Gut Microbiota and Neurotransmitter Regulation: Functional Effects of Four Traditional Chinese Fermented Soybean (Sojae Semen Praeparatum)
Abstract
1. Introduction
2. Materials and Methods
2.1. Material and Reagents
2.2. The Fermenting Processes of SSP
2.3. Extract and Analysis of SSPs
2.4. Animals
2.5. Analysis of Neurotransmitter in Serum
2.6. Fecal Bacteria DNA Extraction and 16S rRNA Gene Sequencing
2.7. Quality Control and Species Annotation
2.8. Variance Analysis
2.9. Diversity Analysis
2.10. Association Analysis
2.11. Function Analysis
2.12. Statistical Analysis
3. Result
3.1. The Differential Contents of Daidzein, Glycitein, and Genistein in SSPs
3.2. The Differential Contents of Amino Acid in SSPs
3.3. Dynamic Changes in the Diversity and Profile of the Gut Microbiota over Time
3.4. Gut Microbiota Shifts Induced by Fermented and Unfermented Soybeans in Rats
3.5. Extended SSPs Ingestion Boosts Gut Microbiota Differences
3.6. SSPs’ Impact on Neurotransmitters and the Correlation Between Gut Microbiota, Neurotransmitters, and Isoflavones
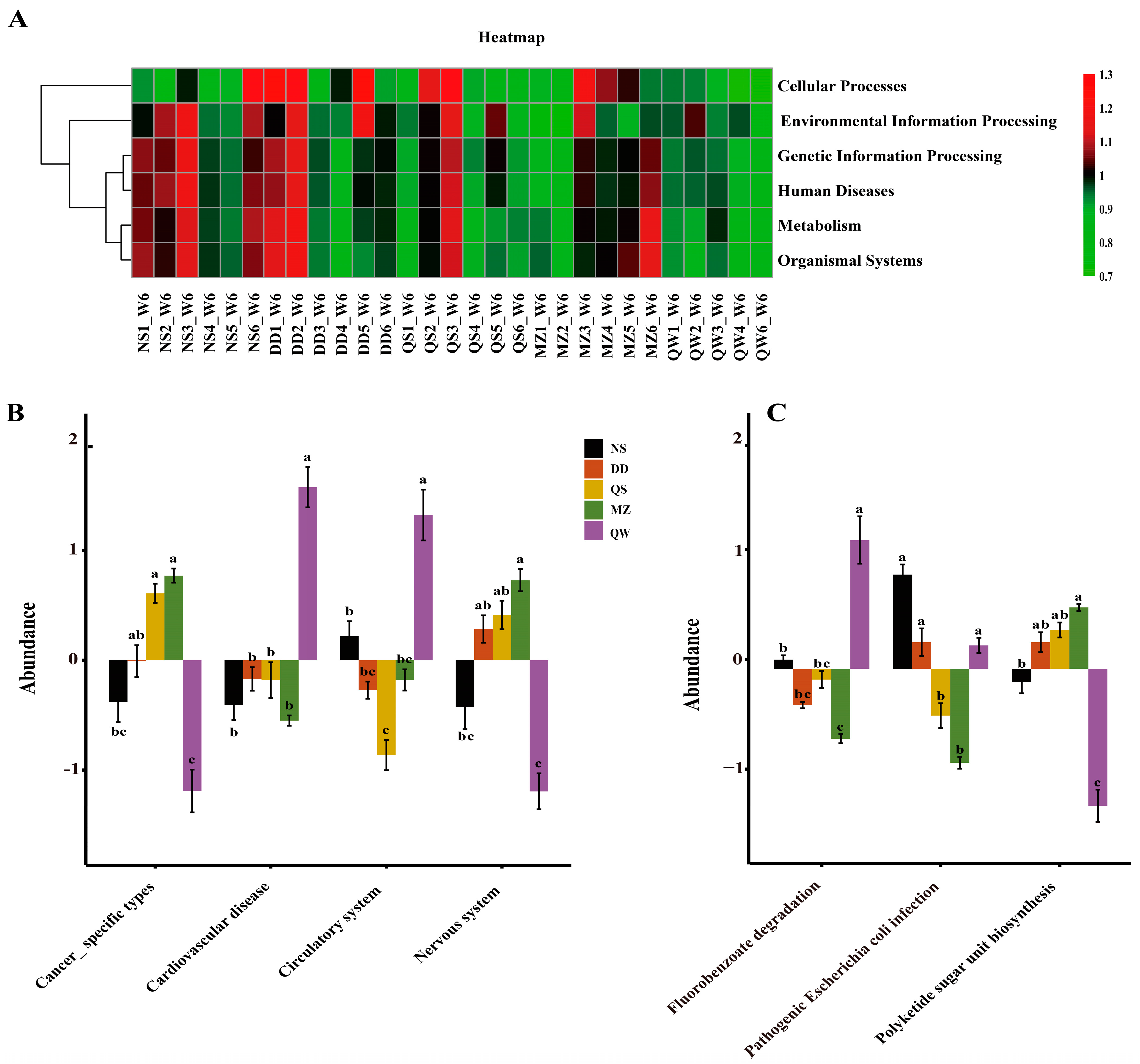
3.7. Bacterial Functions
4. Discussion
5. Conclusions
Supplementary Materials
Author Contributions
Funding
Institutional Review Board Statement
Informed Consent Statement
Data Availability Statement
Acknowledgments
Conflicts of Interest
References
- Das, G.; Paramithiotis, S.; Sundaram, S.B.; Wijaya, C.H.; Suharta, S.; Sanlier, N.; Shin, H.S.; Patra, J.K. Traditional fermented foods with anti-aging effect: A concentric review. Food Res. Int. 2020, 134, 109269. [Google Scholar] [CrossRef] [PubMed]
- Mukherjee, A.; Breselge, S.; Dimidi, E.; Marco, M.L.; Cotter, P.D. Fermented foods and gastrointestinal health: Underlying mechanisms. Nat. Rev. Gastroenterol. Hepatol. 2024, 21, 248–266. [Google Scholar] [CrossRef] [PubMed]
- Aslam, H.; Green, J.; Jacka, F.N.; Collier, F.; Berk, M.; Pasco, J.; Dawson, S.L. Fermented foods, the gut and mental health: A mechanistic overview with implications for depression and anxiety. Nutr. Neurosci. 2020, 23, 659–671. [Google Scholar] [CrossRef]
- Sanlier, N.; Gokcen, B.B.; Sezgin, A.C. Health benefits of fermented foods. Crit. Rev. Food Sci. Nutr. 2019, 59, 506–527. [Google Scholar] [CrossRef] [PubMed]
- Shahbazi, R.; Sharifzad, F.; Bagheri, R.; Alsadi, N.; Yasavoli-Sharahi, H.; Matar, C. Anti-Inflammatory and Immunomodulatory Properties of Fermented Plant Foods. Nutrients 2021, 13, 1516. [Google Scholar] [CrossRef]
- Sivamaruthi, B.S.; Kesika, P.; Prasanth, M.I.; Chaiyasut, C. A Mini Review on Antidiabetic Properties of Fermented Foods. Nutrients 2018, 10, 1973. [Google Scholar] [CrossRef]
- Riciputi, Y.; Serrazanetti, D.I.; Verardo, V.; Vannini, L.; Caboni, M.F.; Lanciotti, R. Effect of fermentation on the content of bioactive compounds in tofu-type products. J. Funct. Food 2016, 27, 131–139. [Google Scholar] [CrossRef]
- An, M.; Xu, Y.; Xiao, N.; Huang, J.; Wu, S.; Zhuo, Q.; Lai, Y.; Chen, J.; Li, P.; Du, B. Douchi ameliorates high-fat diet-induced hyperlipidaemia by regulation of intestinal microflora in rats. Int. J. Food Sci. Technol. 2022, 57, 2756–2769. [Google Scholar] [CrossRef]
- Chen, Y.; Xiao, N.; Chen, Y.; Chen, X.; Zhong, C.; Cheng, Y.; Du, B.; Li, P. Semen Sojae Praeparatum alters depression-like behaviors in chronic unpredictable mild stress rats via intestinal microbiota. Food Res. Int. 2021, 150, 110808. [Google Scholar] [CrossRef] [PubMed]
- Huang, W.; Deng, Z.; Lu, L.; Ouyang, Y.; Zhong, S.; Luo, T.; Fan, Y.; Zheng, L. Polysaccharides from soybean residue fermented by Neurospora crassa alleviate DSS-induced gut barrier damage and microbiota disturbance in mice. Food Funct. 2022, 13, 5739–5751. [Google Scholar] [CrossRef]
- Stephanie, S.; Ratih, N.K.; Soka, S.; Suwanto, A. Effect of Tempeh Supplementation on the Profiles of Human Intestinal Immune System and Gut Microbiota. Microbiol. Indones. 2017, 11, 11–17. [Google Scholar] [CrossRef]
- Xiong, J.J.; Ren, J.X.; Zhou, S.H.; Su, M.S.; Wang, L.Y.; Weng, M.Z.; Xie, W.H.; Xie, X.M. Screening and identification of GABA-producing microbes in fermentation process of Sojae Semen Praeparatum. China J. Chin. Mater. Med. 2019, 44, 2266–2273. [Google Scholar]
- Ko, C.Y.; Lin, H.V.; Tsai, G.J. Gamma-aminobutyric acid production in black soybean milk by Lactobacillus brevis FPA 3709 and the antidepressant effect of the fermented product on a forced swimming rat model. Process Biochem. 2013, 48, 559–568. [Google Scholar] [CrossRef]
- Qiao, Y.; Zhang, K.; Zhang, Z.; Zhang, C.; Sun, Y.; Feng, Z. Fermented soybean foods: A review of their functional components, mechanism of action and factors influencing their health benefits. Food Res. Int. 2022, 158, 111575. [Google Scholar] [CrossRef] [PubMed]
- Zaheer, K.; Humayoun, A.M. An updated review of dietary isoflavones: Nutrition, processing, bioavailability and impacts on human health. Crit. Rev. Food Sci. Nutr. 2017, 57, 1280–1293. [Google Scholar] [CrossRef]
- Lu, C.; Wang, Y.; Wang, D.; Zhang, L.; Lv, J.; Jiang, N.; Fan, B.; Liu, X.; Wang, F. Neuroprotective Effects of Soy Isoflavones on Scopolamine-Induced Amnesia in Mice. Nutrients. 2018, 10, 853. [Google Scholar] [CrossRef]
- National Pharmacopoeia Commission. Pharmacopoeia of the People’s Republic of China; China Medical Science and Technology Press: Beijing, China, 2020; Volume 1, pp. 342–343. [Google Scholar]
- Yang, Q.; Tian, L.; Li, S.; Huo, J.; Jiang, Y.; Chen, L.; Wang, W. Semen Sojae Praeparatum improves anxiety in mice by inhibiting HPA axis hyperactivity and modulating gut microbiota. J. Funct. Food 2022, 98, 105282. [Google Scholar] [CrossRef]
- Wang, S.Q.; Wang, M.Y.; Guan, H.; Ruan, J.Q.; Shi, H.N. History of processing of Sojae Semen Praeparatum. China J. Chin. Mater. Med. 2018, 43, 1985–1989. [Google Scholar]
- Zhang, D.; Wang, S.; Xie, Z.; Zhao, X.; Zhang, X. Influence of adding ginseng to semen sojae preparatum on content of soybean isoflavones. Soybean Sci. 2012, 31, 288–290. [Google Scholar]
- Kuligowski, M.; Sobkowiak, D.; Polanowska, K.; Jasińska-Kuligowska, I. Effect of different processing methods on isoflavone content in soybeans and soy products. J. Food Compos. Anal. 2022, 110, 104535. [Google Scholar] [CrossRef]
- Callahan, B.J.; McMurdie, P.J.; Rosen, M.J.; Han, A.W.; Johnson, A.J.; Holmes, S.P. DADA2: High-resolution sample inference from Illumina amplicon data. Nat. Methods. 2016, 13, 581–583. [Google Scholar] [CrossRef]
- Bokulich, N.A.; Kaehler, B.D.; Rideout, J.R.; Dillon, M.; Bolyen, E.; Knight, R.; Huttley, G.A.; Gregory, C.J. Optimizing taxonomic classification of marker-gene amplicon sequences with QIIME 2’s q2-feature-classifier plugin. Microbiome 2018, 6, 90. [Google Scholar] [CrossRef] [PubMed]
- Chen, X.; Lu, Y.; Zhao, A.; Wu, Y.; Zhang, Y.; Yang, X. Quantitative analyses for several nutrients and volatile components during fermentation of soybean by Bacillus subtilis natto. Food Chem. 2022, 374, 131725. [Google Scholar] [CrossRef] [PubMed]
- Wastyk, H.C.; Fragiadakis, G.K.; Perelman, D.; Dahan, D.; Merrill, B.D.; Yu, F.B.; Topf, M.; Gonzalez, C.G.; Van Treuren, W.; Han, S.; et al. Gut-microbiota-targeted diets modulate human immune status. Cell 2021, 184, 4137–4153. [Google Scholar] [CrossRef] [PubMed]
- Machate, D.J.; Figueiredo, P.S.; Marcelino, G.; Guimaraes, R.; Hiane, P.A.; Bogo, D.; Pinheiro, V.; Oliveira, L.; Pott, A. Fatty Acid Diets: Regulation of Gut Microbiota Composition and Obesity and Its Related Metabolic Dysbiosis. Int. J. Mol. Sci. 2020, 21, 4093. [Google Scholar] [CrossRef]
- Ley, R.E.; Turnbaugh, P.J.; Klein, S.; Gordon, J.I. Microbial ecology: Human gut microbes associated with obesity. Nature 2006, 444, 1022–1023. [Google Scholar] [CrossRef] [PubMed]
- Stojanov, S.; Berlec, A.; Strukelj, B. The Influence of Probiotics on the Firmicutes/Bacteroidetes Ratio in the Treatment of Obesity and Inflammatory Bowel disease. Microorganisms 2020, 8, 1715. [Google Scholar] [CrossRef]
- Ramirez-Puebla, S.T.; Servin-Garciduenas, L.E.; Jimenez-Marin, B.; Bolanos, L.M.; Rosenblueth, M.; Martinez, J.; Rogel, M.A.; Ormeno-Orrillo, E.; Martinez-Romero, E. Gut and root microbiota commonalities. Appl. Environ. Microbiol. 2013, 79, 2–9. [Google Scholar] [CrossRef]
- Wu, W.; Zhou, J.; Xuan, R.; Chen, J.; Han, H.; Liu, J.; Niu, T.; Chen, H.; Wang, F. Dietary κ-carrageenan facilitates gut microbiota-mediated intestinal inflammation. Carbohydr. Polym. 2022, 277, 118830. [Google Scholar] [CrossRef] [PubMed]
- Takeuchi, T.; Miyauchi, E.; Kanaya, T.; Kato, T.; Nakanishi, Y.; Watanabe, T.; Kitami, T.; Taida, T.; Sasaki, T.; Negishi, H.; et al. Acetate differentially regulates IgA reactivity to commensal bacteria. Nature 2021, 595, 560–564. [Google Scholar] [CrossRef]
- Hao, W.; Zhu, H.; Chen, J.; Kwek, E.; He, Z.; Liu, J.; Ma, N.; Ma, K.Y.; Chen, Z.Y. Wild Melon Seed Oil Reduces Plasma Cholesterol and Modulates Gut Microbiota in Hypercholesterolemic Hamsters. J. Agric. Food Chem. 2020, 68, 2071–2081. [Google Scholar] [CrossRef] [PubMed]
- Tamang, J.P.; Cotter, P.D.; Endo, A.; Han, N.S.; Kort, R.; Liu, S.Q.; Mayo, B.; Westerik, N.; Hutkins, R. Fermented foods in a global age: East meets West. Compr. Rev. Food. Sci. Food Saf. 2020, 19, 184–217. [Google Scholar] [CrossRef]
- Alcazar, M.; Escribano, J.; Ferre, N.; Closa-Monasterolo, R.; Selma-Royo, M.; Feliu, A.; Castillejo, G.; Luque, V. Gut microbiota is associated with metabolic health in children with obesity. Clin. Nutr. 2022, 41, 1680–1688. [Google Scholar] [CrossRef] [PubMed]
- Liu, X.; Mao, B.; Gu, J.; Wu, J.; Cui, S.; Wang, G.; Zhao, J.; Zhang, H.; Chen, W. Blautia-a new functional genus with potential probiotic properties? Gut Microbes. 2021, 13, 1875796. [Google Scholar] [CrossRef]
- Gurung, M.; Li, Z.; You, H.; Rodrigues, R.; Jump, D.B.; Morgun, A.; Shulzhenko, N. Role of gut microbiota in type 2 diabetes pathophysiology. Ebiomedicine 2020, 51, 102590. [Google Scholar] [CrossRef] [PubMed]
- Kasahara, K.; Krautkramer, K.A.; Org, E.; Romano, K.A.; Kerby, R.L.; Vivas, E.I.; Mehrabian, M.; Denu, J.M.; Backhed, F.; Lusis, A.J.; et al. Interactions between Roseburia intestinalis and diet modulate atherogenesis in a murine model. Nat. Microbiol. 2018, 3, 1461–1471. [Google Scholar] [CrossRef]
- Seo, B.; Jeon, K.; Moon, S.; Lee, K.; Kim, W.K.; Jeong, H.; Cha, K.H.; Lim, M.Y.; Kang, W.; Kweon, M.N.; et al. Roseburia spp. Abundance Associates with Alcohol Consumption in Humans and Its Administration Ameliorates Alcoholic Fatty Liver in Mice. Cell Host Microbe 2020, 27, 25–40. [Google Scholar] [CrossRef] [PubMed]
- Mayo, B.; Vazquez, L.; Florez, A.B. Equol: A Bacterial Metabolite from The Daidzein Isoflavone and Its Presumed Beneficial Health Effects. Nutrients 2019, 11, 2231. [Google Scholar] [CrossRef]
- Zhang, M.; Zhang, X.; Zhu, J.; Zhao, D.G.; Ma, Y.Y.; Li, D.; Ho, C.T.; Huang, Q. Bidirectional interaction of nobiletin and gut microbiota in mice fed with a high-fat diet. Food Funct. 2021, 12, 3516–3526. [Google Scholar] [CrossRef]
- Gao, X.; Du, L.; Randell, E.; Zhang, H.; Li, K.; Li, D. Effect of different phosphatidylcholines on high fat diet-induced insulin resistance in mice. Food Funct. 2021, 12, 1516–1528. [Google Scholar] [CrossRef]
- Liu, J.; Liu, L.; Zhang, G.; Peng, X. Poria cocos polysaccharides attenuate chronic nonbacterial prostatitis by targeting the gut microbiota: Comparative study of Poria cocos polysaccharides and finasteride in treating chronic prostatitis. Int. J. Biol. Macromol. 2021, 189, 346–355. [Google Scholar] [CrossRef] [PubMed]
- Bloemendaal, M.; Szopinska-Tokov, J.; Belzer, C.; Boverhoff, D.; Papalini, S.; Michels, F.; van Hemert, S.; Arias, V.A.; Aarts, E. Probiotics-induced changes in gut microbial composition and its effects on cognitive performance after stress: Exploratory analyses. Transl. Psychiatr. 2021, 11, 300. [Google Scholar] [CrossRef] [PubMed]
- Hamad, A.; Arfan, M.; Khan, S.A.; Fatima, N.; Abbasi, A.M.; Mannan, A. Evaluation of antioxidant, antimicrobial and cytotoxic potential in Artemisia vulgaris L. Rev. Romana Med. Lab. 2018, 26, 431–441. [Google Scholar] [CrossRef]
- He, W.; Shi, C.; Long, X.; Liu, X.; Zhao, X. Antimicrobial activity and mechanism of action of Perilla essential oil against Staphylococcus aureus. E3S Web Conf. 2020, 145, 1015. [Google Scholar] [CrossRef]
- Shade, C.N.; Peters-Diaz, K.; Ruffell, S.E. Mullein and red clover extracts are effective antibacterial agents against methicillin-resistant Staphylococcus aureus (MRSA) and four skin and soft tissue infection (SSTI)-associated bacteria. Bios 2020, 91, 42–47. [Google Scholar] [CrossRef]
- Mannaa, M.; Cho, S.; Seo, Y.; Park, I. Microbial Composition of Fermented Korean Soy Paste (Doenjang) Prepared by Adding Different Herbs during Fermentation. Fermentation 2021, 7, 93. [Google Scholar] [CrossRef]
- Holland, N.; Robbins, T.W.; Rowe, J.B. The role of noradrenaline in cognition and cognitive disorders. Brain 2021, 144, 2243–2256. [Google Scholar] [CrossRef]
- Klein, M.O.; Battagello, D.S.; Cardoso, A.R.; Hauser, D.N.; Bittencourt, J.C.; Correa, R.G. Dopamine: Functions, Signaling, and Association with Neurological Diseases. Cell. Mol. Neurobiol. 2019, 39, 31–59. [Google Scholar] [CrossRef]
- Li, C.; Qi, C.; Li, J.; Dai, D.; Huang, M.; Tang, Y. Effects of genistein on the content of neurotransmitter of hippocampus in alzheimer′s disease rats. Chin. J. Gerontol. 2014, 34, 4864–4866. [Google Scholar]








| Free Amino Acid | Free Amino Acids Content (mg/g) | ||||
|---|---|---|---|---|---|
| SS | DD | QS | MZ | QW | |
| Aspartic Acid (Asp) | 0.43 ± 0.07 c | 2.12 ± 0.06 bc | 2.43 ± 0.28 ab | 2.81 ± 0.49 ab | 3.70 ± 0.53 a |
| Glutamic Acid (Glu) | 0.65 ± 0.11 c | 4.21 ± 0.12 bc | 4.48 ± 0.55 abc | 5.05 ± 0.92 ab | 6.60 ± 0.94 a |
| Serine (Ser) | 0.23 ± 0.05 b | 0.19 ± 0.01 b | 1.82 ± 0.23 a | 2.06 ± 0.35 a | 0.34 ± 0.05 ab |
| Glycine (Gly) | 0.26 ± 0.05 d | 1.71 ± 0.05 b | 1.17 ± 0.14 c | 1.32 ± 0.20 c | 2.22 ± 0.25 a |
| Threonine (Thr) | 0.38 ± 0.12 c | 0.96 ± 0.03 bc | 1.55 ± 0.23 ab | 1.82 ± 0.38 a | 0.84 ± 0.87 c |
| Proline (Pro) | 0.21 ± 0.07 c | 0.67 ± 0.06 b | 1.31 ± 0.34 a | 1.30 ± 0.40 a | 1.17 ± 0.25 a |
| Alanine (Ala) | 0.61 ± 0.12 c | 2.46 ± 0.09 bc | 2.41 ± 0.30 bc | 2.60 ± 0.45 ab | 3.59 ± 0.48 a |
| γ-Aminobutyric Acid (GABA) | 0.00 ± 0.00 b | 0.43 ± 0.03 ab | 0.60 ± 0.01 a | 0.60 ± 0.14 a | 0.60 ± 0.10 a |
| Tryptophan (Trp) * | 0.25 ± 0.05 d | 0.72 ± 0.05 b | 0.56 ± 0.09 c | 0.66 ± 0.14 bc | 0.97 ± 0.13 a |
| Methionine (Met) * | 0.12 ± 0.04 d | 0.89 ± 0.05 b | 0.55 ± 0.09 c | 0.75 ± 0.16 b | 1.35 ± 0.20 a |
| Valine (Val) * | 0.33 ± 0.08 c | 2.13 ± 0.09 bc | 2.20 ± 0.31 ab | 2.42 ± 0.48 ab | 3.29 ± 0.47 a |
| Phenylalanine (Phe) * | 0.45 ± 0.12 c | 2.63 ± 0.14 bc | 2.51 ± 0.41 bc | 2.85 ± 0.59 ab | 3.87 ± 0.53 a |
| Isoleucine (Ile) * | 0.26 ± 0.07 c | 1.95 ± 0.08 bc | 2.13 ± 0.32 ab | 2.32 ± 0.46 ab | 3.02 ± 0.42 a |
| Leucine (Leu) * | 0.55 ± 0.18 c | 3.82 ± 0.15 b | 4.00 ± 0.61 b | 4.41 ± 0.85 b | 7.19 ± 0.97 a |
| Lysine (Lys) * | 0.69 ± 0.16 c | 1.79 ± 0.15 b | 3.04 ± 0.60 a | 3.10 ± 0.77 a | 2.89 ± 0.45 a |
| Histidine (His) * | 0.23 ± 0.04 b | 0.46 ± 0.04 a | 0.16 ± 0.11 b | 0.18 ± 0.19 b | 0.75 ± 0.13 a |
| Arginine (Arg) | 2.26 ± 0.51 a | 0.33 ± 0.04 c | 2.81 ± 0.57 a | 2.85 ± 0.77 ab | 0.74 ± 0.14 b |
| Total | 7.91 ± 1.74 c | 27.48 ± 1.19 bc | 33.75 ± 5.26 ab | 37.11 ± 7.67 ab | 43.13 ± 5.93 a |
| Group | Kingdom | Phylum | Class | Order | Family | Genus | LDA | p Value |
|---|---|---|---|---|---|---|---|---|
| QS_W2 | Monera | Firmicutes | Clostridia | Clostridiales | Clostridiaceae_1 | Clostridium_sensu_stricto_1 | 3.47 | 0.04763 |
| QS_W2 | Monera | Firmicutes | Negativicutes | Selenomonadales | Acidaminococcaceae | Succiniclasticum | 3.45 | 0.02542 |
| QS_W2 | Monera | Firmicutes | Clostridia | Clostridiales | Lachnospiraceae | Lachnospiraceae_UCG_004 | 3.33 | 0.03290 |
| QW_W2 | Monera | Firmicutes | Erysipelotrichia | Erysipelotrichales | Erysipelotrichaceae | Allobaculum | 4.46 | 0.03290 |
| QW_W2 | Monera | Actinobacteria | Coriobacteriia | Coriobacteriales | Coriobacteriaceae | Asaccharobacter | 3.67 | 0.04987 |
| QW_W2 | Monera | Firmicutes | Clostridia | Clostridiales | Family_XIII | Eubacterium__brachy_group | 3.41 | 0.02232 |
| QW_W2 | Monera | Firmicutes | Clostridia | Clostridiales | Ruminococcaceae | Subdoligranulum | 3.33 | 0.03781 |
| QW_W2 | Monera | Firmicutes | Clostridia | Clostridiales | Ruminococcaceae | Ruminococcaceae_UCG_011 | 3.22 | 0.04987 |
| QW_W2 | Monera | Actinobacteria | Coriobacteriia | Coriobacteriales | Coriobacteriaceae | Enterorhabdus | 3.06 | 0.04148 |
| DD_W6 | Monera | Firmicutes | Clostridia | Clostridiales | Lachnospiraceae | Roseburia | 3.94 | 0.02590 |
| DD_W6 | Monera | Firmicutes | Clostridia | Clostridiales | Lachnospiraceae | Eubacterium_xylanophilum_group | 3.78 | 0.00894 |
| MZ_W6 | Monera | Firmicutes | Erysipelotrichia | Erysipelotrichales | Erysipelotrichaceae | Allobaculum | 3.87 | 0.02810 |
| MZ_W6 | Monera | Firmicutes | Erysipelotrichia | Erysipelotrichales | Erysipelotrichaceae | Turicibacter | 3.87 | 0.00202 |
| MZ_W6 | Monera | Firmicutes | Clostridia | Clostridiales | Ruminococcaceae | Ruminiclostridium_9 | 3.63 | 0.01729 |
| MZ_W6 | Monera | Firmicutes | Clostridia | Clostridiales | Clostridiaceae_1 | Clostridium_sensu_stricto_1 | 3.44 | 0.00431 |
| MZ_W6 | Monera | Firmicutes | Clostridia | Clostridiales | Ruminococcaceae | Ruminococcaceae_UCG_010 | 3.29 | 0.02514 |
Disclaimer/Publisher’s Note: The statements, opinions and data contained in all publications are solely those of the individual author(s) and contributor(s) and not of MDPI and/or the editor(s). MDPI and/or the editor(s) disclaim responsibility for any injury to people or property resulting from any ideas, methods, instructions or products referred to in the content. |
© 2025 by the authors. Licensee MDPI, Basel, Switzerland. This article is an open access article distributed under the terms and conditions of the Creative Commons Attribution (CC BY) license (https://creativecommons.org/licenses/by/4.0/).
Share and Cite
Zhang, L.; Su, H.; Wang, S.; Fu, Y.; Wang, M. Gut Microbiota and Neurotransmitter Regulation: Functional Effects of Four Traditional Chinese Fermented Soybean (Sojae Semen Praeparatum). Foods 2025, 14, 671. https://doi.org/10.3390/foods14040671
Zhang L, Su H, Wang S, Fu Y, Wang M. Gut Microbiota and Neurotransmitter Regulation: Functional Effects of Four Traditional Chinese Fermented Soybean (Sojae Semen Praeparatum). Foods. 2025; 14(4):671. https://doi.org/10.3390/foods14040671
Chicago/Turabian StyleZhang, Lin, Huo Su, Siqi Wang, Yujie Fu, and Manyuan Wang. 2025. "Gut Microbiota and Neurotransmitter Regulation: Functional Effects of Four Traditional Chinese Fermented Soybean (Sojae Semen Praeparatum)" Foods 14, no. 4: 671. https://doi.org/10.3390/foods14040671
APA StyleZhang, L., Su, H., Wang, S., Fu, Y., & Wang, M. (2025). Gut Microbiota and Neurotransmitter Regulation: Functional Effects of Four Traditional Chinese Fermented Soybean (Sojae Semen Praeparatum). Foods, 14(4), 671. https://doi.org/10.3390/foods14040671

