Fractal-Based Thermal Conductivity Prediction Modeling for Closed Mesoporous Polymer Gels
Abstract
1. Introduction
2. Results and Discussion
2.1. Model Verification
2.2. Factors Influencing the Equivalent Thermal Conductivity
2.2.1. Effect of the Cellular Structure
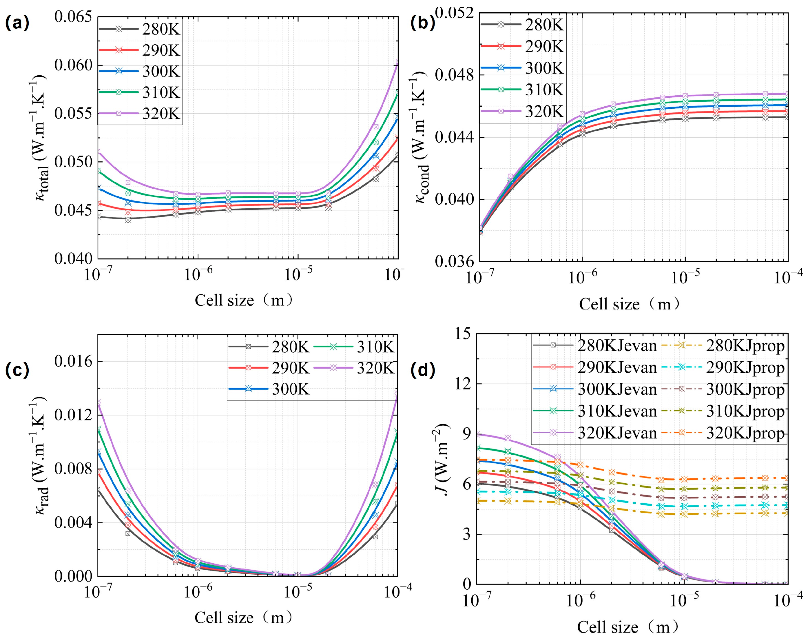
2.2.2. Effect of Temperature
2.2.3. Effect of Material Properties
3. Conclusions
4. Materials and Methods
4.1. Geometric Model
4.2. The Conductive Equivalent Thermal Conductivity
4.3. The Radiative Equivalent Thermal Conductivity
4.4. The Total Equivalent Thermal Conductivity
Supplementary Materials
Author Contributions
Funding
Institutional Review Board Statement
Informed Consent Statement
Data Availability Statement
Acknowledgments
Conflicts of Interest
Nomenclature
| A | cross-sectional area | m |
| c | speed of light in vacuum | m·s−1 |
| d | thickness | m |
| E | electric field vector | V·m−1 |
| G | dyadic Green function | m−1 |
| H | magnetic field vector | A·m−1 |
| ħ | Planck constant divided by 2π | J·s |
| J | energy flux density | W·m−2 |
| k | material extinction coefficient | - |
| kB | Boltzmann constant | J·K−1 |
| m | numbers of small air square | - |
| n | refractive index | - |
| n | normal vector | - |
| N | particle numbers unit numbers of small solid square | - |
| P | scattering phase function | - |
| r | radius of polymer particles/Fresnel reflection coefficient | m/- |
| S | specific surface area | m2·kg−1 |
| T | temperature | K |
| t | Fresnel transmission coefficient | - |
| q″ | heat flux | W·m−2 |
| x,y,z | coordinate direction | - |
| Θ | mean energy of the Planck oscillator | J |
| κ | thermal conductivity | W·m−1·K−1 |
| ρ | density | kg·m−3 |
| ε | relative permittivity | F·m−1 |
| α | material absorption coefficient | - |
| β | energy interaction between gaseous molecules and the solid surface | - |
| σ | the coefficient | - |
| σSB | Steven-Boltzmann constant. | - |
| λ | wavelength | m |
| φ | porosity | - |
| μ | the permeability | H·m−1 |
| ω | angular frequency | rad·s−1 |
| Λ | phonon mean free path | m |
| Subscript | ||
| a | absorption | |
| bulk | dielectric skeleton | |
| cond | thermal conduction | |
| e | extinction | |
| evan | evanescent wave | |
| g | gas | |
| H | cell size | |
| mp | maximum emissive power peak | |
| p | equivalent pore size | |
| prop | propagating wave | |
| rad | thermal radiation | |
| s | solid/scattering | |
| total | total heat transfer | |
| w | equivalent wall size | |
| z | z direction | |
| Superscript | ||
| s | s polarization | |
| p | p polarization | |
References
- Visser, C.W.; Amato, D.N.; Mueller, J.; Lewis, J.A. Architected polymer foams via direct bubble writing. Adv. Mater. 2019, 31, 1904668. [Google Scholar] [CrossRef] [PubMed]
- He, D.; Zhang, Z.; Wang, G.; Liu, K.; Wang, H.; Xu, Z.; Zhang, Y. Mechanism Analysis of Bubble Discharge Within Silicone Gels Under Pulsed Electric Field. Gels 2024, 10, 799. [Google Scholar] [CrossRef] [PubMed]
- Palombo, M.; Barbetta, A.; Cametti, C.; Favero, G.; Capuani, S. Transient Anomalous Diffusion MRI Measurement Discriminates Porous Polymeric Matrices Characterized by Different Sub-Microstructures and Fractal Dimension. Gels 2022, 8, 95. [Google Scholar] [CrossRef]
- Chai, J.; Wang, G.; Wang, G.; Shao, R.; Zhao, J.; Zhao, G.; Park, C.B. Porous and Conductive Fiber Woven Textile for Multi-Functional Protection, Personal Warmth, and Intelligent Motion/Temperature Perception. Adv. Funct. Mater. 2025, 35, 2416428. [Google Scholar] [CrossRef]
- Yu, H.; Zhang, H.; Zhao, J.; Liu, J.; Xia, X.; Wu, X. Thermal conductivity of micro/nano-porous polymers: Prediction models and applications. Front. Phys. 2022, 17, 23202. [Google Scholar] [CrossRef]
- Yu, H.; Zhang, H.; Buahom, P.; Liu, J.; Xia, X.; Park, C.B. Prediction of thermal conductivity of micro/nano porous dielectric materials: Theoretical model and impact factors. Energy 2021, 233, 121140. [Google Scholar] [CrossRef]
- Gong, P.; Wang, G.; Tran, M.P.; Buahom, P.; Zhai, S.; Li, G.; Park, C.B. Advanced bimodal polystyrene/multi-walled carbon nanotube nanocomposite foams for thermal insulation. Carbon 2017, 120, 1–10. [Google Scholar] [CrossRef]
- Fricke, J.; Lu, X.; Wang, P.; Büttner, D.; Heinemann, U. Optimization of monolithic silica aerogel insulants. Int. J. Heat Mass Transf. 1992, 35, 2305–2309. [Google Scholar] [CrossRef]
- Swimm, K.; Reichenauer, G.; Vidi, S.; Ebert, H.P. Gas pressure dependence of the heat transport in porous solids with pores smaller than 10 μm. Int. J. Thermophys. 2009, 30, 1329–1342. [Google Scholar] [CrossRef]
- Wei, G.; Liu, Y.; Zhang, X.; Yu, F.; Du, X. Thermal conductivities study on silica aerogel and its composite insulation materials. Int. J. Heat Mass Transf. 2011, 54, 2355–2366. [Google Scholar] [CrossRef]
- Li, X.; Lin, J.; Wu, J.; Liu, M.; Du, P.; Xu, L.; Yan, D.; Jia, L.; Li, Z. Stretchable and Leakage-Free Liquid Metal Networks for Thermal Management. Adv. Funct. Mater. 2025, 2420839. [Google Scholar] [CrossRef]
- Wang, G.; Wang, C.; Zhao, J.; Wang, G.; Park, C.B.; Zhao, G.; Janssen, H. Correction: Modelling of thermal transport through a nanocellular polymer foam: Toward the generation of a new superinsulating material. Nanoscale 2018, 10, 20469–20473. [Google Scholar] [CrossRef] [PubMed]
- Notario, B.; Pinto, J.; Solorzano, E.; de Saja, J.A.; Dumon, M.; Rodríguez-Pérez, M.A. Experimental validation of the Knudsen effect in nanocellular polymeric foams. Polymer 2015, 56, 57–67. [Google Scholar] [CrossRef]
- Bernardo, V.; Martin-de Leon, J.; Pinto, J.; Verdejo, R.; Rodriguez-Perez, M.A. Modeling the heat transfer by conduction of nanocellular polymers with bimodal cellular structures. Polymer 2019, 160, 126–137. [Google Scholar] [CrossRef]
- Buahom, P.; Wang, C.; Alshrah, M.; Wang, G.; Gong, P.; Tran, M.P.; Park, C.B. Wrong expectation of superinsulation behavior from largely-expanded nanocellular foams. Nanoscale 2020, 12, 13064–13085. [Google Scholar] [CrossRef] [PubMed]
- Chaichi, M.; Bahramian, A.R. Theoretical relation of the structure and thermal properties of gradient thermal insulator aerogels using fractal geometry. Microporous Mesoporous Mater. 2022, 333, 111722. [Google Scholar] [CrossRef]
- Shen, Y.; Xu, P.; Qiu, S.; Rao, B.; Yu, B. A generalized thermal conductivity model for unsaturated porous media with fractal geometry. Int. J. Heat Mass Transf. 2020, 152, 119540. [Google Scholar] [CrossRef]
- Jiang, C.; Davey, K.; Prosser, R. A tessellated continuum approach to thermal analysis: Discontinuity networks. Contin. Mech. Thermodyn. 2017, 29, 145–186. [Google Scholar] [CrossRef]
- Jiang, J.; Zheng, L.; Jones, M.R.; Lu, Z.; Li, J. Estimating thermal conductivity of lightweight nanoporous cement pastes using a hybrid fractal model. Constr. Build. Mater. 2022, 327, 126941. [Google Scholar] [CrossRef]
- Pia, G.; Sanna, U. An intermingled fractal units model to evaluate pore size distribution influence on thermal conductivity values in porous materials. Appl. Therm. Eng. 2014, 65, 330–336. [Google Scholar] [CrossRef]
- Zhu, S.; Wu, S.; Fu, Y.; Guo, S. Prediction of particle-reinforced composite material properties based on an improved Halpin–Tsai model. AIP Adv. 2024, 14, 045339. [Google Scholar] [CrossRef]
- Yu, H.; Zhang, H.; Xia, X. A fractal-skeleton model of high porosity macroporous aluminum and its heat transfer characterizes. J. Therm. Anal. Calorim. 2020, 141, 351–360. [Google Scholar] [CrossRef]
- Sundarram, S.S.; Li, W. On thermal conductivity of micro-and nanocellular polymer foams. Polym. Eng. Sci. 2013, 53, 1901–1909. [Google Scholar] [CrossRef]
- Han, Y.F.; Xia, X.L.; Tan, H.P.; Liu, H.D. Modeling of phonon heat transfer in spherical segment of silica aerogel grains. Phys. B Condens. Matter 2013, 420, 58–63. [Google Scholar] [CrossRef]
- Zeng, T.; Liu, W. Phonon heat conduction in micro-and nano-core-shell structures with cylindrical and spherical geometries. J. Appl. Phys. 2003, 93, 4163–4168. [Google Scholar] [CrossRef]
- He, Y.L.; Xie, T. Advances of thermal conductivity models of nanoscale silica aerogel insulation material. Appl. Therm. Eng. 2015, 81, 28–50. [Google Scholar] [CrossRef]
- Howell, J.R.; Siegel, R.; Mengüç, M.P. Thermal Radiation Heat Transfer, 5th ed.; CRC Press: Boca Raton, FL, USA, 2010. [Google Scholar]
- Fu, Q.; Liou, K.N.; Cribb, M.C.; Charlock, T.P.; Grossman, A. Multiple scattering parameterization in thermal infrared radiative transfer. J. Atmos. Sci. 1997, 54, 2799–2812. [Google Scholar] [CrossRef]
- Pelissari, P.I.; Angélico, R.A.; Salvini, V.R.; Vivaldini, D.O.; Pandolfelli, V.C. Analysis and modeling of the pore size effect on the thermal conductivity of alumina foams for high temperature applications. Ceram. Int. 2017, 43, 13356–13363. [Google Scholar] [CrossRef]
- Notario, B.; Pinto, J.; Rodriguez-Perez, M.A. Nanoporous polymeric materials: A new class of materials with enhanced properties. Prog. Mater. Sci. 2016, 78, 93–139. [Google Scholar] [CrossRef]
- Notario, B.; Pinto, J.; Rodríguez-Pérez, M.A. Towards a new generation of polymeric foams: PMMA nanocellular foams with enhanced physical properties. Polymer 2015, 63, 116–126. [Google Scholar] [CrossRef]
- Tsuda, S.; Yamaguchi, S.; Kanamori, Y.; Yugami, H. Spectral and angular shaping of infrared radiation in a polymer resonator with molecular vibrational modes. Opt. Express 2018, 26, 6899–6915. [Google Scholar] [CrossRef]
- Assael, M.J.; Antoniadis, K.D.; Wu, J. New measurements of the thermal conductivity of PMMA, BK7, and Pyrex 7740 up to 450K. Int. J. Thermophys. 2008, 29, 1257–1266. [Google Scholar] [CrossRef]
- Zhao, J.J.; Duan, Y.Y.; Wang, X.D.; Wang, B.X. Experimental and analytical analyses of the thermal conductivities and high-temperature characteristics of silica aerogels based on microstructures. J. Phys. D Appl. Phys. 2012, 46, 015304. [Google Scholar] [CrossRef]
- Martín-de León, J.; Bernardo, V.; Rodríguez-Pérez, M.Á. Nanocellular polymers: The challenge of creating cells in the nanoscale. Materials 2019, 12, 797. [Google Scholar] [CrossRef] [PubMed]
- De Groot, S.R.; Mazur, P. Non-Equilibrium Thermodynamics; Dover Publications: Garden City, NY, USA, 1984. [Google Scholar]
- Bejan, A. Advanced Engineering Thermodynamics; John Wiley & Sons: Hoboken, NJ, USA, 2016. [Google Scholar]
- Winterbone, D.; Turan, A. Advanced Thermodynamics for Engineers; Butterworth-Heinemann: Waltham, MA, USA, 2015. [Google Scholar]
- Gu, X.; Li, S.; Bao, H. Thermal conductivity of silicon at elevated temperature: Role of four-phonon scattering and electronic heat conduction. Int. J. Heat Mass Transf. 2020, 160, 120165. [Google Scholar] [CrossRef]
- Lee, S.H.; Jang, S.P. Extinction coefficient of aqueous nanofluids containing multi-walled carbon nanotubes. Int. J. Heat Mass Transf. 2013, 67, 930–935. [Google Scholar] [CrossRef]
- Lee, S.T.; Park, C.B.; Ramesh, N.S. Polymeric Foams: Science and Technology; CRC Press: Boca Raton, FL, USA, 2016. [Google Scholar]
- Tan, H.; Liu, L.; Yi, H.; Zhao, J.; Qi, H.; Tan, J. Recent progress in computational thermal radiative transfer. Chin. Sci. Bull. 2009, 54, 4135–4147. [Google Scholar] [CrossRef]
- Xie, T.; He, Y.L.; Hu, Z.J. Theoretical study on thermal conductivities of silica aerogel composite insulating material. Int. J. Heat Mass Transf. 2013, 58, 540–552. [Google Scholar] [CrossRef]
- Xie, T.; He, Y.L. Heat transfer characteristics of silica aerogel composite materials: Structure reconstruction and numerical modeling. Int. J. Heat Mass Transf. 2016, 95, 621–635. [Google Scholar] [CrossRef]
- Jin, Y.; Wu, Y.; Li, H.; Zhao, M.; Pan, J. Definition of fractal topography to essential understanding of scale-invariance. Sci. Rep. 2017, 7, 46672. [Google Scholar] [CrossRef]
- Vacher, R.; Woignier, T.; Pelous, J.; Courtens, E. Structure and self-similarity of silica aerogels. Phys. Rev. B 1988, 37, 6500. [Google Scholar] [CrossRef] [PubMed]
- Paun, M.A.; Paun, V.A.; Paun, V.P. Acoustic fractional propagation in terms of porous xerogel and fractal parameters. Gels 2024, 10, 83. [Google Scholar] [CrossRef]
- Hayase, Y.; Ohta, T. Sierpinski gasket in a reaction-diffusion system. Phys. Rev. Lett. 1998, 81, 1726. [Google Scholar] [CrossRef]
- Ma, Y.; Yu, B.; Zhang, D.; Zou, M. A self-similarity model for effective thermal conductivity of porous media. J. Phys. D Appl. Phys. 2003, 36, 2157. [Google Scholar] [CrossRef]
- Saracco, G.P.; Gonnella, G.; Marenduzzo, D.; Orlandini, E. Equilibrium and dynamical behavior in the Vicsek model for self-propelled particles under shear. Cent. Eur. J. Phys. 2012, 10, 1109–1115. [Google Scholar] [CrossRef]
- Chen, G. Nonlocal and nonequilibrium heat conduction in the vicinity of nanoparticles. J. Heat Transf. 1996, 118, 539–545. [Google Scholar] [CrossRef]
- Obori, M.; Suh, D.; Yamasaki, S.; Kodama, T.; Saito, T.; Isogai, A.; Shiomi, J. Parametric model to analyze the components of the thermal conductivity of a cellulose-nanofibril aerogel. Phys. Rev. Appl. 2019, 11, 024044. [Google Scholar] [CrossRef]
- Tang, G.H.; Tao, W.Q.; He, Y.L. Gas slippage effect on microscale porous flow using the lattice Boltzmann method. Phys. Rev. E—Stat. Nonlinear Soft Matter Phys. 2005, 72, 056301. [Google Scholar] [CrossRef]
- Zhang, Z.M.; Zhang, Z.M.; Luby. Nano/Microscale Heat Transfer; McGraw-Hill: New York, NY, USA, 2007; Volume 410. [Google Scholar]
- Lin, Z.; Lan, Y.; Huang, C. Reduced thermal conductivity of nanoparticle packed bed by hybrid design. Int. J. Heat Mass Transf. 2020, 162, 120340. [Google Scholar] [CrossRef]
- Lin, Z.Z.; Huang, C.L.; Luo, D.C.; Feng, Y.H.; Zhang, X.X.; Wang, G. Thermal performance of metallic nanoparticles in air. Appl. Therm. Eng. 2016, 105, 686–690. [Google Scholar] [CrossRef]
- Singh, R.; Kasana, H.S. Computational aspects of effective thermal conductivity of highly porous metal foams. Appl. Therm. Eng. 2004, 24, 1841–1849. [Google Scholar] [CrossRef]
- Shen, S.; Narayanaswamy, A.; Chen, G. Surface phonon polaritons mediated energy transfer between nanoscale gaps. Nano Lett. 2009, 9, 2909–2913. [Google Scholar] [CrossRef] [PubMed]
- Shen, S.; Henry, A.; Tong, J.; Zheng, R.; Chen, G. Polyethylene nanofibres with very high thermal conductivities. Nat. Nanotechnol. 2010, 5, 251–255. [Google Scholar] [CrossRef]
- Liu, X.; Wang, L.; Zhang, Z.M. Near-field thermal radiation: Recent progress and outlook. Nanoscale Microscale Thermophys. Eng. 2015, 19, 98–126. [Google Scholar] [CrossRef]
- Rytov, S.M.; Kravcov, J.A.; Tatarskij, V.I. Principles of Statistical Radiophysics; Springer: Berlin/Heidelberg, Germany, 1987. [Google Scholar]
- Chen, A.; Chai, J.; Ren, X.; Li, M.; Yu, H.; Wang, G. A Novel Prediction Model for Thermal Conductivity of Open Microporous Metal Foam Based on Resonance Enhancement Mechanisms. Energies 2025, 18, 1529. [Google Scholar] [CrossRef]
- Basu, S.; Zhang, Z.M.; Fu, C.J. Review of near-field thermal radiation and its application to energy conversion. Int. J. Energy Res. 2009, 33, 1203–1232. [Google Scholar] [CrossRef]
- Xie, B.; Zhang, W.; Zhao, J.; Zheng, C.; Liu, L. Design of VO2-based spacecraft smart radiator with low solar absorptance. Appl. Therm. Eng. 2024, 236, 121751. [Google Scholar] [CrossRef]
- Basu, S.; Zhang, Z.M. Maximum energy transfer in near-field thermal radiation at nanometer distances. J. Appl. Phys. 2009, 105, 093535. [Google Scholar] [CrossRef]
- Wu, X.; Fu, C.; Zhang, Z.M. Effect of orientation on the directional and hemispherical emissivity of hyperbolic metamaterials. Int. J. Heat Mass Transf. 2019, 135, 1207–1217. [Google Scholar] [CrossRef]
- Bernardo, V.; Martin-de Leon, J.; Pinto, J.; Schade, U.; Rodriguez-Perez, M.A. On the interaction of infrared radiation and nanocellular polymers: First experimental determination of the extinction coefficient. Colloids Surf. A Physicochem. Eng. Asp. 2020, 600, 124937. [Google Scholar] [CrossRef]
- Martín-de León, J.; Pura, J.L.; Bernardo, V.; Rodríguez-Pérez, M.Á. Transparent nanocellular PMMA: Characterization and modeling of the optical properties. Polymer 2019, 170, 16–23. [Google Scholar] [CrossRef]
- Zhao, L. Radiative Transport in Transparent Aerogels for Solar Thermal Energy Applications. Ph.D. Thesis, Massachusetts Institute of Technology, Cambridge, MA, USA, 2019. [Google Scholar]









Disclaimer/Publisher’s Note: The statements, opinions and data contained in all publications are solely those of the individual author(s) and contributor(s) and not of MDPI and/or the editor(s). MDPI and/or the editor(s) disclaim responsibility for any injury to people or property resulting from any ideas, methods, instructions or products referred to in the content. |
© 2025 by the authors. Licensee MDPI, Basel, Switzerland. This article is an open access article distributed under the terms and conditions of the Creative Commons Attribution (CC BY) license (https://creativecommons.org/licenses/by/4.0/).
Share and Cite
Yu, H.; Li, M.; Guo, N.; Chen, A.; Zhang, H.; Du, M. Fractal-Based Thermal Conductivity Prediction Modeling for Closed Mesoporous Polymer Gels. Gels 2025, 11, 391. https://doi.org/10.3390/gels11060391
Yu H, Li M, Guo N, Chen A, Zhang H, Du M. Fractal-Based Thermal Conductivity Prediction Modeling for Closed Mesoporous Polymer Gels. Gels. 2025; 11(6):391. https://doi.org/10.3390/gels11060391
Chicago/Turabian StyleYu, Haiyan, Mingdong Li, Ning Guo, Anqi Chen, Haochun Zhang, and Mu Du. 2025. "Fractal-Based Thermal Conductivity Prediction Modeling for Closed Mesoporous Polymer Gels" Gels 11, no. 6: 391. https://doi.org/10.3390/gels11060391
APA StyleYu, H., Li, M., Guo, N., Chen, A., Zhang, H., & Du, M. (2025). Fractal-Based Thermal Conductivity Prediction Modeling for Closed Mesoporous Polymer Gels. Gels, 11(6), 391. https://doi.org/10.3390/gels11060391

