Genomic Features of Taiwanofungus gaoligongensis and the Transcriptional Regulation of Secondary Metabolite Biosynthesis
Abstract
1. Introduction
2. Materials and Methods
2.1. Microbial Strains and Culture Conditions
2.2. Preparation of Culture Media
2.3. Genome Sequencing and Assembly
2.4. Gene Prediction and Annotation
2.5. Secondary Metabolite Biosynthesis Gene Cluster Analysis
2.6. Cluster Analysis
2.7. Synteny Analysis
2.8. Prediction of TPS Proteins
2.9. Identification and Analysis of Transcription Factors
2.10. Transcriptome Sequencing and Differential Gene Expression Analysis
2.11. Real-Time Quantitative Fluorescence PCR
2.12. Prediction of Transcription Factor Binding Sites
3. Results
3.1. Basic Features of the T. gaoligongensis Genome
3.1.1. Genome Annotation
3.1.2. Genome Annotation of T. gaoligongensis
3.1.3. Additional Annotation of T. gaoligongensis
Pathogen–Host Interactions (PHI)
Carbohydrate Genes
Transporter Classification Database
3.2. Genomic Characteristics of 12 Strains
3.3. Analysis of Secondary Metabolite Biosynthesis Gene Cluster
3.4. Synteny Analysis of Four Species of Polyporales
3.5. Characterization of TgTPS Proteins
3.6. Construction and Comparative Analysis of the TPS Phylogenetic Tree
3.7. Identification and Analysis of Transcription Factors in T. gaoligongensis
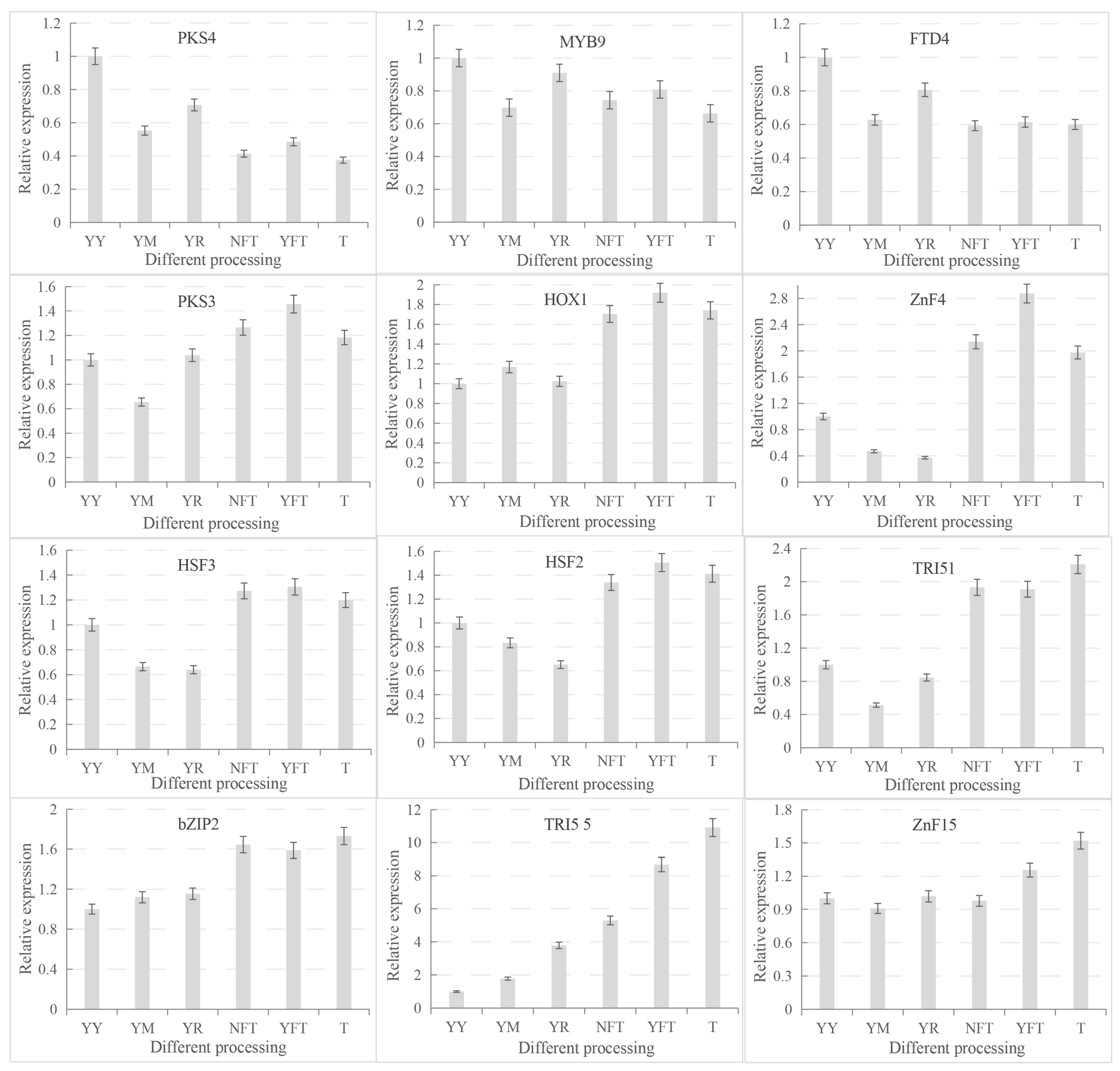
3.8. Gene Expression Analysis of TgPKS, TgTPS, and TgTFs Under Different Cultivation Conditions
3.9. Quantitative Real-Time PCR Analysis
3.10. Prediction of TgTFs Binding Sites in the Promoter Regions of TgPKS and TgTPS Genes
4. Discussion
5. Conclusions
Supplementary Materials
Author Contributions
Funding
Institutional Review Board Statement
Informed Consent Statement
Data Availability Statement
Conflicts of Interest
References
- Vassaux, A.; Meunier, L.; Vandenbol, M.; Baurain, D.; Fickers, P.; Jacques, P.; Leclère, V. Nonribosomal peptides in fungal cell factories: From genome mining to optimized heterologous production. Biotechnol. Adv. 2019, 37, 107449. [Google Scholar] [CrossRef] [PubMed]
- Keller, N.P.; Turner, G.; Bennett, J.W. Fungal secondary metabolism—From biochemistry to genomics. Nat. Rev. Microbiol. 2005, 3, 937–947. [Google Scholar] [CrossRef]
- Sousa-Pimenta, M.; Estevinho, L.M.; Szopa, A.; Basit, M.; Khan, K.; Armaghan, M.; Ibrayeva, M.; Sönmez Gürer, E.; Calina, D.; Hano, C. Chemotherapeutic properties and side-effects associated with the clinical practice of terpene alkaloids: Paclitaxel, docetaxel, and cabazitaxel. Front. Pharmacol. 2023, 14, 1157306. [Google Scholar] [CrossRef] [PubMed]
- Cox, R.J. Polyketides, proteins and genes in fungi: Programmed nano-machines begin to reveal their secrets. Org. Biomol. Chem. 2007, 5, 2010–2026. [Google Scholar] [CrossRef] [PubMed]
- Kroken, S.; Glass, N.L.; Taylor, J.W.; Yoder, O.; Turgeon, B.G. Phylogenomic analysis of type I polyketide synthase genes in pathogenic and saprobic ascomycetes. Proc. Natl. Acad. Sci. USA 2003, 100, 15670–15675. [Google Scholar] [CrossRef]
- Buyachuihan, L.; Stegemann, F.; Grininger, M. How acyl carrier proteins (ACPs) direct fatty acid and polyketide biosynthesis. Angew. Chem. Int. Ed. 2024, 63, e202312476. [Google Scholar] [CrossRef]
- Beck, J.; Ripka, S.; Siegner, A.; Schiltz, E.; Schweizer, E. The multifunctional 6-methylsalicylic acid synthase gene of Penicillium patulum Its gene structure relative to that of other polyketide synthases. Eur. J. Biochem. 1990, 192, 487–498. [Google Scholar] [CrossRef]
- Ashour, M.; Wink, M.; Gershenzon, J. Biochemistry of terpenoids: Monoterpenes, sesquiterpenes and diterpenes. In Annual Plant Reviews Volume 40: Biochemistry of Plant Secondary Metabolism; Blackwell Publishing Ltd.: Hoboken, NJ, USA, 2010; pp. 258–303. [Google Scholar]
- Wu, W.; Tran, W.; Taatjes, C.A.; Alonso-Gutierrez, J.; Lee, T.S.; Gladden, J.M. Rapid discovery and functional characterization of terpene synthases from four endophytic Xylariaceae. PLoS ONE 2016, 11, e0146983. [Google Scholar] [CrossRef]
- Keeling, C.I.; Weisshaar, S.; Lin, R.P.; Bohlmann, J. Functional plasticity of paralogous diterpene synthases involved in conifer defense. Proc. Natl. Acad. Sci. USA 2008, 105, 1085–1090. [Google Scholar] [CrossRef]
- Osbourn, A. Secondary metabolic gene clusters: Evolutionary toolkits for chemical innovation. Trends Genet. 2010, 26, 449–457. [Google Scholar] [CrossRef]
- Brakhage, A.A. Regulation of fungal secondary metabolism. Nat. Rev. Microbiol. 2013, 11, 21–32. [Google Scholar] [CrossRef] [PubMed]
- Lyu, H.-N.; Liu, H.-W.; Keller, N.P.; Yin, W.-B. Harnessing diverse transcriptional regulators for natural product discovery in fungi. Nat. Prod. Rep. 2020, 37, 6–16. [Google Scholar] [CrossRef] [PubMed]
- Russell, A.H.; Truman, A.W. Genome mining strategies for ribosomally synthesised and post-translationally modified peptides. Comput. Struct. Biotechnol. J. 2020, 18, 1838–1851. [Google Scholar] [CrossRef] [PubMed]
- Chu, L.; Huang, J.; Muhammad, M.; Deng, Z.; Gao, J. Genome mining as a biotechnological tool for the discovery of novel marine natural products. Crit. Rev. Biotechnol. 2020, 40, 571–589. [Google Scholar] [CrossRef]
- Lu, M.-Y.J.; Fan, W.-L.; Wang, W.-F.; Chen, T.; Tang, Y.-C.; Chu, F.-H.; Chang, T.-T.; Wang, S.-Y.; Li, M.-y.; Chen, Y.-H. Genomic and transcriptomic analyses of the medicinal fungus Antrodia cinnamomea for its metabolite biosynthesis and sexual development. Proc. Natl. Acad. Sci. USA 2014, 111, E4743–E4752. [Google Scholar] [CrossRef]
- Chen, C.-L.; Li, W.-C.; Chuang, Y.-C.; Liu, H.-C.; Huang, C.-H.; Lo, K.-Y.; Chen, C.-Y.; Chang, F.-M.; Chang, G.-A.; Lin, Y.-L. Sexual crossing, chromosome-level genome sequences, and comparative genomic analyses for the medicinal mushroom Taiwanofungus camphoratus (Syn. Antrodia Cinnamomea, Antrodia Camphorata). Microbiol. Spectr. 2022, 10, e02032-02021. [Google Scholar] [CrossRef]
- Chen, S.; Xu, J.; Liu, C.; Zhu, Y.; Nelson, D.R.; Zhou, S.; Li, C.; Wang, L.; Guo, X.; Sun, Y. Genome sequence of the model medicinal mushroom Ganoderma lucidum. Nat. Commun. 2012, 3, 913. [Google Scholar] [CrossRef]
- Jiang, N.; Hu, S.; Peng, B.; Li, Z.; Yuan, X.; Xiao, S.; Fu, Y. Genome of Ganoderma species provides insights into the evolution, conifers substrate utilization, and terpene synthesis for Ganoderma tsugae. Front. Microbiol. 2021, 12, 724451. [Google Scholar] [CrossRef]
- Duan, Y.; Han, H.; Qi, J.; Gao, J.-m.; Xu, Z.; Wang, P.; Zhang, J.; Liu, C. Genome sequencing of Inonotus obliquus reveals insights into candidate genes involved in secondary metabolite biosynthesis. BMC Genom. 2022, 23, 314. [Google Scholar] [CrossRef]
- Wu, S.-H.; Yu, Z.-H.; Dai, Y.-C.; Chen, C.-T.; Su, C.-H.; Chen, L.-C.; Hsu, W.-C.; Hwang, G.-Y. Taiwanofungus, a polypore new genus. Fungal Sci. 2004, 19, 109–116. [Google Scholar]
- Yin, Y.-H.; Yuan, X.-L.; Chen, Z.-H.; Yang, Y.-M.; Zheng, Y.; Wang, Y. Mitochondrial genome characterization and phylogenetic analysis of Taiwanofungus gaoligongensis. J. West China For. Sci. 2024, 53, 1–11+197. [Google Scholar] [CrossRef]
- Liu, Y.; Chen, R.; Li, L.; Dong, R.; Yin, H.; Wang, Y.; Yang, A.; Wang, J.; Li, C.; Wang, D. The triterpenoids-enriched extracts from Antrodia cinnamomea mycelia attenuate alcohol-induced chronic liver injury via suppression lipid accumulation in C57BL/6 mice. Food Sci. Hum. Wellness 2021, 10, 497–507. [Google Scholar] [CrossRef]
- Kuang, Y.; Li, B.; Wang, Z.; Qiao, X.; Ye, M. Terpenoids from the medicinal mushroom Antrodia camphorata: Chemistry and medicinal potential. Nat. Prod. Rep. 2021, 38, 83–102. [Google Scholar] [CrossRef] [PubMed]
- Yang, H.-L.; Tsai, C.-H.; Shrestha, S.; Lee, C.-C.; Liao, J.-W.; Hseu, Y.-C. Coenzyme Q0, a novel quinone derivative of Antrodia camphorata, induces ROS-mediated cytotoxic autophagy and apoptosis against human glioblastoma cells in vitro and in vivo. Food Chem. Toxicol. 2021, 155, 112384. [Google Scholar] [CrossRef] [PubMed]
- Zhang, Y.-D.; Liu, L.-Y.; Wang, D.; Yuan, X.-L.; Zheng, Y.; Wang, Y. Isolation and identification of bioactive compounds from Antrodia camphorata against ESKAPE pathogens. PLoS ONE 2023, 18, e0293361. [Google Scholar] [CrossRef]
- Chang, C.-J.; Lu, C.-C.; Lin, C.-S.; Martel, J.; Ko, Y.-F.; Ojcius, D.M.; Wu, T.-R.; Tsai, Y.-H.; Yeh, T.-S.; Lu, J. Antrodia cinnamomea reduces obesity and modulates the gut microbiota in high-fat diet-fed mice. Int. J. Obes. 2018, 42, 231–243. [Google Scholar] [CrossRef]
- Wang, C.; Zhang, W.; Wong, J.H.; Ng, T.; Ye, X. Diversity of potentially exploitable pharmacological activities of the highly prized edible medicinal fungus Antrodia camphorata. Appl. Microbiol. Biotechnol. 2019, 103, 7843–7867. [Google Scholar] [CrossRef]
- Yang, L.; Guan, R.; Shi, Y.; Ding, J.; Dai, R.; Ye, W.; Xu, K.; Chen, Y.; Shen, L.; Liu, Y. Comparative genome and transcriptome analysis reveal the medicinal basis and environmental adaptation of artificially cultivated Taiwanofungus camphoratus. Mycol. Prog. 2018, 17, 871–883. [Google Scholar] [CrossRef]
- Schubert, M.; Lindgreen, S.; Orlando, L. AdapterRemoval v2: Rapid adapter trimming, identification, and read merging. BMC Res. Notes 2016, 9, 1–7. [Google Scholar] [CrossRef]
- Walker, B.J.; Abeel, T.; Shea, T.; Priest, M.; Abouelliel, A.; Sakthikumar, S.; Cuomo, C.A.; Zeng, Q.; Wortman, J.; Young, S.K. Pilon: An integrated tool for comprehensive microbial variant detection and genome assembly improvement. PLoS ONE 2014, 9, e112963. [Google Scholar] [CrossRef]
- Stanke, M.; Morgenstern, B. AUGUSTUS: A web server for gene prediction in eukaryotes that allows user-defined constraints. Nucleic Acids Res. 2005, 33, W465–W467. [Google Scholar] [CrossRef] [PubMed]
- Majoros, W.H.; Pertea, M.; Salzberg, S.L. TigrScan and GlimmerHMM: Two open source ab initio eukaryotic gene-finders. Bioinformatics 2004, 20, 2878–2879. [Google Scholar] [CrossRef] [PubMed]
- Ter-Hovhannisyan, V.; Lomsadze, A.; Chernoff, Y.O.; Borodovsky, M. Gene prediction in novel fungal genomes using an ab initio algorithm with unsupervised training. Genome Res. 2008, 18, 1979–1990. [Google Scholar] [CrossRef] [PubMed]
- Haas, B.J.; Salzberg, S.L.; Zhu, W.; Pertea, M.; Allen, J.E.; Orvis, J.; White, O.; Buell, C.R.; Wortman, J.R. Automated eukaryotic gene structure annotation using EVidenceModeler and the Program to Assemble Spliced Alignments. Genome Biol. 2008, 9, 1–22. [Google Scholar] [CrossRef]
- Jones, P.; Binns, D.; Chang, H.-Y.; Fraser, M.; Li, W.; McAnulla, C.; McWilliam, H.; Maslen, J.; Mitchell, A.; Nuka, G. InterProScan 5: Genome-scale protein function classification. Bioinformatics 2014, 30, 1236–1240. [Google Scholar] [CrossRef]
- Fornes, O.; Castro-Mondragon, J.A.; Khan, A.; Van der Lee, R.; Zhang, X.; Richmond, P.A.; Modi, B.P.; Correard, S.; Gheorghe, M.; Baranašić, D. JASPAR 2020: Update of the open-access database of transcription factor binding profiles. Nucleic Acids Res. 2020, 48, D87–D92. [Google Scholar] [CrossRef]
- Lagesen, K.; Hallin, P.; Rødland, E.A.; Stærfeldt, H.-H.; Rognes, T.; Ussery, D.W. RNAmmer: Consistent and rapid annotation of ribosomal RNA genes. Nucleic Acids Res. 2007, 35, 3100–3108. [Google Scholar] [CrossRef]
- Griffiths-Jones, S. Annotating non-coding RNAs with Rfam. Curr. Protoc. Bioinform. 2005, 9, 12.15.11–12.15.12. [Google Scholar] [CrossRef]
- Urban, M.; Cuzick, A.; Seager, J.; Wood, V.; Rutherford, K.; Venkatesh, S.Y.; Sahu, J.; Iyer, S.V.; Khamari, L.; De Silva, N. PHI-base in 2022: A multi-species phenotype database for pathogen–host interactions. Nucleic Acids Res. 2022, 50, D837–D847. [Google Scholar] [CrossRef]
- Garron, M.-L.; Henrissat, B. The continuing expansion of CAZymes and their families. Curr. Opin. Chem. Biol. 2019, 53, 82–87. [Google Scholar] [CrossRef]
- Drula, E.; Garron, M.-L.; Dogan, S.; Lombard, V.; Henrissat, B.; Terrapon, N. The carbohydrate-active enzyme database: Functions and literature. Nucleic Acids Res. 2022, 50, D571–D577. [Google Scholar] [CrossRef] [PubMed]
- Saier Jr, M.H.; Reddy, V.S.; Tsu, B.V.; Ahmed, M.S.; Li, C.; Moreno-Hagelsieb, G. The transporter classification database (TCDB): Recent advances. Nucleic Acids Res. 2016, 44, D372–D379. [Google Scholar] [CrossRef] [PubMed]
- Sanchez, J.F.; Chiang, Y.-M.; Szewczyk, E.; Davidson, A.D.; Ahuja, M.; Oakley, C.E.; Bok, J.W.; Keller, N.; Oakley, B.R.; Wang, C.C. Molecular genetic analysis of the orsellinic acid/F9775 gene cluster of Aspergillus nidulans. Mol. Biosyst. 2010, 6, 587–593. [Google Scholar] [CrossRef] [PubMed]
- Wang, Y.; Kim, J.A.; Cheong, Y.H.; Joshi, Y.; Koh, Y.J.; Hur, J.-S. Isolation and characterization of a reducing polyketide synthase gene from the lichen-forming fungus Usnea longissima. J. Microbiol. 2011, 49, 473–480. [Google Scholar] [CrossRef]
- Peng, F.; Yanfang, S.; Kai, C.; Chengshu, W. Fungal biosynthesis of the bibenzoquinone oosporein to evade insect immunity. Proc. Natl. Acad. Sci. USA 2015, 112, 11365–11370. [Google Scholar]
- Hui, T.; Ikuro, A. Enzymology and biosynthesis of the orsellinic acid derived medicinal meroterpenoids. Curr. Opin. Biotechnol. 2020, 69, 52–59. [Google Scholar]
- Chen, G.-d.; Hu, D.; Huang, M.-J.; Tang, J.; Wang, X.-x.; Zou, J.; Xie, J.; Zhang, W.; Guo, L.-D.; Yao, X.-s.; et al. Sporormielones A-E, bioactive novel C-C coupled orsellinic acid derivative dimers, and their biosynthetic origin. Chem. Commun. 2020, 56, 4607–4610. [Google Scholar] [CrossRef]
- Yu, P.-W.; Cho, T.-Y.; Liou, R.F.; Tzean, S.-S.; Lee, T.-H. Identification of the orsellinic acid synthase PKS63787 for the biosynthesis of antroquinonols in Antrodia cinnamomea. Appl. Microbiol. Biotechnol. 2017, 101, 4701–4711. [Google Scholar] [CrossRef]
- Lu, P.; Zhang, A.; Dennis, L.; Dahl-Roshak, A.; Xia, Y.-Q.; Arison, B.; An, Z.; Tkacz, J. A gene (pks2) encoding a putative 6-methylsalicylic acid synthase from Glarea lozoyensis. Mol. Genet. Genom. 2005, 273, 207–216. [Google Scholar] [CrossRef]
- Xinyue, W.; Jiansheng, W.; Zhenwen, L.; Yi, W.; Xiaolong, Y.; Dong, W.; Junmei, N.; Yan, Y.; Jing, Z. Comparative genomic analysis of Sanghuangporus sanghuang with other Hymenochaetaceae species. Braz. J. Microbiol. 2023, 55, 87–100. [Google Scholar]
- Lin, T.-Y.; Chen, C.-Y.; Chien, S.-C.; Hsiao, W.-W.; Chu, F.-H.; Li, W.-H.; Lin, C.-C.; Shaw, J.-F.; Wang, S.-Y. Metabolite profiles for Antrodia cinnamomea fruiting bodies harvested at different culture ages and from different wood substrates. J. Agric. Food Chem. 2011, 59, 7626–7635. [Google Scholar] [CrossRef] [PubMed]
- He, J.; Hu, Z.; Dong, Z.; Li, B.; Chen, K.; Shang, Z.; Zhang, M.; Qiao, X.; Ye, M. Enzymatic O-Prenylation of Diverse Phenolic Compounds by a Permissive O-Prenyltransferase from the Medicinal Mushroom Antrodia camphorata. Adv. Synth. Catal. 2020, 362, 528–532. [Google Scholar] [CrossRef]
- Hewage, R.T.; Tseng, C.-C.; Liang, S.-Y.; Lai, C.-Y.; Lin, H.-C. Genome mining of cryptic bisabolenes that were biosynthesized by intramembrane terpene synthases from Antrodia cinnamomea. Philos. Trans. R. Soc. B 2023, 378, 20220033. [Google Scholar] [CrossRef] [PubMed]
- Chen, Z.; Ao, J.; Yang, W.; Jiao, L.; Zheng, T.; Chen, X. Purification and characterization of a novel antifungal protein secreted by Penicillium chrysogenum from an Arctic sediment. Appl. Microbiol. Biotechnol. 2013, 97, 10381–10390. [Google Scholar] [CrossRef]
- Cane, D.E.; Shim, J.H.; Xue, Q.; Fitzsimons, B.C.; Hohn, T.M. Trichodiene synthase. Identification of active site residues by site-directed mutagenesis. Biochemistry 1995, 34, 2480–2488. [Google Scholar] [CrossRef]
- Krska, R.; Baumgartner, S.; Josephs, R. The state-of-the-art in the analysis of type-A and-B trichothecene mycotoxins in cereals. Fresenius' J. Anal. Chem. 2001, 371, 285–299. [Google Scholar] [CrossRef]
- Crocoll, C.; Asbach, J.; Novak, J.; Gershenzon, J.; Degenhardt, J. Terpene synthases of oregano (Origanum vulgare L.) and their roles in the pathway and regulation of terpene biosynthesis. Plant Mol. Biol. 2010, 73, 587–603. [Google Scholar] [CrossRef]
- Sallaud, C.; Rontein, D.; Onillon, S.; Jabes, F.; Duffé, P.; Giacalone, C.; Thoraval, S.; Escoffier, C.; Herbette, G.; Leonhardt, N. A novel pathway for sesquiterpene biosynthesis from Z, Z-farnesyl pyrophosphate in the wild tomato Solanum habrochaites. Plant Cell 2009, 21, 301–317. [Google Scholar] [CrossRef]
- Yap, H.-Y.Y.; Muria-Gonzalez, M.J.; Kong, B.-H.; Stubbs, K.A.; Tan, C.-S.; Ng, S.-T.; Tan, N.-H.; Solomon, P.S.; Fung, S.-Y.; Chooi, Y.-H. Heterologous expression of cytotoxic sesquiterpenoids from the medicinal mushroom Lignosus rhinocerotis in yeast. Microb. Cell Factories 2017, 16, 1–13. [Google Scholar] [CrossRef]
- Mischko, W.; Hirte, M.; Fuchs, M.; Mehlmer, N.; Brück, T.B. Identification of sesquiterpene synthases from the Basidiomycota Coniophora puteana for the efficient and highly selective β-copaene and cubebol production in E. coli. Microb. Cell Factories 2018, 17, 164. [Google Scholar] [CrossRef]
- Agger, S.; Lopez-Gallego, F.; Schmidt-Dannert, C. Diversity of sesquiterpene synthases in the basidiomycete Coprinus cinereus. Mol. Microbiol. 2009, 72, 1181–1195. [Google Scholar] [CrossRef] [PubMed]
- Ding, Y.-X.; Ou-Yang, X.; Shang, C.-H.; Ren, A.; Shi, L.; Li, Y.-X.; Zhao, M.-W. Molecular cloning, characterization, and differential expression of a farnesyl-diphosphate synthase gene from the basidiomycetous fungus Ganoderma lucidum. Biosci. Biotechnol. Biochem. 2008, 72, 1571–1579. [Google Scholar] [CrossRef] [PubMed]
- Robinson, G.W.; Tsay, Y.H.; Kienzle, B.K.; Smith-Monroy, C.A.; Bishop, R.W. Conservation between human and fungal squalene synthetases: Similarities in structure, function, and regulation. Mol. Cell. Biol. 1993, 13, 2706–2717. [Google Scholar] [PubMed]
- Marecak, D.M.; Horiuchi, Y.; Arai, H.; Shimonaga, M.; Maki, Y.; Koyama, T.; Ogura, K.; Prestwich, G.D. Benzoylphenoxy analogs of isoprenoid diphosphates as photoactivatable substrates for bacterial prenyltransferases. Bioorganic Med. Chem. Lett. 1997, 7, 1973–1978. [Google Scholar] [CrossRef]
- Harris, C.M.; Poulter, C.D. Recent studies of the mechanism of protein prenylation. Nat. Prod. Rep. 2000, 17, 137–144. [Google Scholar] [CrossRef]
- Ruiz-Sola, M.Á.; Coman, D.; Beck, G.; Barja, M.V.; Colinas, M.; Graf, A.; Welsch, R.; Rütimann, P.; Bühlmann, P.; Bigler, L. Arabidopsis GERANYLGERANYL DIPHOSPHATE SYNTHASE 11 is a hub isozyme required for the production of most photosynthesis-related isoprenoids. New Phytol. 2016, 209, 252–264. [Google Scholar] [CrossRef]
- Dong, W.-g.; Wang, Z.-x.; Feng, X.-l.; Zhang, R.-q.; Shen, D.-y.; Du, S.; Gao, J.-m.; Qi, J. Chromosome-level genome sequences, comparative genomic analyses, and secondary-metabolite biosynthesis evaluation of the medicinal edible mushroom Laetiporus sulphureus. Microbiol. Spectr. 2022, 10, e02439-02422. [Google Scholar] [CrossRef]
- Zhang, Z.; Yi, W.; Long, Y.X.; Na, L.Y.; Niya, L.M.; Yuan, Z. Effects of Culture Mechanism of;Cinnamomum kanehirae;and;C. camphora;on the Expression of Genes Related to Terpene Biosynthesis in;Antrodia cinnamomea. Mycobiology 2022, 50, 121–131. [Google Scholar] [CrossRef]
- Jiao, C.J.; Zhang, Z.; Yi, W.; Long, Y.X.; Juan, W.; Ming, Y.Y.; Yuan, Z. Transcriptome Analysis of;Antrodia cinnamomea;Mycelia from Different Wood Substrates. Mycobiology 2023, 51, 49–59. [Google Scholar]
- Hautbergue, T.; Jamin, E.L.; Debrauwer, L.; Puel, O.; Oswald, I.P. From genomics to metabolomics, moving toward an integrated strategy for the discovery of fungal secondary metabolites. Nat. Prod. Rep. 2018, 35, 147–173. [Google Scholar] [CrossRef]
- Bergmann, S.; Schümann, J.; Scherlach, K.; Lange, C.; Brakhage, A.A.; Hertweck, C. Genomics-driven discovery of PKS-NRPS hybrid metabolites from Aspergillus nidulans. Nat. Chem. Biol. 2007, 3, 213–217. [Google Scholar] [CrossRef] [PubMed]
- Bok, J.W.; Keller, N.P. LaeA, a Regulator of Secondary Metabolism in Aspergillus spp. Eukaryot. Cell 2004, 3, 527–535. [Google Scholar] [CrossRef] [PubMed]
- Price, M.S.; Yu, J.; Nierman, W.C.; Kim, H.S.; Pritchard, B.; Jacobus, C.A.; Bhatnagar, D.; Cleveland, T.E.; Payne, G.A. The aflatoxin pathway regulator AflR induces gene transcription inside and outside of the aflatoxin biosynthetic cluster. FEMS Microbiol. Lett. 2006, 255, 275–279. [Google Scholar] [CrossRef] [PubMed]


















| Strain | Accession Number | Total Length (Mb) | Scaffold | GC Content (%) | PKS | NRPS | TPS |
|---|---|---|---|---|---|---|---|
| Taiwanofungus gaoligongensis | GCA_037127245.1 | 34.58 | 19 | 50.72 | 4 | 6 | 15 |
| Taiwanofungus camphoratus1 (M8) | GCA_003999685.1 | 33 | 14 | 51 | 4 | 6 | 15 |
| Taiwanofungus camphoratus2 (monokaryon S27) | GCA_000766995.1 | 32.2 | 360 | 50.5 | 4 | 4 | 15 |
| Daedalea quercina (L-15889) | GCA_001632345.1 | 32.7 | 357 | 55 | 5 | 2 | 13 |
| Wolfiporia cocos (MD-104) | GCA_000344635.1 | 50.5 | 348 | 52 | 5 | 3 | 12 |
| Laetiporus sulphureus (gfLaeSulp1.1) | GCA_927399515.1 | 37.4 | 14 | 51.5 | 5 | 5 | 16 |
| Fibroporia radiculosa (TFFH 294) | GCA_000313525.1 | 28.4 | 861 | 51 | 6 | 1 | 11 |
| Fomitopsis palustris (ATCC 62978) | GCA_001937815.1 | 43.9 | 226 | 55.5 | 5 | 2 | 5 |
| Fomitopsis schrenkii (FP-58527 SS1) | GCA_000344655.2 | 41.6 | 504 | 55.5 | 6 | 1 | 8 |
| Fomitopsis betulina (CIRM-BRFM 1772) | GCA_022606075.1 | 42.9 | 251 | 53.5 | 4 | 4 | 8 |
| Postia placenta (MAD-698-R-SB12) | GCA_002117355.1 | 42.5 | 549 | 54 | 5 | 4 | 17 |
| Neoantrodia serialis (Sig1Antser10) | GCA_022376445.1 | 66.7 | 893 | 56 | 9 | 7 | 13 |
| Item | Value | Item | Value |
|---|---|---|---|
| Total length (Mb) | 34.58 | Scaffolds | 19 |
| Max length (bp) | 4247058 | Contigs N20 | 3,457,967 |
| GC content (%) | 50.72 | Scaffolds N20 | 3,457,967 |
| Gene number | 7955 | Contigs N50 | 2,343,139 |
| Total gene number (bp) | 14786310 | Scaffolds N50 | 2,343,139 |
| Gene/Genome (%) | 42.61 | Contigs N90 | 1,499,237 |
| Contigs | 19 | Scaffolds N90 | 1,499,237 |
| Item | NR | SwissProt | KEGG | GO | eggNOG | P450 | TCDB | Pfam |
|---|---|---|---|---|---|---|---|---|
| Count | 7548 | 5204 | 2874 | 5148 | 6700 | 7768 | 944 | 5613 |
| Percentage (%) | 94.88 | 65.41 | 36.13 | 64.71 | 84.22 | 97.65 | 11.87 | 70.56 |
| TPS ID | Score | Relative Score | Squence ID | Start | End | Strand | Predicted Sequence |
|---|---|---|---|---|---|---|---|
| TgHSF2 | 11.00965 | 0.956669333 | TgPKS3 | 843 | 850 | + | atggaata |
| TgHSF3 | 8.580054 | 0.999999993 | TgPKS3 | 239 | 244 | + | ggccat |
| TgHOX1 | 9.405297 | 0.949936448 | TgPKS3 | 1925 | 1931 | + | cgaaaca |
| TgZnF4 | 10.068156 | 0.889975916 | TgPKS3 | 1677 | 1691 | + | cggacaagtgcctgc |
| TgMYB9 | 11.1348505 | 0.915335488 | TgPKS4 | 124 | 133 | + | ttgtcatcgc |
| TgFTD4 | 9.56837 | 0.882805555 | TgPKS4 | 1351 | 1365 | - | cgcgcaatagccttc |
| TgbZIP2 | 9.614646 | 1.00000001 | TgTRI5-1 | 631 | 636 | + | aagcat |
| TgZnF15 | 11.982402 | 0.99611025 | TgTRI5-5 | 1604 | 1610 | + | tgccaag |
Disclaimer/Publisher’s Note: The statements, opinions and data contained in all publications are solely those of the individual author(s) and contributor(s) and not of MDPI and/or the editor(s). MDPI and/or the editor(s) disclaim responsibility for any injury to people or property resulting from any ideas, methods, instructions or products referred to in the content. |
© 2024 by the authors. Licensee MDPI, Basel, Switzerland. This article is an open access article distributed under the terms and conditions of the Creative Commons Attribution (CC BY) license (https://creativecommons.org/licenses/by/4.0/).
Share and Cite
Zhang, Y.; Wang, Y.; Yuan, X.; Zhang, H.; Zheng, Y. Genomic Features of Taiwanofungus gaoligongensis and the Transcriptional Regulation of Secondary Metabolite Biosynthesis. J. Fungi 2024, 10, 826. https://doi.org/10.3390/jof10120826
Zhang Y, Wang Y, Yuan X, Zhang H, Zheng Y. Genomic Features of Taiwanofungus gaoligongensis and the Transcriptional Regulation of Secondary Metabolite Biosynthesis. Journal of Fungi. 2024; 10(12):826. https://doi.org/10.3390/jof10120826
Chicago/Turabian StyleZhang, Yadong, Yi Wang, Xiaolong Yuan, Hongling Zhang, and Yuan Zheng. 2024. "Genomic Features of Taiwanofungus gaoligongensis and the Transcriptional Regulation of Secondary Metabolite Biosynthesis" Journal of Fungi 10, no. 12: 826. https://doi.org/10.3390/jof10120826
APA StyleZhang, Y., Wang, Y., Yuan, X., Zhang, H., & Zheng, Y. (2024). Genomic Features of Taiwanofungus gaoligongensis and the Transcriptional Regulation of Secondary Metabolite Biosynthesis. Journal of Fungi, 10(12), 826. https://doi.org/10.3390/jof10120826

