Viscoelastic Analysis of Pectin Hydrogels Regenerated from Citrus Pomelo Waste by Gelling Effects of Calcium Ion Crosslinking at Different pHs
Abstract
1. Introduction
2. Results and Discussion
2.1. Gelation Behavior of Aqueous Pectin at Different pHs
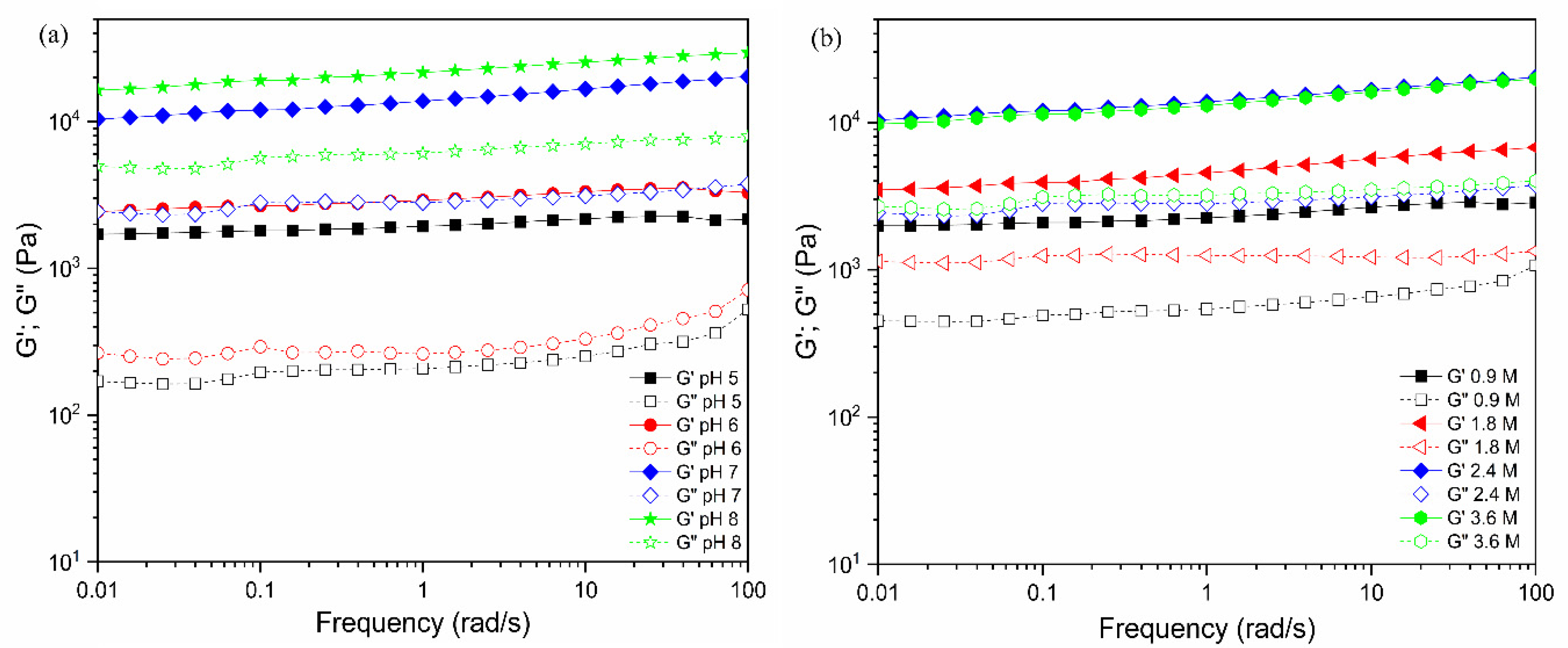
2.2. Viscoelastic Properties of Pectin Hydrogels
2.3. Characterization of Pectin Hydrogels for Changing Bulk pHs
3. Conclusions
4. Materials and Methods
4.1. Materials
4.2. Extraction of Pomelo Pectin
4.3. Preparation of Pectin Calcium Hydrogel
4.4. Characterization of Calcium Pectinate Hydrogels
Author Contributions
Funding
Institutional Review Board Statement
Informed Consent Statement
Conflicts of Interest
References
- Kobayashi, T.; Nakajima, L. Sustainable Development Goals for Advanced Materials Provided by Industrial Wastes and Biomass Sources. Curr. Opin. Green Sustain. Chem. 2021, 28, 100439. [Google Scholar] [CrossRef]
- Zhu, Z.; Gavahian, M.; Barba, F.J.; Roselló-Soto, E.; Bursać Kovačević, D.; Putnik, P.; Denoya, G.I. Valorization of Waste and By-Products from Food Industries through the Use of Innovative Technologies. Agri-Food Ind. Strateg. Health Diets Sustain. 2020, 249–266. [Google Scholar] [CrossRef]
- Di Donna, L.; Bartella, L.; De Vero, L.; Gullo, M.; Giuffrè, A.M.; Zappia, C.; Capocasale, M.; Poiana, M.; D’Urso, S.; Caridi, A. Vinegar Production from Citrus Bergamia By-Products and Preservation of Bioactive Compounds. Eur. Food Res. Technol. 2020, 246, 1981–1990. [Google Scholar] [CrossRef]
- Santi, G.; Crognale, S.; D’Annibale, A.; Petruccioli, M.; Ruzzi, M.; Valentini, R.; Moresi, M. Orange Peel Pretreatment in a Novel Lab-Scale Direct Steam-Injection Apparatus for Ethanol Production. Biomass Bioenergy 2014, 61, 146–156. [Google Scholar] [CrossRef]
- Le Normand, M.; Rietzler, B.; Vilaplana, F.; Ek, M. Macromolecular Model of the Pectic Polysaccharides Isolated from the Bark of Norway Spruce (Picea Abies). Polymers 2021, 13, 1106. [Google Scholar] [CrossRef]
- Yapo, B.M.; Koffi, K.L. Extraction and Characterization of Highly Gelling Low Methoxy Pectin from Cashew Apple Pomace. Foods 2014, 3, 1–12. [Google Scholar] [CrossRef]
- Freitas, C.M.P.; Coimbra, J.S.R.; Souza, V.G.L.; Sousa, R.C.S. Structure and Applications of Pectin in Food, Biomedical, and Pharmaceutical Industry: A Review. Coatings 2021, 11, 922. [Google Scholar] [CrossRef]
- Yu, C.-Y.; Cao, H.; Zhang, X.-C.; Zhou, F.-Z.; Cheng, S.-X.; Zhang, X.-Z.; Zhuo, R.-X. Hybrid Nanospheres and Vesicles Based on Pectin as Drug Carriers. Langmuir 2009, 25, 11720–11726. [Google Scholar] [CrossRef] [PubMed]
- Cao, L.; Lu, W.; Mata, A.; Nishinari, K.; Fang, Y. Egg-Box Model-Based Gelation of Alginate and Pectin: A Review. Carbohydr. Polym. 2020, 242, 116389. [Google Scholar] [CrossRef]
- Abboud, K.Y.; Iacomini, M.; Simas, F.F.; Cordeiro, L.M.C. High Methoxyl Pectin from the Soluble Dietary Fiber of Passion Fruit Peel Forms Weak Gel without the Requirement of Sugar Addition. Carbohydr. Polym. 2020, 246, 116616. [Google Scholar] [CrossRef] [PubMed]
- Fraeye, I.; Duvetter, T.; Doungla, E.; Loey, A.; Hendrickx, M. Fine-Tuning the Properties of Pectin–Calcium Gels by Control of Pectin Fine Structure, Gel Composition and Environmental Conditions. Trends food Sci. Lamp Technol. 2010, 21, 219–228. [Google Scholar] [CrossRef]
- Kastner, H.; Einhorn-Stoll, U.; Senge, B. Structure Formation in Sugar Containing Pectin Gels–Influence of Ca2+ on the Gelation of Low-Methoxylated Pectin at Acidic PH. Food Hydrocoll. 2012, 27, 42–49. [Google Scholar] [CrossRef]
- Cui, S.; Yao, B.; Gao, M.; Sun, X.; Gou, D.; Hu, J.; Zhou, Y.; Liu, Y. Effects of Pectin Structure and Crosslinking Method on the Properties of Crosslinked Pectin Nanofibers. Carbohydr. Polym. 2017, 157, 766–774. [Google Scholar] [CrossRef] [PubMed]
- Da Silva, M.A.; Bierhalz, A.C.K.; Kieckbusch, T.G. Alginate and Pectin Composite Films Crosslinked with Ca2+ Ions: Effect of the Plasticizer Concentration. Carbohydr. Polym. 2009, 77, 736–742. [Google Scholar] [CrossRef]
- Capel, F.; Nicolai, T.; Durand, D.; Boulenguer, P.; Langendorff, V. Calcium and Acid Induced Gelation of (Amidated) Low Methoxyl Pectin. Food Hydrocoll. 2006, 20, 901–907. [Google Scholar] [CrossRef]
- Luzio, G.A.; Cameron, R.G. Demethylation of a Model Homogalacturonan with the Salt-Independent Pectin Methylesterase from Citrus: Part II. Structure-Function Analysis. Carbohydr. Polym. 2008, 71, 300–309. [Google Scholar] [CrossRef]
- Limberg, G.; Körner, R.; Buchholt, H.C.; Christensen, T.M.I.E.; Roepstorff, P.; Mikkelsen, J.D. Quantification of the Amount of Galacturonic Acid Residues in Blocksequences in Pectin Homogalacturonan by Enzymatic Fingerprinting with Exo- and Endo-Polygalacturonase II from Aspergillus Niger. Carbohydr. Res. 2000, 327, 321–332. [Google Scholar] [CrossRef] [PubMed]
- Fraeye, I.; Doungla Ngouemazong, E.; Duvetter, T.; Moldenaers, P.; Van Loey, A.; Hendrickx, M. Influence of Intrinsic and Extrinsic Factors on Rheology of Pectin-Calcium Gels. Food Hydrocoll. 2009, 23, 2069–2077. [Google Scholar] [CrossRef]
- Yang, Y.; Zhang, G.; Hong, Y.; Gu, Z.; Fang, F. Calcium Cation Triggers and Accelerates the Gelation of High Methoxy Pectin. Food Hydrocoll. 2013, 32, 228–234. [Google Scholar] [CrossRef]
- Moreira, H.R.; Munarin, F.; Gentilini, R.; Visai, L.; Granja, P.L.; Tanzi, M.C.; Petrini, P. Injectable Pectin Hydrogels Produced by Internal Gelation: PH Dependence of Gelling and Rheological Properties. Carbohydr. Polym. 2014, 103, 339–347. [Google Scholar] [CrossRef] [PubMed]
- Alba, K.; Kasapis, S.; Kontogiorgos, V. Influence of PH on Mechanical Relaxations in High Solids LM-Pectin Preparations. Carbohydr. Polym. 2015, 127, 182–188. [Google Scholar] [CrossRef][Green Version]
- Kastner, H.; Einhorn-Stoll, U.; Drusch, S. Structure Formation in Sugar Containing Pectin Gels-Influence of Gel Composition and Cooling Rate on the Gelation of Non-Amidated and Amidated Low-Methoxylated Pectin. Food Hydrocoll. 2017, 73, 13–20. [Google Scholar] [CrossRef]
- Fraeye, I.; Colle, I.; Vandevenne, E.; Duvetter, T.; Van Buggenhout, S.; Moldenaers, P.; Van Loey, A.; Hendrickx, M. Influence of Pectin Structure on Texture of Pectin–Calcium Gels. Innov. Food Sci. Emerg. Technol. 2010, 11, 401–409. [Google Scholar] [CrossRef]
- Iijima, M.; Hatakeyama, T.; Hatakeyama, H. Swelling Behaviour of Calcium Pectin Hydrogels by Thermomechanical Analysis in Water. Thermochim. Acta 2005, 431, 68–72. [Google Scholar] [CrossRef]
- Morishima, Y.; Kobayashi, T.; Nozakura, S. Electrostatic Potential and Polarity at the Molecular Surface of Polyelectrolytes as Probed by PH-Sensitive Chromophores Covalently Attached to the Main Chain. Macromolecules 1988, 21, 101–107. [Google Scholar] [CrossRef]
- Kobayashi, T.; Nagai, T.; Suzuki, T.; Nosaka, Y.; Fujii, N. Restricted Permeation of Dextransulfates by Electrostatic Barrier of Negatively Charged Ultrafiltration Membranes: Salt Effect on the Permeation. J. Memb. Sci. 1994, 86, 47–56. [Google Scholar] [CrossRef]
- Flutto, L. PECTIN | Properties and Determination. Encycl. Food Sci. Nutr. 2003, 4440–4449. [Google Scholar] [CrossRef]
- Manrique, G.D.; Lajolo, F.M. FT-IR Spectroscopy as a Tool for Measuring Degree of Methyl Esterification in Pectins Isolated from Ripening Papaya Fruit. Postharvest Biol. Technol. 2002, 25, 99–107. [Google Scholar] [CrossRef]
- Bichara, L.C.; Alvarez, P.E.; Fiori Bimbi, M.V.; Vaca, H.; Gervasi, C.; Brandán, S.A. Structural and Spectroscopic Study of a Pectin Isolated from Citrus Peel by Using FTIR and FT-Raman Spectra and DFT Calculations. Infrared Phys. Technol. 2016, 76, 315–327. [Google Scholar] [CrossRef]
- Kravtchenko, T.P.; Arnould, I.; Voragen, A.G.J.; Pilnik, W. Improvement of the Selective Depolymerization of Pectic Substances by Chemical β-Elimination in Aqueous Solution. Carbohydr. Polym. 1992, 19, 237–242. [Google Scholar] [CrossRef]
- Posé, S.; Kirby, A.R.; Mercado, J.A.; Morris, V.J.; Quesada, M.A. Structural Characterization of Cell Wall Pectin Fractions in Ripe Strawberry Fruits Using AFM. Carbohydr. Polym. 2012, 88, 882–890. [Google Scholar] [CrossRef]
- Wandee, Y.; Uttapap, D.; Mischnick, P. Yield and Structural Composition of Pomelo Peel Pectins Extracted under Acidic and Alkaline Conditions. Food Hydrocoll. 2019, 87, 237–244. [Google Scholar] [CrossRef]
- Jiang, H.; Kobayashi, T. Ultrasound Stimulated Release of Gallic Acid from Chitin Hydrogel Matrix. Mater. Sci. Eng. C 2017, 75, 478–486. [Google Scholar] [CrossRef] [PubMed]
- Wool, R.P. 12-Pressure-Sensitive Adhesives, Elastomers, and Coatings from Plant Oil. In Plastics Design Library; Ebnesajjad, S., Ed.; William Andrew Publishing: Boston, MA, USA, 2013; pp. 265–294. ISBN 978-1-4557-2834-3. [Google Scholar]
- Rudin, A.; Choi, P. Chapter 4-Mechanical Properties of Polymer Solids and Liquids; Rudin, A., Choi, P., Eds.; Academic Press: Boston, MA, USA, 2013; pp. 149–229. ISBN 978-0-12-382178-2. [Google Scholar]
- Noguchi, S.; Takaomi, K. Ultrasound Response of Viscoelastic Changes of Cellulose Hydrogels Triggered with Sono-Deviced Rheometer. Ultrason. Sonochem. 2020, 67, 105143. [Google Scholar] [CrossRef] [PubMed]
- Iresha, H.; Kobayashi, T. In Situ Viscoelasticity Behavior of Cellulose–Chitin Composite Hydrogels during Ultrasound Irradiation. Gels 2021, 7, 81. [Google Scholar] [CrossRef] [PubMed]







| pH | Water Content (%) a | Gelation Time (min) b | Calcium Concentration (M) | Gelation Time (min) b | Water Content (%) c | % Pectin Solution | Water Content (%) d |
|---|---|---|---|---|---|---|---|
| 5 | 1557 ± 18 | 17.9 | 0.9 | 6.1 | 1856 ± 15 | 1 | 2757 ± 44 |
| 6 | 1329 ± 20 | 7.8 | 1.8 | 4.2 | 1632 ± 23 | 2 | 1904 ± 29 |
| 7 | 1255 ± 18 | 4.3 | 2.4 | 4.3 | 1255 ± 18 | 3 | 1255 ± 18 |
| 8 | 1207 ± 32 | 3.0 | 3.6 | 5.6 | 1324 ± 16 | 4 | 991 ± 16 |
Publisher’s Note: MDPI stays neutral with regard to jurisdictional claims in published maps and institutional affiliations. |
© 2022 by the authors. Licensee MDPI, Basel, Switzerland. This article is an open access article distributed under the terms and conditions of the Creative Commons Attribution (CC BY) license (https://creativecommons.org/licenses/by/4.0/).
Share and Cite
Tran Vo, T.M.; Kobayashi, T.; Potiyaraj, P. Viscoelastic Analysis of Pectin Hydrogels Regenerated from Citrus Pomelo Waste by Gelling Effects of Calcium Ion Crosslinking at Different pHs. Gels 2022, 8, 814. https://doi.org/10.3390/gels8120814
Tran Vo TM, Kobayashi T, Potiyaraj P. Viscoelastic Analysis of Pectin Hydrogels Regenerated from Citrus Pomelo Waste by Gelling Effects of Calcium Ion Crosslinking at Different pHs. Gels. 2022; 8(12):814. https://doi.org/10.3390/gels8120814
Chicago/Turabian StyleTran Vo, Tu Minh, Takaomi Kobayashi, and Pranut Potiyaraj. 2022. "Viscoelastic Analysis of Pectin Hydrogels Regenerated from Citrus Pomelo Waste by Gelling Effects of Calcium Ion Crosslinking at Different pHs" Gels 8, no. 12: 814. https://doi.org/10.3390/gels8120814
APA StyleTran Vo, T. M., Kobayashi, T., & Potiyaraj, P. (2022). Viscoelastic Analysis of Pectin Hydrogels Regenerated from Citrus Pomelo Waste by Gelling Effects of Calcium Ion Crosslinking at Different pHs. Gels, 8(12), 814. https://doi.org/10.3390/gels8120814

