Changes in Milk Protein Functionality at Low Temperatures and Rennet Concentrations
Abstract
1. Introduction
2. Materials and Methods
2.1. Experimental Design
2.2. Proximate Composition and pH
2.3. Capillary Gel Electrophoresis (CGE)
2.4. Hydrodynamic Diameter and Zeta Potential
2.5. Rheological Characteristics
2.6. Foam Properties
2.7. Determination of Water-Holding Capacity (WHC)
2.8. Oil Emulsifying Activity and Emulsion Stability
2.9. Statistical Analyses
3. Results and Discussion
3.1. Proximate Composition
3.2. Capillary Gel Electrophoresis (CGE)
3.3. Hydrodynamic Diameter and Surface Charge
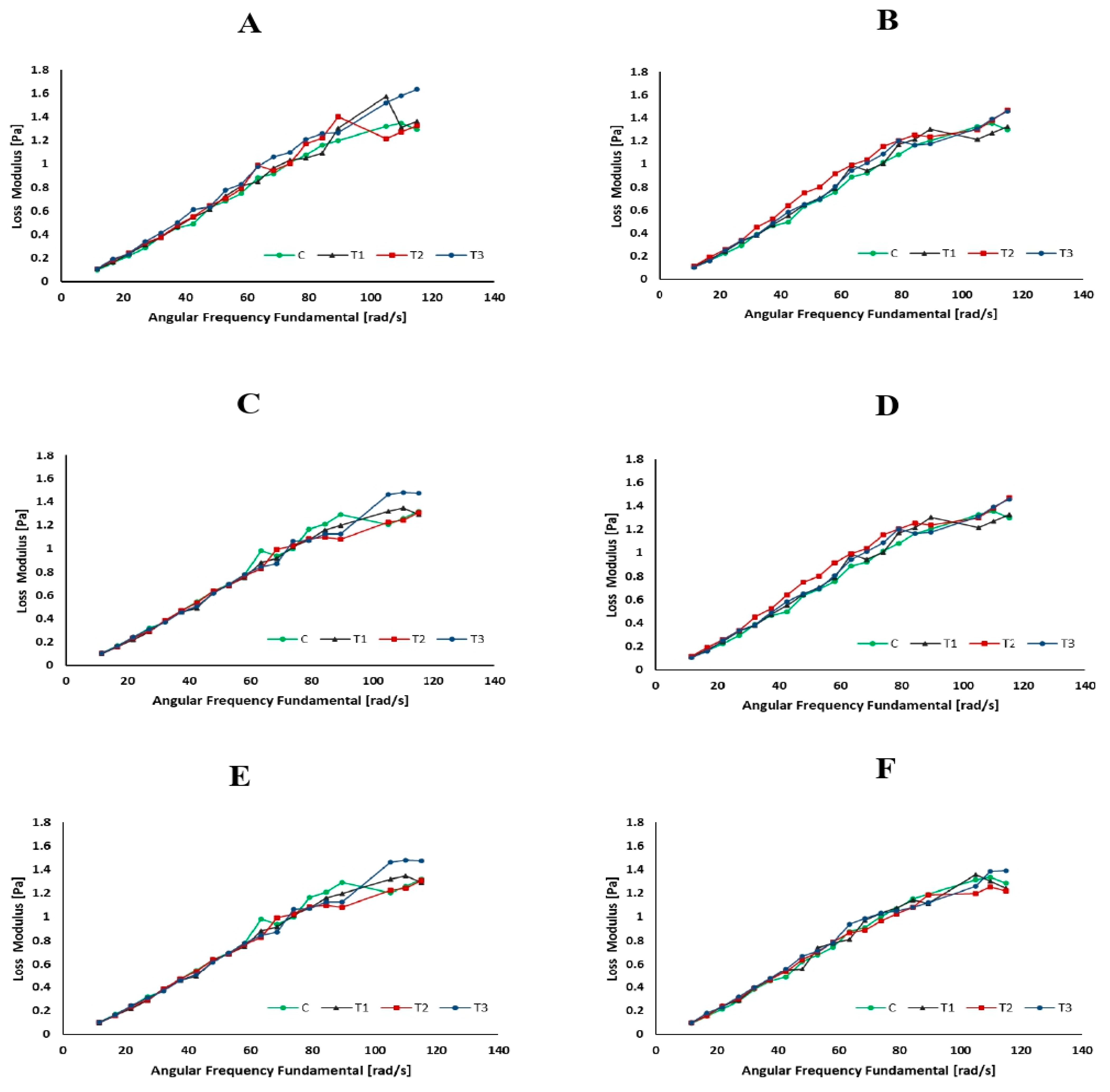
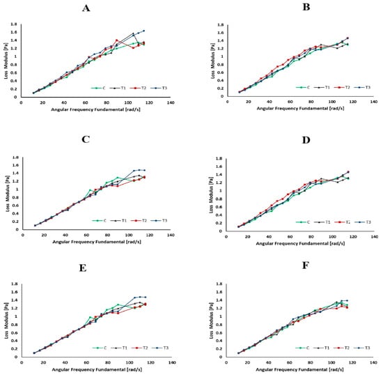
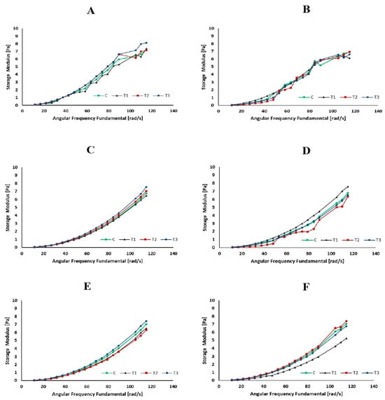
3.4. Rheological Properties
3.5. Foam Properties
3.6. Water-Holding Capacity
3.7. Oil Emulsifying Activity and Emulsion Stability
4. Conclusions
Supplementary Materials
Author Contributions
Funding
Institutional Review Board Statement
Informed Consent Statement
Data Availability Statement
Conflicts of Interest
References
- Patel, H.; Patel, S.; Agarwal, S. Milk Protein Concentrates: Manufacturing and Applications; US Dairy Export Council: Arlington, VA, USA, 2014; pp. 3–4. [Google Scholar]
- Hammam, A.R.A.; Martínez-Monteagudo, S.I.; Metzger, L.E. Progress in micellar casein concentrate: Production and applications. Compr. Rev. Food Sci. Food Saf. 2021, 20, 4426–4449. [Google Scholar] [CrossRef]
- Carter, B.G.; Cheng, N.; Kapoor, R.; Meletharayil, G.H.; Drake, M.A. Invited review: Microfiltration-derived casein and whey proteins from milk. J. Dairy Sci. 2021, 104, 2465–2479. [Google Scholar] [CrossRef]
- Salunke, P.; Metzger, L.E. Impact of transglutaminase treated micellar casein concentrate and milk protein concentrate on the functionality of processed cheese product slice formulations. Food Mater. Res. 2023, 3, 31. [Google Scholar] [CrossRef]
- De Kruif, C.G.; Huppertz, T.; Urban, V.S.; Petukhov, A.V. Casein micelles and their internal structure. Adv. Colloid Interface Sci. 2012, 171, 36–52. [Google Scholar] [CrossRef]
- Dalgleish, D.G.; Corredig, M. The structure of the casein micelle of milk and its changes during processing. Annu. Rev. Food Sci. Technol. 2012, 3, 449–467. [Google Scholar] [CrossRef] [PubMed]
- Dickinson, E. Molecular basis of protein functionality. In Advances in Food Colloids; Springer: Berlin/Heidelberg, Germany, 1995; pp. 27–76. [Google Scholar]
- Augustin, M.A.; Oliver, C.M.; Hemar, Y. Casein, caseinates, and milk protein concentrates. Dairy Ingred. Food Process. 2011, 1, 161–178. [Google Scholar]
- Salunke, P.; Metzger, L.E. Functional characteristics of process cheese product as affected by milk protein concentrate and micellar casein concentrate at different usage levels. Int. Dairy J. 2022, 128, 105324. [Google Scholar] [CrossRef]
- Salunke, P.; Metzger, L.E. Functional properties of milk protein concentrate and micellar casein concentrate as affected by transglutaminase treatment. Food Hydrocoll. 2023, 137, 108367. [Google Scholar] [CrossRef]
- Salunke, P.; Metzger, L.E. Impact of transglutaminase treatment given to the skim milk before or after microfiltration on the functionality of micellar casein concentrate used in process cheese product and comparison with rennet casein. Int. Dairy J. 2022, 128, 105317. [Google Scholar] [CrossRef]
- Augustin, M.A.; Udabage, P. Influence of processing on functionality of milk and dairy proteins. In Advances in Food and Nutrition Research; Elsevier: Amsterdam, The Netherlands, 2007; Volume 53, pp. 1–38. [Google Scholar]
- Kethireddipalli, P.; Hill, A.R. Rennet coagulation and cheesemaking properties of thermally processed milk: Overview and recent developments. J. Agric. Food Chem. 2015, 63, 9389–9403. [Google Scholar] [CrossRef] [PubMed]
- Smith, P.J.; Ortiz-Soto, M.E.; Roth, C.; Barnes, W.J.; Seibel, J.; Urbanowicz, B.R.; Pfrengle, F. Enzymatic synthesis of artificial polysaccharides. ACS Sustain. Chem. Eng. 2020, 8, 11853–11871. [Google Scholar] [CrossRef]
- Chen, L.; Dai, Y.; Hou, H.; Wang, W.; Ding, X.; Zhang, H.; Li, X.; Dong, H. Effect of high pressure microfluidization on the morphology, structure and rheology of sweet potato starch. Food Hydrocoll. 2021, 115, 106606. [Google Scholar] [CrossRef]
- Kleekayai, T.; Singh, U.; FitzGerald, R.J. Optimisation of low temperature (8 °C) enzymatic hydrolysis of acid whey using design of experiments (DOE) for the generation of thermally stable whey protein hydrolysates. Food Hydrocoll. 2024, 147, 109351. [Google Scholar] [CrossRef]
- Chao, D.; Jung, S.; Aluko, R.E. Physicochemical and functional properties of high pressure-treated isolated pea protein. Innov. Food Sci. Emerg. Technol. 2018, 45, 179–185. [Google Scholar] [CrossRef]
- Andrén, A. Milk-clotting enzymes. In Agents Change: Enzymes in Milk and Dairy Products; Springer: Berlin/Heidelberg, Germany, 2021; pp. 349–362. [Google Scholar]
- Arbita, A.A.; Zhao, J. Milk clotting enzymes from marine resources and their role in cheese-making: A mini review. Crit. Rev. Food Sci. Nutr. 2023, 7, 1–12. [Google Scholar] [CrossRef]
- Berridge, N.J. The second phase of rennet coagulation. Nature 1942, 149, 194–195. [Google Scholar] [CrossRef]
- Dalgleish, D.G. Coagulation of renneted bovine casein micelles: Dependence on temperature, calcium ion concentration and ionic strength. J. Dairy Res. 1983, 50, 331–340. [Google Scholar] [CrossRef]
- Fox, P.F.; Mcsweeney, P.L.H.; Paul, L.H. Dairy Chemistry and Biochemistry; Springer: Berlin/Heidelberg, Germany, 1998. [Google Scholar]
- Lucey, J.A. Rennet Coagulation of Milk; Elsevier: Amsterdam, The Netherlands, 2022. [Google Scholar]
- Esteves, C.L.C.; Lucey, J.A.; Hyslop, D.B.; Pires, E.M.V. Effect of gelation temperature on the properties of skim milk gels made from plant coagulants and chymosin. Int. Dairy J. 2003, 13, 877–885. [Google Scholar] [CrossRef]
- Effront, J. Biochemical Catalysts in Life and Industry: Proteolytic Enzymes; John Wiley & Sons: Hoboken, NJ, USA, 1917. [Google Scholar]
- Bansal, N.; Fox, P.F.; McSweeney, P.L.H. Aggregation of rennet-altered casein micelles at low temperatures. J. Agric. Food Chem. 2007, 55, 3120–3126. [Google Scholar] [CrossRef]
- Gruppi, A.; Dermiki, M.; Spigno, G.; FitzGerald, R.J. Impact of enzymatic hydrolysis and heat inactivation on the physicochemical properties of milk protein hydrolysates. Foods 2022, 11, 516. [Google Scholar] [CrossRef] [PubMed]
- Cui, Q.; Sun, Y.; Zhou, Z.; Cheng, J.; Guo, M. Effects of enzymatic hydrolysis on physicochemical properties and solubility and bitterness of milk protein hydrolysates. Foods 2021, 10, 2462. [Google Scholar] [CrossRef] [PubMed]
- McGorrin, R.J. Flavour and Consumer Perception of Food Proteins; Zhao, J., Liu, C., Eds.; Royal Society of Chemistry: London, UK, 2023; Volume 41, pp. 91–118. [Google Scholar]
- AOAC. Analysis of Total Fat; AOAC: Rockville, MD, USA, 2000. [Google Scholar]
- Salunke, P.; Marella, C.; Metzger, L.E. Microfiltration and Ultrafiltration Process to Produce Micellar Casein and Milk Protein Concentrates with 80% Crude Protein Content: Partitioning of Various Protein Fractions and Constituents. Dairy 2021, 2, 367–384. [Google Scholar] [CrossRef]
- Miralles, B.; Ramos, M.; Amigo, L. Influence of proteolysis of milk on the whey protein to total protein ratio as determined by capillary electrophoresis. J. Dairy Sci. 2003, 86, 2813–2817. [Google Scholar] [CrossRef]
- Olson, D.W.; White, C.H.; Richter, R.L. Effect of pressure and fat content on particle sizes in microfluidized milk. J. Dairy Sci. 2004, 87, 3217–3223. [Google Scholar] [CrossRef] [PubMed]
- Sutariya, S.G.; Salunke, P. Effect of hyaluronic acid on milk properties: Rheology, protein stability, acid and rennet gelation properties. Food Hydrocoll. 2022, 131, 107740. [Google Scholar] [CrossRef]
- Petkova, N.; Vassilev, D.; Grudeva, R.; Tumbarski, Y.; Vasileva, I.; Koleva, M.; Denev, P. “Green” synthesis of sucrose octaacetate and characterization of its physicochemical properties and antimicrobial activity. Chem. Biochem. Eng. Q. 2017, 31, 395–402. [Google Scholar] [CrossRef]
- Li, X.; Spencer, G.W.K.; Ong, L.; Gras, S.L. Beta casein proteins–A comparison between caprine and bovine milk. Trends Food Sci. Technol. 2022, 121, 30–43. [Google Scholar] [CrossRef]
- Benvenutti, L.; Zielinski, A.A.F.; Ferreira, S.R.S. Subcritical water extraction (SWE) modified by deep eutectic solvent (DES) for pectin recovery from a Brazilian berry by-product. J. Supercrit. Fluids 2022, 189, 105729. [Google Scholar] [CrossRef]
- Lu, Y.; McMahon, D.J.; Metzger, L.E.; Kommineni, A.; Vollmer, A.H. Solubilization of rehydrated frozen highly concentrated micellar casein for use in liquid food applications. J. Dairy Sci. 2015, 98, 5917–5930. [Google Scholar] [CrossRef]
- Garg, S.K.; Johri, B.N. Rennet: Current trends and future research. Food Rev. Int. 1994, 10, 313–355. [Google Scholar] [CrossRef]
- Hamdy, A.M.; Ahmed, M.E.; Mehta, D.; Elfaruk, M.S.; Hammam, A.R.A.; El-Derwy, Y.M.A. Enhancement of low-fat Feta cheese characteristics using probiotic bacteria. Food Sci. Nutr. 2021, 9, 62–70. [Google Scholar] [CrossRef]
- Fox, P.F.; Uniacke-Lowe, T.; McSweeney, P.L.H.; O’Mahony, J.A.; Fox, P.F.; Uniacke-Lowe, T.; McSweeney, P.L.H.; O’Mahony, J.A. Milk proteins. In Dairy Chemistry and Biochemistry; Springer: Berlin/Heidelberg, Germany, 2015; pp. 145–239. [Google Scholar]
- Kocabaş, D.S.; Lyne, J.; Ustunol, Z. Hydrolytic enzymes in the dairy industry: Applications, market and future perspectives. Trends Food Sci. Technol. 2022, 119, 467–475. [Google Scholar] [CrossRef]
- Zhu, Z.; Lu, J.J.; Liu, S. Protein separation by capillary gel electrophoresis: A review. Anal. Chim. Acta 2012, 709, 21–31. [Google Scholar] [CrossRef] [PubMed]
- Anema, S.G. The use of “lab-on-a-chip” microfluidic SDS electrophoresis technology for the separation and quantification of milk proteins. Int. Dairy J. 2009, 19, 198–204. [Google Scholar] [CrossRef]
- Salunke, P. Impact of Transglutaminase on the Functionality of Milk Protein Concentrate and Micellar Casein Concentrate; South Dakota State University: Brookings, SD, USA, 2013. [Google Scholar]
- Creamer, L.K.; Richardson, T. Anomalous behavior of bovine αs1-and β-caseins on gel electrophoresis in sodium dodecyl sulfate buffers. Arch. Biochem. Biophys. 1984, 234, 476–486. [Google Scholar] [CrossRef] [PubMed]
- Farrell, H.M., Jr.; Jimenez-Flores, R.; Bleck, G.T.; Brown, E.M.; Butler, J.E.; Creamer, L.K.; Hicks, C.L.; Hollar, C.M.; Ng-Kwai-Hang, K.F.; Swaisgood, H.E. Nomenclature of the proteins of cows’ milk—Sixth revision. J. Dairy Sci. 2004, 87, 1641–1674. [Google Scholar] [CrossRef]
- Walstra, P.; Jenness, R. Dairy Chemistry & Physics; John Wiley & Sons: Hoboken, NJ, USA, 1984; ISBN 0471097799. [Google Scholar]
- Vallejo, J.A.; Ageitos, J.M.; Poza, M.; Villa, T.G. A comparative analysis of recombinant chymosins. J. Dairy Sci. 2012, 95, 609–613. [Google Scholar] [CrossRef] [PubMed]
- Chitpinityol, S.; Goode, D.; Crabbe, M.J.C. Site-specific mutations of calf chymosin B which influence milk-clotting activity. Food Chem. 1998, 62, 133–139. [Google Scholar] [CrossRef]
- Hammam, A.R.A.; Beckman, S.L.; Sunkesula, V.; Metzger, L.E. Highly concentrated micellar casein: Impact of its storage stability on the functional characteristics of process cheese products. LWT 2022, 161, 113384. [Google Scholar] [CrossRef]
- Soodam, K.; Ong, L.; Powell, I.B.; Kentish, S.E.; Gras, S.L. Effect of rennet on the composition, proteolysis and microstructure of reduced-fat Cheddar cheese during ripening. Dairy Sci. Technol. 2015, 95, 665–686. [Google Scholar] [CrossRef]
- Trujillo, A.J.; Guamis, B.; Carretero, C. Proteolysis of goat casein by calf rennet. Int. Dairy J. 1997, 7, 579–588. [Google Scholar] [CrossRef]
- Li, K.; Woo, M.W.; Patel, H.; Metzger, L.; Selomulya, C. Improvement of rheological and functional properties of milk protein concentrate by hydrodynamic cavitation. J. Food Eng. 2018, 221, 106–113. [Google Scholar] [CrossRef]
- Cano-Sarmiento, C.; Téllez-Medina, D.I.; Viveros-Contreras, R.; Cornejo-Mazón, M.; Figueroa-Hernández, C.Y.; García-Armenta, E.; Alamilla-Beltrán, L.; García, H.S.; Gutiérrez-López, G.F. Zeta potential of food matrices. Food Eng. Rev. 2018, 10, 113–138. [Google Scholar] [CrossRef]
- Salık, M.A.; Çakmakçı, S. Standardisation of traditional rennet produced from sheep abomasum. Int. Dairy J. 2023, 144, 105705. [Google Scholar] [CrossRef]
- Zhao, Z.; Corredig, M. Colloidal properties of casein micelles suspensions as a function of pH during concentration by osmotic stressing. Food Hydrocoll. 2016, 60, 445–452. [Google Scholar] [CrossRef]
- Darling, D.F.; Dickson, J. Electrophoretic mobility of casein micelles. J. Dairy Res. 1979, 46, 441–451. [Google Scholar] [CrossRef]
- Zheng, H. Introduction: Measuring rheological properties of foods. In Rheology of Semisolid Foods; Springer: Berlin/Heidelberg, Germany, 2019; pp. 3–30. [Google Scholar]
- Lodaite, K.; Chevalier, F.; Armaforte, E.; Kelly, A.L. Effect of high-pressure homogenisation on rheological properties of rennet-induced skim milk and standardised milk gels. J. Dairy Res. 2009, 76, 294–300. [Google Scholar] [CrossRef]
- Lomholt, S.B.; Qvist, K.B. Relationship between rheological properties and degree of κ-casein proteolysis during renneting of milk. J. Dairy Res. 1997, 64, 541–549. [Google Scholar] [CrossRef]
- Foegeding, A.; Vardhanabhuti, B.; Yang, X. Dairy systems. In Practical Food Rheology: An Interpretive Approach; Blackwell Publishing Ltd.: Hoboken, NJ, USA, 2011; pp. 133–172. [Google Scholar]
- Xiong, X.; Ho, M.T.; Bhandari, B.; Bansal, N. Foaming properties of milk protein dispersions at different protein content and casein to whey protein ratios. Int. Dairy J. 2020, 109, 104758. [Google Scholar] [CrossRef]
- Ma, Y.-R.; Banwell, M.G.; Yan, R.; Lan, P. Comparative study of the emulsifying properties of a homologous series of long-chain 6′-O-acylmaltose esters. J. Agric. Food Chem. 2018, 66, 8832–8840. [Google Scholar] [CrossRef] [PubMed]
- Brückner-Gühmann, M.S. Investigations into Structure Formation of Dairy Products. Ph.D. Thesis, Technischen Universität Berlin, Berlin, Geramny, 2011. [Google Scholar]
- Natarajan, K. Effect of Storage Conditions on the Solubility and Rennet Gelation Characteristics of Micellar Casein Concentrate (MCC): A Thesis Presented in Partial Fulfilment of the Requirements for the Degree of Master of Food Technology at Massey University, Palmerston North, New Zealand. Ph.D Thesis, Massey University, Palmerston North, New Zealand, 2021. [Google Scholar]
- Li, Q.; Zhao, Z. Acid and rennet-induced coagulation behavior of casein micelles with modified structure. Food Chem. 2019, 291, 231–238. [Google Scholar] [CrossRef] [PubMed]
- McClements, D.J.; Grossmann, L. The science of plant-based foods: Constructing next-generation meat, fish, milk, and egg analogs. Compr. Rev. Food Sci. Food Saf. 2021, 20, 4049–4100. [Google Scholar] [CrossRef] [PubMed]
- Horne, D.S. Casein micelle structure and stability. In Milk Proteins; Elsevier: Amsterdam, The Netherlands, 2020; pp. 213–250. [Google Scholar]
- Darewicz, M.; Dziuba, J.; Dziuba, M. Functional properties and biological activities of bovine casein proteins and peptides. Polish J. Food Nutr. Sci. 2006, 15, 79. [Google Scholar]
- McClements, D.J. Whey Protein-Stabilized Emulsions. In Whey Processing, Functionality and Health Benefits; John Wiley & Sons, Inc.: Hoboken, NJ, USA, 2008; pp. 63–97. [Google Scholar]
- Gaygadzhiev, Z.; Hill, A.; Corredig, M. Influence of the emulsion droplet type on the rheological characteristics and microstructure of rennet gels from reconstituted milk. J. Dairy Res. 2009, 76, 349–355. [Google Scholar] [CrossRef] [PubMed]
- Holt, C.; Carver, J.A.; Ecroyd, H.; Thorn, D.C. Invited review: Caseins and the casein micelle: Their biological functions, structures, and behavior in foods. J. Dairy Sci. 2013, 96, 6127–6146. [Google Scholar] [CrossRef]






| Treatments | Rennet (mL/100 mL) |
|---|---|
| C | - |
| T 1 | 0.001 |
| T 2 | 0.01 |
| T 3 | 0.1 |
| Fat% | Lactose% | TS% | SNF% | pH | TP% | NCN | NPN |
|---|---|---|---|---|---|---|---|
| 0.18 ± 0.00 | 4.93 ± 0.01 | 9.72 ± 0.01 | 9.54 ± 0.00 | 6.62 ± 0.00 | 3.61 ± 0.00 | 0.67 ± 0.00 | 0.18 ± 0.00 |
| Factors | df | pH | TP | NCN | NPN |
|---|---|---|---|---|---|
| Treatments 1 | 3 | 0.03 (<0.05) * | 0.001 (0.77) | 0.52 (<0.05) * | 0.16 (<0.05) * |
| Time 2 (h) | 5 | 0.20 (<0.05) * | 0.0007 (0.98) | 0.53 (<0.05) * | 0.14 (<0.05) * |
| Treatments 1 × Time 2 (h) | 15 | 0.002 (0.70) | 0.00007 (1) | 0.06 (<0.05) * | 0.01 (<0.05) * |
| Error | 48 | 0.003 | 0.005 | 0.007 | 0.0004 |
| Time 2 (h) | ||||||
|---|---|---|---|---|---|---|
| Treatments 1 | 0 | 1 | 2 | 6 | 12 | 24 |
| pH | ||||||
| C | 6.63 a ± 0.03 | 6.63 a ± 0.03 | 6.63 a ± 0.02 | 6.63 a ± 0.03 | 6.63 a ± 0.01 | 6.63 a ± 0.02 |
| T1 | 6.63 a ± 0.03 | 6.63 a ± 0.03 | 6.56 ab ± 0.01 | 6.56 ab ± 0.02 | 6.56 ab ± 0.04 | 6.63 a ± 0.01 |
| T2 | 6.55 ab ± 0.03 | 6.55 ab ± 0.03 | 6.55 ab ± 0.01 | 6.55 ab ± 0.02 | 6.55 ab ± 0.03 | 6.55 ab ± 0.01 |
| T3 | 6.53 ab ± 0.03 | 6.46 b ± 0.02 | 6.53 ab ± 0.04 | 6.46 b ± 0.01 | 6.46 b ± 0.02 | 6.53 ab ± 0.04 |
| TP% | ||||||
| C | 3.58 ± 0.03 | 3.58 ± 0.03 | 3.58 ± 0.03 | 3.58 ± 0.03 | 3.58 ± 0.03 | 3.58 ± 0.03 |
| T1 | 3.58 ± 0.03 | 3.60 ± 0.04 | 3.60 ± 0.04 | 3.60 ± 0.04 | 3.60 ± 0.04 | 3.60 ± 0.04 |
| T2 | 3.58 ± 0.03 | 3.60 ± 0.04 | 3.60 ± 0.04 | 3.60 ± 0.04 | 3.60 ± 0.04 | 3.60 ± 0.04 |
| T3 | 3.58 ± 0.03 | 3.60 ± 0.04 | 3.60 ± 0.04 | 3.60 ± 0.04 | 3.60 ± 0.04 | 3.60 ± 0.04 |
| NCN% | ||||||
| C | 0.67 g ± 0.02 | 0.67 g ± 0.02 | 0.67 g ± 0.02 | 0.67 g ± 0.02 | 0.67 g ± 0.02 | 0.67 g ± 0.02 |
| T1 | 0.67 g ± 0.02 | 0.73 fg ± 0.02 | 0.77 fg ± 0.03 | 0.99 de ± 0.07 | 1.11 cd ± 0.07 | 1.26 bc ± 0.06 |
| T2 | 0.67 g ± 0.02 | 0.78 fg ± 0.02 | 0.80 fg ± 0.01 | 1.13 c ± 0.08 | 1.25 bc ± 0.07 | 1.34 ab ± 0.06 |
| T3 | 0.67 g ± 0.02 | 0.79 fg ± 0.01 | 0.88 ef ± 0.02 | 1.19 bc ± 0.08 | 1.31 b ± 0.06 | 1.48 a ± 0.07 |
| NPN% | ||||||
| C | 0.18 i ± 0.01 | 0.18 i ± 0.01 | 0.18 i ± 0.01 | 0.18 i ± 0.01 | 0.18 i ± 0.01 | 0.18 i ± 0.01 |
| T1 | 0.18 i ± 0.01 | 0.21 hi ± 0.01 | 0.24 g ± 0.00 | 0.31 f ± 0.00 | 0.39 e ± 0.00 | 0.43 d ± 0.00 |
| T2 | 0.18 i ± 0.01 | 0.24 gh ± 0.00 | 0.26 g ± 0.00 | 0.36 e ± 0.00 | 0.47 c ± 0.01 | 0.54 b ± 0.01 |
| T3 | 0.18 i ± 0.01 | 0.26 g ± 0.00 | 0.31 f ± 0.01 | 0.43 d ± 0.01 | 0.54 b ± 0.00 | 0.68 a ± 0.00 |
| Factors | df | LMWP | α-LA | β-LG | γ-CN | β-Casein | α-S1 | α-S2 | κ-CN | HMWP |
|---|---|---|---|---|---|---|---|---|---|---|
| Treatments 1 | 3 | 1.70 (<0.05) * | 0.48 (0.25) | 1.18 (0.34) | 0.16 (0.005) * | 9.41 (<0.05) * | 1.65 (0.30) | 7.14 (0.04) | 2.46 (<0.05) * | 0.09 (<0.05) * |
| Time 2 (h) | 5 | 9.42 (<0.05) * | 2.32 (<0.05) * | 3.59 (<0.05) * | 1.80 (<0.05) * | 6.40 (0.08) | 8.39 (<0.05) * | 10.98 (0.003) | 9.97 (<0.05) * | 0.17 (<0.05) * |
| Treatments 1 × Time 2 (h) | 15 | 1.05 (<0.05) * | 0.25 (0.72) | 0.65 (0.83) | 0.23 (<0.05) * | 1.42 (0.95) | 2.74 (0.03) | 1.88 (0.73) | 1.45 (<0.05) * | 0.02 (<0.05) * |
| Error | 48 | 0.05 | 0.34 | 1.03 | 0.04 | 3.12 | 1.32 | 2.53 | 0.005 |
| Treatments 1 | Time 2 | LMWP | α-LA | β-LG | γ-CN | β-Casein | α-S1 | α-S2 | κ-CN | HMWP |
|---|---|---|---|---|---|---|---|---|---|---|
| C | 0 | 2.31 fg ± 0.12 | 4.69 ± 0.46 | 10.98 ± 0.34 | 1.38 efg ± 0.07 | 29.13 ± 0.72 | 34.75 ± 0.78 | 9.10 ± 1.24 | 7.60 abc ± 0.39 | 0.06 g ± 0.03 |
| 1 | 2.14 g ± 0.11 | 3.57 ± 0.37 | 11.73 ± 0.33 | 1.32 efg ± 0.20 | 31.15 ± 0.68 | 32.62 abc ± 0.61 | 8.99 ± 1.16 | 8.37 a ± 0.24 | 0.12 efg ± 0.02 | |
| 2 | 2.58 fg ± 0.15 | 4.70 ± 0.17 | 10.72 ± 0.23 | 1.37 efg ± 0.06 | 29.80 ± 0.95 | 34.08 abc ± 0.46 | 9.10 ± 0.31 | 7.62 abc ± 0.27 | 0.03 g ± 0.02 | |
| 6 | 2.77 f ± 0.10 | 4.56 ± 0.26 | 11.11 ± 0.25 | 1.31 efg ± 0.09 | 29.03 ± 0.97 | 34.08 abc ± 0.23 | 9.14 ± 0.22 | 7.97 a ± 0.28 | 0.02 g ± 0.01 | |
| 12 | 2.89 f ± 0.02 | 4.68 ± 0.30 | 10.73 ± 0.64 | 1.32 efg ± 0.05 | 28.24 ± 1.72 | 35.43 ab ± 0.22 | 8.74 ± 0.51 | 7.90 ab ± 0.29 | 0.08 g ± 0.02 | |
| 24 | 2.51 fg ± 0.34 | 5.01 ± 0.43 | 11.12 ± 0.26 | 1.51 efg ± 0.12 | 30.18 ± 0.28 | 32.71 abc ± 1.51 | 9.29 ± 1.28 | 7.52 abc ± 0.53 | 0.14 efg ± 0.02 | |
| T1 | 0 | 2.80 f ± 0.09 | 4.46 ± 0.60 | 9.99 ± 1.05 | 1.05 gh ± 0.21 | 27.87 ± 1.14 | 34.28 abc ± 0.99 | 11.83 ± 2.01 | 7.59 abc ± 0.17 | 0.13 efg ± 0.02 |
| 1 | 2.10 g ± 0.34 | 3.83 ± 0.30 | 11.05 ± 0.14 | 1.39 efg ± 0.10 | 29.34 ± 0.46 | 33.24 abc ± 0.63 | 11.34 ± 0.13 | 7.57 abc ± 0.72 | 0.14 efg ± 0.05 | |
| 2 | 2.51 fg ± 0.03 | 4.67 ± 0.58 | 11.60 ± 0.81 | 1.38 efg ± 0.07 | 27.60 ± 0.62 | 33.89 ab ± 0.21 | 9.74 ± 0.87 | 8.54 a ± 0.29 | 0.07 g ± 0.01 | |
| 6 | 2.82 f ±0.05 | 5.06 ± 0.15 | 11.30 ± 0.66 | 1.49 efg ± 0.04 | 27.73 ± 1.19 | 33.60 abc ± 0.60 | 9.51 ± 0.14 | 8.47 a ± 0.16 | 0.03 g ± 0.03 | |
| 12 | 3.66 e ± 0.07 | 4.98 ± 0.19 | 10.54 ± 0.67 | 1.71 def ± 0.03 | 28.73 ± 1.14 | 34.77 abc ± 0.18 | 8.82 ± 0.25 | 6.62 bcd ± 0.01 | 0.18 defg ± 0.03 | |
| 24 | 4.57 c ± 0.07 | 4.73 ± 0.55 | 10.02 ± 1.00 | 2.18 bc ± 0.09 | 27.11 ± 1.17 | 33.22 abc ± 0.89 | 11.75 ± 1.93 | 6.11 de ± 0.08 | 0.32 bcd ± 0.13 | |
| T2 | 0 | 2.81 f ± 0.08 | 4.74 ± 0.38 | 10.40 ± 0.62 | 1.15 gh ± 0.13 | 28.39 ± 0.60 | 31.89 bc ± 0.63 | 11.97 ± 0.82 | 8.34 a ± 0.18 | 0.31 bcde ± 0.02 |
| 1 | 2.27 fg ± 0.16 | 4.55 ± 0.25 | 11.55 ± 0.24 | 1.31 efg ± 0.12 | 29.36 ± 0.53 | 31.98 abc ± 0.54 | 10.64 ± 0.78 | 8.11 a ± 0.11 | 0.21 defg ± 0.05 | |
| 2 | 2.16 g ± 0.17 | 4.69 ± 0.07 | 11.07 ± 0.46 | 1.48 efg ± 0.08 | 27.92 ± 0.29 | 35.04 abc ± 0.72 | 9.73 ± 0.34 | 7.75 ab ± 0.30 | 0.15 efg ± 0.02 | |
| 6 | 2.65 fg ± 0.04 | 5.02 ± 0.31 | 10.93 ± 0.21 | 1.37 efg ± 0.04 | 28.14 ± 1.06 | 35.49 a ± 0.35 | 8.77 ± 0.12 | 7.59 abc ± 0.15 | 0.03 g ± 0.04 | |
| 12 | 3.81 de ± 0.03 | 5.07 ± 0.25 | 10.25 ± 0.31 | 1.83 cde ± 0.07 | 29.53 ± 0.66 | 34.68 abc ± 0.76 | 8.15 ± 0.10 | 6.38 cde ± 0.03 | 0.29 cdef ± 0.02 | |
| 24 | 5.09 b ± 0.07 | 4.99 ± 0.32 | 10.51 ± 0.63 | 2.40 ab ± 0.06 | 27.89 ± 0.65 | 31.26 c ± 0.57 | 12.02 ± 0.76 | 5.39 e ± 0.09 | 0.45 ab ± 0.04 | |
| T3 | 0 | 2.50 fg ± 0.13 | 4.38 ± 0.04 | 9.38 ± 0.59 | 1.04 gh ± 0.11 | 29.59 ± 1.16 | 34.44 abc ± 0.37 | 11.10 ± 1.47 | 7.50 abc ± 0.29 | 0.07 fg ± 0.02 |
| 1 | 2.04 g ± 0.02 | 3.24 ± 0.05 | 11.78 ± 1.11 | 0.82 h ± 0.15 | 31.35 ± 0.84 | 33.99 abc ± 0.83 | 8.37 ± 0.40 | 8.29 a ± 0.20 | 0.12 g ± 0.02 | |
| 2 | 2.11 g ± 0.09 | 4.31 ± 0.17 | 10.55 ± 0.35 | 1.17 fgh ± 0.18 | 29.64 ± 1.16 | 35.21 ab ± 0.20 | 9.68 ± 0.16 | 7.27 abc ± 0.02 | 0.06 g ± 0.02 | |
| 6 | 2.77 f ± 0.07 | 5.25 ± 0.41 | 11.29 ± 0.58 | 1.35 efg ± 0.08 | 27.87 ± 1.68 | 33.53 abc ± 0.63 | 9.59 ± 0.55 | 8.31 a ± 0.34 | 0.03 g ± 0.10 | |
| 12 | 4.13 d ± 0.11 | 5.20 ± 0.37 | 10.38 ± 0.40 | 1.94 cd ± 0.05 | 29.19 ± 1.58 | 33.90 abc ± 0.42 | 8.75 ± 0.39 | 6.12 de ± 0.03 | 0.39 abc ± 0.01 | |
| 24 | 5.69 a ± 0.09 | 4.43 ± 0.08 | 9.26 ± 0.58 | 2.65 a ± 0.13 | 28.83 ± 1.26 | 33.50 abc ± 0.20 | 10.89 ± 1.40 | 4.23 f ± 0.11 | 0.53 a ± 0.07 |
| Factors | df | Hydrodynamic Diameter | Zeta Potential |
|---|---|---|---|
| Treatments 1 | 3 | 0.003 (<0.05) | 0.00001 (<0.05) |
| Time 2 (h) | 5 | 0.007 (<0.05) | 0.00005 (<0.05) |
| Treatments 1 × Time 2 (h) | 15 | 0.002 (<0.05) | 0.00003 (<0.05) |
| Error | 48 | 0.00001 | 0.0000003 |
| Time 2 (h) | ||||||
|---|---|---|---|---|---|---|
| Treatments 1 | 0 | 1 | 2 | 6 | 12 | 24 |
| Hydrodynamic Diameter (µm) | ||||||
| C | 0.18 efg ± 0.00 | 0.19 defg ± 0.00 | 0.18 def ± 0.00 | 0.18 g ± 0.00 | 0.18 fg ± 0.00 | 0.18 efg ± 0.00 |
| T1 | 0.18 efg ± 0.00 | 0.18 defg ± 0.00 | 0.19 de ± 0.00 | 0.18 efg ± 0.00 | 0.18 efg ± 0.00 | 0.22 c ± 0.00 |
| T2 | 0.18 defg ± 0.00 | 0.19 defg ± 0.00 | 0.18 defg ± 0.00 | 0.18 efg ± 0.00 | 0.19 def ± 0.00 | 0.24 b ± 0.00 |
| T3 | 0.18 defg ± 0.00 | 0.18 defg ± 0.00 | 0.19 d ± 0.00 | 0.18 efg ± 0.00 | 0.18 defg ± 0.00 | 0.33 a ± 0.00 |
| Zeta potential (mv) | ||||||
| C | −4.10 ab ± 0.53 | −4.83 abc ± 0.27 | −4.86 abc ± 0.15 | −5.69 bc ± 0.23 | −5.58 abc ± 0.21 | −5.41 abc ± 0.29 |
| T1 | −5.10 abc ± 0.25 | −5.31 abc ± 0.17 | −5.06 abc ± 0.39 | −5.34 abc ± 0.12 | −5.15 abc ± 0.09 | −5.19 abc ± 0.52 |
| T2 | −5.40 abc ± 0.27 | −4.39 ab ± 0.42 | −5.12 abc ± 0.32 | −5.58 abc ± 0.07 | −5.18 abc ± 0.41 | −6.03 c ± 0.19 |
| T3 | −5.22 abc ± 0.36 | −4.01 a ± 0.34 | −4.95 abc ± 0.07 | −4.52 abc ± 0.28 | −5.01 abc ± 0.29 | −22.67 d ± 0.33 |
| Factors | df | Foam Ability % | Foam Stability % | Oil Emulsifying Activity % | Emulsion Stability % |
|---|---|---|---|---|---|
| Treatments 1 | 3 | 6809 (<0.05) * | 1414 (<0.05) * | 81.52 (<0.05) * | 81.52 (<0.05) * |
| Time 2 (h) | 2 | 14,368 (<0.05) * | 1682 (<0.05) * | 226.03 (<0.05) * | 226.03 (<0.05) * |
| Treatments 1 × Time 2 (h) | 6 | 1952 (<0.05) * | 366 (<0.05) * | 44.77 (<0.05) * | 44.77 (<0.05) * |
| Error | 24 | 103 | 28.88 | 0.81 | 0.81 |
| Time (h) | |||
|---|---|---|---|
| Treatments 1 | 0 | 12 | 24 |
| Foam Ability % | |||
| C | 211.67 a ± 12.44 | 203.33 ab ± 6.44 | 203.00 ab ± 4.93 |
| T1 | 197.33 ab ± 3.48 | 181.67 bc ± 1.85 | 139.33 d ± 2.84 |
| T2 | 208.00 a ± 9.45 | 168.33 c ± 1.85 | 119.67 d ± 2.33 |
| T3 | 207.33 a ± 7.17 | 124.67 d ± 2.96 | 85.67 e ± 3.28 |
| Foam stability % | |||
| C | 68.67 a ± 2.18 | 71.67 a ± 6.20 | 72.33 a ± 3.17 |
| T1 | 73.33 a ± 5.48 | 60.33 ab ± 1.76 | 53.67 bc ± 1.20 |
| T2 | 67.67 a ± 1.76 | 47.33 cd ± 2.03 | 39.33 de ± 0.88 |
| T3 | 69.33 a ± 3.92 | 36.33 e ± 0.88 | 21.00 f ± 1.73 |
| Oil emulsifying activity % | |||
| C | 30.00 a ± 0.58 | 30.00 a ± 0.33 | 30.00 a ± 0.00 |
| T1 | 30.00 a ± 0.67 | 30.00 a ± 0.58 | 35.00 c ± 0.00 |
| T2 | 30.00 a ± 0.58 | 30.00 a ± 0.00 | 42.00 b ± 0.00 |
| T3 | 30.00 a ± 1.16 | 35.00 c ± 0.00 | 46.00 a ± 0.57 |
| Emulsion stability % | |||
| C | 30.00 a ± 0.58 | 30.00 a ± 0.33 | 30.00 a ± 0.00 |
| T1 | 30.00 a ± 0.67 | 30.00 a ± 0.58 | 35.00 c ± 0.00 |
| T2 | 30.00 a ± 0.58 | 30.00 a ± 0.00 | 42.00 b ± 0.00 |
| T3 | 30.00 a ± 1.16 | 35.00 c ± 0.00 | 46.00 a ± 0.57 |
Disclaimer/Publisher’s Note: The statements, opinions and data contained in all publications are solely those of the individual author(s) and contributor(s) and not of MDPI and/or the editor(s). MDPI and/or the editor(s) disclaim responsibility for any injury to people or property resulting from any ideas, methods, instructions or products referred to in the content. |
© 2024 by the authors. Licensee MDPI, Basel, Switzerland. This article is an open access article distributed under the terms and conditions of the Creative Commons Attribution (CC BY) license (https://creativecommons.org/licenses/by/4.0/).
Share and Cite
Hamouda, M.E.A.; Salunke, P. Changes in Milk Protein Functionality at Low Temperatures and Rennet Concentrations. Foods 2024, 13, 447. https://doi.org/10.3390/foods13030447
Hamouda MEA, Salunke P. Changes in Milk Protein Functionality at Low Temperatures and Rennet Concentrations. Foods. 2024; 13(3):447. https://doi.org/10.3390/foods13030447
Chicago/Turabian StyleHamouda, Mahmoud E. A., and Prafulla Salunke. 2024. "Changes in Milk Protein Functionality at Low Temperatures and Rennet Concentrations" Foods 13, no. 3: 447. https://doi.org/10.3390/foods13030447
APA StyleHamouda, M. E. A., & Salunke, P. (2024). Changes in Milk Protein Functionality at Low Temperatures and Rennet Concentrations. Foods, 13(3), 447. https://doi.org/10.3390/foods13030447

