Characteristics of Damage to Brown Rice Kernels under Single and Continuous Mechanical Compression Conditions
Abstract
1. Introduction
2. Analysis of Mechanical Compression Characteristics of Brown Rice Kernels
2.1. Hertz Contact Theory for Brown Rice Kernels
2.2. Analysis of the Elastic Compression of Brown Rice Kernels
2.3. Elastic–Plastic Compression Modelling of Brown Rice Kernels
2.4. Continuous Damage Model for Brown Rice Kernels
3. Materials and Methods
3.1. Test Materials and Instruments
3.2. Test Methods
3.2.1. Single Compression Test
3.2.2. Continuous Compression Test
4. Results and Discussion
4.1. Single Compression Test Result
4.2. Analysis of Single Compression Characteristics
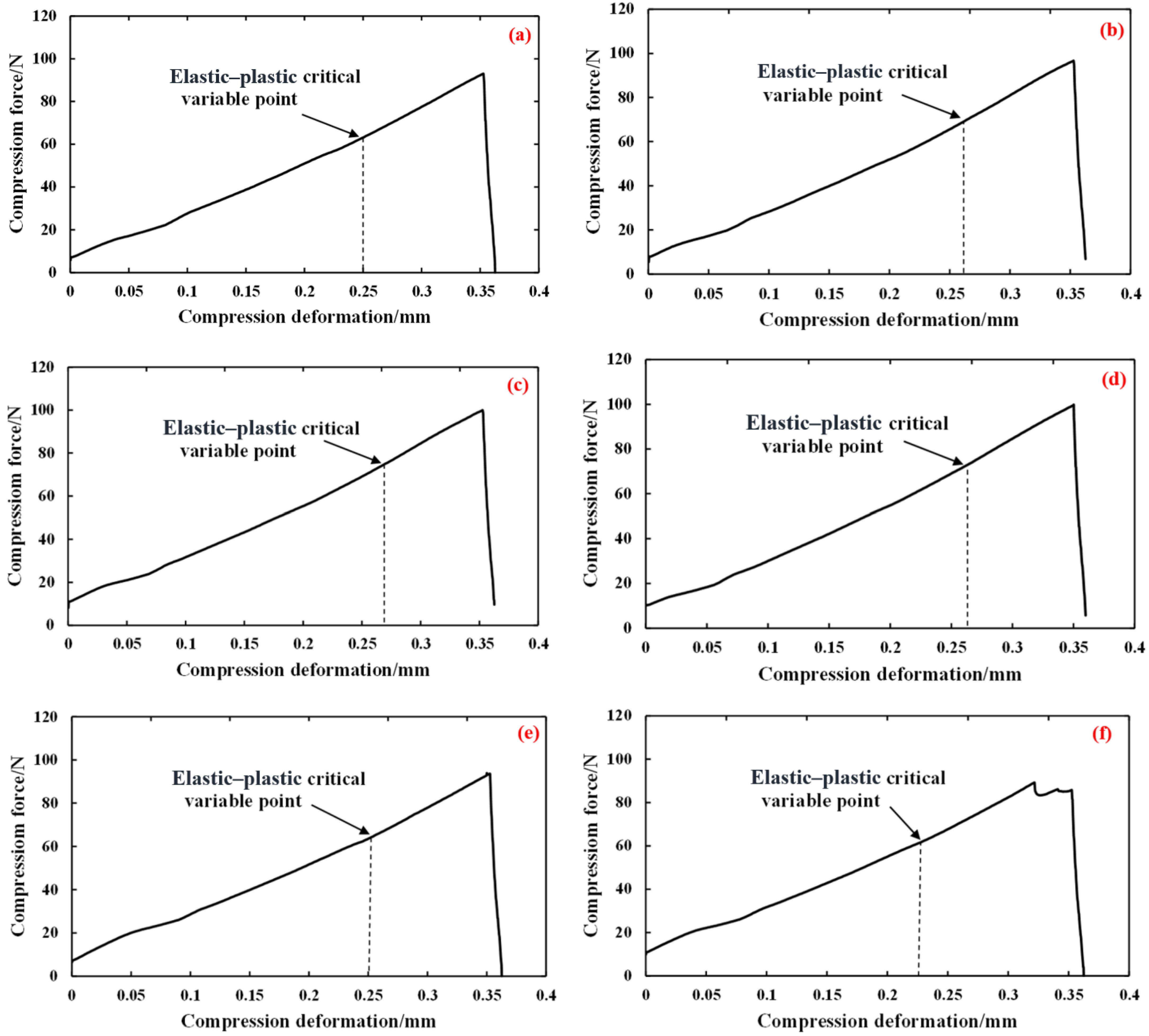
4.3. Validation of Elastic–Plastic Compression Models
4.4. Continuous Compression Test Results
4.5. Analysis of Continuous Compression Characteristics
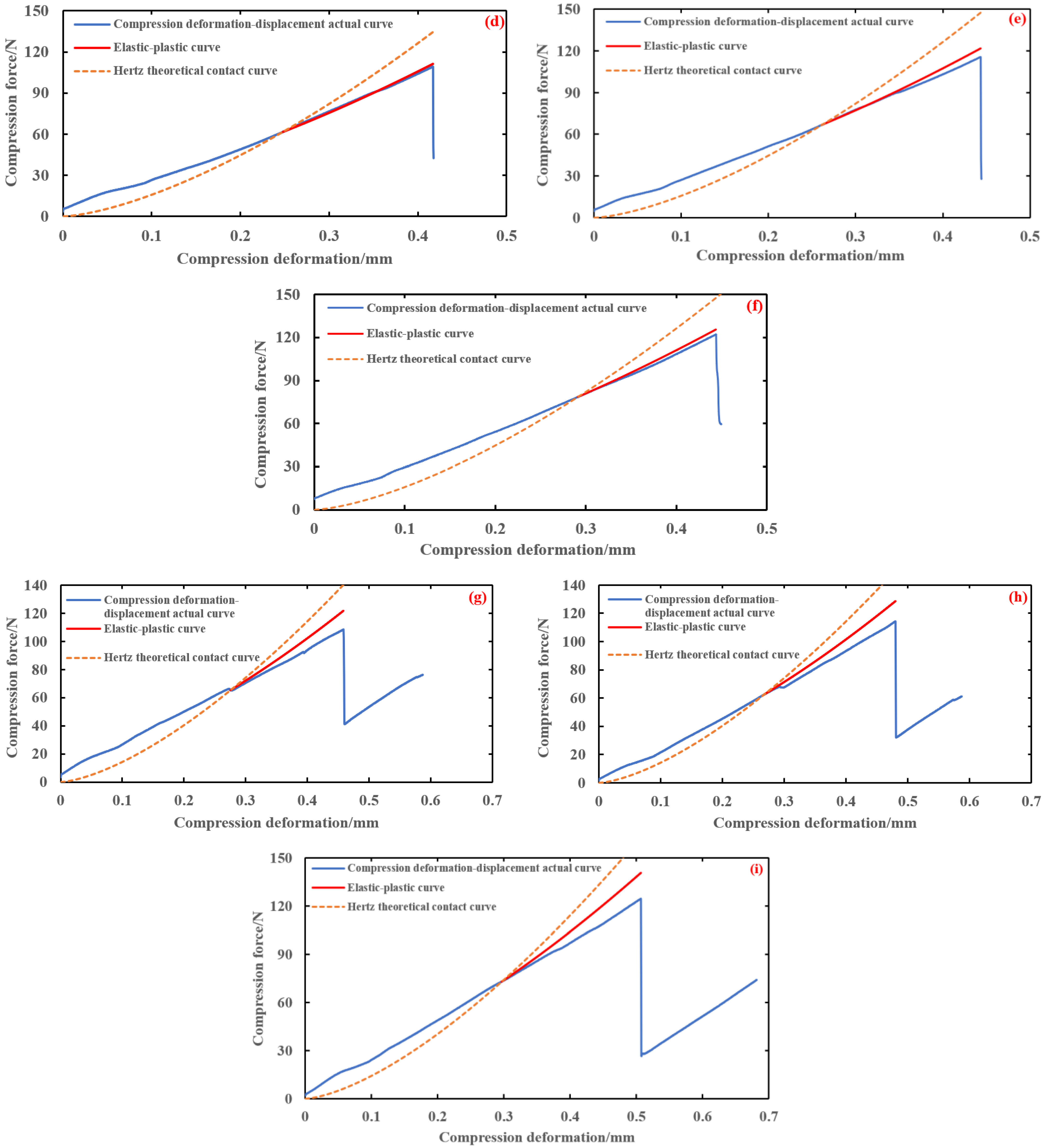
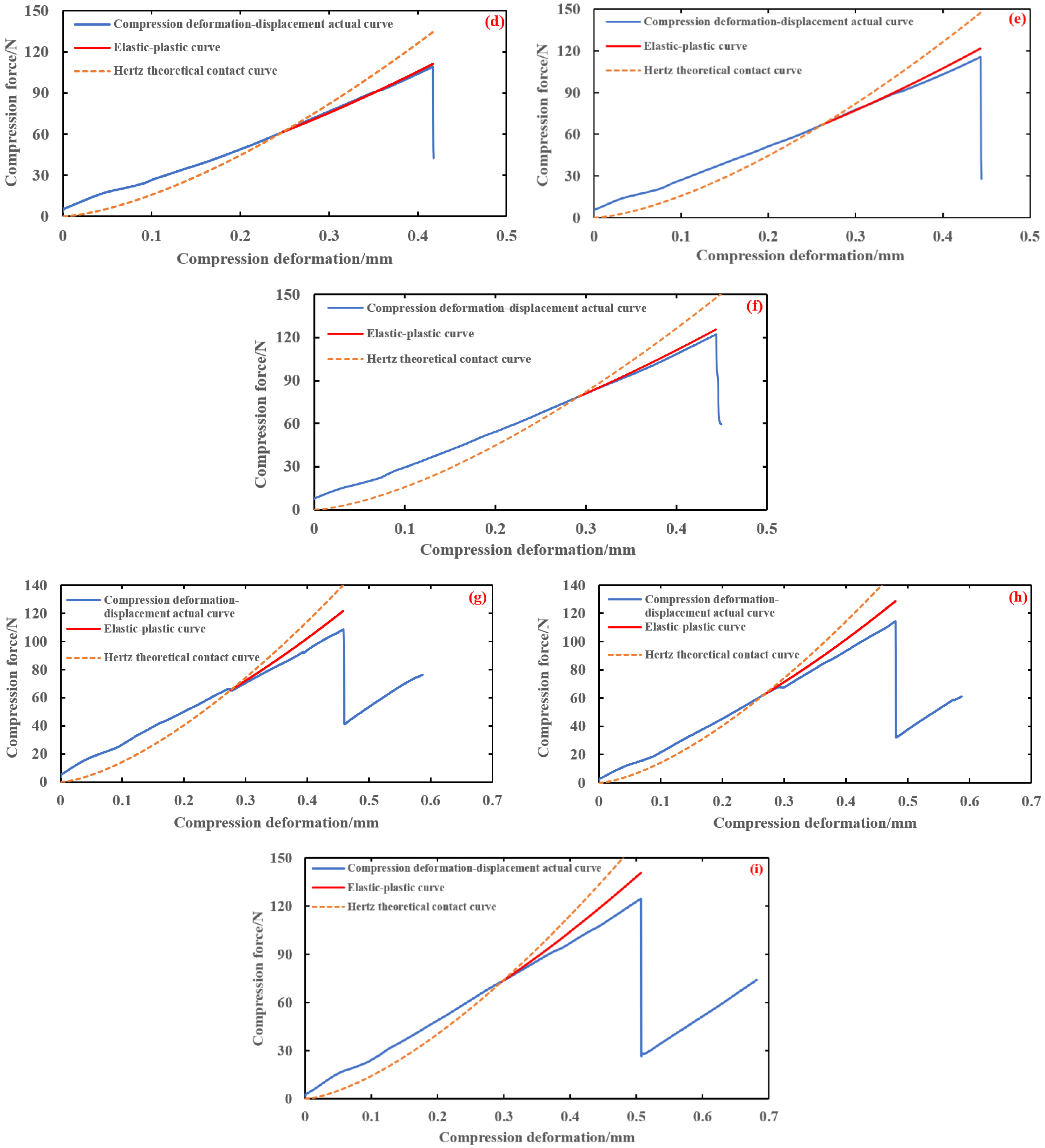
4.6. Validation of Continuous Damage Models
5. Conclusions and Outlook
- In this study, an elastic–plastic model of brown rice kernels is established, and equations are derived for the relationship between compression force and deformation in the elastic–plastic compression process of brown rice kernels.
- The results of the single compression and crushing test of brown rice kernels showed that the maximum compression forces Fc of Hunan Early indica 45, Hunan Glutinous 28, and Southern Japonica 518 kernels were 134.77 ± 11.20 N, 115.64 ± 4.35 N, and 115.84 ± 5.89 N, respectively; the maximum deformation amounts were αc 0.51 ± 0.04 mm, 0.43 ± 0.01 mm, and 0.48 ± 0.17 mm, respectively; and the average critical values of elastic–plastic deformation αs were 0.224 mm, 0.267 mm, and 0.280 mm, respectively.
- In this study, equations were developed for the evolution of compression damage and the cumulation of continuous compression damage of brown rice kernels, as well as the relationship between compression force and deformation under continuous compression.
- The results of the continuous compression crushing test on brown rice kernels revealed that the critical shape variables αd that produce damage were 0.224 mm, 0.267 mm, and 0.280 mm, respectively, and the ratios δ of the critical shape variables of damage to the thickness of the kernels were 12.24%, 14.35%, and 12.84%, respectively.
- When the compression shape variable is less than αd, the continuous application of compression load does not lead to the crushing of kernels; when the compression shape variable is in the range of αd–αc, the continuous application of compression load does not lead to the crushing of kernels, and the larger the compression shape variable, the fewer the number of compressions that are required for crushing; and when the compression shape variable is more than αc, a single compression load can directly cause kernels to break. Therefore, according to the variety of brown rice, to prevent brown rice deformation, the load should be less than αd, and the maximum load should not exceed Fc.
- During the single and continuous compression testing of brown rice kernels, it is difficult to directly observe the stages of elastic–plastic changes and the generation, expansion, and fusion of continuous damage cracks at a macroscopic level. The accuracy of the model could be further intuitively verified if the structural and defective changes within the kernels during the testing process could be subsequently processed via microscopic recording. In addition, dynamic changes occur in the compression contact orientation of brown rice kernels during the milling process, and there are also differences in the moisture content of brown rice kernels. In the future, we aim to continue to combine the elastic–plastic contact theory with the theory of continuous damage to carry out analyses of the damage and crushing characteristics of brown rice kernels under different contact orientations and moisture contents, as well as elucidate the relationship between individual and groups of brown rice kernels under mechanical action, thus providing theoretical references for the damage and crushing mechanisms produced by mechanical action on brown rice.
Author Contributions
Funding
Data Availability Statement
Acknowledgments
Conflicts of Interest
References
- Zeng, Y.; Jia, F.; Meng, X.; Han, Y.; Xiao, Y. The effects of friction characteristic of particle on milling process in a horizontal rice mill. Adv. Powder Technol. 2018, 29, 1280–1291. [Google Scholar] [CrossRef]
- Zhao, F.; Sun, P.; Zhang, J. Modeling the grain import trade: A cointegration analysis of China’s panel data. Discret. Dyn. Nat. Soc. 2021, 2021, 3673282. [Google Scholar] [CrossRef]
- Smith, C.W.; Dilday, R.H. Rice: Origin, History, Technology, and Production; John Wiley Sons: Hoboken, NJ, USA, 2003; pp. 111–113. [Google Scholar]
- Reynolds, G.K.; Fu, J.S.; Cheong, Y.S.; Hounslow, M.J.; Salman, A.D. Breakage in granulation: A review. Chem. Eng. Sci. 2005, 60, 3969–3992. [Google Scholar] [CrossRef]
- Sharma, A.D.; Kunze, O.R.; Sarker, N.N. Impact damage on rough rice. Trans. ASAE 1992, 35, 1929–1934. [Google Scholar] [CrossRef]
- Halidan, M.; Chandratilleke, G.R.; Dong, K.J.; Yu, A.B. Mixing performance of ribbon mixers: Effects of operational parameters. Powder Technol. 2018, 325, 92–106. [Google Scholar] [CrossRef]
- Zhang, T. Research on the Crushing Characteristics and Crack Extension Law of Brown Rice; Xihua University: Sichuan, China, 2021. [Google Scholar]
- Tavares, L.M. Analysis of particle fracture by repeated stressing as damage accumulation. Powder Technol. 2009, 190, 327–339. [Google Scholar] [CrossRef]
- Tavares, L.M.; King, R.P. Single-particle fracture under impact loading. Int. J. Miner. Process. 1998, 54, 1–28. [Google Scholar] [CrossRef]
- Kim, S.H.; Yang, Y.J.; Chung, I.M. The effect of degree of milling on the nutraceutical content in ecofriendly and conventional rice (Oryza sativa L.). Foods 2020, 9, 1297. [Google Scholar] [CrossRef]
- Kim, M.K. Sensory profile of rice-based snack (Nuroongji) prepared from rice with different levels of milling degree. Foods 2020, 6, 685. [Google Scholar] [CrossRef]
- Sun, J.; Yang, Z.; Guo, Y.; Cui, Q.; Wu, X.; Zhang, Y. Mechanical properties of compression and damage crack formation mechanism of cereal kernels. J. Agric. Eng. 2017, 33, 306–314. [Google Scholar] [CrossRef]
- Zhou, X.; Sun, J.; Zhang, Y. Characterisation and analysis of static mechanical properties of rice kernels. J. Henan Univ. Technol. (Nat. Sci. Ed.) 2018, 39, 1–7. [Google Scholar] [CrossRef]
- Feng, S.; Tian, Y.; Cao, X.; Fang, K. Microstructure analysis of brown rice based on mechanical force action. J. Henan Univ. Technol. (Nat. Sci. Ed.) 2019, 40, 70–74. [Google Scholar] [CrossRef]
- Yang, L.; Xiao, X.; Wang, X.; Fan, Y.; Luo, Y.; Zhao, J.; Song, S.; Zhang, Y.; Pei, H. Relationship between the fracture morphology and energy of brown rice during processing. J. Cereal Sci. 2022, 108, 103576. [Google Scholar] [CrossRef]
- Fan, Y.; Yang, L.; Yin, C.; Song, S.; Wang, D.; Zhang, Y.; Liu, X. Tribological properties and damage behavior of brown rice based on milling process. Tribol. Int. 2022, 167, 107353. [Google Scholar] [CrossRef]
- Chen, Y.; Cai, W.; Zou, X.; Xu, F. Mechanical characteristics of whole fruit compression in litchi. Anhui Agric. Sci. 2010, 38, 16196–16197, 16199. [Google Scholar] [CrossRef]
- Antonyuk, S.; Heinrich, S.; Tomas, J.; Deen, N.G.; Van Buijtenen, M.S.; Kuipers, J.A.M. Energy absorption during compression and impact of dry elastic-plastic spherical granules. Granul. Matter 2010, 12, 15–47. [Google Scholar] [CrossRef]
- Russell, A.; Müller, P.; Tomas, J. Quasi-static diametrical compression of characteristic elastic–plastic granules: Energetic aspects at contact. Chem. Eng. Sci. 2014, 114, 70–84. [Google Scholar] [CrossRef]
- Dong, X.; Yin, X.; Deng, Q.; Yu, B.; Wang, H.; Weng, P.; Chen, C.; Yuan, H. Local contact behavior between elastic and elastic-plastic bodies. Int. J. Solids Struct. 2018, 150, 22–39. [Google Scholar] [CrossRef]
- Antonyuk, S.; Tomas, J.; Heinrich, S.; Mörl, L. Micro-macro breakage behavior of elastic-plastic granulates by compression. Chem. Eng. Technol. 2010, 28, 623–629. [Google Scholar] [CrossRef]
- Chen, Z.; Wassgren, C.; Ambrose, R.P.K. Measured damage resistance of corn and wheat kernels to compression, friction, and repeated impacts. Powder Technol. 2020, 380, 638–648. [Google Scholar] [CrossRef]
- Johnson, K.L. Contact Mechanics; Cambridge University Press: Cambridge, UK, 1985. [Google Scholar]
- Guan, Q.; Zhao, X.; Wen, Z.; Jin, X. Calculation method of normal contact stiffness based on Hertz contact theory. J. Southwest Jiaotong Univ. 2021, 56, 883–888. [Google Scholar] [CrossRef]
- ASAE S368; 4DEC 2000(R2017) Compression Test of Food Materials of Convex Shape. American Socity of Agircultural and Biological Engineers: St Joesph, MO, USA, 2017.
- Zhang, H. Study on the Mechanical Rheological Properties of Rice and Rice-Based Rice and Its Application; Northeast Agricultural University: Harbin, China, 2004. [Google Scholar] [CrossRef]
- Wang, S.; Cui, S.; Wu, J.; Wei, J.; Li, P. Contact characteristics of orthotropic anisotropic bonding surfaces with lubricating media. J. Vib. Eng. 2023, 36, 909–922. [Google Scholar] [CrossRef]
- Yang, X.; Rong, C.; Zou, X. Engineering calculation method for Hertz point contact parameters. Bearing 2018, 4–6, 15. [Google Scholar] [CrossRef]
- Kadin, Y.; Kligerman, Y.; Etsion, I. Unloading an elastic-plastic contact of rough surfaces. J. Mech. Phys. Solids 2006, 54, 2652–2674. [Google Scholar] [CrossRef]
- Thorton, C. Coefficient of restitution for collinear collisions of elastic-perfectly plastic spheres. Trans. Asme J. Appl. Mech. 1997, 64, 383–386. [Google Scholar] [CrossRef]
- He, S.; Wu, Y.; Li, X. Theoretical modelling of elastic-plastic collision of kernels. Eng. Mech. 2008, 25, 19–24. [Google Scholar]
- Brizmer, V.; Kligerman, Y.; Etsion, L. The effect of contact conditions and material properties on the elasticity terminus of a spherical contact. Int. J. Solids Struct. 2006, 43, 5736–5749. [Google Scholar] [CrossRef]
- He, S.; Liao, Z.; Liu, W.; Yan, S. Research on impact damage characteristics of kernels material. Vib. Impact 2016, 35, 100–105. [Google Scholar] [CrossRef]
- Tavares, L.M.; Carvalho, R.M.D. Modeling ore degradation during handling using continuum damage mechanics. Int. J. Miner. Process. 2011, 101, 21–27. [Google Scholar] [CrossRef]
- GB/T 1354-2018; National Standard for Rice. State Administration of Market Supervision and Administration: Beijing, China, 2018.

















| Varieties | k | Poisson’s Ratio µ | Equivalence Radius Re/mm | Apparent Modulus of Elasticity E/N·mm−2 | Combined Modulus of Elasticity E*/N·mm−2 |
|---|---|---|---|---|---|
| Hunan Early indica 45 | 0.851 | 0.3 | 4.07 | 178.99 | 196.69 |
| Hunan Glutinous 28 | 0.910 | 0.3 | 3.98 | 170.84 | 187.74 |
| Southern Japonica 518 | 0.796 | 0.3 | 3.44 | 166.22 | 182.66 |
| Varieties | Average Diameter R’/mm | Average Maximum Crushing force Fc/N | Average Maximum Broken Shape Variable αc/mm | Average Critical Value of Elastic–Plastic Deformation αs/mm | Average Critical Value of Elastic–Plastic Deformation/Thickness of Kernels δ/% |
|---|---|---|---|---|---|
| Hunan Early indica 45 | 1.83 ± 0.09 | 134.77 ± 11.20 | 0.51 ± 0.04 | 0.224 | 12.24 |
| Hunan Glutinous 28 | 1.86 ± 0.01 | 115.64 ± 4.35 | 0.43 ± 0.01 | 0.267 | 14.35 |
| Southern Japonica 518 | 2.18 ± 0.03 | 115.84 ± 5.89 | 0.48 ± 0.17 | 0.280 | 12.84 |
| Varieties | Thicknesses T/mm | Critical Compression Force Fc/N | Critical Deformation αs/mm |
|---|---|---|---|
| Hunan Early indica 45 | 1.78 | 125.15 | 0.227 |
| 1.86 | 127.60 | 0.245 | |
| 1.90 | 151.56 | 0.200 | |
| Hunan Glutinous 28 | 1.78 | 109.24 | 0.248 |
| 1.83 | 115.52 | 0.261 | |
| 1.90 | 122.17 | 0.291 | |
| Southern Japonica 518 | 2.14 | 108.58 | 0.276 |
| 2.18 | 114.29 | 0.267 | |
| 2.22 | 124.71 | 0.297 |
| Compression Deformation αd/mm | 0.20 | 0.25 | 0.30 | 0.35 | 0.40 | 0.45 | 0.50 | 0.55 | 0.60 | |
|---|---|---|---|---|---|---|---|---|---|---|
| Hunan Early indica 45 | Average number of compressions | >30 | 28.6 | 13.7 | 8.6 | 6.1 | 4.3 | 1.5 | 1.3 | 1.0 |
| Hunan Glutinous 28 | >30 | >30 | 21.8 | 6.8 | 4.2 | 1.5 | 1.0 | 1.0 | 1.0 | |
| Southern Japonica 518 | >30 | >30 | 26.3 | 14.5 | 5.2 | 3.1 | 1.6 | 1.0 | 1.0 | |
| Number of Compressions | 1 | 2 | 3 | 4 | 5 | 6 |
|---|---|---|---|---|---|---|
| Elastic–plastic critical force F/N | 63.67 | 70.09 | 74.78 | 70.97 | 68.40 | 61.15 |
| Elastic–plastic critical variables αd/mm | 0.25 | 0.26 | 0.27 | 0.26 | 0.25 | 0.23 |
| F/αd3/2 | 509.36 | 528.68 | 533.02 | 535.32 | 547.20 | 554.38 |
| Equivalence radius Re/mm | 3.98 | 4.76 | 6.53 | 8.45 | 10.69 | 13.98 |
| Combined modulus of elasticity E*/N·mm−2 | 191.49 | 180.61 | 160.29 | 140.38 | 125.46 | 112.01 |
Disclaimer/Publisher’s Note: The statements, opinions and data contained in all publications are solely those of the individual author(s) and contributor(s) and not of MDPI and/or the editor(s). MDPI and/or the editor(s) disclaim responsibility for any injury to people or property resulting from any ideas, methods, instructions or products referred to in the content. |
© 2024 by the authors. Licensee MDPI, Basel, Switzerland. This article is an open access article distributed under the terms and conditions of the Creative Commons Attribution (CC BY) license (https://creativecommons.org/licenses/by/4.0/).
Share and Cite
Liu, X.; Shi, Z.; Zhang, Y.; Li, H.; Pei, H.; Yang, H. Characteristics of Damage to Brown Rice Kernels under Single and Continuous Mechanical Compression Conditions. Foods 2024, 13, 1069. https://doi.org/10.3390/foods13071069
Liu X, Shi Z, Zhang Y, Li H, Pei H, Yang H. Characteristics of Damage to Brown Rice Kernels under Single and Continuous Mechanical Compression Conditions. Foods. 2024; 13(7):1069. https://doi.org/10.3390/foods13071069
Chicago/Turabian StyleLiu, Xiaopeng, Ziang Shi, Yonglin Zhang, Hui Li, Houchang Pei, and Hongjun Yang. 2024. "Characteristics of Damage to Brown Rice Kernels under Single and Continuous Mechanical Compression Conditions" Foods 13, no. 7: 1069. https://doi.org/10.3390/foods13071069
APA StyleLiu, X., Shi, Z., Zhang, Y., Li, H., Pei, H., & Yang, H. (2024). Characteristics of Damage to Brown Rice Kernels under Single and Continuous Mechanical Compression Conditions. Foods, 13(7), 1069. https://doi.org/10.3390/foods13071069
