Thermodynamic Analysis of Cyclic Operation of On-Board Nanoporous Carbon-Based Adsorbed Methane Storage Tank with Various Thermal Control Systems
Abstract
1. Introduction
2. Materials
2.1. Adsorbent, Adsorptive, and Coolant
2.2. Experimental Full-Scale ANG Storage Tank
2.3. Model ANG Storage Tanks with Various Thermal Control Systems
3. Methods
3.1. Characterization of the Adsorbent
3.2. Measurements of Methane Adsorption
3.3. Mathematical Model Description
- (1)
- The initial data of equilibrium adsorption are the experimental data of methane adsorption onto KS-HA activated carbon, as well as the results of their processing in the form of adsorbate enthalpy;
- (2)
- an adsorptive is pure methane (100%), which is considered a “real gas”; its thermophysical properties are determined using the REFPROP v9.1 database built into ANSYS Fluent;
- (3)
- thermal and adsorption-stimulated deformation of the adsorbent is considered to be negligible;
- (4)
- an equilibrium model of heat exchange between the adsorbent layer and the adsorptive: heat exchange occurs instantaneously under the assumption of a highly developed adsorbent surface;
- (5)
- the gas temperature at the inlet during charging is considered constant;
- (6)
- to improve the convergence of the calculation, smooth approximation functions of adsorption a(p,T) and specific enthalpy of the adsorbate hab(a,T) are used, which were determined from the previously calculated values of adsorption and specific enthalpy of the adsorbate in a wide range of pressures up to 20 MPa and temperatures of 200 to 400 K;
- (7)
- the internal heat exchanger of the ANG storage tank, in the form of two U-shaped steel tubes through which ethanol circulates, was modeled as a separate area. Thus, the temperature gradient in the tubes is taken into account both in the axial and radial directions;
- (8)
- the plane of symmetry passes along the axis of the ANG storage tank, dividing it into two identical parts in such a way that each of them includes half a pipe with a direct flow from one U-shaped heat exchanger and half with a reverse flow from the other. This takes into account the temperature variability for tubes with different flow directions;
- (9)
- the area of the adsorption material is divided into 3 characteristic zones with different thermophysical properties due to the peculiarities of the adsorbent placement in the real ANG storage tank (Figure 1).
- (10)
- the geometry of the supply nipple at the gas inlet to the tank is taken into account. Due to the relatively small diameter of the inlet (5 mm), the gas velocities in the free gas space region are very high, which is why the turbulent gas flow model k-ω SST was used in this zone;
- (11)
- at the initial moment of time, convective gas flows are considered insignificant, as a result of which the initial gas velocities in the ANG storage tank are equal to zero;
- (12)
- the gas flow rate through the supply nipple during charging and discharging was determined using the boundary pressure condition, the values of which were taken from experimental data;
- (13)
- due to the impossibility of direct measurement of the heat transfer coefficient on the external heat-insulated surface of the tank in its upper and lower parts, where there is no external heat exchanger, its value was taken as the average between the corresponding coefficients for gas charging and discharging without thermal control;
- (14)
- the ambient temperature was approximated according to experimental data;
- (15)
- the heat exchange condition under the supporting element of the ANG storage tank is taken to be adiabatic;
- (16)
- heat flows at the end of the supply nipple are considered insignificant;
- (17)
- the initial temperature of the ANG storage tank, including the internal U-shaped heat exchanger, is variable along its height and is set by approximating functions in accordance with experimental data.
3.4. Modeling of Cyclic Operation of the ANG Storage Tanks with Various Thermal Control Systems
4. Results and Discussion
4.1. Structural and Energy Characteristics of Granular and Monolithic Carbon Adsorbents
4.2. Morphological Features of Adsorbents
4.3. XRD Characterization of Adsorbents
4.4. Methane Adsorption
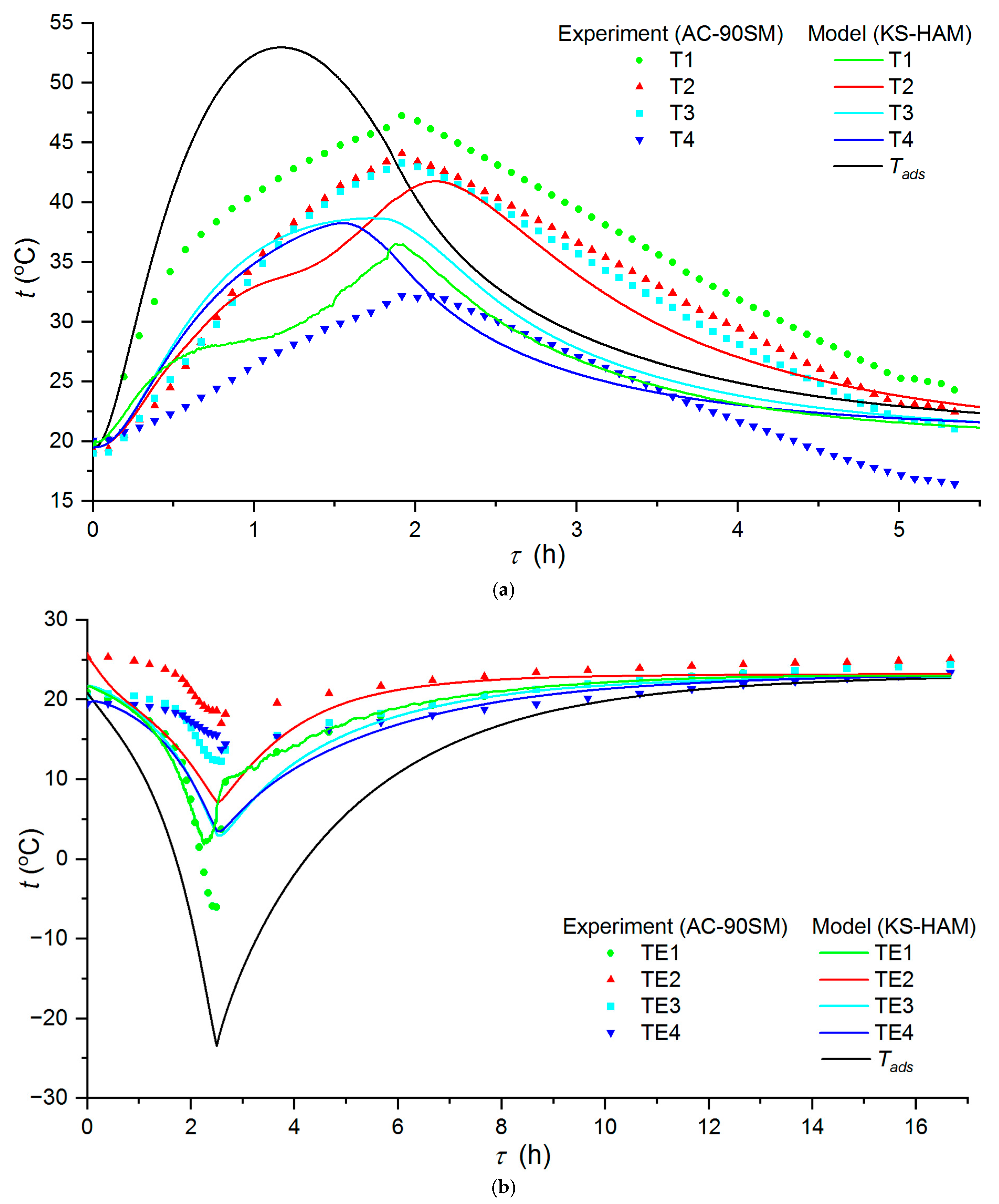
4.5. Model Validation
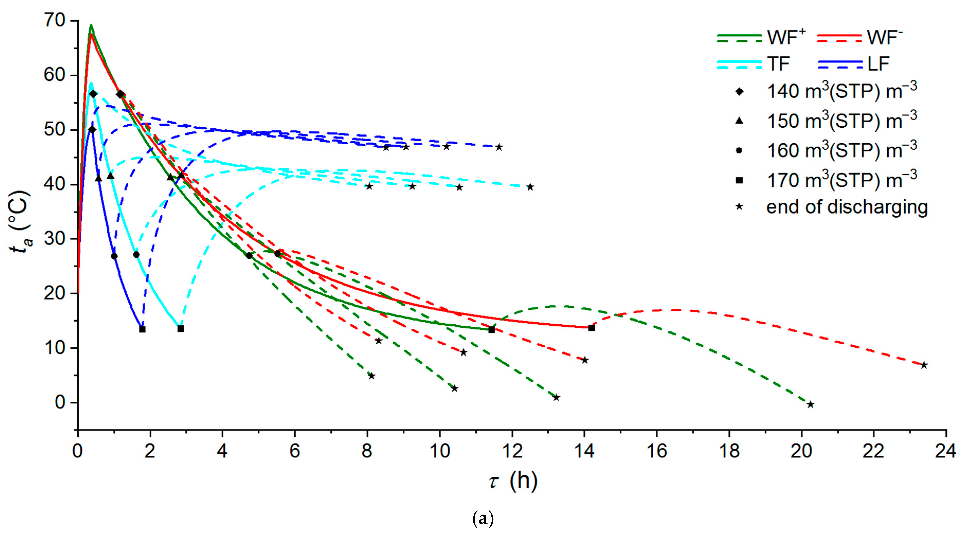
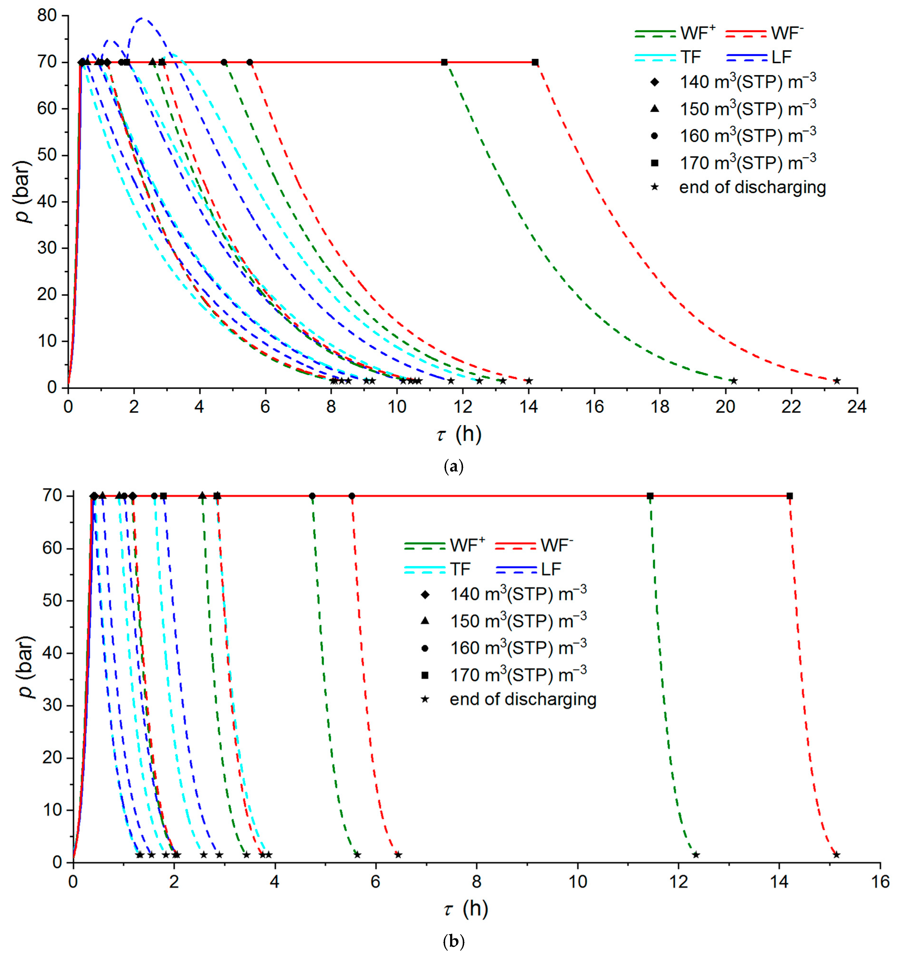
4.6. Efficiency of Cyclic Operation of the ANG Storage Tank with Various Thermal Control Systems
- (1)
- the KS-HAM adsorbent is a monolithic isotropic structure with a bulk density of 710 kg m−3, which fills the entire internal volume of the adsorption accumulator (Figure 2);
- (2)
- (3)
- external heat exchanger is not used in the model;
- (4)
- methane is supplied to the ANG storage tank through a larger diameter hole, which allows the gas flow model to be simplified to laminar;
- (5)
- the gas flow rate at the inlet of the ANG storage tank during charging and discharging is determined by the boundary condition of constant flow rate;
- (6)
- the supporting element of the ANG storage tank is not taken into account in the model.
5. Conclusions
Supplementary Materials
Author Contributions
Funding
Data Availability Statement
Acknowledgments
Conflicts of Interest
References
- Deegan, M.M.; Dworzak, M.R.; Gosselin, A.J.; Korman, K.J.; Bloch, E.D. Gas storage in porous molecular materials. Eur. J. Chem. 2021, 27, 4531–4547. [Google Scholar] [CrossRef] [PubMed]
- Strizhenov, E.M.; Zherdev, A.A.; Podchufarov, A.A.; Chugaev, S.S.; Kuznetsov, R.A. Energy-saving multistage filling of adsorption natural gas storage system. Chem. Pet. Eng. 2016, 51, 786–792. [Google Scholar] [CrossRef]
- Wu, Z.J.; Wee, V.; Ma, X.B.; Zhao, D. Adsorbed natural gas storage for onboard applications. Adv. Sustain. Syst. 2021, 5, 2000200. [Google Scholar] [CrossRef]
- Chugaev, S.S.; Strizhenov, E.M.; Zherdev, A.A.; Kuznetsov, R.A.; Podchufarov, A.A.; Zhidkov, D.A. Fire- and explosion-safe low-temperature filling of an adsorption natural gas storage system. Chem. Pet. Eng. 2017, 52, 846–854. [Google Scholar] [CrossRef]
- Tsivadze, A.Y.; Aksyutin, O.E.; Ishkov, A.G.; Men’shchikov, I.E.; Fomkin, A.A.; Shkolin, A.V.; Khozina, E.V.; Grachev, V.A. Porous carbon-based adsorption systems for natural gas (methane) storage. Russ. Chem. Rev. 2018, 87, 950–983. [Google Scholar] [CrossRef]
- Vasiliev, L.L.; Kanonchik, L.E.; Tsitovich, A.P. Adsorption system with heat pipe thermal control for mobile storage of gaseous fuel. Int. J. Therm. Sci. 2017, 120, 252–262. [Google Scholar] [CrossRef]
- Nie, Z.; Lin, Y.; Jin, X. Research on the theory and application of adsorbed natural gas used in new energy vehicles: A review. Front. Mech. Eng. 2016, 11, 258–274. [Google Scholar] [CrossRef]
- Saez, A.; Toledo, M. Thermal effect of the adsorption heat on an adsorbed natural gas storage and transportation systems. Appl. Therm. Eng. 2009, 29, 2617–2623. [Google Scholar] [CrossRef]
- Ridha, F.N.; Yunus, R.M.; Rashid, M.; Ismail, A.F. Thermal analysis of adsorptive natural gas storages during dynamic charge phase at room temperature. Exper. Therm. Fluid Sci. 2007, 32, 14–22. [Google Scholar] [CrossRef]
- Ridha, F.N.; Yunus, R.M.; Rashid, M.; Ismail, A.F. Thermal transient behavior of an ANG storage during dynamic discharge phase at room temperature. Appl. Energy 2007, 27, 55–62. [Google Scholar] [CrossRef]
- Wang, Y.; Lithoxoos, G.P.; Othman, R.M. Heat removal for adsorbed natural gas storage: Lab to industrial scale. Energy Fuels 2020, 34, 16109–16118. [Google Scholar] [CrossRef]
- Prosniewski, M.J.; Rash, T.A.; Knight, E.W.; Gillespie, A.K.; Stalla, D.; Schulz, C.J.; Pfeifer, P. Controlled charge and discharge of a 40-L monolithic adsorbed natural gas tank. Adsorption 2018, 24, 541–550. [Google Scholar] [CrossRef]
- Santos, J.C.; Gurgel, J.M.; Marcondes, F. Numerical simulation of fast charge of natural gas on activated carbon in conjunction with variable velocity. Appl. Therm. Eng. 2015, 90, 258–265. [Google Scholar] [CrossRef]
- Vasiliev, L.; Kanonchik, L.; Kuzmich, M.; Kulikouski, V. Development of thermosyphon controlled adsorptive natural gas storage system. Appl. Therm. Eng. 2021, 185, 116184. [Google Scholar] [CrossRef]
- Strizhenov, E.M.; Chugaev, S.S.; Men’shchikov, I.E.; Shkolin, A.V.; Zherdev, A.A. Heat and mass transfer in an adsorbed natural gas storage system filled with monolithic carbon adsorbent during circulating gas charging. Nanomaterials 2021, 11, 3274. [Google Scholar] [CrossRef]
- Yang, X.; Zheng, Q.; Gu, A.; Lu, X. Experimental studies of the performance of adsorbed natural gas storage system during discharge. Appl. Therm. Eng. 2005, 25, 591–601. [Google Scholar] [CrossRef]
- Rahman, K.A.; Loh, W.S.; Chakraborty, A.; Saha, B.B.; Chun, W.G.; Ng, K.C. Thermal enhancement of charge and discharge cycles for adsorbed natural gas storage. Appl. Therm. Eng. 2011, 31, 1630–1639. [Google Scholar] [CrossRef]
- Ybyraiymkul, D.; Ng, K.C.; Kaltayev, A. Experimental and numerical study of effect of thermal management on storage capacity of the adsorbed natural gas vessel. Appl. Therm. Eng. 2017, 125, 523–531. [Google Scholar] [CrossRef]
- Men’shchikov, I.E.; Shkolin, A.V.; Strizhenov, E.M.; Khozina, E.V.; Chugaev, S.S.; Shiryaev, A.A.; Fomkin, A.A.; Zherdev, A.A. Thermodynamic behaviors of adsorbed methane storage systems based on nanoporous carbon adsorbents prepared from coconut shells. Nanomaterials 2020, 10, 2243. [Google Scholar] [CrossRef]
- Chaudhary, A.; Sahoo, S. On thermodynamics and heat and mass transfer aspects of CH4 adsorption onto coconut shell-based carbonaceous material. Int. J. Heat. Mass Transf. 2024, 225, 125410. [Google Scholar] [CrossRef]
- Sahoo, S.; Ramgopal, M. A simple regression equation for predicting charge characteristics of adsorbed natural gas storage systems. Appl. Therm. Eng. 2014, 73, 1095–1102. [Google Scholar] [CrossRef]
- Sahoo, S.; Ramgopal, M. Regression equations for predicting discharge performance of adsorbed natural gas storage systems. Appl. Therm. Eng. 2015, 86, 127–134. [Google Scholar] [CrossRef]
- Zhang, J.; Tan, Y.; Zhang, T.; Yu, K. Investigation of improvement of desorption efficiency using engine cooling water in natural gas vehicle tank. Appl. Therm. Eng. 2018, 133, 117–124. [Google Scholar] [CrossRef]
- Patil, K.H.; Sahoo, S. Charge characteristics of adsorbed natural gas storage system based on MAXSORB III. J. Nat. Gas Sci. Eng. 2018, 52, 267–282. [Google Scholar] [CrossRef]
- Santos, J.C.; Marcondes, F.; Gurgel, J.M. Performance analysis of a new tank configuration applied to the natural gas storage systems by adsorption. Appl. Therm. Eng. 2009, 29, 2365–2372. [Google Scholar] [CrossRef]
- Santos, J.C.; Gurgel, J.M.; Marcondes, F. Analysis of a new methodology applied to the desorption of natural gas in activated carbon vessels. Appl. Therm. Eng. 2014, 73, 931–939. [Google Scholar] [CrossRef]
- Kanonchik, L.E.; Vasiliev, L.L. Charge dynamics of a low-pressure natural gas accumulator with solid adsorbent, novel thermosyphon and recirculation loop. Int. J. Heat Mass Transf. 2019, 143, 118374. [Google Scholar] [CrossRef]
- Hirata, S.C.; Couto, P.; Lara, L.G.; Cotta, R.M. Modeling and hybrid simulation of slow discharge process of adsorbed methane tanks. Int. J. Therm. Sci. 2009, 48, 1176–1183. [Google Scholar] [CrossRef]
- Basumatary, R.; Dutta, P.; Prasad, M.; Srinivasan, K. Thermal modeling of activated carbon based adsorptive natural gas storage system. Carbon 2005, 43, 541–549. [Google Scholar] [CrossRef]
- Mirzaei, S.; Shahsavand, A.; Ahmadpour, A.; Asil, A.G.; Arami-Niya, A. Dynamic simulation and experimental performance of an adsorbed natural gas system under variable charging conditions. Appl. Therm. Eng. 2022, 206, 118067. [Google Scholar] [CrossRef]
- da Silva, M.J.M.; Sphaier, L.A. Dimensionless lumped formulation for performance assessment of adsorbed natural gas storage. Appl. Energy 2010, 87, 1572–1580. [Google Scholar] [CrossRef]
- Strizhenov, E.M.; Chugaev, S.S.; Shelyakin, I.D.; Shkolin, A.V.; Men’shchikov, I.E.; Zherdev, A.A. Numerical modeling of heat and mass transfer in an adsorbed natural gas storage tank with monolithic active carbon during charging and discharging processes. Heat Mass Transf. 2022, 60, 1931–1944. [Google Scholar] [CrossRef]
- Grande, C.A.; Kaiser, A.; Andreassen, K.A. Methane storage in metal-organic framework HKUST-1 with enhanced heat management using 3D printed metal lattices. Chem. Eng. Res. Des. 2023, 192, 362–370. [Google Scholar] [CrossRef]
- Grande, C.A.; Vistad, Ø. Adequacy versus complexity of mathematical models for engineering an adsorbed natural gas device. J. Energy Storage 2020, 28, 101200. [Google Scholar] [CrossRef]
- Zhuo, Y.; Jung, S.; Shen, Y. Numerical study of hydrogen desorption in an innovative metal hydride hydrogen storage tank. Energy Fuels 2021, 35, 10908–10917. [Google Scholar] [CrossRef]
- Chaudhary, A.; Gautam; Sahoo, S. Thermal management and optimization of the reactor geometry for adsorbed natural gas storage systems subjected to free convection and radiative environment. Gas Sci. Eng. 2023, 109, 104851. [Google Scholar] [CrossRef]
- Prado, D.S.; Amigo, R.C.R.; Paiva, J.L.; Silva, E.C.N. Analysis of convection enhancing complex shaped adsorption vessels. Appl. Therm. Eng. 2018, 141, 352–367. [Google Scholar] [CrossRef]
- Zheng, Q.R.; Zhu, Z.W.; Feng, Y.L.; Wang, X.H. Development of composite adsorbents and storage vessels for domestically used adsorbed natural gas. Appl. Therm. Eng. 2016, 98, 778–785. [Google Scholar] [CrossRef]
- Strizhenov, E.M.; Shkolin, A.V.; Chugaev, S.S.; Men’shchikov, I.E.; Solovtsova, O.V.; Shiryaev, A.A.; Nickolsky, M.S. Adsorbed natural gas storage facility based on activated carbon of wood waste origin. Adsorption 2023, 29, 291–307. [Google Scholar] [CrossRef]
- Strizhenov, E.M.; Zherdev, A.A.; Petrochenko, R.V.; Zhidkov, D.A.; Kuznetsov, R.A.; Chugaev, S.S.; Podchufarov, A.A.; Kurnasov, D.V. A study of methane storage characteristics of compacted adsorbent AU-1. Chem. Pet. Eng. 2017, 52, 838–845. [Google Scholar] [CrossRef]
- Byamba-Ochir, N.; Shim, W.G.; Balathanigaimani, M.S.; Moon, M. High density mongolian anthracite based porous carbon monoliths for methane storage by adsorption. Appl. Energy 2017, 190, 257–265. [Google Scholar] [CrossRef]
- Rash, T.; Gillespie, A.; Holbrook, B.P.; Hiltzik, L.H.; Romanos, J.; Soo, Y.C.; Sweany, S.; Pfeifer, P. Microporous carbon monolith synthesis and production for methane storage. Fuel 2017, 200, 371–379. [Google Scholar] [CrossRef]
- Biloe, S.; Goetz, V.; Mauran, S. Characterization of adsorbent composite blocks for methane storage. Carbon 2001, 39, 1653–1662. [Google Scholar] [CrossRef]
- Zhao, G.; Zheng, Q.; Zhang, X.; Zhang, W. Adsorption equilibrium and the effect of honeycomb heat exchanging device on charge/discharge characteristic of methane on MIL-101(Cr) and activated carbon. Chin. J. Chem. Eng. 2020, 28, 1964–1972. [Google Scholar] [CrossRef]
- Prosniewski, M.; Rash, T.; Romanos, J.; Gillespie, A.; Stalla, D.; Knight, E.; Smith, A.; Pfeifer, P. Effect of cycling and thermal control on the storage and dynamics of a 40-L monolithic adsorbed natural gas tank. Fuel 2019, 244, 447–453. [Google Scholar] [CrossRef]
- Bell, I.H.; Wronski, J.; Quoilin, S.; Lemort, V. Pure and pseudo-pure fluid thermophysical property evaluation and the open-source thermophysical property library CoolProp. Ind. Eng. Chem. Res. 2014, 53, 2498–2508. [Google Scholar] [CrossRef]
- Dubinin, M.M. Physical adsorption of gases and vapors in micropores. Prog. Surf. Membr. Sci. 1975, 9, 1–70. [Google Scholar] [CrossRef]
- Brunauer, S.; Emmett, P.H.; Teller, E. Adsorption of gases in multimolecular layers. J. Am. Chem. Soc. 1938, 60, 309–319. [Google Scholar] [CrossRef]
- Rouquerol, J.; Llewellyn, P.; Rouquerol, F. Is the BET equation applicable to microporous adsorbents? Stud. Surf. Sci. Catal. 2007, 160, 49–56. [Google Scholar] [CrossRef]
- Ravikovitch, P.I.; Vishnyakov, A.; Russo, R.; Neimark, A.V. Unified approach to pore size characterization of microporous carbonaceous materials from N2, Ar, and CO2 adsorption isotherms. Langmuir 2000, 16, 2311–2320. [Google Scholar] [CrossRef]
- Fomkin, A.A.; Shkolin, A.V.; Men’shchikov, I.E.; Pulin, A.L.; Pribylov, A.A.; Smirnov, I.A. Measurement of adsorption of methane at high pressures for alternative energy systems. Meas. Tech. 2016, 58, 1387–1391. [Google Scholar] [CrossRef]
- Thommes, M.; Kaneko, K.; Neimark, A.V.; Oliver, J.P.; Rodrigues-Reinoso, F.; Rouquerol, J.; Sing, K. Physisorption of gases, with special reference to the evaluation of surface area and pore size distribution (IUPAC Technical Report). Pure Appl. Chem. 2015, 87, 1051–1069. [Google Scholar] [CrossRef]
- Dubinin, M.M. Fundamentals of the theory of adsorption in micropores of carbon adsorbents: Characteristics of their adsorption properties and microporous structures. Carbon 1989, 27, 457–467. [Google Scholar] [CrossRef]
- Hill, T.L. Theory of physical adsorption. Adv. Catal. 1952, 4, 211–258. [Google Scholar] [CrossRef]
- Fomkin, A.A. Adsorption of gases, vapors and liquids by microporous adsorbents. Adsorption 2005, 11, 425–436. [Google Scholar] [CrossRef]
- Vasiliev, L.L.; Kanonchik, L.E.; Rabetsky, M.I. Thermally regulated cylinder for adsorption storage of a hydrogenous gas. Int. J. Heat Mass Transf. 2014, 71, 125–132. [Google Scholar] [CrossRef]

















| Conditions | Parameter | Charging | Discharging |
|---|---|---|---|
| Initial conditions | Initial temperature in the ANG storage tank, °C | 19.5 | var |
| Initial pressure in the ANG storage tank, kPa | 248 | 9895 | |
| Initial temperature in the U-shaped internal heat exchanger, °C | 19.5 | var | |
| Initial pressure in the U-shaped internal heat exchanger, kPa | 101 | 101 | |
| Boundary conditions | Inlet pressure | var | var |
| Gas temperature at the inlet/outlet of the ANG storage tank, °C | 19.7 | - | |
| Heat transfer coefficient on the outer heat-insulated surface of the ANG storage tank, W m−2 K−1 | 3.4 | 3.4 | |
| Heat transfer coefficient on the outer surface of the ANG storage tank with a coil external heat exchanger, W m−2 K−1 | 11 | 11 | |
| Temperature at the inlet to the U-shaped internal heat exchanger, °C | 20 | 23 | |
| Ethanol flow rate in the U-shaped internal heat exchanger, l min−1 | 5.2 | 5.2 | |
| External conditions | Ambient temperature | var | var |
| Conditions | Parameter | Values |
|---|---|---|
| Initial conditions | Initial temperature in the ANG storage tank, °C | 20 |
| Initial pressure in the ANG storage tank, kPa | 101 | |
| Initial temperature in axial internal heat exchanger, °C | 20 | |
| Initial pressure in axial internal heat exchanger, kPa | 101 | |
| Initial equilibrium adsorption, mmol g−1 | 1.2 | |
| Boundary conditions | Gas flow rate during charging, kg h−1 | 20 |
| Gas flow rate during discharging, kg h−1 | 1; 2; 4; 8 | |
| Gas temperature at the inlet of the ANG storage tank during charging, °C | 20 | |
| Heat transfer coefficient on the outer surface of the ANG storage tank, W m−2 K−1 | 8 | |
| Temperature at the inlet to the axial internal heat exchanger during charging, °C | −10 | |
| Temperature at the inlet to the axial internal heat exchanger during discharging, °C | 70 | |
| Ethanol flow rate in axial internal heat exchanger, L min−1 | 9.2 | |
| External conditions | Ambient temperature, °C | 20 |
| Adsorbent | W0, cm3 g−1 | E0, kJ mol−1 | D0, nm | SBET, m2 g−1 | Ws, cm3 g−1 | Wme, cm3 g−1 | d, kg m−3 | , W m−1 k−1 |
|---|---|---|---|---|---|---|---|---|
| KS-HA | 0.65 | 20.1 */15.1 ** | 1.20 */1.58 ** | 1490 | 0.68 | 0.03 | 370 | 0.123 |
| KS-HAM | 0.60 | 20.1 */15.4 ** | 1.20 */1.58 ** | 1380 | 0.63 | 0.03 | 710 | 0.326 |
| AC-90S | 0.64 | 20.1 */15.1 ** | 1.20 */1.60 ** | 1470 | 0.66 | 0.02 | 380 | 0.122 |
| AC-90SM | 0.54 | 19.7 */17.5 ** | 1.20 */1.60 ** | 1240 | 0.56 | 0.02 | 730 | 0.330 |
Disclaimer/Publisher’s Note: The statements, opinions and data contained in all publications are solely those of the individual author(s) and contributor(s) and not of MDPI and/or the editor(s). MDPI and/or the editor(s) disclaim responsibility for any injury to people or property resulting from any ideas, methods, instructions or products referred to in the content. |
© 2024 by the authors. Licensee MDPI, Basel, Switzerland. This article is an open access article distributed under the terms and conditions of the Creative Commons Attribution (CC BY) license (https://creativecommons.org/licenses/by/4.0/).
Share and Cite
Chugaev, S.S.; Men’shchikov, I.E.; Shelyakin, I.D.; Strizhenov, E.M.; Grinchenko, A.E.; Shkolin, A.V.; Fomkin, A.A. Thermodynamic Analysis of Cyclic Operation of On-Board Nanoporous Carbon-Based Adsorbed Methane Storage Tank with Various Thermal Control Systems. ChemEngineering 2024, 8, 128. https://doi.org/10.3390/chemengineering8060128
Chugaev SS, Men’shchikov IE, Shelyakin ID, Strizhenov EM, Grinchenko AE, Shkolin AV, Fomkin AA. Thermodynamic Analysis of Cyclic Operation of On-Board Nanoporous Carbon-Based Adsorbed Methane Storage Tank with Various Thermal Control Systems. ChemEngineering. 2024; 8(6):128. https://doi.org/10.3390/chemengineering8060128
Chicago/Turabian StyleChugaev, Sergey S., Ilya E. Men’shchikov, Igor D. Shelyakin, Evgeny M. Strizhenov, Alexander E. Grinchenko, Andrey V. Shkolin, and Anatoly A. Fomkin. 2024. "Thermodynamic Analysis of Cyclic Operation of On-Board Nanoporous Carbon-Based Adsorbed Methane Storage Tank with Various Thermal Control Systems" ChemEngineering 8, no. 6: 128. https://doi.org/10.3390/chemengineering8060128
APA StyleChugaev, S. S., Men’shchikov, I. E., Shelyakin, I. D., Strizhenov, E. M., Grinchenko, A. E., Shkolin, A. V., & Fomkin, A. A. (2024). Thermodynamic Analysis of Cyclic Operation of On-Board Nanoporous Carbon-Based Adsorbed Methane Storage Tank with Various Thermal Control Systems. ChemEngineering, 8(6), 128. https://doi.org/10.3390/chemengineering8060128

