Data-Driven Monitoring of Probiotic Fermentation in Fruit Juices Using Near-Infrared Spectroscopy and Aquaphotomics: An Innovative Approach to Food Valorization
Abstract
1. Introduction
2. Materials and Methods
2.1. Materials and Media for Culture
2.2. Microorganisms
2.3. Preparation of Probiotic Fruit Juices
2.4. Applied Methods
2.4.1. Determination of pH
2.4.2. Determination of Probiotic Cell Count
2.4.3. Acquisition of the Spectra
2.4.4. Statistical Analyses
Evaluation of pH and Cell Count
Evaluation of the Spectral Data
Evaluation of the Aquagrams
3. Results and Discussion
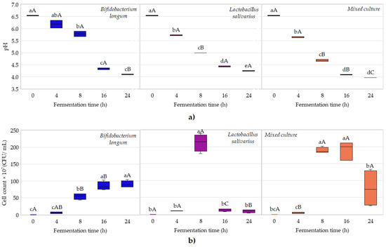
3.1. Changes in the Quality Characteristics of the Probiotic Fruit Juices
3.2. Results of NIR Spectroscopy Analysis of the Probiotic Fruit Juices
3.2.1. Preliminary Inspection of the NIR Spectra of the Probiotic Fruit Juices
3.2.2. Principal Component Analysis of the NIR Spectra of Probiotic Fruit Juices
3.2.3. Linear Discriminant Analysis of the NIR Spectra of the Probiotic Fruit Juices
3.2.4. Aquagrams
4. Conclusions
Author Contributions
Funding
Data Availability Statement
Acknowledgments
Conflicts of Interest
References
- Binda, S.; Hill, C.; Johansen, E.; Obis, D.; Pot, B.; Sanders, M.E.; Tremblay, A.; Ouwehand, A.C. Criteria to Qualify Microorganisms as “Probiotic” in Foods and Dietary Supplements. Front. Microbiol. 2020, 11, 563305. [Google Scholar] [CrossRef]
- Hill, C.; Guarner, F.; Reid, G.; Gibson, G.R.; Merenstein, D.J.; Pot, B.; Morelli, L.; Canani, R.B.; Flint, H.J.; Salminen, S.; et al. The International Scientific Association for Probiotics and Prebiotics Consensus Statement on the Scope and Appropriate Use of the Term Probiotic. Nat. Rev. Gastroenterol. Hepatol. 2014, 11, 506–514. [Google Scholar] [CrossRef]
- Wang, Y.; Wu, J.; Lv, M.; Shao, Z.; Hungwe, M.; Wang, J.; Bai, X.; Xie, J.; Wang, Y.; Geng, W. Metabolism Characteristics of Lactic Acid Bacteria and the Expanding Applications in Food Industry. Front. Bioeng. Biotechnol. 2021, 9, 612285. [Google Scholar] [CrossRef]
- Sionek, B.; Szydłowska, A.; Trząskowska, M.; Kołożyn-Krajewska, D. The Impact of Physicochemical Conditions on Lactic Acid Bacteria Survival in Food Products. Fermentation 2024, 10, 298. [Google Scholar] [CrossRef]
- Pimentel, T.C.; Klososki, S.J.; Rosset, M.; Barão, C.E.; Marcolino, V.A. Fruit Juices as Probiotic Foods. Sports Energy Drink. 2019, 10, 483–513. [Google Scholar] [CrossRef]
- Chiu, S.-H.; Chen, C.-C.; Wang, L.-T.; Huang, L. Whole-Genome Sequencing of Lactobacillus salivarius Strains BCRC 14759 and BCRC 12574. Genome Announc. 2017, 5, 10–1128. [Google Scholar] [CrossRef]
- Fernandes Pereira, A.L.; Rodrigues, S. Turning Fruit Juice into Probiotic Beverages. In Fruit Juices; Elsevier: Amsterdam, The Netherlands, 2018; pp. 279–287. [Google Scholar] [CrossRef]
- Zarour, K.; Vieco, N.; Pérez-Ramos, A.; Nácher-Vázquez, M.; Mohedano, M.L.; López, P. Food Ingredients Synthesized by Lactic Acid Bacteria. In Microbial Production of Food Ingredients and Additives; Elsevier: Amsterdam, The Netherlands, 2017; pp. 89–124. [Google Scholar] [CrossRef]
- White, J.; Hekmat, S. Development of Probiotic Fruit Juices Using Lactobacillus rhamnosus GR-1 Fortified with Short Chain and Long Chain Inulin Fiber. Fermentation 2018, 4, 27. [Google Scholar] [CrossRef]
- Johnson, J.B.; El Orche, A.; Naiker, M. Prediction of Anthocyanin Content and Variety in Plum Extracts Using ATR-FTIR Spectroscopy and Chemometrics. Vib. Spectrosc. 2022, 121, 103406. [Google Scholar] [CrossRef]
- Liu, G.; Wei, P.; Tang, Y.; Pang, Y.; Sun, J.; Li, J.; Rao, C.; Wu, C.; He, X.; Li, L.; et al. Evaluation of Bioactive Compounds and Bioactivities in Plum (Prunus Salicina Lindl.) Wine. Front. Nutr. 2021, 8, 766415. [Google Scholar] [CrossRef]
- Damar, İ.; Ekşi, A. Antioxidant Capacity and Anthocyanin Profile of Sour Cherry (Prunus cerasus L.) Juice. Food Chem. 2012, 135, 2910–2914. [Google Scholar] [CrossRef]
- Włodarska, K.; Szulc, J.; Khmelinskii, I.; Sikorska, E. Non-Destructive Determination of Strawberry Fruit and Juice Quality Parameters Using Ultraviolet, Visible, and Near-Infrared Spectroscopy. J. Sci. Food Agric. 2019, 99, 5953–5961. [Google Scholar] [CrossRef]
- Leopold, L.F.; Leopold, N.; Diehl, H.A.; Socaciu, C. Quantification of Carbohydrates in Fruit Juices Using FTIR Spectroscopy and Multivariate Analysis. Spectroscopy 2011, 26, 93–104. [Google Scholar] [CrossRef]
- Tamburini, E.; Marchetti, M.G.; Pedrini, P. Monitoring Key Parameters in Bioprocesses Using Near-Infrared Technology. Sensors 2014, 14, 18941. [Google Scholar] [CrossRef]
- Jiang, W.; Goncalves, J.; Kostakos, V. Mobile Near-Infrared Sensing—A Systematic Review on Devices, Data, Modeling, and Applications. ACM Comput. Surv. 2024, 56, 1–36. [Google Scholar] [CrossRef]
- Tsenkova, R.; Munćan, J.; Pollner, B.; Kovacs, Z. Essentials of Aquaphotomics and Its Chemometrics Approaches. Front. Chem. 2018, 6, 363. [Google Scholar] [CrossRef]
- Kovacs, Z.; Slavchev, A.; Bazar, G.; Pollner, B.; Tsenkova, R. Rapid Bacteria Selection Using Aquaphotomics and Near Infrared Spectroscopy. In Proceedings of the 18th International Conference on Near Infrared Spectroscopy, Copenhagen, Denmark, 11–15 June 2017; pp. 65–69. [Google Scholar]
- Muncan, J.; Tei, K.; Tsenkova, R. Real-Time Monitoring of Yogurt Fermentation Process by Aquaphotomics Near-Infrared Spectroscopy. Sensors 2021, 21, 177. [Google Scholar] [CrossRef]
- Slavchev, A.; Kovacs, Z.; Koshiba, H.; Nagai, A.; Bázár, G.; Krastanov, A.; Kubota, Y.; Tsenkova, R. Monitoring of Water Spectral Pattern Reveals Differences in Probiotics Growth When Used for Rapid Bacteria Selection. PLoS ONE 2015, 10, e0130698. [Google Scholar] [CrossRef]
- Slavchev, A.; Kovacs, Z.; Koshiba, H.; Bazar, G.; Pollner, B.; Krastanov, A.; Tsenkova, R. Monitoring of Water Spectral Patterns of Lactobacilli Development as a Tool for Rapid Selection of Probiotic Candidates. J. Near Infrared Spectrosc. 2017, 25, 423–431. [Google Scholar] [CrossRef]
- Aguinaga Bósquez, J.P.; Oǧuz, E.; Cebeci, A.; Majadi, M.; Kiskó, G.; Gillay, Z.; Kovacs, Z. Characterization and Viability Prediction of Commercial Probiotic Supplements under Temperature and Concentration Conditioning Factors by NIR Spectroscopy. Fermentation 2022, 8, 66. [Google Scholar] [CrossRef]
- Piepho, H.P. An Algorithm for a Letter-Based Representation of All-Pairwise Comparisons. J. Comput. Graph. Stat. 2004, 13, 456–466. [Google Scholar] [CrossRef]
- Assaad, H.I.; Zhou, L.; Carroll, R.J.; Wu, G. Rapid Publication-Ready MS-Word Tables for One-Way ANOVA. Springerplus 2014, 3, 474. [Google Scholar] [CrossRef]
- Pollner, B.; Kovacs, Z. Aquaphotomics-Software R-Package “aquap2”. In Proceedings of the Understanding Water in Biology 2nd International Symposium, Kobe, Japan, 26–29 November 2016; pp. 26–29. [Google Scholar]
- Tsenkova, R. Introduction: Aquaphotomics: Dynamic Spectroscopy of Aqueous and Biological Systems Describes Peculiarities of Water. J. Near Infrared Spectrosc. 2009, 17, 303–313. [Google Scholar] [CrossRef]
- Muncan, J.; Tsenkova, R. Aquaphotomics-From Innovative Knowledge to Integrative Platform in Science and Technology. Molecules 2019, 24, 2742. [Google Scholar] [CrossRef]
- Havas, P.; Kun, S.; Perger-Mészáros, I.; Rezessy-Szabó, J.M.; Nguyen, Q.D. Performances of New Isolates of Bifidobacterium on Fermentation of Soymilk. Acta Microbiol. Immunol. Hung. 2015, 62, 463–475. [Google Scholar] [CrossRef]
- Tran, A.M.; Nguyen, T.B.; Nguyen, V.D.; Bujna, E.; Dam, M.S.; Nguyen, Q.D. Changes in Bitterness, Antioxidant Activity and Total Phenolic Content of Grapefruit Juice Fermented by Lactobacillus and Bifidobacterium Strains. Acta Aliment. 2020, 49, 103–110. [Google Scholar] [CrossRef]
- Suido, H.; Miyao, M. Bifidobacterium Longum-Fermented Broccoli Supernatant Inhibited the Growth of Candida albicans and Some Pathogenic Bacteria In Vitro. Biocontrol Sci. 2008, 13, 41–48. [Google Scholar] [CrossRef][Green Version]
- Mourad, R.; Aljanabi, I.; Csehi, B.; Hidas, K.; Kókai, Z.; Friedrich, L.; Németh, C.; Gupta, V.K.; Gábor, S.; Alpár, B.; et al. Simultaneous Blending and Fermentation of ToTuTM an Egg-White Drink with Different Fruit Juices and Probiotic Lactic Acid Bacteria. Food Bioprod. Process. 2025, 150, 198–206. [Google Scholar] [CrossRef]
- Maier, R.M. Bacterial Growth. In Environmental Microbiology; Elsevier: Amsterdam, The Netherlands, 2015; pp. 37–56. [Google Scholar] [CrossRef]
- Muncan, J.; Aouadi, B.; Tsenkova, R. New Perspectives in Plant and Plant-Based Food Quality Determination: Aquaphotomics. In Plant-Based Bioactives, Functional Foods, Beverages and Medicines: Processing, Analysis and Health Benefit; Goyal, M., Kovacs, Z., Nath, A., Suleria, H., Eds.; Apple Academic Press, Inc. Under Taylor & Francis Group: Palm Bay, FL, USA, 2021. [Google Scholar]
- Koshiba, H.; Kovacs, Z.; Slavchev, A.; Tsenkova, R. Identification of Probiotic Bacteria by Aquaphotomics. In Proceedings of the 73th Annual Meeting of the Japan Society of Agricultural Machinery and Food Engineers, Okinawa, Japan, 16 May 2014; p. 273. [Google Scholar]
- Koshiba, H.; Slavchev, A.; Kovacs, Z.; Kubota, Y.; Tsenkova, R. Easy and Rapid Screening of Probiotic Strains. J. Jpn. Soc. Agric. Mach. Food Eng. 2015, 77, 146–150. [Google Scholar]
- Tsenkova, R. AquaPhotomics: Water Absorbance Pattern as a Biological Marker for Disease Diagnosis and Disease Understanding. NIR News 2007, 18, 14. [Google Scholar] [CrossRef]
- Tsenkova, R. Aquaphotomics: Dynamic Spectroscopy of Aqueous and Biological Systems Describes Peculiarities of Water. J. Near Infrared Spectrosc. 2010, 314, 303–313. [Google Scholar] [CrossRef]
- Segtnan, V.H.; Šašić, Š.; Isaksson, T.; Ozaki, Y. Studies on the Structure of Water Using Two-Dimensional Near-Infrared Correlation Spectroscopy and Principal Component Analysis. Anal. Chem. 2001, 73, 3153–3161. [Google Scholar] [CrossRef] [PubMed]
- Tsenkova, R.N.; Iordanova, I.K.; Toyoda, K.; Brown, D.R. Prion Protein Fate Governed by Metal Binding. Biochem. Biophys. Res. Commun. 2004, 325, 1005–1012. [Google Scholar] [CrossRef] [PubMed]










Disclaimer/Publisher’s Note: The statements, opinions and data contained in all publications are solely those of the individual author(s) and contributor(s) and not of MDPI and/or the editor(s). MDPI and/or the editor(s) disclaim responsibility for any injury to people or property resulting from any ideas, methods, instructions or products referred to in the content. |
© 2025 by the authors. Licensee MDPI, Basel, Switzerland. This article is an open access article distributed under the terms and conditions of the Creative Commons Attribution (CC BY) license (https://creativecommons.org/licenses/by/4.0/).
Share and Cite
Regatieri, L.; Vitalis, F.; Bujna, E.; Nguyen, Q.D.; Kovacs, Z. Data-Driven Monitoring of Probiotic Fermentation in Fruit Juices Using Near-Infrared Spectroscopy and Aquaphotomics: An Innovative Approach to Food Valorization. Foods 2025, 14, 1274. https://doi.org/10.3390/foods14071274
Regatieri L, Vitalis F, Bujna E, Nguyen QD, Kovacs Z. Data-Driven Monitoring of Probiotic Fermentation in Fruit Juices Using Near-Infrared Spectroscopy and Aquaphotomics: An Innovative Approach to Food Valorization. Foods. 2025; 14(7):1274. https://doi.org/10.3390/foods14071274
Chicago/Turabian StyleRegatieri, Lueji, Flora Vitalis, Erika Bujna, Quang Duc Nguyen, and Zoltan Kovacs. 2025. "Data-Driven Monitoring of Probiotic Fermentation in Fruit Juices Using Near-Infrared Spectroscopy and Aquaphotomics: An Innovative Approach to Food Valorization" Foods 14, no. 7: 1274. https://doi.org/10.3390/foods14071274
APA StyleRegatieri, L., Vitalis, F., Bujna, E., Nguyen, Q. D., & Kovacs, Z. (2025). Data-Driven Monitoring of Probiotic Fermentation in Fruit Juices Using Near-Infrared Spectroscopy and Aquaphotomics: An Innovative Approach to Food Valorization. Foods, 14(7), 1274. https://doi.org/10.3390/foods14071274

