Honey-Conjugated Honeybee Brood Biopeptides Improve Gastrointestinal Stability, Antioxidant Capacity, and Alleviate Diet-Induced Metabolic Syndrome in a Rat Model
Abstract
1. Introduction
2. Materials and Methods
2.1. Materials and Chemicals
2.2. Preparation of Honey-Conjugated HBb-Bps Using the Moist–Dry Heating Method with Spontaneous Aging Technique
2.3. In Vitro Simulated Gastrointestinal Digestion of HBb-Bps Conjugated with Honey
2.4. Antioxidant Activities of HBb-Bps Conjugated with Honey
2.5. Animal Experiments
2.6. Detection of Biochemical Indexes in Rat Serum
2.7. Short-Chain Fatty Acid (SCFA) Measurement
2.8. Statistical Analysis
3. Results
3.1. In Vitro Simulated Gastrointestinal Digestion of HBb-Bps and Honey-Conjugated HBb-Bps
3.2. Antioxidant Activities of HBb-Bps Conjugated with Honey Before and After in Vitro Simulated Gastrointestinal Digestion
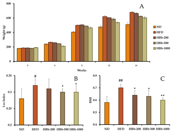
3.3. Effect of Honey-Conjugated HBb-Bps on High-Fat Diet-Induced Metabolic Syndrome in Rats
4. Discussion
5. Conclusions
Author Contributions
Funding
Institutional Review Board Statement
Informed Consent Statement
Data Availability Statement
Acknowledgments
Conflicts of Interest
References
- Saadi, S.; Saari, N.; Anwar, F.; Abdul Hamid, A.; Ghazali, H.M. Recent Advances in Food Biopeptides: Production, Biological Functionalities and Therapeutic Applications. Biotechnol. Adv. 2015, 33, 80–116. [Google Scholar] [CrossRef]
- Pouria, G.; Khashayar, S.; Zahra, A. Insights into Enzymatic Hydrolysis: Exploring Effects on Antioxidant and Functional Properties of Bioactive Peptides from Chlorella Proteins. J. Agric. Food Res. 2024, 16, 101129. [Google Scholar] [CrossRef]
- Nasri, M. Protein Hydrolysates and Biopeptides: Production, Biological Activities, and Applications in Foods and Health Benefits. A Review. Adv. Food Nutr. Res. 2017, 81, 109–159. [Google Scholar] [CrossRef] [PubMed]
- Rai, C.; Priyadarshini, P. Whey Protein Hydrolysates Improve High-fat-diet-induced Obesity by Modulating the Brain-Peripheral Axis of GLP-1 through Inhibition of DPP-4 Function in Mice. Eur. J. Nutr. 2023, 62, 2489–2507. [Google Scholar] [CrossRef]
- Anuduang, A.; Lim, S.J.; Jomduang, S.; Boonyapranai, K.; Phongthai, S.; Wan Mustapha, W.A. ACE-inhibitory properties and antioxidative activities of hydrolysate powder obtained from Thai’s mature silkworm (Bombyx mori). Int. J. Food Sci. Tech. 2024, 59, 3176–3186. [Google Scholar] [CrossRef]
- Thuraphan, P.; Suang, S.; Bunrod, A.; Kanjanakawinkul, W.; Chaiyana, W. Potential of Bioactive Protein and Protein Hydrolysate from Apis mellifera Larvae as Cosmeceutical Active Ingredients for Anti-Skin Aging. Pharmaceuticals 2024, 17, 679. [Google Scholar] [CrossRef] [PubMed]
- Mishyna, M.; Martinez, J.I.; Chen, J.; Benjamin, O. Extraction, Characterization and Functional Properties of Soluble Proteins from Edible Grasshopper (Schistocerca gregaria) and Honeybee (Apis mellifera). Food Res. Inter. 2019, 116, 697–706. [Google Scholar] [CrossRef]
- Chaipoot, S.; Wiriyacharee, P.; Pathomrungsiyounggul, P.; Kanthakat, G.; Somjai, C.; Boonyapranai, K.; Srinuanpan, S.; Wongwatcharayothin, W.; Phongphisutthinant, R. Antioxidant Activity and Chemical Alterations of Honeybee Brood Bio-Peptides Interacting with Honey Under Moist-Dried Thermal Aging. Antioxidants 2025, 14, 254. [Google Scholar] [CrossRef]
- Ounjaijean, S.; Chaipoot, S.; Phongphisutthinant, R.; Kanthakat, G.; Taya, S.; Pathomrungsiyounggul, P.; Wiriyacharee, P.; Boonyapranai, K. Evaluation of Prebiotic and Health-Promoting Functions of Honeybee Brood Biopeptides and Their Maillard Reaction Conjugates. Foods 2024, 13, 2847. [Google Scholar] [CrossRef]
- Ebubekir, I. Phytochemicals in Honey and Health Effects. In Honeybees, Plants and Health; Orient Publications: New Delhi, India, 2023; pp. 85–96. [Google Scholar]
- Brudzynski, K. Honey Melanoidins: Emerging Novel Understanding on the Mechanism of Antioxidant and Antibacterial Action of Honey. In Honey: Current Research and Clinical Application; Nova Science Publishers, Inc.: New York, NY, USA, 2012; pp. 17–38. Available online: https://www.academia.edu/22932202/Honey_Melanoidins_Emerging_Novel_Understanding_on_the_Mechanism_of_Antioxidant_and_Antibacterial_Action_of_Honey (accessed on 20 July 2025).
- Kathleen, R.S.; Kenya, E.F.; Erin, S.; Isabella, W.; Shona, E.B.; Dee, A.C.; Nural, N.C. The Potential of Honey as a Prebiotic Food to Re-engineer the Gut Microbiome Toward a Healthy State. Front. Nutr. 2022, 9, 957932. [Google Scholar] [CrossRef]
- Aloo, S.O.; Oh, D.-H. The Functional Interplay between Gut Microbiota, Protein Hydrolysates/Bioactive Peptides, and Obesity: A Critical Review on the Study Advances. Antioxidants 2022, 11, 333. [Google Scholar] [CrossRef]
- Requena, T.; Miguel, M.; Garcés-Rimón, M.; Martínez-Cuesta, M.C.; López-Fandiño, R.; Peláez, C. Pepsin egg white hydrolysate modulates gut microbiota in Zucker obese rats. Food Funct. 2017, 8, 437–443. [Google Scholar] [CrossRef]
- Chen, X.; Han, X.; Chen, M.; Li, J.; Zhou, W.; Li, R. Oat Protein Isolate Mitigates High-Fat Diet-Induced Obesity in Rats Through Gut Microbiota, Glucose, and Lipid Control. Foods 2025, 14, 2047. [Google Scholar] [CrossRef]
- Xu, Q.; Hong, H.; Hong, H.; Wu, J.; Yan, X. Bioavailability of bioactive peptides derived from food proteins across the intestinal epithelial membrane: A review. Trends Food Sci. Technol. 2019, 86, 399–411. [Google Scholar] [CrossRef]
- Sail, H.V.; Jagdale, A.; Thakur, M.; Tupe, R.S. Structural and functional characterisation of Maillard reaction products from casein-acid hydrolysate-sugars model system using multi-spectroscopic approach. Int. Dairy J. 2024, 149, 105838. [Google Scholar] [CrossRef]
- Minekus, M.; Alminger, M.; Alvito, P.; Ballance, S.; Bohn, T.; Bourlieu, C.; Carrière, F.; Boutrou, R.; Corredig, M.; Dupont, D.; et al. A Standardised Static in Vitro Digestion Method Suitable for Food—An International Consensus. Food Funct. 2014, 5, 1113–1124. [Google Scholar] [CrossRef] [PubMed]
- Monente, C.; Ludwig, I.A.; Stalmach, A.; Peña, M.P.; Cid, C.; Crozier, A. In vitro studies on the stability in the proximal gastrointestinal tract and bioaccessibility in Caco-2 cells of chlorogenic acids from spent coffee grounds. Int. J. Food Sci. Nutr. 2015, 66, 657–664. [Google Scholar] [CrossRef] [PubMed]
- Chaipoot, S.; Punfa, W.; Ounjaijean, S.; Phongphisutthinant, R.; Kulprachakarn, K.; Parklak, W.; Phaworn, L.; Rotphet, P.; Boonyapranai, K. Antioxidant, Anti-Diabetic, Anti-Obesity, and Antihypertensive Properties of Protein Hydrolysate and Peptide Fractions from Black Sesame Cake. Molecules 2023, 28, 211. [Google Scholar] [CrossRef]
- Álvarez, C.; González, A.; Ballesteros, I.; Gullón, B.; Negro, M.J. In Vitro Assessment of the Prebiotic Potential of Xylooligosaccharides from Barley Straw. Foods 2023, 12, 83. [Google Scholar] [CrossRef]
- Gibson, G.R.; Hutkins, R.; Sanders, M.E.; Prescott, S.L.; Reimer, R.A.; Salminen, S.J.; Scott, K.; Stanton, C.; Swanson, K.S.; Cani, P.D.; et al. Expert consensus document: The International Scientific Association for Probiotics and Prebiotics (ISAPP) consensus statement on the definition and scope of prebiotics. Nat. Rev. Gastroenterol. Hepatol. 2017, 14, 491–502. [Google Scholar] [CrossRef]
- Yang, Y.; Zhao, C.; Diao, M.; Zhong, S.; Sun, M.; Sun, B.; Ye, H.; Zhang, T. The Prebiotic Activity of Simulated Gastric and Intestinal Digesta of Polysaccharides from the Hericium erinaceus. Molecules 2018, 23, 3158. [Google Scholar] [CrossRef]
- Hernández-Hernández, O. In vitro Gastrointestinal Models for Prebiotic Carbohydrates: A Critical Review. Curr. Pharm. Des. 2019, 25, 3478–3483. [Google Scholar] [CrossRef]
- Udenigwe, C.C.; Aluko, R.E. Food protein-derived bioactive peptides: Production, processing, and potential health benefits. J. Food Sci. 2012, 77, R11–R24. [Google Scholar] [CrossRef]
- Zhang, Z.; He, S.; Cao, X.; Ye, Y.; Yang, L.; Wang, J.; Liu, H.; Sun, H. Potential prebiotic activities of soybean peptides Maillard reaction products on modulating gut microbiota to alleviate aging-related disorders in D-galactose-induced ICR mice. J. Funct. Foods 2022, 65, 103729. [Google Scholar] [CrossRef]
- Nooshkam, M.; Varidi, M.; Verma, D.K. Functional and biological properties of Maillard conjugates and their potential application in medical and food: A review. Food Res. Int. 2020, 131, 109003. [Google Scholar] [CrossRef] [PubMed]
- Zhao, D.; Le, T.T.; Larsen, L.B.; Li, L.; Qin, D.; Su, G.; Li, B. Effect of glycation derived from α-dicarbonyl compounds on the in vitro digestibility of β-casein and β-lactoglobulin: A model study with glyoxal, methylglyoxal and butanedione. Food Res. Int. 2017, 102, 313–322. [Google Scholar] [CrossRef] [PubMed]
- Corzo-Martínez, M.; Soria, A.C.; Belloque, J.; Villamiel, M.; Moreno, F.J. Effect of glycation on the gastrointestinal digestibility and immunoreactivity of bovine β-lactoglobulin. Int. Dairy J. 2010, 20, 742–752. [Google Scholar] [CrossRef]
- Dumitrașcu, L.; Borda, D.; Aprodu, I. Alternative Processing Options for Improving the Proteins Functionality by Maillard Conjugation. Foods 2023, 12, 3588. [Google Scholar] [CrossRef]
- Liu, J.; Hu, Y.; Wei, H.; Shi, W. Effect of glycation on protein structure, amino acid composition and digestibility of silver carp mince. Int. J. Food Sci. Technol. 2022, 57, 2487–2497. [Google Scholar] [CrossRef]
- Chen, K.; Zhao, J.; Shi, X.; Abdul, Q.; Jiang, Z. Characterization and Antioxidant Activity of Products Derived from Xylose–Bovine Casein Hydrolysate Maillard Reaction: Impact of Reaction Time. Foods 2019, 8, 242. [Google Scholar] [CrossRef]
- Jia, W.; Guo, A.; Zhang, R.; Shi, L. Mechanism of Natural Antioxidants Regulating Advanced Glycosylation End Products of Maillard Reaction. Food Chem. 2023, 404, 134541. [Google Scholar] [CrossRef] [PubMed]
- Chen, M.L.; Ning, P.; Jiao, Y.; Xu, Z.; Cheng, Y.H. Extraction of antioxidant peptides from rice dreg protein hydrolysate via an angling method. Food Chem. 2021, 337, 128069. [Google Scholar] [CrossRef] [PubMed]
- Sun, S.; Niu, H.; Yang, T.; Lin, Q.; Luo, F.; Ma, M. Antioxidant and anti-fatigue activities of egg white peptides prepared by pepsin digestion. J. Sci. Food Agric. 2014, 94, 3195–3200. [Google Scholar] [CrossRef] [PubMed]
- Anuduang, A.; Ounjaijean, S.; Phongphisutthinant, R.; Pitchakarn, P.; Chaipoot, S.; Taya, S.; Parklak, W.; Wiriyacharee, P.; Boonyapranai, K. Biological Activities of Soy Protein Hydrolysate Conjugated with Mannose and Allulose. Foods 2024, 13, 3041. [Google Scholar] [CrossRef]
- Liu, P.; Huang, M.; Song, S.; Hayat, K.; Zhang, X.; Xia, S.; Jia, C. Sensory Characteristics and Antioxidant Activities of Maillard Reaction Products from Soy Protein Hydrolysates with Different Molecular Weight Distribution. Food Bioprocess Technol. 2012, 5, 1775–1789. [Google Scholar] [CrossRef]
- Grossmann, K.K.; Merz, M.; Appel, D.; De Araujo, M.M.; Fischer, L. New insights into the flavoring potential of cricket (Acheta domesticus) and mealworm (Tenebrio molitor) protein hydrolysates and their Maillard products. Food Chem. 2021, 364, 130336. [Google Scholar] [CrossRef]
- de Matos, F.M.; Sales, A.C.d.A.; Guilherme, M. Tavares, and Ruann Janser Soares de Castro. Effects of the Maillard Reaction on the Antioxidant and Antihypertensive Properties of Black Cricket (Gryllus assimilis) Protein Hydrolysates. ACS Food Sci. Technol. 2025, 5, 1365–1373. [Google Scholar] [CrossRef]
- Hariri, N.; Thibault, L. High-fat diet-induced obesity in animal models. Nutr. Res. Rev. 2010, 23, 270–299. [Google Scholar] [CrossRef]
- Buettner, R.; Scholmerich, J.; Bollheimer, L.C. High-fat diets: Modeling the metabolic disorders of human obesity in rodents. Obesity 2007, 15, 798–808. [Google Scholar] [CrossRef]
- Turnbaugh, P.J.; Ley, R.E.; Mahowald, M.A.; Magrini, V.; Mardis, E.R.; Gordon, J.I. An obesity-associated gut microbiome with increased capacity for energy harvest. Nature 2006, 444, 1027–1031. [Google Scholar] [CrossRef]
- Gibson, G.R.; Scott, K.P.; Rastall, R.A.; Tuohy, K.M.; Hotchkiss, A.; Dubert-Ferrandon, A.; Gareau, M.; Murphy, E.F.; Saulnier, D.; Loh, G.; et al. Dietary prebiotics: Current status and new definition. Food Sci. Technol. Bull. Funct. Foods 2010, 7, 1–19. [Google Scholar] [CrossRef]
- Koh, A.; De Vadder, F.; Kovatcheva-Datchary, P.; Backhed, F. From dietary fiber to host physiology: Short-chain fatty acids as key bacterial metabolites. Cell 2016, 165, 1332–1345. [Google Scholar] [CrossRef]
- Canfora, E.E.; Meex, R.C.R.; Venema, K.; Blaak, E.E. Gut microbial metabolites in obesity, NAFLD and T2DM. Nat. Rev. Endocrinol. 2019, 15, 261–273. [Google Scholar] [CrossRef]
- den Besten, G.; van Eunen, K.; Groen, A.K.; Venema, K.; Reijngoud, D.J.; Bakker, B.M. The role of short-chain fatty acids in the interplay between diet, gut microbiota, and host energy metabolism. J. Lipid Res. 2013, 54, 2325–2340. [Google Scholar] [CrossRef]
- Erdmann, K.; Cheung, B.W.; Schröder, H. The possible roles of food-derived bioactive peptides in reducing the risk of cardiovascular disease. J. Nutr. Biochem. 2008, 19, 643–654. [Google Scholar] [CrossRef]
- Garcés-Rimón, M.; González, C.; Uranga, J.A.; López-Miranda, V.; López-Fandiño, R.; Miguel, M. Pepsin Egg White Hydrolysate Ameliorates Obesity-Related Oxidative Stress, Inflammation and Steatosis in Zucker Fatty Rats. PLoS ONE 2016, 11, e0151193. [Google Scholar] [CrossRef] [PubMed]
- Woo, M.; Song, Y.O.; Kang, K.H.; Noh, J.S. Anti-Obesity Effects of Collagen Peptide Derived from Skate (Raja kenojei) Skin Through Regulation of Lipid Metabolism. Mar. Drugs 2018, 16, 306. [Google Scholar] [CrossRef] [PubMed]
- Daskalaki, M.G.; Axarlis, K.; Tsoureki, A.; Michailidou, S.; Efraimoglou, C.; Lapi, I.; Kolliniati, O.; Dermitzaki, E.; Venihaki, M.; Kousoulaki, K.; et al. Fish-Derived Protein Hydrolysates Increase Insulin Sensitivity and Alter Intestinal Microbiome in High-Fat-Induced Obese Mice. Mar. Drugs 2023, 21, 343. [Google Scholar] [CrossRef] [PubMed]
- Delzenne, N.M.; Neyrinck, A.M.; Cani, P.D. Gut microbiota and metabolic disorders: How prebiotic can work? Br. J. Nutr. 2013, 109 (Suppl. S2), S81–S85. [Google Scholar] [CrossRef] [PubMed]
- Ríos-Covián, D.; Ruas-Madiedo, P.; Margolles, A.; Gueimonde, M.; de los Reyes-Gavilán, C.G.; Salazar, N. Intestinal Short Chain Fatty Acids and their Link with Diet and Human Health. Front. Microbiol. 2016, 7, 185. [Google Scholar] [CrossRef]




| Sample | Degree of Hydrolysis (%) | Residual Post-Digestion Content (%) | ||
|---|---|---|---|---|
| Mouth | Stomach | Small Intestine | ||
| Inulin | 0.04 ± 0.01 | 1.60 ± 0.23 | 15.85 ± 1.27 | 82.51 ± 3.14 |
| HBb-Bps | 4.13 ± 0.34 | 36.41 ± 2.14 | 12.46 ± 1.18 | 46.99 ± 2.44 |
| Honey-conjugated HBb-Bps | 0.27 ± 0.08 | 0.36 ± 0.10 | 13.25 ± 3.14 | 86.12 ± 4.01 |
| Assay | Time Point | % Radical-Scavenging Activity | % Difference Between HBb-Bps and Honey-Conjugated HBb-Bps | Exact p-Value Between HBb-Bps and Honey-Conjugated HBb-Bps | Effect Size | |
|---|---|---|---|---|---|---|
| HBb-Bps | Honey-Conjugated HBb-Bps | |||||
| DPPH | Before digestion | 31.04 ± 2.41 | 43.28 ± 4.10 | 39.43 | 0.0021 | 2.91 |
| After digestion | 15.36 ± 3.45 | 25.61 ± 2.39 | 66.73 | 0.0054 | 2.76 | |
| ABTS | Before digestion | 54.21 ± 5.34 | 70.54 ± 3.48 | 30.12 | 0.0315 | 2.90 |
| After digestion | 32.14 ± 4.25 | 60.32 ± 4.27 | 87.68 | 0.0104 | 5.90 | |
Disclaimer/Publisher’s Note: The statements, opinions and data contained in all publications are solely those of the individual author(s) and contributor(s) and not of MDPI and/or the editor(s). MDPI and/or the editor(s) disclaim responsibility for any injury to people or property resulting from any ideas, methods, instructions or products referred to in the content. |
© 2025 by the authors. Licensee MDPI, Basel, Switzerland. This article is an open access article distributed under the terms and conditions of the Creative Commons Attribution (CC BY) license (https://creativecommons.org/licenses/by/4.0/).
Share and Cite
Ounjaijean, S.; Chaipoot, S.; Phongphisutthinant, R.; Kanthakat, G.; Taya, S.; Pathomrungsiyounggul, P.; Wiriyacharee, P.; Boonyapranai, K. Honey-Conjugated Honeybee Brood Biopeptides Improve Gastrointestinal Stability, Antioxidant Capacity, and Alleviate Diet-Induced Metabolic Syndrome in a Rat Model. Foods 2025, 14, 2907. https://doi.org/10.3390/foods14162907
Ounjaijean S, Chaipoot S, Phongphisutthinant R, Kanthakat G, Taya S, Pathomrungsiyounggul P, Wiriyacharee P, Boonyapranai K. Honey-Conjugated Honeybee Brood Biopeptides Improve Gastrointestinal Stability, Antioxidant Capacity, and Alleviate Diet-Induced Metabolic Syndrome in a Rat Model. Foods. 2025; 14(16):2907. https://doi.org/10.3390/foods14162907
Chicago/Turabian StyleOunjaijean, Sakaewan, Supakit Chaipoot, Rewat Phongphisutthinant, Gochakorn Kanthakat, Sirinya Taya, Pattavara Pathomrungsiyounggul, Pairote Wiriyacharee, and Kongsak Boonyapranai. 2025. "Honey-Conjugated Honeybee Brood Biopeptides Improve Gastrointestinal Stability, Antioxidant Capacity, and Alleviate Diet-Induced Metabolic Syndrome in a Rat Model" Foods 14, no. 16: 2907. https://doi.org/10.3390/foods14162907
APA StyleOunjaijean, S., Chaipoot, S., Phongphisutthinant, R., Kanthakat, G., Taya, S., Pathomrungsiyounggul, P., Wiriyacharee, P., & Boonyapranai, K. (2025). Honey-Conjugated Honeybee Brood Biopeptides Improve Gastrointestinal Stability, Antioxidant Capacity, and Alleviate Diet-Induced Metabolic Syndrome in a Rat Model. Foods, 14(16), 2907. https://doi.org/10.3390/foods14162907

