27, 2865. [Google Scholar] [CrossRef]
- Giarratana, F.; Muscolino, D.; Ziino, G.; Giuffrida, A.; Marotta, S.M.; Lo Presti, V.; Panebianco, A. Activity of Tagetes minuta Linnaeus (Asteraceae) essential oil against L3 Anisakis larvae type 1. Asian Pac. J. Trop. Med. 2017, 10, 461–465. [Google Scholar] [CrossRef]
- Mogoşanu, G.; Grumezescu, A.; Bejenaru, C.; Bejenaru, L. 11—Natural products used for food preservation. In Food Preservation—Nanotechnology in the Agri-Food Industry; Grumezescu, A.M., Ed.; Academic Press: London, UK, 2017; pp. 365–411. [Google Scholar] [CrossRef]
- Singh, P.; Krishna, A.; Kumar, V.; Krishna, S.; Singh, K.; Gupta, M.; Singh, S. Chemistry and biology of industrial crop Tagetes Species: A review. J. Essent. Oil Res. 2016, 28, 1–14. [Google Scholar] [CrossRef]
- Ruiz, J.; Salazar, M. Composición química y actividad antibacteriana de los aceites esenciales de Citrus paradisi, Juglans neotropica Diels, Schinus molle y Tagetes elliptica Smith. Rev. Soc. Quim. Peru 2021, 87, 228–241. [Google Scholar] [CrossRef]
- Segovia, I.; Suárez, L.; Castro, A.; Suárez, S.; Ruiz, J. Chemical composition of essential oil from Tagetes elliptica Smith “chincho” and antioxidant, antibacterial and antifungal activities. Cienc. Investig. Fac. Farm. Bioquim. UNMSM 2010, 13, 81–86. [Google Scholar]
- Huaraca, R.; Delgado, M.; Tapia, F. Metabolitos bioactivos y actividad antioxidante in vitro del aceite esencial extraído de dos especies del género Tagetes. Rev. Colomb. Cienc. Químico-Farm. 2022, 50, 3. [Google Scholar] [CrossRef]
- Carhuapoma, M. Elucidación Estructural, Actividad Anti-Trypanosoma Cruzi y Toxicidad Aguda del Aceite Esencial de Tagetes elliptica Smith “Chinchu”. Master’s Thesis, Facultad de Farmacia y Bioquímica, Unidad de Posgrado—Universidad Nacional Mayor de San Marcos, Lima, Peru, 2017. [Google Scholar]
- Natrajan, D.; Srinivasan, S.; Sundar, K.; Ravindran, A. Formulation of essential oil-loaded chitosan-alginate nanocapsules. J. Food Drug Anal. 2015, 23, 560–568. [Google Scholar] [CrossRef]
- Zabot, G.L.; Schaefer Rodrigues, F.; Polano Ody, L.; Vinícius Tres, M.; Herrera, E.; Palacin, H.; Córdova-Ramos, J.S.; Best, I.; Olivera-Montenegro, L. Encapsulation of Bioactive Compounds for Food and Agricultural Applications. Polymers 2022, 14, 4194. [Google Scholar] [CrossRef] [PubMed]
- Zanetti, M.; Carniel, T.; Dalcanton, F.; Silva dos Anjos, R.; Riella, H.; Araújo, P.; de Oliveira, D.; Fiori, M. Use of encapsulated natural compounds as antimicrobial additives in food packaging: A brief review. Trends Food Sci. Technol. 2018, 81, 51–60. [Google Scholar] [CrossRef]
- Abere, D.; Ojo, S.; Paredes, M.; Hakami, A. Derivation of composites of chitosan-nanoparticles from crustaceans source for nanomedicine: A mini review. Biomed. Eng. Adv. 2022, 4, 100058. [Google Scholar] [CrossRef]
- Shahab, M.S.; Rizwanullah, M.; Alshehri, S.; Imam, S.S. Optimization to development of chitosan decorated polycaprolactone nanoparticles for improved ocular delivery of dorzolamide: In vitro, ex vivo and toxicity assessments. Int. J. Biol. Macromol. 2020, 163, 2392–2404. [Google Scholar] [CrossRef]
- Shetta, A.; Kegere, J.; Mamdouh, W. Comparative study of encapsulated peppermint and green tea essential oils in chitosan nanoparticles: Encapsulation, thermal stability, in-vitro release, antioxidant and antibacterial activities. Int. J. Biol. Macromol. 2018, 126, 731–742. [Google Scholar] [CrossRef]
- Brito, G.B.; Di Sarli Peixoto, V.O.; Martins, M.T.; Rosário, D.K.A.; Ract, J.N.; Conte-Júnior, C.A.; Torres, A.G.; Castelo-Branco. V.N. Development of chitosan-based oleogels via crosslinking with vanillin using an emulsion templated approach: Structural characterization and their application as fat-replacer. Food Struct. 2022, 32, 100264. [Google Scholar] [CrossRef]
- Carrancá Palomo, M.; Martín Prieto, V.; Kirilov, P. Colloidal Dispersions of Gelled Lipid Nanoparticles (GLN): Concept and Potential Applications. Gels 2017, 3, 33. [Google Scholar] [CrossRef]
- Esposito, C.; Kirilov, P.; Roullin, G. Organogels, promising drug delivery systems: An update of state-of-the-art and recent applications. J. Control. Release 2018, 271, 1–20. [Google Scholar] [CrossRef]
- Martin, B.; Garrait, G.; Beyssac, E.; Goudouneche, D.; Perez, E.; Franceschi, S. Organogel Nanoparticles as a New Way to Improve Oral Bioavailability of Poorly Soluble Compounds. Pharm. Res. 2020, 37, 92. [Google Scholar] [CrossRef]
- Martin, B.; Brouillet, F.; Franceschi, S.; Perez, E. Evaluation of Organogel Nanoparticles as Drug Delivery System for Lipophilic Compounds. AAPS PharmSciTech 2017, 18, 1261–1269. [Google Scholar] [CrossRef]
- Odjo, K.; Al-Maqtari, Q.; Yu, H.; Xie, Y.; Guo, Y.; Li, M.; Du, Y.; Liu, K.; Chen, Y.; Yao, W. Preparation and characterization of chitosan-based antimicrobial films containing encapsulated lemon essential oil by ionic gelation and cranberry juice. Food Chem. 2022, 397, 133781. [Google Scholar] [CrossRef] [PubMed]
- Cáceres, L.M.; Velasco, G.A.; Dagnino, E.P.; Chamorro, E.R. Microencapsulation of grapefruit oil with sodium alginate by gelation and ionic extrusion: Optimization and modeling of crosslinking and study of controlled release kinetics. Rev. Tecnol. Cienc. 2020, 41, 41–61. [Google Scholar] [CrossRef]
- Zhang, H.; Li, X.; Kang, H. Chitosan coatings incorporated with free or nano-encapsulated Paulownia tomentosa essential oil to improve shelf-life of ready-to-cook pork chops. LWT 2019, 116, 108580. [Google Scholar] [CrossRef]
- Mora, C.E.; Fessi, H.; Elaissari, A. Influence of process and formulation parameters on the formation of submicron particles by solvent displacement and emulsification-diffusion methods: Critical comparison. Adv. Colloid Interface Sci. 2011, 163, 90–122. [Google Scholar] [CrossRef] [PubMed]
- Medina, N.; Espinosa, H.; Trombotto, S.; Ayora, T.; Patrón, J.; González, T.; Sánchez, Á.; Cuevas, J.C.; Pacheco, N. Ultrasound-Assisted Extraction Optimization of Phenolic Compounds from Citrus latifolia Waste for Chitosan Bioactive Nanoparticles Development. Molecules 2019, 24, 3541. [Google Scholar] [CrossRef]
- Tefas, L.R.; Tomuţă, I.; Achim, M.; Vlase, L. Development and optimization of quercetin-loaded plga nanoparticles by experimental design. Clujul Med. 2015, 88, 214–223. [Google Scholar] [CrossRef]
- AlMotwaa, S.; Al-Otaibi. W. Formulation design, statistical optimization and in vitro biological activities of nano-emulsion containing essential oil from cotton-lavender (Santolina chamaecyparissus L.). J. Drug Deliv. Sci. Technol. 2022, 75, 103664. [Google Scholar] [CrossRef]
- Almeida, K.B.; Ramos, A.S.; Nunes, J.B.B.; Silva, B.O.; Ferraz, E.R.A.; Fernandes, A.S.; Falcao, D.Q. PLGA nanoparticles optimized by Box-Behnken for efficient encapsulation of therapeutic Cymbopogon citratus essential oil. Colloids Surf. B Biointerfaces 2019, 181, 935–942. [Google Scholar] [CrossRef]
- Soliman, N.M.; Shakeel, F.; Haq, N.; Alanazi, F.K.; Alshehri, S.; Bayomi, M.; Alenazi, A.S.M.; Alsarra, I.A. Development and Optimization of Ciprofloxacin HCl-Loaded Chitosan Nanoparticles Using Box–Behnken Experimental Design. Molecules 2022, 27, 4468. [Google Scholar] [CrossRef]
- Pabast, M.; Shariatifar, N.; Beikzadeh, S.; Jahed. G. Effects of chitosan coatings incorporating with free or nano-encapsulated Satureja plant essential oil on quality characteristics of lamb meat. Food Control 2018, 91, 185–192. [Google Scholar] [CrossRef]
- Pinho Neves, A.L.; Milioli, C.C.; Müller, L.; Riella, H.G.; Kuhnen, N.C.; Stulzer, H.K. Factorial design as tool in chitosan nanoparticles development by ionic gelation technique. Colloids Surf. A Physicochem. Eng. Asp. 2014, 445, 34–39. [Google Scholar] [CrossRef]
- Keawchaoon, L.; Yoksan, R. Preparation, characterization and in vitro release study of carvacrol-loaded chitosan nanoparticles. Colloids Surf. B Biointerfaces 2011, 84, 163–171. [Google Scholar] [CrossRef] [PubMed]
- De Campo, C.; Pereira dos Santos, P.; Costa, T.; Paese, K.; Guterres, S.; De Oliveira Rios, A.; Hickmann, S. Nanoencapsulation of chia seed oil with chia mucilage (Salvia hispanica L.) as wall material: Characterization and stability evaluation. Food Chem. 2017, 234, 1–9. [Google Scholar] [CrossRef]
- Ibraheem, D.; Agusti, G.; Elaissari, A.; Fessi, H. Preparation and Characterization of Albumin-Loaded Polycaprolactone Nanoparticles for In Vivo Applications. J. Colloid Sci. Biotechnol. 2014, 3, 160–166. [Google Scholar] [CrossRef]
- Sharififard, M.; Kouchak, M.; Alizadeh, I.; Jahanifard, E. Oregano (Origanum vulgar subsp. viride) Essential Oil: Extraction, Preparation, Characterization, and Encapsulation by Chitosan-Carbomer Nanoparticles for Biomedical Application. Jundishapur J. Nat. Pharm. Prod. 2021, 16, e101013. [Google Scholar] [CrossRef]
- Detsi, A.; Kavetsou, E.; Kostopoulou, I.; Pitterou, I.; Pontillo, A.R.N.; Tzani, A.; Christodoulou, P.; Siliachli, A.; Zoumpoulakis, P. Nanosystems for the Encapsulation of Natural Products: The Case of Chitosan Biopolymer as a Matrix. Pharmaceutics 2020, 12, 669. [Google Scholar] [CrossRef]
- Pashkunova-Martic, I.; Kremser, C.; Galanski, M.; Arion, V.; Debbage, P.; Jaschke, W.; Keppler, B. Lectin–Gd-Loaded Chitosan Hydrogel Nanoparticles: A New Biospecific Contrast Agent for MRI. Mol. Imaging Biol. 2010, 13, 16–24. [Google Scholar] [CrossRef]
- Alves, A.; Machado, S.; Cardoso, N.; Pinheiro, A.; Ricci, G.; Eneida, P.; Cereda, C.; Tófoli, G.; Ribeiro, D. Synthesis and characterization of nanostructured lipid-poloxamer organogels for enhanced skin local anesthesia. Eur. J. Pharm. Sci. 2019, 128, 270–278. [Google Scholar] [CrossRef]
- Li, Z.; Dong, J.; Zhang, Y.; Zhuang, T.; Wang, H.; Du, X.; Cui, X.; Wang, Z. Sono-catalysis preparation and alternating magnetic field/glutathione-triggered drug release kinetics of core-shell magnetic micro-organogel. Compos. Sci. Technol. 2022, 218, 109198. [Google Scholar] [CrossRef]
- Główka, E.; Wosicka, H.; Hyla, K.; Stefanowska, J.; Jastrzębska, K.; Klapiszewski, Ł.; Jesionowski, T.; Cal, K. Polymeric nanoparticles-embedded organogel for roxithromycin delivery to hair follicles. Eur. J. Pharm. Biopharm. 2014, 88, 75–84. [Google Scholar] [CrossRef]
- Shu, X.Z.; Zhu, K.J. The influence of multivalent phosphate structure on the properties of ionically cross-linked chitosan films for controlled drug release. Eur. J. Pharm. Biopharm. 2002, 54, 235–243. [Google Scholar] [CrossRef] [PubMed]
- Kamaly, N.; Yameen, B.; Wu, J.; Farokhzad, O.C. Degradable Controlled-Release Polymers and Polymeric Nanoparticles: Mechanisms of Controlling Drug Release. Chem. Rev. 2016, 116, 2602–2663. [Google Scholar] [CrossRef] [PubMed]
- Gallo, T.; Cattelan, M.; Alvim, I.; Nicoletti, V. Oregano essential oil encapsulated in alginate beads: Release kinetics as affected by electrostatic interaction with whey proteins and freeze-drying. J. Food Process. Preserv. 2020, 44, e14947. [Google Scholar] [CrossRef]
- Chen, X.W.; Chen, Y.J.; Wang, J.M.; Guo, J.; Yin, S.W.; Yang, X.Q. Tunable volatile release from organogel-emulsions based on the self-assembly of β-sitosterol and γ-oryzanol. Food Chem. 2017, 221, 1491–1498. [Google Scholar] [CrossRef]
- Zeng, L.; Lin, X.; Li, P.; Liu, F.Q.; Guo, H.; Li, W.H. Recent advances of organogels: From fabrications and functions to applications. Prog. Org. Coat. 2021, 159, 106417. [Google Scholar] [CrossRef]
- Corredor, M.; Vargas, D.; Mora, C. Hypromellose—Collagen hydrogels/sesame oil organogel based bigels as controlled drug delivery systems. J. Drug Deliv. Sci. Technol. 2022, 75, 103637. [Google Scholar] [CrossRef]
- Verlee, A.; Mincke, S.; Stevens, C. V Recent developments in antibacterial and antifungal chitosan and its derivatives. Carbohydr. Polym. 2017, 164, 268–283. [Google Scholar] [CrossRef]
- Mohammadi, A.; Hashemi, M.; Masoud, S. Effect of chitosan molecular weight as micro and nanoparticles on antibacterial activity against some soft rot pathogenic bacteria. LWT-Food Sci. Technol. 2016, 71, 347–355. [Google Scholar] [CrossRef]
- Nawaz, T.; Iqbal, M.; Khan, B.A.; Nawaz, A.; Hussain, T.; Hosny, K.M.; Abualsunun, W.A.; Rizg, W.Y. Development and Optimization of Acriflavine-Loaded Polycaprolactone Nanoparticles Using Box–Behnken Design for Burn Wound Healing Applications. Polymers 2022, 14, 101. [Google Scholar] [CrossRef]
- Alves-Silva, J.M.; Dias dos Santos, S.M.; Pintado, M.E.; Pérez-Álvarez, J.A.; Fernández-López, J.; Viuda-Martos, M. Chemical composition and in vitro antimicrobial, antifungal and antioxidant properties of essential oils obtained from some herbs widely used in Portugal. Food Control 2013, 32, 361–378. [Google Scholar] [CrossRef]










| Run | Independent Variables | Dependent Response | |||
|---|---|---|---|---|---|
| X1 | X2 | X3 | Y1 | Y2 | |
| 1 | 0 | 0 | 0 | 21.55 ± 1.31 | 5.81 ± 0.37 |
| 2 | 1 | 0 | 1 | 24.27 ± 0.60 | 5.87 ± 0.29 |
| 3 | 0 | 0 | 0 | 19.09 ± 0.85 | 5.14 ± 0.23 |
| 4 | −1 | 0 | 1 | 23.50 ± 1.39 | 6.15 ± 0.20 |
| 5 | 1 | −1 | 0 | 18.71 ± 0.53 | 4.15 ± 0.10 |
| 6 | 0 | 1 | 1 | 29.46 ± 0.63 | 10.24 ± 0.44 |
| 7 | 0 | 1 | −1 | 39.12 ± 0.96 | 12.97 ± 1.19 |
| 8 | 1 | 1 | 0 | 12.15 ± 0.44 | 3.86 ± 0.13 |
| 9 | −1 | 1 | 0 | 28.34 ± 3.10 | 9.05 ± 1.01 |
| 10 | 0 | 0 | 0 | 21.71 ± 0.44 | 5.77 ± 0.22 |
| 11 | 0 | 0 | 0 | 20.38 ± 0.69 | 5.50 ± 0.20 |
| 12 | 0 | 0 | 0 | 21.17 ± 1.02 | 5.68 ± 0.30 |
| 13 | 0 | −1 | 1 | 24.19 ± 0.41 | 6.38 ± 0.73 |
| 14 | −1 | 0 | −1 | 49.48 ± 0.80 | 12.39 ± 1.69 |
| 15 | −1 | −1 | 0 | 25.31 ± 4.38 | 5.64 ± 0.69 |
| 16 | 1 | 0 | −1 | 25.14 ± 1.49 | 6.85 ± 0.43 |
| 17 | 0 | −1 | −1 | 52.92 ± 0.65 | 11.74 ± 0.87 |
| Source | Y1 | Y2 | ||
|---|---|---|---|---|
| F-Value | p-Value Prob > F | F-Value | p-Value Prob > F | |
| Model | 58.10 | <0.0001 * | 106.09 | <0.0001 * |
| X1 | 76.84 | <0.0001 * | 140.78 | <0.0001 * |
| X2 | 5.20 | 0.0566 | 60.73 | 0.0001 * |
| X3 | 152.17 | <0.0001 * | 211.18 | <0.0001 * |
| X1X2 | 6.58 | 0.0373 * | 24.67 | 0.0016 * |
| X1X3 | 45.09 | 0.0003 * | 49.86 | 0.0002 * |
| X2X3 | 26.00 | 0.0014 * | 12.46 | 0.0096 * |
| X12 | 9.03 | 0.0198 * | 44.53 | 0.0003 * |
| X22 | 11.47 | 0.0116 * | 51.78 | 0.0002 * |
| X32 | 189.87 | <0.0001 * | 360.44 | <0.0001 * |
| Lack of Fit | 5.72 | 0.0626 not significant | 3.00 | 0.1583 not significant |
| R2 analysis | ||||
| R2 | 0.9868 | 0.9927 | ||
| Adjusted R2 | 0.9698 | 0.9834 | ||
| Predicted R2 | 0.8247 | 0.9159 | ||
| Adequate Precision | 27.4914 | 30.1171 | ||
| Model | ||||
| Remark | Quadratic | Quadratic | ||
| Response | Predicted Values | Experimental Values |
|---|---|---|
| Y1 (%) | 50.85 ± 1.86 | 52.64 ± 2.44 |
| Y2 (%) | 11.87 ± 0.37 | 11.56 ± 0.55 |
| Formulation | %EE | %LC | Particle Size (nm) | Zeta Potential (mV) | PDI |
|---|---|---|---|---|---|
| CSNP | -- | -- | 284.85 ± 1.04 | 21.49 ± 1.64 | 0.359 ± 0.01 |
| CEO-CSNPs | 52.64 ± 2.44 | 11.56 ± 0.55 | 458.50 ± 0.06 | 23.30 ± 2.15 | 0.418 ± 0.02 |
| Antimicrobial Activity MIC (µg/mL) | |||
|---|---|---|---|
| S. aureus ATCC 25923 | E. coli ATCC 25922 | S.infantis | |
| CSNPs | 21.14 | 42.29 | 42.29 |
| CEO-CSNPs | 5.29 | 10.57 | 10.57 |
| Independent Variable | Coded Levels | ||
| Low Level | Medium Level | High Level | |
| −1 | 0 | 1 | |
| X1: pH | 4.0 | 4.4 | 4.8 |
| X2: Chitosan: Chincho essential Oil-CS:CEO (w/v) | 1:0.7 | 1:0.85 | 1:1 |
| X3: Chitosan: TPP—CS:TPP (w/w) | 1:0.46 | 1:0.58 | 1:0.7 |
| Dependent Variables | Criteria | ||
| Y1: Encapsulation Efficiency EE (%) | Maximum | ||
| Y2: Loading Capacity (%) | Maximum | ||
Publisher’s Note: MDPI stays neutral with regard to jurisdictional claims in published maps and institutional affiliations. |
© 2022 by the authors. Licensee MDPI, Basel, Switzerland. This article is an open access article distributed under the terms and conditions of the Creative Commons Attribution (CC BY) license (https://creativecommons.org/licenses/by/4.0/).
Share and Cite
Cerrón-Mercado, F.; Salva-Ruíz, B.K.; Nolazco-Cama, D.; Espinoza-Silva, C.; Fernández-López, J.; Pérez-Alvarez, J.A.; Viuda-Martos, M. Development of Chincho (Tagetes elliptica Sm.) Essential Oil Organogel Nanoparticles through Ionic Gelation and Process Optimization with Box–Behnken Design. Gels 2022, 8, 815. https://doi.org/10.3390/gels8120815
Cerrón-Mercado F, Salva-Ruíz BK, Nolazco-Cama D, Espinoza-Silva C, Fernández-López J, Pérez-Alvarez JA, Viuda-Martos M. Development of Chincho (Tagetes elliptica Sm.) Essential Oil Organogel Nanoparticles through Ionic Gelation and Process Optimization with Box–Behnken Design. Gels. 2022; 8(12):815. https://doi.org/10.3390/gels8120815
Chicago/Turabian StyleCerrón-Mercado, Francis, Bettit K. Salva-Ruíz, Diana Nolazco-Cama, Clara Espinoza-Silva, Juana Fernández-López, Jose A. Pérez-Alvarez, and Manuel Viuda-Martos. 2022. "Development of Chincho (Tagetes elliptica Sm.) Essential Oil Organogel Nanoparticles through Ionic Gelation and Process Optimization with Box–Behnken Design" Gels 8, no. 12: 815. https://doi.org/10.3390/gels8120815
APA StyleCerrón-Mercado, F., Salva-Ruíz, B. K., Nolazco-Cama, D., Espinoza-Silva, C., Fernández-López, J., Pérez-Alvarez, J. A., & Viuda-Martos, M. (2022). Development of Chincho (Tagetes elliptica Sm.) Essential Oil Organogel Nanoparticles through Ionic Gelation and Process Optimization with Box–Behnken Design. Gels, 8(12), 815. https://doi.org/10.3390/gels8120815

