Next Article in Journal
Optimization of Extraction Parameters to Enhance the Antioxidant Properties of Pyrus spinosa Fruit Extract
Previous Article in Journal
Sugar Replacement in Chocolate-Flavored Milk: Differences in Consumer Segments’ Liking of Sweetener Systems Relate to Temporal Perception
 
 
Font Type:
Arial Georgia Verdana
Font Size:
Aa Aa Aa
Line Spacing:
Column Width:
Background:
Article

Development of a Distilled Beverage Using Yacon Root (Smallanthus sonchifolius)

by
Manuel José Marin Arévalo
and
Nicolás Ratkovich
*
Department of Chemical and Food Engineering, University of Los Andes, Bogotá 111711, Colombia
*
Author to whom correspondence should be addressed.
Beverages 2024, 10(3), 55; https://doi.org/10.3390/beverages10030055
Submission received: 18 April 2024 / Revised: 16 May 2024 / Accepted: 17 June 2024 / Published: 4 July 2024
(This article belongs to the Section Wine, Spirits and Oenological Products)

Abstract

Yacon, known for its fructooligosaccharides, fructans, and inulin content, has shown potential for novel beverage production. This study explores the feasibility of creating a distilled yacon-based beverage. Hydrolysis was utilized to release simple sugars from agave and yacon roots; these were then processed into three distinct batches of distilled beverage. The different methods led to tests varying the sugar content, yeast strains for fermentation, distillation efficiency, aging processes, and sensory evaluations. The distilled beverages demonstrated varying fermentation yields and distillation efficiencies, with one batch aged in Colombian white oak and the others in glass, highlighting differences in flavor profiles. The study concluded that yacon could serve as a versatile base for alcoholic beverage production. The second batch of the distilled beverage, optimized for fermentation and distillation efficiencies, represented promising advancements in yacon-based alcohol production. Future research should focus on process optimization and commercial viability to expand yacon’s presence in the alcoholic beverage industry.

1. Introduction

Yacon (Smallanthus sonchifolius), a perennial herbaceous plant belonging to the Asteraceae family, originates from the Andean region of South America. The term yacon derives from the Quechua word yakku, meaning tasteless or flavorless [1]. This plant is distinguished by its aerial stems, reaching 1–3 m in height. It is primarily cultivated for its tuberous roots, which are appreciated for their sweet taste and crunchy texture, resembling an apple or watermelon [2,3,4]. Additionally, yacon leaves are recognized for assisting in controlling hypoglycemia conditions. The plant’s root system can produce 8–12 kg of roots, each 25 cm long and 10–12 cm in diameter. Although initially flavorless, the roots develop a sweet and juicy texture 3–5 days post-harvest upon exposure to sunlight and weather conditions [5]. The yacon plant is shown in Figure 1.
Yacon roots exhibit a fresh state pH of 5.8–6.4 and adapt to diverse climates across South America and beyond, including Italy, Japan, South Korea, the Czech Republic, New Zealand, and the United States [7]. The roots are categorized by weight, and their water content varies by location, affecting the sugar and protein levels within [8,9]. Yacon’s sugar profile is significantly influenced by environmental factors and post-harvest storage, with its roots containing a high percentage of linear fructooligosaccharides (FOS) and inulin-type substances [10,11]. Unlike many Andean roots, yacon does not store starch but instead follows a C3 photosynthesis pathway, similar to the common potato [12,13].
The nutritional and functional benefits of yacon are further highlighted by its high content of bioactive compounds, including essential amino acids, polyphenolic compounds, and phytoalexins, contributing to its categorization as a functional food with significant prebiotic properties [14,15,16]. Table 1 and Table 2 outline the chemical and sugar compositions of yacon root, emphasizing its high fructan content, which includes both inulin and levan types, contributing to its prebiotic effects [7,17,18,19,20].
The high fructan content in yacon is an intriguing parallel to agave, another fructan-rich plant that produces distilled beverages like tequila. This similarity suggests the potential for developing a distilled beverage from yacon, leveraging the tequila manufacturing process, which involves the hydrolysis of fructans for fermentation [21,22,23,24,25,26,27,28,29]. Some of the natural sources of inulin found in various herbaceous plants and roots are listed in Table 3.
Given the increasing global interest in organic, gourmet alcoholic products with nutraceutical properties, this manuscript proposes the innovative development of a distilled beverage from yacon root. Yacon root, a plant renowned for its high fructooligosaccharides content, is being applied as a novel base for distilled beverage production in the Andean region. Unlike traditional sources, such as grains and fruits, yacon root’s use in distillation is pioneering, offering a fresh perspective on alcoholic beverage formulation. This work aims to optimize technologies for the mass production of a new yacon-based distilled beverage by exploring different fermentation and distillation processes with varying yeast strains. By comparing various fermentation and distillation parameters, this proposal strives to establish a foundation for future research and potential commercialization, starting a step forward in the diversification and innovation of the alcoholic beverage sector. This initiative aligns with the consumer trend towards alternative alcoholic beverage options, positioning Yacon-based beverages as a promising addition to the global spirits market.

2. Materials and Methods

Before commencing the experimental procedures, a comprehensive planning phase was conducted to determine the optimal conditions for yacon root processing. Preliminary studies were performed to identify the best practices based on the root’s characteristics and taxonomy. Each step of the procedure was meticulously documented to ensure reproducibility and accuracy.
Yacon roots (15 kg per batch) were sourced from Bogotá’s ‘Paloquemao’ market. The roots were sanitized using a hypochlorite solution and then peeled in an ascorbic acid solution (0.15 g/kg) to prevent enzymatic browning, resulting in approximately 20% weight loss. The roots were sliced, placed in 2 L beakers, and autoclaved at 121 °C for hydrolysis, which lasted between 1 h 45 min and 2 h 20 min for the first two batches. The third batch underwent hydrolysis for 12 h to ensure maximum extraction of fermentable sugars, as no additional sugars were to be added.
The hydrolyzed roots were blended to form the must and filtered in the first batch, resulting in a 2 kg loss of organic matter. The second and third batches were not filtered to compare the effects of filtration on the final product. The initial weights of the musts before physicochemical adjustments were 16.5 kg, 21 kg, and 8 kg for the first, second, and third batches, respectively. Physicochemical adjustments were made using dextrose, sugar, and tartaric acid, and measurements were taken with a digital refractometer (PAL-22S, Atago Co., Tokyo, Japan), a multiparameter device (SevenMulti S47, Mettler Toledo, Mexico City, Mexico), and a hydrometer (HG-00001, Haoguo, Taiwan). Fermentation was carried out in 30 L tanks, followed by straining and cloth filtration. The first batch was stored in 3 L Colombian white oak barrels, while the others were stored in tinted glass bottles. Figure 2a illustrates the pre-treated yacon.
The musts’ solid content (°Bx) and pH were adjusted to optimize fermentation conditions. Initial tests indicated that a 1:1 dilution of liquefied yacon and water would result in approximately 10 °Bx. However, the first batch’s must, post-filtration, measured only 4.5 °Bx, necessitating the addition of 7 kg of anhydrous dextrose to achieve 28.9 °Bx, targeting an alcohol content of 10–15% by the end of fermentation. This adjustment brought the must’s weight to 22.2 kg. The unfiltered second batch started at 5.2 °Bx and reached 29 °Bx, after adding 1 kg of dextrose and 7 kg of sugar, totaling 26.6 kg before yeast inoculation. The third batch, without dilution or adjustment, started at 12.2 °Bx. pH adjustments were made to mimic the agave must used in tequila, targeting a range of 4.5 to 5, which is conducive to yeast activity. The first batch’s pH was adjusted from 5.6 to 4.8 with 5.2 g of tartaric acid, the second batch’s pH was adjusted from 5.8 to 4.8 using 8 g of acid, and the third batch’s pH was adjusted from 3.6 to 4.8 with 10 g of tartaric acid.
For yeast inoculation, a 2 L beaker containing 1 L of water and 1 L of adjusted must was heated to 50 °C, then cooled to 40 °C before adding the yeast, ensuring the temperature difference did not exceed 10 degrees to prevent yeast shock. The first batch received 11.1 g of Fermentis SafSpirit C-70 yeast and 11.1 g of Oenoferm Be-Red nutrient, the second batch received 13.3 g of Oenoferm Freddo yeast and nutrient, and the third batch received 4 g of Fermentis SafSpirit HG-1 yeast with HardSeltzer nutrient. Sealed fermentation tanks were used to prevent air entry and allow CO2 release.
Controlled variables during fermentation included solid content, pH, and specific gravity. The temperature of the first batch was also monitored using a PropagatePro heating pad for temperature control, as illustrated in Figure 2b. Given the yeast specifications and stable room temperature conditions, the second and third batches did not require temperature monitoring. Regular sampling from the tanks enabled the monitoring of specific gravity and solid content with a refractometer and of pH with a multiparameter. Post-fermentation, FermCalc software (version 1) was used to adjust the specific gravity readings and to determine the final alcohol content and distillation yield.
Once the alcoholic fermentation process had ended, either because the desired alcohol percentage had been achieved or because the metabolic activity of the yeast had significantly decreased, fermentation was stopped using sulfites (0.3 g/L). The fermentation yield for batches 1 and 3 was calculated using the stoichiometry of the fermentation reaction, as follows:
C 6 H 12 O 6 2 C 2 H 5 OH + 2 CO 2 ,
1   g   of   dextrose   0.51   g   of   ethanol + 0.49   g   of   carbon   dioxide
The density of the yacon must, at each Brix value for the adjusted must, was calculated using the following formula:
Density   kg L = 1 + ° Bx 258.6 - ° Bx 258.2 ,
The formula to calculate density from the Brix value is based on empirical data showing how a sugar solution’s density increases with its sugar content. The constants in the formula are derived from experimental data to reflect this relationship accurately. With this density, the weight of each must was obtained using the total volume of the must. For batches 1 and 3, the theoretical ethanol volume produced was determined by the amount of dextrose converted into ethanol during fermentation. The theoretical ethanol volume also considered the specific gravity of alcohol and the amount of dextrose or sucrose dissolved in the must. For Batch 2, sucrose was the primary substrate, for which the following equation was used to obtain the theoretical ethanol volume [30]:
C 12 H 22 O 11 4 C 2 H 5 OH + 4 CO 2 ,
1   g   of   sucrose   0.538   g   of   ethanol + 0.462   g   of   carbon   dioxide
Finally, fermentation yield was calculated using Equation (4), which includes the volume of the must, the %ABV (alcohol by volume) registered once the fermentation is complete, and the theoretical ethanol volume, as follows:
Fermentation   yield = Must   volume   × % ABV   obtained Theoretical   ethanol   volume × 100 ,
The filtration process began with a cloth filter to remove debris from the tank bottom, preventing adverse impacts on distillation and avoiding unfavorable odors or flavors in the liquid. Before distillation, calculations were essential to determine the volumes of the heads, hearts, and tail cuts, which influenced the compounds in the final product. The heads, collected at temperatures below 70 °C and often containing methanol, were usually discarded. The hearts, rich in ethanol, followed, and the tails, containing heavier compounds and water, concluded the process. For distillation, a 25 L stainless steel pot was used in a counterflow configuration to optimize heat transfer, with coolant water maintained at 5 °C by a Thermo/Haake C25P Refrigerated Bath with a Phoenix II Controller chiller (P1 Cool, Thermo Fisher Corporation, Waltham, MA, USA). A stainless-steel pot and setup were utilized due to equipment availability, although copper is generally preferred for its superior thermal conductivity. The setup is depicted in Figure 2c,d. The hearts from the first batch were combined to yield a liquid with 40% to 70% ABV, diluted to 55% ABV, and aged for one month in Colombian white oak barrels. The subsequent batches were aged in tinted glass bottles. After aging, the liquid was diluted to 40% ABV, and sensory and organoleptic evaluations were performed. These analyses, conducted by sommeliers, assessed the product’s purity, intensity, complexity, persistence, and harmony, considering appearance, aroma, and taste to ensure the quality of the final product.

3. Results and Discussion

3.1. Fermentation

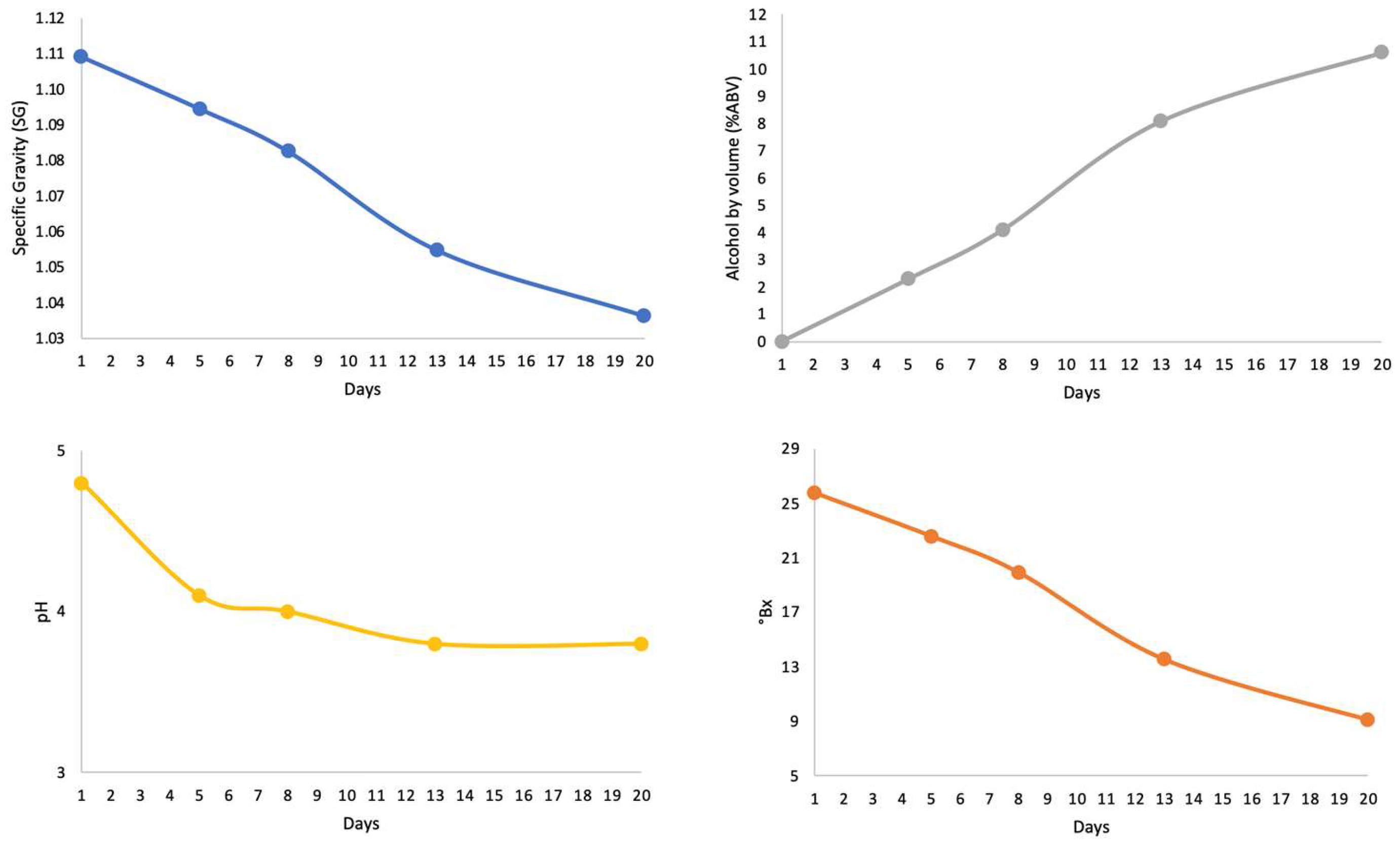
The fermentation stage in the three different batches occurred at various time intervals. The first batch underwent a total of 20 days of fermentation before distillation. The extended time was due to the fermentation not progressing correctly during the first week, as the yeast used (Fermentis SafSpirit C-70, Lille, France) requires temperature conditions between 30 °C and 40 °C. The average ambient temperature in the laboratory where the fermentation tanks were located fluctuated between 15 °C to 20 °C. Therefore, the fermentation of the first batch occurred slowly during the first week because it did not have the correct thermal conditioning, as the Propagate Pro heating pad presented technical issues that were not resolved until the first week had passed. The tank was covered with aluminum, and the fixed PropagatePro heating pad was used at 40 °C for 6 days after initial inoculation and sealing. No re-inoculation was carried out; only the tank conditions were adapted. Once 48 h had passed under these conditions, the internal temperature of the tank, monitored with the thermocouple of the heating pad, reached 30 °C and oscillated between 30 °C and 35 °C until the end of fermentation. This temperature increase had direct implications on the fermentation, as can be seen in Figure 3, where the slope for the graphs of SC, alcohol per volume (% ABV), and specific gravity became more pronounced around days 5–7 of the fermentation process when the heating pad was included. Figures depicting the variables monitored for each batch are point-to-point data representations, with each sampling point explicitly marked. This method was chosen to accurately reflect the discrete nature of the data collected at specific intervals. By connecting each data point directly, a clear visualization of the changes in specific gravity, alcohol by volume, pH, and Brix is shown over time. Even in the pH graph, similar behavior can be observed in terms of the slope, which, in this case, was a negative slope, given that the metabolic activity of the yeast had a noticeable acceleration. Organic acids are formed from the oxidation of aldehydes, mainly acetic acid [31], in the sub-reactions present in the fermentation processes. Consequently, it is normal for the pH to decrease, and the pH decreased more when the tank was thermally treated. The %ABV obtained for this first batch was 9.54% ABV out of a total of 21 L of fermented must, a value within the expected range given the capacity of the yeast used.
The second batch underwent a longer fermentation process, lasting 34 days, facilitated by the yeast Oenoferm Freddo, which operates optimally between 13 and 17 °C. This temperature range aligns with the laboratory’s average room temperature, ensuring ideal fermentation conditions. The process was allowed to extend because the goal was to obtain the highest amount of alcohol possible. Because the constant monitoring showed that the SC continued to decrease considerably, the process was continued. Since the pre-fermentation must was not filtered to outline the differences between the first batches, the initial SC was higher than the first. Additionally, as refined sugar was used as an adjustment instrument for SC in the must, the initial value for this parameter was higher in this batch than the rest (29 °Bx). For this reason, it was decided to take advantage of the highest possible quantity of available sugars for fermentation. The pH in this batch considerably decreased during the first seven days, as seen in Figure 4. After this time, the pH remained between 3.3 and 3.5. A re-inoculation could have been possible here because the pH presented slight increases that would have been controlled if re-inoculated. However, the fermentation process was not interrupted, and once the SC stopped decreasing, the fermentation was stopped entirely using potassium metabisulfite (0.3 g/L). The %ABV obtained according to the calculations made from the specific gravities corrected for standard temperature was 14% for a total of 21 L of fermented must. Using the difference between initial and final SC readings, this value is 17%ABV.
The third batch was the smallest, using 8 kg of processed and liquefied yacon root without adding water to concentrate the number of sugars available for fermentation. The yeast used, namely SaffSpirit HG-1, does not require thermal conditioning; its best temperature range is 25 °C to 35 °C; however, fermentation can occur without problems at lower temperatures (15 °C to 25 °C) with slower kinetics. If it were decided to use the PropagatePro heating pad, fermentation would occur at temperatures higher than the ambient temperature of the laboratory (15 °C to 20 °C). It is possible that a lower yield and alcohol production could have been obtained according to the manufacturer’s specifications (Fermentis LeSaffre, Lille, France). The fermentation behavior was rapid, as shown in Figure 5. The SC decreased substantially during the first week of fermentation, and the alcohol production per volume was higher. The batch started with 12.2 °Bx; by day 10, the refractometer reading was 4.8 °Bx. On day 12 of fermentation, it was decided to re-inoculate the same amount of yeast and nutrients as at the start of the fermentation process to use the most significant quantity of sugars available from the yacon. However, this re-inoculation did not obtain the expected results because the yeast had reached its maximum alcohol production capacity in the tank, and there was no evidence of further alcohol production, so fermentation was stopped with potassium metabisulfite. Due to the high specific density of this batch, no readings of the controlled variables were taken using the hydrometer, as the aim was to preserve the most significant amount of must before filtration for alcohol production and subsequent distillation. According to the readings obtained and corrections for temperature and specific gravity, the must has 4.2% ABV, but when calculated with the difference in SC during fermentation, this value was 6.8% ABV. The batch was filtered twice through cheesecloth filters to prepare it for distillation, avoiding sediments that could impair the alcohol obtained. The information in Table 2 states that the main sugars found in yacon root are fructose, glucose, and sucrose, as this batch was not adjusted using additives, such as refined sugars or pure dextrose.
A comparison between density, the weight of the must, theoretical ethanol volume, and fermentation yield for the three batches is shown below in Table 4.
The fermentation yield results, as presented above in Table 5, highlight the efficiency of the fermentation process for each batch. The density of the must was calculated using Equation (2). These densities indicate the concentration of soluble solids, which are critical for determining the potential alcohol yield. The weight calculation was essential for scaling the fermentation process accurately. The theoretical ethanol volume was calculated from the stoichiometric conversion of sugars (dextrose for Batches 1 and 3 and sucrose for Batch 2) using Equations (1) and (2). The actual fermentation yields were 45.3% for Batch 1, 64.2% for Batch 2, and 79.4% for Batch 3, as calculated using Equation (4). These results suggest that Batch 3, which relied solely on the sugars naturally present in yacon without additional dextrose, was the most efficient, possibly due to optimal hydrolysis and fermentation conditions. In contrast, Batch 1 had the lowest yield, possibly due to filtration losses and less efficient fermentation dynamics. The high yield in Batch 2 indicates the effective utilization of the added sucrose. These findings underscore the importance of optimizing each process step, from hydrolysis to fermentation, to maximize ethanol production.

3.2. Distillation

Distillation for Batch 1 was carried out in two sessions. On the first day of distillation, the heads and hearts were obtained up to a cut of 60% ABV. On the second day, the remaining heart cuts and the tails of the distillate were obtained up to a cut of 15% ABV, where the process was stopped due to sour aromas and off-flavors of the cut. For this distillation, 20 L of must at 9.5% ABV was used, according to temperature corrections made to the specific gravity samples collected during the fermentation stage. Based on this, 1.9 L of alcohol at 100% ABV would have been obtained in a distillation where all cuts were recovered. However, the calculation based on the data obtained from the collection of SC samples during fermentation showed that the ferment had obtained 11.1% ABV at the time of distillation, considering the following formula: (initial SC − final SC) × 0.9. Thus, the total amount of alcohol at 100% ABV obtained from this batch would have been 2.34 L. When starting the distillation, there were problems with setting up the distiller as the cooling system had leaks, so the head cuts were obtained after 4 h of heating the must to around 90 °C on the thermocouple of the distiller’s pot. Exactly 2% of the heads were set aside due to methanol, which was approximately 420 mL. Next, cuts between 80% ABV and 65% ABV were obtained. The must was stored in airtight conditions for later continuation. In the second distillation, the first cut obtained was at 65% ABV; from there, the ABV of the distillate decreased drastically. Again, a last heart cut was made with a global %ABV of 45%. Finally, nearly 400 mL of tails were obtained. There was a leak in the distillate output duct in both distillations, with minimal dripping, which was stored during the distillation. The final volume was 100 mL after 10 h of distillation at 60% ABV. It was decided to store it as it had no unpleasant odor or taste and could be used for the final product. The distillation efficiency was calculated by determining the amount of alcohol at 100% ABV recovered in each cut, divided by the expected amount based on the specific gravity corrections of the samples. The distillation efficiency obtained was 79.5%. Details can be seen in Table 6 and Figure 6.
The separated cuts received an aroma and flavor analysis to determine which ones would be used in the aging and final product-obtaining process. It was established that the cuts used for the liquor would be the seven cuts made from the hearts, so the calculation was made to determine the amount of water that would be necessary to dilute it to 55%ABV, as shown in Table 6, and then introduce it into the white oak barrel, as shown in Figure 7. A sample of 100 mL was set aside for later comparison by sommeliers with the aged sample. After a month, the barrel was opened and emptied, and the liquid inside had a mild change in its ABV%; it was 55% ABV at the start of the aging process, and it ended up at 50%ABV, which is expected that some of the alcohol evaporated. Using the mean diameter for the barrel, volume and area were calculated, which led to finding the value for the specific surface. The theoretical value of the aging time on wooden barrels with various geometries and known specific surfaces is calculated using a base value of specific surface for 700 L Brazilian barrels [32], and the aging time obtained is 73.3 days. Afterward, the distillate was diluted with bottled water down to 40% ABV and bottled in 750 mL tinted glass bottles.
For the second distillation, approximately 6 L of must have to be discarded; in addition to the filtration process before starting the distillation, 2 to 3 L of must were wasted because the capacity of the distiller is 20 L. Unlike the first batch, a continuous process took place, as it was not desired to split the distillation process between various days. This batch was expected to obtain 14% ABV, meaning 2.8 L of alcohol at 100% ABV would be expected to be retrieved when recovering all the distillation cuts. If the SC readings were to be considered, this value would be 17% ABV; thus, theoretically, 3.4 L of pure alcohol should have been recovered. This time, there were no problems in setting up the cooling system of the distiller, and the first drop of heads was received 3 h after starting the distillation. A total of 1.5% of the heads was collected, which amounts to 300 mL at 85% ABV. The distillation continued by obtaining the hearts from 84% ABV to 50%. At this point, a cut was made after 10 h of distillation, and during the last 2 h, tails were obtained starting at 40% ABV. Distillation was stopped shortly after due to the aromatic and taste profiles of the tails obtained, which were not the desired ones for the final product since they had an earthy aroma, a greasy consistency, and high turbidity.
Furthermore, this decision to stop distillation was linked to a surprisingly high number of hearts having been retrieved, which was much more helpful for dilution, aging, and later bottling. However, as seen in Table 7 and Figure 8, this decision was not detrimental to the distillation efficiency since, in the case of this second batch, most of the alcohol content was extracted in the heart cuts, which included a 1016 mL cut at 75% ABV. Like in the first batch, there was a liquid escape issue at the outlet where the alcohol hydrometer was placed; this ‘cut’ was previously named residues. In this case, the residues were 140 mL after 12 h of continuous distillation. These residues had 70% ABV. The distillation efficiency was calculated as in the previous batch; for this batch, 2.64 L of alcohol at 100% ABV was retrieved from the 2.8 L of alcohol at 100% ABV expected, based on the must fermentation calculations. As with Batch 1, a sensory evaluation was conducted, especially on the tails cut and the residues, to determine if they would be used in the final product. Ultimately, it was decided not to include both cuts and to use only the hearts of the distillation (see Table 8) for subsequent dilution and bottling. Unlike Batch 1, the hearts were diluted to 50% ABV to rest after being combined for aging since the barrel was occupied with the first batch. During the dilution process, a cut belonging to the heart of the distillation was measured with the hydrometer, and due to a handling error, the cut was lost. Nevertheless, this cut was still considered for distillation efficiency. After one month of aging, the distillate was diluted with bottled water to 40% ABV and placed in transparent glass bottles of 750 mL.
The distillation of the third batch consisted of two successive distillations, although differently from the first batch, as the process was interrupted and later continued for the latter. For Batch 3, a first distillation was carried out using the 20 L distiller. However, since there was only 5.6 L of must, 5 L of water was added to avoid an excessive contact surface between the initial small amount of must and the heater. In addition, distilling with a small quantity of must in the distiller is generally avoided; a minimum requirement of half its capacity should be used to prevent excessive gas flow inside and, thus, avoid accidents. In this case, 5.6 L of must (excluding the water) was distilled at 4.2% ABV according to measurements made by adjusting SC to find the specific gravity, as hydrometer readings were not taken. However, based on the refractometer measurements, the %ABV calculated from the difference between the initial and final SC was 6.8% ABV. The first distillation was continuous, and no cuts were made as the aim was to obtain all the alcohol in the must. The distillation lasted 5 h, the minimum run time compared to the other two batches. A total of 1550 mL of distillate at 20% ABV was obtained, which is 310 mL of pure alcohol at 100% ABV. The distillation efficiency in this first distillation can be calculated as follows:
Distillation   efficiency = Amount   of   alcohol   retrieved   in   distillation The   expected   amount   of   alcohol   from   must ,
Distillation   efficiency = 0.310   l 0.374   l × 100 = 82.8 % .
The amount of alcohol expected in this batch was calculated based on the theoretical %ABV computed using the difference in SC, not the correction for specific gravity. This is because the %ABV calculated from specific gravity gave an expected alcohol amount lower than what was obtained in practice, making the distillation efficiency exceed 100%, which is illogical. For the second distillation, the 2 L distiller was used, and unlike the first distillation, it was necessary to make the pertinent cuts to obtain the desired product. A total of 1% of the distilled volume was extracted as part of the head cut, which amounts to 15.5 mL at 80% ABV. Next, four heart cuts were made from the alcohol obtained at between 80% ABV and 50% ABV, and 370 mL were recovered within this ABV range. Finally, the tails were cut from 35% ABV until the distillation was finished. A total of 210 mL of tail cuts were retrieved in this second distillate. The distillation efficiency achieved was the highest among the three batches because most of the alcohol was recovered in the second distillation; however, the first distillation obtained an acceptable efficiency.
Similarly, by performing two complete distillations separately, the distillation process for the second run is facilitated, as it is easier to accelerate the process and recover all the alcohol in the 2 L distiller, as shown by these efficiency calculations. The details of this second distillation for the third batch can be seen in Table 9 and Figure 9. Regarding the sensory evaluation to determine which cuts were most suitable for the final product, it was decided to include only three cuts of hearts (see Table 10) since the tail cuts and the fourth lowest cut from the hearts (50% ABV) had unpleasant aromas and flavors, as well as a whitish appearance, indicating turbidity. These selected cuts amounted to 310 mL at 70% ABV after being mixed; afterward, they underwent dilution with bottled water to bring the distillate down to 50% ABV. The distilled product was aerated for one week by tightly sealing the sample with a coffee filter, allowing the distillate to breathe and settle. It typically remained sealed for two more weeks until a final dilution with bottled water was made to bring it to 40% ABV so that it could be bottled.

3.3. Sensory Evaluation and Organoleptic Analysis

The tasting sheet used by the sommeliers can be found in Appendix A as Figure A1. Regarding the sensory testing conditions, the evaluations adhered to ISO standards, utilizing specifically designed glasses to enhance the olfactory experience, which is essential for assessing the aroma and overall quality of spirits. The testing environment was meticulously controlled for lighting, temperature, and odors to eliminate any external influences on the assessments. To minimize olfactory fatigue, each sommelier was provided adequate spacing between sessions and palate cleansing with water, ensuring the sensory evaluations’ reliability and consistency. A quantitative and qualitative assessment was conducted based on the visual aspect of the distillate (clarity and presence of bubbles, if any), aromas in terms of intensity and main notes, as well as the mouthfeel, body, and texture. The presence or absence of bubbles in distilled spirits can indicate alcohol content and purity. Bubbles, often called “pearls” in traditional Mexican mezcal production, can form when a liquor stream is poured into a vessel. These bubbles remain stable for tenths of seconds if the alcohol content is around 50%. The extended lifetime of these bubbles is due to changes in surface tension, density, viscosity, and the presence of surfactants. Although bubbles are not always expected in all spirits, their presence can indicate specific beverage properties. In our study, the absence of bubbles in the yacon-based spirits suggests a different alcohol content or purity compared to traditional methods that might display such characteristics [33]. On the other hand, the quantitative evaluation considered the visual aspect, purity and clarity of the sample, intensity and complexity of the aromas, as well as the flavors’ intensity, complexity, and persistence. This quantitative evaluation was scored on a scale of 100 points for each aspect mentioned above. In the qualitative assessment, Batch 1 received comments regarding the liquid’s clarity and the absence of bubbles; the main flavor notes mentioned were herbal, spicy, vanilla, root, and caramel. The mouthfeel of this batch was described as having a medium texture with an alcoholic body. Regarding its quantitative rating, it received an average score of 92 among the three sommeliers. As for Batch 2, it was noted to have a clear visual aspect without bubbles and an intense aroma intensity with main herbal, caramel, and toasted root notes, along with a secondary note of licorice. In this case, the mouthfeel was also described as having a medium texture. The quantitative results of this batch received an average score of 93.6 among the three evaluators. Regarding Batch 3, the visual aspect was clear without bubbles, with moderate aromas and main herbal and alcoholic notes, along with earthy secondary notes. The mouthfeel was rated as having a light to medium texture and was noted for its dense texture. The body of the distillate, according to the evaluators, was alcoholic. The average rating for this batch in the quantitative evaluation was 87.
One major limitation of this study is the absence of replicated trials, as the experiments involved only three batches with different processes, potentially affecting the reliability and generalizability of the results. Variability in fermentation conditions, including temperature and yeast strain, further complicates the isolation of yacon’s effects as a fermentation substrate. Additionally, the small production scale may not accurately reflect commercial scenarios, introducing challenges not accounted for in this study. The sensory evaluation, while insightful, was limited to a small panel of sommeliers, and a larger, more diverse panel would provide a more comprehensive assessment of the beverage’s attributes. Addressing these limitations in future research will be crucial for validating the findings and advancing the commercial viability of Yacon-based alcoholic drinks.

4. Conclusions

This research explored the development of an alcoholic beverage using yacon root, highlighting the plant’s versatility as a base for distilled drinks. The study meticulously compared three batches of a distilled beverage derived from yacon root. Each batch’s fermentation and distillation processes were evaluated for efficiency, and the final products underwent a sensory evaluation to assess their organoleptic qualities.
The investigation revealed that fermentation yield varied significantly across the batches, influenced primarily by the yeast strains used and the thermal conditions during fermentation. The third batch, which utilized the SaffSpirit HG-1 yeast and did not incorporate additional sugars, achieved the highest fermentation yield. This outcome underscores the importance of selecting appropriate yeast strains and managing fermentation conditions to optimize alcohol production. Conversely, the first batch demonstrated the lowest yield, attributing its suboptimal performance to inadequate thermal conditions for the Fermentis SafSpirit C-70 yeast during the initial fermentation phase.
Regarding distillation efficiency, the second batch demonstrated a continuous, uninterrupted process that effectively maximized alcohol recovery, particularly from the ‘hearts’ fraction, which contains the bulk of the desired ethanol. This batch also excelled in sensory evaluations, receiving the highest scores for its distinct herbal, root, and caramel flavor notes, suggesting a preferable method for producing a yacon-based distilled beverage.
Future research should focus on quantifying the bioactive compounds in the final products to better understand their potential nutraceutical benefits. Additionally, evaluating the feasibility of incorporating dextrose or saccharose in commercial yacon spirits production is essential, considering legal constraints and the possible impact on flavor profile and fermentation efficiency. Replicating these experiments and maintaining consistent conditions will validate the findings and advance the commercial viability of Yacon-based alcoholic beverages. This study underscores the promising potential of yacon as a substrate for alcoholic beverage production, emphasizing the critical roles of yeast selection, thermal management, and innovative techniques in improving sensory characteristics.

Author Contributions

Conceptualization, N.R. and M.J.M.A.; methodology, M.J.M.A.; software, N.R.; validation, N.R.; formal analysis, N.R. and M.J.M.A.; investigation, M.J.M.A.; resources, N.R.; data curation, N.R.; writing—original draft preparation, M.J.M.A.; writing—review and editing, N.R.; visualization, N.R. and M.J.M.A.; supervision, N.R.; project administration, N.R.; funding acquisition, N.R. All authors have read and agreed to the published version of the manuscript.

Funding

This research received no external funding.

Data Availability Statement

Due to privacy policies and legal restrictions, the data supporting the results reported in this article cannot be made publicly available. These constraints are in place to protect the privacy and confidentiality of individuals and proprietary information involved in the study. Further inquiries can be directed to the corresponding authors.

Acknowledgments

The authors wish to extend their most profound appreciation to Napoleon Bonyouchoa from Lesaffre, Mexico, for his generous provision of the various yeast strains used in our study. This research, focusing on the innovative production of yacon-based distilled beverages, significantly benefited from the variety of yeast strains supplied. These were pivotal in developing distinct profiles and characters for the spirits obtained.

Conflicts of Interest

The authors declare no conflict of interest.

Appendix A

Figure A1. Tasting sheet used by the sommeliers for the distilled beverage.
Figure A1. Tasting sheet used by the sommeliers for the distilled beverage.
Beverages 10 00055 g0a1

References

  1. Lachman, J.; Fernández, E.; Orsák, M. Yacon (Smallanthus sonchifolia (Poepp. et Endl.) H. Robinson) chemical composition and use-a review. Plant Soil Environ. 2003, 49, 283–290. [Google Scholar] [CrossRef]
  2. Grau, A.; Rea, J. Yacon. Smallanthus sonchifolius (Poepp. & Endl.) H. Robinson. In Andean Roots and Tuberous Roots: Ahipa, Arracacha, Maca and Yacon. Gatersleben 1997, 1, 199–256. [Google Scholar]
  3. Ojansivua, I.; Ferreira, C.; Salminena, S. Yacon, a new source of prebiotic oligosaccharides with a history of safe use. Trends Food Sci. Technol. 2011, 22, 40–46. [Google Scholar] [CrossRef]
  4. Manrique, I. Yacon—Fact Sheet; International Potato Center (CIP): Lima, Peru, 2004. [Google Scholar]
  5. Torres, S.S. Yacón: Producción, Transformación Y Beneficios; Universidad de la Salle: Bogotá, Colombia, 2016. [Google Scholar]
  6. López, S.Y.R.; Cunya, A.S.; Arce, V.V.; Seminario, J.F. Rendimiento agronómico de ocho cultivares de yacón (Smallanthus sonchifolius Poepp. & Endl. H. Rob.) provenientes del norte peruano. Siembra 2022, 9, e3630. [Google Scholar]
  7. Hermann, M. Compositional Diversity of the Yacon Storage Root; International Potato Center (CIP): Lima, Perú, 1997. [Google Scholar]
  8. Campos, D.; Betalleluz-Pallardel, I.; Chirinos, R.; Aguilar-Galvez, A.; Noratto, G.; Pedreschi, R. Prebiotic effects of yacon (Smallanthus sonchifolius Poepp. & Endl), a source of fructooligosaccharides and phenolic compounds with antioxidant activity. Food Chem. 2012, 135, 1592–1599. [Google Scholar] [PubMed]
  9. Popenoe, H. Lost Crops of the Incas: Little-Known Plants of the Andes with Promise for Worldwide Cultivation; National Academy Press: Washington, DC, USA, 1989. [Google Scholar]
  10. Gibson, G. Dietary modulation of the human colonic microbiota: Introducing the concept of prebiotics. Nutr. J. 1995, 125, 1401–1412. [Google Scholar] [CrossRef] [PubMed]
  11. Delgado, G.T.C.; da Silva Cunha Tamashiro, W.M.; Maróstica, M.R.; Pastore, G.M. Yacon (Smallanthus sonchifolius): A Functional Food. Plant Foods Hum. Nutr. 2013, 3, 222–228. [Google Scholar] [CrossRef] [PubMed]
  12. Pedrosa, J.L.F.; de Oliveira, F.L.; Zucoloto, M.; Teixeira, A.D.G.; Parajara, M.D.C.; Tomaz, M.A. Yacon (Smallanthus sonchifolius), Propagation from Rhizophores with Different Numbers of Buds. Rev. Fac. Cienc. Agrar. Univ. Nac. Cuyo 2020, 52, 52–63. [Google Scholar]
  13. Banse, H.J. Ecofisiología del Cultivo de la Papa; Instituto de Investigaciones Agropecuarias (INIA): Osorno, Chile, 1983. [Google Scholar]
  14. Bonet, B. Prebiotic effect of yacon (Smallanthus sonchifolius) on intestinal mucosa using a mouse model. Food Agric. Immunol. 2010, 2, 175–189. [Google Scholar] [CrossRef]
  15. Takenaka, M. Caffeic acid derivates in the roots of yacon (Smallanthus sonchifolius). J. Agric. Chem. 2003, 51, 793–796. [Google Scholar] [CrossRef]
  16. Inoue, A. Antifungal melampolides from leafextracts of Smallanthus sonchifolius. Phytochemistry 1995, 39, 845–848. [Google Scholar] [CrossRef]
  17. Jáuregui, A.M. Monografía: Yacón Smallanthus sonchifolius; Comisión de Promoción del Perú para la Exportación y el Turismo: Lima, Peru, 2010. [Google Scholar]
  18. Valluru, R.; Van den Ende, W. Plant fructans in stress environments: Emerging concepts and future prospects. J. Exp. Bot. 2008, 59, 2905–2916. [Google Scholar] [CrossRef] [PubMed]
  19. Lewis, D. Nomenclature and diagrammaticrepresentation of oligomeric fructans. New Phytol. 1993, 124, 583–594. [Google Scholar] [CrossRef] [PubMed]
  20. Fujishima, M. Purification and characterization of a fructosyltransferase from onion bulbs and its key role in the synthesis of fructo-oligosaccharides in vivo. New Phytol. 2005, 165, 513–524. [Google Scholar] [CrossRef] [PubMed]
  21. Ueno, K. Molecular characterization and expression of a cDNA encoding fructan:fructan 6G-fructosyltransferase from asparagus (Asparagus officinalis). New Phytol. 2005, 165, 813–824. [Google Scholar] [CrossRef] [PubMed]
  22. Ende WV, D.; Laere, A.V. Fructans in Dicotyledonous Plants: Occurrence and Metabolism; Research Signpost: Trivandrum, India, 2007. [Google Scholar]
  23. Casares, M. Efecto de la Inulina de Agave “Tequilana Weber” y su Implicación en Disminución de Niveles de Glucosa en la Sangre; Instituto Tecnológico de Zacatepec. Ingeniería Química: Zacatepec, Mexico, 2013. [Google Scholar]
  24. Weiß, K. Determination of Single Sugars, Including Inulin, in Plants and Feed Materials by High-Performance Liquid Chromatography and Refraction Index Detection. Fermentation 2017, 3, 36. [Google Scholar] [CrossRef]
  25. Gavilánez, H.R.G. Determinación del Contenido de Inulina en el yacón (Smallanthus sonchifolius) y diseño del Proceso de Extracción; Universidad Central del Ecuador: Quito, Ecuador, 2017. [Google Scholar]
  26. Gonzalez, M. Estudio de la hidrólisis enzimática de inulina de agave en la producción de jarabe fructosado. Rev. Simulación Y Lab. 2017, 4, 36–41. [Google Scholar]
  27. Mendoza, A.J.G. Los agaves de México; Universidad Nacional Autónoma de México: Distrito Federal, México, 2007. [Google Scholar]
  28. Espinosa-Andrews, J.E. Thermal properties of agave fructans (Agave tequilana Weber var. Azul). Carbohydr. Polym. 2012, 87, 2671–2676. [Google Scholar] [CrossRef]
  29. Cedano, M.A. Tequila ¿Como se hace? Arte y Tecnología: Distrito Federal, México, 2022. [Google Scholar]
  30. Da Silva, G.; de Araújo, E.; Silva, D.; Guimarães, W. Ethanolic fermentation of sucrose, sugarcane juice and molasses by Escherichia coli strain ko11 and Klebsiella oxytoca strain P2. Braz. J. Microbiol. 2005, 36, 395–404. [Google Scholar] [CrossRef]
  31. Haller, H.; Heist, P.; Cosanti, F. Step by step guide to fermentation as it relates to distilled spirit production. Artis. Spirit 2019, 94–98. [Google Scholar]
  32. Ratkovich, N.; Esser, C.; de Resende Machado, A.M.; de Almeida Mendes, B.; Cardoso, M.D.G. The Spirit of Cachaça Production: An Umbrella Review of Processes, Flavour, Contaminants and Quality Improvement. Foods 2023, 12, 3325. [Google Scholar] [CrossRef] [PubMed]
  33. Rage, O.; Atasi, O.; Sanchez, J.F.H.; Legendre, D.; Zenit, R. Bubbles determine the amount of alcohol in Mezcal. Sci. Rep. 2020, 10, 11014. [Google Scholar] [CrossRef] [PubMed]
Figure 1. Plant parts according to dry matter partition (root, crown, and foliage) [6].
Figure 1. Plant parts according to dry matter partition (root, crown, and foliage) [6].
Beverages 10 00055 g001
Figure 2. (a) Yacon from the first batch after hydrolysis in the autoclave; (b) the fermentation tank used is covered in aluminum for the first batch; (c) distillation setup for the first batch; (d) obtaining the distilled beverage from Batch 1.
Figure 2. (a) Yacon from the first batch after hydrolysis in the autoclave; (b) the fermentation tank used is covered in aluminum for the first batch; (c) distillation setup for the first batch; (d) obtaining the distilled beverage from Batch 1.
Beverages 10 00055 g002
Figure 3. Variables monitored in the alcoholic fermentation of Batch 1.
Figure 3. Variables monitored in the alcoholic fermentation of Batch 1.
Beverages 10 00055 g003
Figure 4. Variables monitored in the alcoholic fermentation of Batch 2.
Figure 4. Variables monitored in the alcoholic fermentation of Batch 2.
Beverages 10 00055 g004
Figure 5. Variables monitored in the alcoholic fermentation of Batch 3.
Figure 5. Variables monitored in the alcoholic fermentation of Batch 3.
Beverages 10 00055 g005
Figure 6. Retrieved amounts of alcohol cuts for Batch 1 according to %ABV.
Figure 6. Retrieved amounts of alcohol cuts for Batch 1 according to %ABV.
Beverages 10 00055 g006
Figure 7. A barrel made from Colombian white oak is used for aging.
Figure 7. A barrel made from Colombian white oak is used for aging.
Beverages 10 00055 g007
Figure 8. Retrieved amounts of alcohol cuts for Batch 2 according to %ABV.
Figure 8. Retrieved amounts of alcohol cuts for Batch 2 according to %ABV.
Beverages 10 00055 g008
Figure 9. Retrieved amounts of alcohol cuts for Batch 3 according to %ABV.
Figure 9. Retrieved amounts of alcohol cuts for Batch 3 according to %ABV.
Beverages 10 00055 g009
Table 1. Chemical composition of yacon per kg of fresh root [7].
Table 1. Chemical composition of yacon per kg of fresh root [7].
ComponentAverage Content
Dry matter (g)115
Fructans (g)62
Glucose (g)3.4
Fructose (g)8.5
Sucrose (g)14
Total carbohydrates (g)106
Protein (g)3.7
Fiber (g)3.6
Fat (mg)244
Ash (mg)5027
Calcium (mg)87
Phosphorus (mg)240
Potassium (mg)2282
Table 2. Sugars content in fresh yacon root [17].
Table 2. Sugars content in fresh yacon root [17].
ComponentAverage Content (mg/g Dry Weight)
Fructose350.1
Glucose158.3
Sucrose74.5
Kestose (GF-2)60.1
Nystose (GF-3)47.4
Fructofuranosyl-nystose (GF-4)33.6
GF-520.6
GF-615.8
GF-712.7
GF-89.6
GF-96.6
Inulin (GF-10)13.5
Table 3. Inulin content of various plants and fruits [25].
Table 3. Inulin content of various plants and fruits [25].
SourcePlant PartInulin Content (% in Fresh Weight)
ChicoryRoots15–20
AgaveLeaves15–22
GarlicBulbs9–16
ArtichokeRoots3–10
Jerusalem artichokeTubers14–19
BananaFruits0.3–0.7
BurdockRoots2.4–4
CamassiaRoots12–22
BarleyGrains0.5–1.5
OnionBulbs2–6
RyeGrains0.5–1
DandelionRoots12–15
MumongRoots8–13
LeeksStems3–10
Purple salsifyRoots4–11
YaconTubers3–27
Table 4. Fermentation yield was obtained for each batch.
Table 4. Fermentation yield was obtained for each batch.
Batch 1Batch 2Batch 3
Density (kg/L)1.1111.1121.047
Weight of the must (kg)23.3329.578.37
Theoretical ethanol volume (L)4.45.80.685
Fermentation yield (%)45.364.279.4
Table 5. Distillation balance for Batch 1.
Table 5. Distillation balance for Batch 1.
CutQuantity (L)%ABVTotal Alcohol (L)
Must (expected alcohol)209.51.9
Heads0.255850.217
0.174800.139
Hearts0.264800.211
0.272800.218
0.245750.184
0.214750.161
0.289650.188
0.092650.060
0.087450.039
Tails0.118340.040
0.272250.068
Residue0.103600.062
Total alcohol retrieved (L)1.586
Distillation efficiency83.5%
Distillation yield (mL of pure alcohol/100 L of must)79.2
Table 6. Cuts from Batch 1 are used for the final aging of the product.
Table 6. Cuts from Batch 1 are used for the final aging of the product.
Hearts
Volume (mL)%ABVWater Dilution (mL)Final %ABV
26480%120.055%
27280%123.655%
24575%89.155%
21475%77.855%
28965%52.555%
9265%16.755%
8745%055%
Total volume at 55%ABV (L)2
Table 7. Distillation balance for Batch 2.
Table 7. Distillation balance for Batch 2.
CutQuantity (L)%ABVTotal Alcohol (L)
Must (expected alcohol)20142.8
Heads0.300850.255
Hearts0.750840.630
0.240810.194
1.016750.762
0.123720.089
0.244600.146
0.261550.144
0.192500.096
Tails0.190400.076
Residue0.140560.078
Losses0.250700.175
Total alcohol retrieved (L)2.645
Distillation efficiency94%
Distillation yield (mL of pure alcohol/100 L of must)132.2
Table 8. Cuts from Batch 2 were used for the final product.
Table 8. Cuts from Batch 2 were used for the final product.
Hearts
Volume (mL)%ABVWater Dilution (mL)Final %ABV
7508451050
24081148.850
10167550850
1237254.1250
2446048.850
2615526.150
19250050
Total volume at 50%ABV (L)4.1
Table 9. Distillation balance for Batch 3.
Table 9. Distillation balance for Batch 3.
CutQuantity (L)%ABVTotal Alcohol (L)
First distillation (expected alcohol)1.55020%0.310
Heads0.01680%0.012
Hearts0.19280%0.154
0.05670%0.039
0.05760%0.034
0.06550%0.033
Tails0.02335%0.008
0.02830%0.008
0.01425%0.004
0.03120%0.006
0.1145%0.006
Total alcohol retrieved (L)0.304
Distillation efficiency98%
Distillation yield (mL of pure alcohol / 100 L of must)196
Table 10. Cuts from Batch 3 were used for the final product.
Table 10. Cuts from Batch 3 were used for the final product.
Hearts
Volume (mL)%ABVWater Dilution (mL)Final %ABV
19280115.250
567022.450
576011.450
Total volume at 50%ABV (L)0.454
Disclaimer/Publisher’s Note: The statements, opinions and data contained in all publications are solely those of the individual author(s) and contributor(s) and not of MDPI and/or the editor(s). MDPI and/or the editor(s) disclaim responsibility for any injury to people or property resulting from any ideas, methods, instructions or products referred to in the content.

Share and Cite

MDPI and ACS Style

Marin Arévalo, M.J.; Ratkovich, N. Development of a Distilled Beverage Using Yacon Root (Smallanthus sonchifolius). Beverages 2024, 10, 55. https://doi.org/10.3390/beverages10030055

AMA Style

Marin Arévalo MJ, Ratkovich N. Development of a Distilled Beverage Using Yacon Root (Smallanthus sonchifolius). Beverages. 2024; 10(3):55. https://doi.org/10.3390/beverages10030055

Chicago/Turabian Style

Marin Arévalo, Manuel José, and Nicolás Ratkovich. 2024. "Development of a Distilled Beverage Using Yacon Root (Smallanthus sonchifolius)" Beverages 10, no. 3: 55. https://doi.org/10.3390/beverages10030055

APA Style

Marin Arévalo, M. J., & Ratkovich, N. (2024). Development of a Distilled Beverage Using Yacon Root (Smallanthus sonchifolius). Beverages, 10(3), 55. https://doi.org/10.3390/beverages10030055

Note that from the first issue of 2016, this journal uses article numbers instead of page numbers. See further details here.

Article Metrics

Back to TopTop