Changes in the Physicochemical Properties and Microbial Communities of Air-Fried Hairtail Fillets during Storage
Abstract
1. Introduction
2. Materials and Methods
2.1. Materials
2.2. Sample Preparation and Storage
2.3. Determination of Color, pH, and Thiobarbituric Acid Reactive Substance
2.4. Determination of Total Viable Count
2.5. Sensory Assessment
2.6. Microbial Diversity Analysis
2.7. Data Analysis
3. Results and Discussion
3.1. Physicochemical Characteristics
3.2. Microbial Analysis
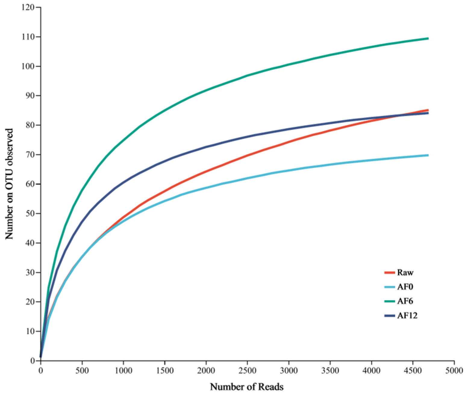
3.2.1. Sequencing Data Analysis
3.2.2. Bacterial Community Composition
3.2.3. Comparison of Microbial Differences of Air-Fried Samples
3.3. Correlation Analysis between Microbial Diversity and Environmental Factors
4. Conclusions
Author Contributions
Funding
Institutional Review Board Statement
Informed Consent Statement
Data Availability Statement
Conflicts of Interest
References
- Shui, S.-S.; Yan, H.-B.; Tu, C.-H.; Benjakul, S.; Aubourg, S.P.; Zhang, B. Cold-induced denaturation of muscle proteins in hairtail. Food Chem. X 2022, 16, 100479. [Google Scholar] [CrossRef] [PubMed]
- Xing, J.-L.; Xu, X.-R.; Luo, X.-H.; Zheng, R.-H.; Shen, J. Characterization of Microbial Community in Cold-Chain Hairtail Fish by High-Throughput Sequencing Technology. J. Food Prot. 2021, 84, 1080–1087. [Google Scholar] [CrossRef] [PubMed]
- Yan, H.-B.; Jiao, L.; Fang, C.-D.; Benjakul, S.; Zhang, B. Chemical and LC-MS-based lipidomics analyses revealed changes in lipid profiles in hairtail (Trichiurus haumela) muscle during chilled storage. Food Res. Int. 2022, 159, 111600. [Google Scholar] [CrossRef] [PubMed]
- Liao, Y.-Q.; Ding, Y.-X.; Du, Q.; Wu, Y.-R.; Lin, H.-M.; Benjakul, S.; Zhang, B. Changes in the lipid profiles of hairtail (Trichiurus lepturus) muscle during air-drying via liquid chromatography-mass spectrometry analysis. Food Chem. X 2023, 17, 100610. [Google Scholar] [CrossRef] [PubMed]
- Zhang, Y.; Tu, C.-H.; Lin, H.-M.; Hu, Y.-W.; Jia, J.-Q.; Shui, S.-S.; Wang, J.-X.; Hu, Y.; Zhang, B. Changes in Physicochemical Characteristics and Microbial Diversity of Traditional Fermented Vinasse Hairtail. Fermentation 2023, 9, 173. [Google Scholar] [CrossRef]
- Ding, Y.-X.; Zhou, T.; Liao, Y.-Q.; Lin, H.-M.; Deng, S.-G.; Zhang, B. Comparative Studies on the Physicochemical and Volatile Flavour Properties of Traditional Deep Fried and Circulating-Air Fried Hairtail (Trichiurus lepturus). Foods 2022, 11, 2710. [Google Scholar] [CrossRef] [PubMed]
- Adrah, K.; Adegoke, S.C.; Tahergorabi, R. Physicochemical and microbial quality of coated raw and oleogel-fried chicken. LWT 2022, 154, 112589. [Google Scholar] [CrossRef]
- Liberty, J.T.; Dehghannya, J.; Ngadi, M.O. Effective strategies for reduction of oil content in deep-fat fried foods: A review. Trends Food Sci. Technol. 2019, 92, 172–183. [Google Scholar] [CrossRef]
- Andrés-Bello, A.; García-Segovia, P.; Martínez-Monzó, J. Vacuum Frying: An Alternative to Obtain High-Quality Dried Products. Food Eng. Rev. 2011, 3, 63. [Google Scholar] [CrossRef]
- Andrés, A.; Arguelles, Á.; Castelló, M.; Heredia, A. Mass Transfer and Volume Changes in French Fries during Air Frying. Food Bioprocess Technol. 2013, 6, 1917–1924. [Google Scholar] [CrossRef]
- Basuny, A.M.M.; Arafat, S.M.; Ahmed, A.A.A. Vaccum frying: An alternative to obtain high quality potato chips and fried oil. Banats J. Biotechnol. 2012, 1, 19–26. [Google Scholar]
- Zhou, M.-Z.; Shi, G.-P.; Deng, Y.; Wang, C.; Qiao, Y.; Xiong, G.-Q.; Wang, L.; Wu, W.-J.; Shi, L.; Ding, A.-Z. Study on the physicochemical and flavor characteristics of air frying and deep frying shrimp (crayfish) meat. Front. Nutr. 2022, 9, 1022590. [Google Scholar] [CrossRef] [PubMed]
- Fan, L.-P.; Zhang, M.; Mujumdar, A.S. Vacuum frying of carrot chips. Dry Technol. 2005, 23, 645–656. [Google Scholar] [CrossRef]
- Lee, J.-S.; Han, J.-W.; Jung, M.; Lee, K.-W.; Chung, M.-S. Effects of thawing and frying methods on the formation of acrylamide and polycyclic aromatic hydrocarbons in chicken meat. Foods 2020, 9, 573. [Google Scholar] [CrossRef] [PubMed]
- Santos, C.; Cunha, S.C.; Casal, S. Deep or air frying? A comparative study with different vegetable oils. Eur. J. Lipid Sci. Technol. 2017, 119, 1600375. [Google Scholar] [CrossRef]
- Qin, R.-K.; Wu, R.-L.; Shi, H.-N.; Jia, C.-H.; Rong, J.-H.; Liu, R. Formation of AGEs in fish cakes during air frying and other traditional heating methods. Food Chem. 2022, 391, 133213. [Google Scholar] [CrossRef] [PubMed]
- Ward, D.M.; Weller, R.; Bateson, M.M. 16S rRNA sequences reveal numerous uncultured microorganisms in a natural community. Nature 1990, 345, 63–65. [Google Scholar] [CrossRef]
- Cocolin, L.; Alessandria, V.; Dolci, P.; Gorra, R.; Rantsiou, K. Culture independent methods to assess the diversity and dynamics of microbiota during food fermentation. Int. J. Food Mocrobiol. 2013, 167, 29–43. [Google Scholar] [CrossRef]
- PolKa, J.; Rebecchi, A.; Pisacane, V.; Morelli, L.; Puglisi, E. Bacterial diversity in typical Italian salami at different ripening stages as revealed by high-throughput sequencing of 16S rRNA amplicons. Food Microbiol. 2015, 46, 342–356. [Google Scholar] [CrossRef]
- Ercolini, D. High-Throughput Sequencing and Metagenomics: Moving Forward in the Culture-Independent Analysis of Food Microbial Ecology. Appl. Environ. Microb. 2013, 79, 3148–3155. [Google Scholar] [CrossRef]
- Jia, S.; Liu, Y.; Zhuang, S.; Sun, X.; Li, Y.; Hong, H.; Lv, Y.; Luo, Y. Effect of ε-polylysine and ice storage on microbiota composition and quality of Pacific white shrimp (Litopenaeus vannamei) stored at 0 °C. Food Microbiol. 2019, 83, 27–35. [Google Scholar] [CrossRef] [PubMed]
- Yang, X.-Y.; Zhu, L.-X.; Zhang, Y.-M.; Liang, R.-R.; Xin, L. Microbial community dynamics analysis by high-throughput sequencing in chilled beef longissimus steaks packaged under modified atmospheres. Meat Sci. 2018, 141, 94–102. [Google Scholar] [CrossRef]
- Xie, J.; Zhang, Z.; Yang, S.-P.; Cheng, Y.; Qian, Y.-F. Study on the spoilage potential of Pseudomonas fluorescens on salmon stored at different temperatures. J. Food Sci. Technol. 2018, 55, 217–225. [Google Scholar] [CrossRef] [PubMed]
- Caporaso, J.G.; Kuczynski, J.; Stombaugh, J.; Bittinger, K.; Bushman, F.D.; Costello, E.K.; Fierer, N.; Peña, A.G.; Goodrich, J.K.; Gordon, J.I.; et al. QIIME allows analysis of high-throughput community sequencing data. Nat. Methods 2010, 7, 335–336. [Google Scholar] [CrossRef]
- Edgar, R.C. Search and clustering orders of magnitude faster than BLAST. Bioinformatics 2010, 26, 2460–2461. [Google Scholar] [CrossRef] [PubMed]
- Francis, F.J.; Clydesdale, F.M. Food Colorimetry: Theory and Applications; AVI Publishing Co., Inc.: Westport, CT, USA, 1975. [Google Scholar]
- Ghaderi-Ghahfarokhi, M.; Barzegar, M.; Sahari, M.A.; Azizi, M.H. Nanoencapsulation Approach to Improve Antimicrobial and Antioxidant Activity of Thyme Essential Oil in Beef Burgers during Refrigerated Storage. Food Bioprocess Technol. 2016, 9, 11–15. [Google Scholar] [CrossRef]
- Li, X.; Li, C.; Ye, H.; Wang, Z.; Wu, X.; Han, Y.; Xu, B. Changes in the microbial communities in vacuum-packaged smoked bacon during storage. Food Microbiol. 2019, 77, 26–37. [Google Scholar] [CrossRef]
- Kaur, M.; Williams, M.; Bissett, A.; Ross, T.; Bowman, J.P. Effect of abattoir, livestock species and storage temperature on bacterial community dynamics and sensory properties of vacuum packaged red meat. Food Microbiol. 2021, 94, 103648. [Google Scholar] [CrossRef]
- Zhuang, S.; Li, Y.; Hong, H.; Liu, Y.; Shu, R.; Luo, Y. Effects of ethyl lauroyl arginate hydrochloride on microbiota, quality and biochemical changes of container-cultured largemouth bass (Micropterus salmonides) fillets during storage at 4 °C. Food Chem. 2020, 324, 126886. [Google Scholar] [CrossRef]
- Wang, Z.-F.; He, Z.-F.; Zhang, D.; Li, H.-J.; Wang, Z.-M. Using oxidation kinetic models to predict the quality indices of rabbit meat under different storage temperatures. Meat Sci. 2020, 162, 108042. [Google Scholar] [CrossRef]
- Cao, Y.; Hao, R.; Guo, Z.; Han, L.; Zhang, W. Combined effects of superchilling and natural extracts on beef preserva-tion quality. Lebensm.-Wiss. Technol. 2021, 153, 112520. [Google Scholar] [CrossRef]
- Cai, W.-Q.; Yue, W.-D.; Xiu, P.-S.; Yu, G.-W.; Jian, L.-L.; Fei, J. Protein oxidation analysis based on comparative proteomic of Russian sturgeon (Acipenser gueldenstaedti) after sous-vide cooking. Food Control 2021, 121, 107594. [Google Scholar] [CrossRef]
- Wu, H.-Z.; Forghani, B.; Abdollahi, M.; Undeland, I. Lipid oxidation in sorted herring (Clupea harengus) filleting co-products from two seasons and its relationship to composition. Food Chem. 2022, 373, 131523. [Google Scholar] [CrossRef] [PubMed]
- Zhou, D.-Y.; Liu, Z.-Y.; Yin, F.-W.; Liu, Z.-Q.; Li, D.-Y.; Shahidi, F. Hydrolysis and oxidation of lipids in mussel Mytilus edulis during cold storage. Food Chem. 2019, 272, 109–116. [Google Scholar] [CrossRef] [PubMed]
- Chen, X.-Y.; Wang, Z.-X.; Li, Y.-Y.; Liu, Q.-Q.; Yuan, C.-L. Survey of the phenolic content and antioxidant properties of wines from five regions of China according to variety and vintage. LWT 2022, 169, 114004. [Google Scholar] [CrossRef]
- Zhang, Y.-A.; Ma, X.-X.; Li, X.-Y.; Bi, J.-R.; Zhang, G.-L.; Hao, H.-S.; Hou, H.-M. Study on microbial community and physicochemical properties of braised chicken during processing and storage microbial community of braised chicken. J. Food Saf. 2022, 42, e12980. [Google Scholar] [CrossRef]
- Chaillou, S.; Chaulot-Talmon, A.; Caekebeke, H.; Cardinal, M.; Christieans, S.; Denis, C.; Desmonts, M.H.; Dousset, X.; Feurer, C.; Hamon, E.; et al. Origin and ecological selection of core and food-specific bacterial communities associated with meat and seafood spoilage. ISME J. 2015, 9, 1105–1118. [Google Scholar] [CrossRef] [PubMed]
- Tian, X.-J.; Wu, W.; Yu, Q.-Q.; Hou, M.; Gao, F.; Li, X.-M.; Dai, R.-T. Bacterial diversity analysis of pork longissimus lumborum fol-lowing long term ohmic cooking and water bath cooking by amplicon sequencing of 16S rRNA gene. Meat Sci. 2017, 123, 97–104. [Google Scholar] [CrossRef]
- Pellissery, A.J.; Vinayamohan, P.G.; Amalaradjou, M.; Venkitanarayanan, K. Spoilage bacteria and meat quality. In Meat Quality Analysis; Academic Press: Cambridge, MA, USA, 2020; pp. 307–334. [Google Scholar]
- Gennari, M.; Parini, M.; Volpon, D.; Serio, M. Isolation and characterization by conventional methods and genetic transformation of Psychrobacter and Acinetobacter from fresh and spoiled meat, milk and cheese. Int. J. Food Mocrobiol. 1992, 15, 61–75. [Google Scholar] [CrossRef]
- Liang, C.; Zhang, D.-Q.; Zheng, X.-C.; Wen, X.-Y.; Hou, C.-L. Effects of different storage temperatures on the physicochemical properties and bacterial community structure of fresh lamb meat. Food Sci. Anim. Resour. 2021, 41, 509–526. [Google Scholar] [CrossRef]
- Ayari, S.; Dussault, D.; Jerbi, T.; Hamdi, M.; Lacroix, M. Radiosensitization of Bacillus cereus spores in minced meat treated with cinnamaldehyde. Radiat. Phys. Chem. 2012, 81, 1173–1176. [Google Scholar] [CrossRef]
- Cai, W.; Tang, F.; Shan, C.; Hou, Q.; Guo, Z. Pretreatment methods affecting the color, flavor, bioactive compounds, and antioxidant activity of jujube wine. Food Sci. Nutr. 2020, 8, 4965–4975. [Google Scholar] [CrossRef] [PubMed]
- Wang, J.-M.; Fu, T.-F.; Sang, X.-H.; Liu, Y.-F. Effects of high voltage atmospheric cold plasma treatment on microbial diversity of tilapia (Oreochromis mossambicus) fillets treated during refrigeration. Int. J. Food Mocrobiol. 2022, 375, 109738. [Google Scholar] [CrossRef] [PubMed]
- Pérez-Pantoja, D.; Donoso, R.; Agulló, L.; Córdova, M.; Seeger, M.; Pieper, D.H.; González, B. Genomic analysis of the potential for aromatic compounds biodegradation in Burkholderiales. Environ. Microbiol. 2012, 14, 1091–1117. [Google Scholar] [CrossRef] [PubMed]
- Wang, Z.; Shi, Y.; Zhou, K.; Zhou, H.; Xu, B. Effects of different thermal temperatures on the shelf life and microbial diversity of Dezhou-braised chicken. Food Res. Int. 2020, 136, 109471. [Google Scholar] [CrossRef]
- Hu, Y.; Xie, H.-G.; Gao, M.-Z.; Huang, P.; Lv, Z.-Y. Dynamic of Composition and Diversity of Gut Microbiota in Triatoma ru-brofasciata in Different Developmental Stages and Environmental Conditions. Front. Cell. Infect. Microbiol. 2020, 10, 587708. [Google Scholar] [CrossRef] [PubMed]
- Kumar, M.; Kumar, A.; Sahu, K.P.; Patel, A.; Rathour, R. Deciphering core-microbiome of rice leaf endosphere: Revela-tion by metagenomic and microbiological analysis of aromatic and non-aromatic genotypes grown in three geographical zones. Microbiol. Res. 2021, 246, 126704. [Google Scholar] [CrossRef]
- Soladoye, O.P.; Shand, P.; Dugan, M.E.R.; Gariépy, C.; Aalhus, J.L.; Estévez, M.; Juárez, M. Influence of cooking methods and storage time on lipid and protein oxidation and heterocyclic aromatic amines production in bacon. Food Res. Int. 2017, 99, 660–669. [Google Scholar] [CrossRef]






| Sample | OTUs | Shannon | Simpson | Chao1 | ACE | Good’s Coverage |
|---|---|---|---|---|---|---|
| Raw | 85 | 1.79 | 0.30 | 105.67 | 106.25 | 0.99 |
| AF0 | 69 | 1.42 | 0.48 | 78.22 | 76.34 | 0.99 |
| AF6 | 109 | 2.40 | 0.26 | 125.68 | 123.80 | 0.99 |
| AF12 | 84 | 2.09 | 0.34 | 90.56 | 89.68 | 0.99 |
Disclaimer/Publisher’s Note: The statements, opinions and data contained in all publications are solely those of the individual author(s) and contributor(s) and not of MDPI and/or the editor(s). MDPI and/or the editor(s) disclaim responsibility for any injury to people or property resulting from any ideas, methods, instructions or products referred to in the content. |
© 2024 by the authors. Licensee MDPI, Basel, Switzerland. This article is an open access article distributed under the terms and conditions of the Creative Commons Attribution (CC BY) license (https://creativecommons.org/licenses/by/4.0/).
Share and Cite
Ding, Y.; Liao, Y.; Xia, J.; Xu, D.; Li, M.; Yang, H.; Lin, H.; Benjakul, S.; Zhang, B. Changes in the Physicochemical Properties and Microbial Communities of Air-Fried Hairtail Fillets during Storage. Foods 2024, 13, 786. https://doi.org/10.3390/foods13050786
Ding Y, Liao Y, Xia J, Xu D, Li M, Yang H, Lin H, Benjakul S, Zhang B. Changes in the Physicochemical Properties and Microbial Communities of Air-Fried Hairtail Fillets during Storage. Foods. 2024; 13(5):786. https://doi.org/10.3390/foods13050786
Chicago/Turabian StyleDing, Yixuan, Yueqin Liao, Jiangyue Xia, Disha Xu, Menghua Li, Hongli Yang, Huimin Lin, Soottawat Benjakul, and Bin Zhang. 2024. "Changes in the Physicochemical Properties and Microbial Communities of Air-Fried Hairtail Fillets during Storage" Foods 13, no. 5: 786. https://doi.org/10.3390/foods13050786
APA StyleDing, Y., Liao, Y., Xia, J., Xu, D., Li, M., Yang, H., Lin, H., Benjakul, S., & Zhang, B. (2024). Changes in the Physicochemical Properties and Microbial Communities of Air-Fried Hairtail Fillets during Storage. Foods, 13(5), 786. https://doi.org/10.3390/foods13050786

