Camel Milk: Antimicrobial Agents, Fermented Products, and Shelf Life
Abstract
1. Introduction
2. Composition and Antimicrobial Properties of Camel Milk
2.1. Lactoferrin (LF)
2.2. Lysozyme (LYZ), (EC 3.2.1.17)
2.3. Immunoglobulin G (IgG)
2.4. Lactoperoxidase (LPO), (EC 1.11.1.7)
2.5. N-acetyl-D-glucosaminidase (NAGase)
2.6. Peptidoglycan Recognition Proteins (PGRPs)
2.7. Bacteriocins
2.8. Milk Protein Hydrolysates and Bioactive Peptides
3. Microorganisms Prevalent in CM
3.1. Lactic Acid Bacteria (LAB)
3.2. Pathogenic Bacteria
3.3. Yeast and Mold
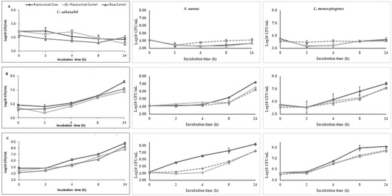
3.4. The Kinetics of Bacterial Growth in CM
4. The Shelf Life of Came Milk
5. Traditionally Fermented CM Products
6. Conclusions
Author Contributions
Funding
Institutional Review Board Statement
Informed Consent Statement
Conflicts of Interest
References
- Dioli, M. Observation on dromedary (Camelus dromedarius) welfare and husbandry practices among nomadic pastoralists. Pastoralism 2022, 12, 7. [Google Scholar] [CrossRef]
- Muthukumaran, M.S.; Mudgil, P.; Baba, W.N.; Ayoub, M.A.; Maqsood, S. A comprehensive review on health benefits, nutritional composition and processed products of camel milk. Food Rev. Int. 2022, 39, 3080–3116. [Google Scholar] [CrossRef]
- Mohamed, H.; Nagy, P.; Agbaba, J.; Kamal-Eldin, A. Use of near and mid infra-red spectroscopy for analysis of protein, fat, lactose and total solids in raw cow and camel milk. Food Chem. 2021, 334, 127436. [Google Scholar] [CrossRef] [PubMed]
- Oselu, S.; Ebere, R.; Arimi, J.M. Camels, Camel Milk, and Camel Milk Product Situation in Kenya in Relation to the World. Int. J. Food Sci. 2022, 2022, 1237423. [Google Scholar] [CrossRef] [PubMed]
- Grand View Research. Camel Milk Products Market Size. Industry Report. 2020. Available online: https://www.grandviewresearch.com/industry-analysis/camel-milk-products-market (accessed on 6 January 2024).
- Kamal-Eldin, A.; Ayyash, M.; Sobti, B.; Nagy, P. Camel milk. In Encyclopedia of Dairy Sciences, 3rd ed.; Elsevier: Amsterdam, The Netherlands, 2021; pp. 504–513. [Google Scholar]
- Nagy, P.P.; Skidmore, J.A.; Juhasz, J. Intensification of camel farming and milk production with special emphasis on animal health, welfare, and the biotechnology of reproduction. Anim. Front. 2022, 12, 35–45. [Google Scholar] [CrossRef]
- Seifu, E. Recent advances on camel milk: Nutritional and health benefits and processing implications—A review. AIMS Agric. Food 2022, 7, 777–804. [Google Scholar] [CrossRef]
- Yao, H.; Dou, Z.; Zhao, Z.; Liang, X.; Yue, H.; Ma, W.; Su, Z.; Wang, Y.; Hao, Z.; Yan, H.; et al. Transcriptome analysis of the Bactrian camel (Camelus bactrianus) reveals candidate genes affecting milk production traits. BMC Genom. 2023, 24, 660. [Google Scholar] [CrossRef]
- Guo, L.; Lema, D.; Liu, B.; Dai, L.; Wang, X.; Wang, X.; Cao, J.; Zhang, W. Identification of Bactrian camel milk-related genes and regulatory networks in supplementation and grazing. Trop. Anim. Health Prod. 2023, 55, 342. [Google Scholar] [CrossRef]
- Ayadi, M.; Hammadi, M.; Khorchani, T.; Barmat, A.; Atigui, M.; Caja, G. Effects of milking interval and cisternal udder evaluation in Tunisian Maghrebi dairy dromedaries (Camelus dromedarius L.). J. Dairy Sci. 2009, 92, 1452–1459. [Google Scholar] [CrossRef]
- Atigui, M.; Marnet, P.-G.; Ayeb, N.; Khorchani, T.; Hammadi, M. Effect of changes in milking routine on milking related behaviour and milk removal in Tunisian dairy dromedary camels. J. Dairy Res. 2014, 81, 494–503. [Google Scholar] [CrossRef]
- Konuspayeva, G.; Faye, B. Recent Advances in Camel Milk Processing. Animals 2021, 11, 1045. [Google Scholar] [CrossRef] [PubMed]
- Shori, A.B.; Baba, A.S. Viability of lactic acid bacteria and sensory evaluation in Cinnamomum verum and Allium sativum-bio-yogurts made from camel and cow milk. J. Assoc. Arab. Univ. Basic Appl. Sci. 2012, 11, 50–55. [Google Scholar] [CrossRef]
- Fguiri, I.; Ziadi, M.; Atigui, M.; Ayeb, N.; Arroum, S.; Assadi, M.; Khorchani, T. Isolation and characterisation of lactic acid bacteria strains from raw camel milk for potential use in the production of fermented Tu-nisian dairy products. Int. J. Dairy Technol. 2016, 69, 103–113. [Google Scholar] [CrossRef]
- Lund, A.K.; Shah, A.H.; Jatoi, A.S.; Khaskheli, G.B.; Malhi, M.C.; Khaskheli, A.A.; Khanzada, M.A.; Kalwar, Q. 9. Effect of heating on shelf life and sensory characteristics of camel milk. Pure Appl. Biol. (PAB) 2020, 9, 74–79. [Google Scholar] [CrossRef]
- Ismaili, M.A.; Saidi, B.; Zahar, M.; Hamama, A.; Ezzaier, R. Composition and microbial quality of raw camel milk produced in Morocco. J. Saudi Soc. Agric. Sci. 2019, 18, 17–21. [Google Scholar] [CrossRef]
- Kadri, Z.; Spitaels, F.; Cnockaert, M.; Amar, M.; Joossens, M.; Vandamme, P. The bacterial diversity of raw Moroccon camel milk. Int. J. Food Microbiol. 2021, 341, 109050. [Google Scholar] [CrossRef] [PubMed]
- Mbye, M.; Sobti, B.; Al Nuami, M.K.; Al Shamsi, Y.; Al Khateri, L.; Al Saedi, R.; Saeed, M.; Ramachandran, T.; Hamed, F.; Kamal-Eldin, A. Physicochemical properties, sensory quality, and coagulation behavior of camel versus bovine milk soft unripened cheeses. NFS J. 2020, 20, 28–36. [Google Scholar] [CrossRef]
- Aralbayev, N.; Dikhanbayeva, F.; Yusof, Y.A.B.; Tayeva, A.; Smailova, Z. Devising optimal technological parameters for spray drying to produce whole camel milk powder. East. Eur. J. Enterp. Technol. 2021, 4, 82–91. [Google Scholar] [CrossRef]
- Abusheliabi, A.; Ayyash, M. Growth inhibition of foodborne pathogens in camel milk: Staphylococcus aureus, Listeria monocytogenes, Salmonella spp. and E. coli O157: H7. Czech J. Food Sci. 2017, 35, 311–320. [Google Scholar] [CrossRef]
- Sakandar, H.A.; Ahmad, S.; Perveen, R.; Aslam, H.K.W.; Shakeel, A.; Sadiq, F.A.; Imran, M. Camel milk and its allied health claims: A review. Prog. Nutr. 2018, 20 (Suppl. 1), 15–29. [Google Scholar]
- Abusheliabi, A.; Al-Rumaithi, H.O.; Olaimat, A.N.; Al-Nabulsi, A.A.; Osaili, T.; Shaker, R.; Ayyash, M.M. Inhibitory effect of camel milk on Cronobacter sakazakii. J. Food Saf. 2017, 37, e12343. [Google Scholar] [CrossRef]
- Derradji, F.B. Evaluation of camel milk: Gross composition—A scientific overview. Trop. Anim. Health Prod. 2021, 53, 308. [Google Scholar] [CrossRef] [PubMed]
- Attia, H.; Kherouatou, N.; Dhouib, A. Dromedary milk lactic acid fermentation: Microbiological and rheological characteristics. J. Ind. Microbiol. Biotechnol. 2001, 26, 263–270. [Google Scholar] [CrossRef] [PubMed]
- Arain, M.A.; Khaskheli, G.B.; Shah, A.H.; Marghazani, I.B.; Barham, G.S.; Shah, Q.A.; Khand, F.M.; Buzdar, J.A.; Soomro, F.; Fazlani, S.A. Nutritional significance and promising therapeutic/medicinal application of camel milk as a functional food in human and animals: A comprehensive review. Anim. Biotechnol. 2022, 34, 1988–2005. [Google Scholar] [CrossRef]
- Zahra, H.K.; Ismail, B.; Wahiba, B. Physico-Chemical Analysis and Microbiological Quality of Raw Camel Milk Produced by Targui breed in Adrar region of Algeria. South Asian J. Exp. Biol. 2021, 11, 190–198. [Google Scholar] [CrossRef]
- Mostafidi, M.; Moslehishad, M.; Piravivanak, Z.; Pouretedal, Z. Evaluation of mineral content and heavy metals of dromedary camel milk in Iran. Food Sci. Technol. 2016, 36, 717–723. [Google Scholar] [CrossRef]
- Khalesi, M.; Salami, M.; Moslehishad, M.; Winterburn, J.; Moosavi-Movahedi, A.A. Biomolecular content of camel milk: A traditional superfood towards future healthcare industry. Trends Food Sci. Technol. 2017, 62, 49–58. [Google Scholar] [CrossRef]
- Maryniak, N.Z.; Hansen, E.B.; Ballegaard, A.-S.R.; Sancho, A.I.; Bøgh, K.L. Comparison of the Allergenicity and Immunogenicity of Camel and Cow’s Milk—A Study in Brown Norway Rats. Nutrients 2018, 10, 1903. [Google Scholar] [CrossRef]
- Mohamed, H.; Johansson, M.; Lundh, Å.; Nagy, P.; Kamal-Eldin, A. Caseins and α-lactalbumin content of camel milk (Camelus dromedarius) determined by capillary electrophoresis. J. Dairy Sci. 2020, 103, 11094–11099. [Google Scholar] [CrossRef]
- Swelum, A.A.; El-Saadony, M.T.; Abdo, M.; Ombarak, R.A.; Hussein, E.O.; Suliman, G.; Alhimaidi, A.R.; Ammari, A.A.; Ba-Awadh, H.; Taha, A.E.; et al. Nutritional, antimicrobial and medicinal properties of Camel’s milk: A review. Saudi J. Biol. Sci. 2021, 28, 3126–3136. [Google Scholar] [CrossRef]
- Sobti, B.; Aljneibi, A.H.A.; Seraidy, H.A.A.; Alnaqbi, A.A.H.; Al Zain, B.; Ramachandran, T.; Hamed, F.; Kamal-Eldin, A. The effect of pectin and sodium alginate on labans made from camel milk and bovine milk. J. Dairy Sci. 2021, 104, 5279–5284. [Google Scholar] [CrossRef]
- Mbye, M.; Ayyash, M.; Abu-Jdayil, B.; Kamal-Eldin, A. The texture of camel milk cheese: Effects of milk composition, coagulants, and processing conditions. Front. Nutr. 2022, 9, 868320. [Google Scholar] [CrossRef] [PubMed]
- Mohamed, H.; Ranasinghe, M.; Amir, N.; Nagy, P.; Gariballa, S.; Adem, A.; Kamal-Eldin, A. A study on variability of bioactive proteins in camel (Camelus dromedarius) milk: Insulin, insulin-like growth factors, lactoferrin, immunoglobulin G, peptidoglycan recognition protein-1, lysozyme and lactoperoxidase. Int. J. Dairy Technol. 2022, 75, 289–297. [Google Scholar] [CrossRef]
- Tanhaeian, A.; Ahmadi, F.S.; Sekhavati, M.H.; Mamarabadi, M. Expression and Purification of the Main Component Contained in Camel Milk and Its Antimicrobial Activities Against Bacterial Plant Pathogens. Probiotics Antimicrob. Proteins 2018, 10, 787–793. [Google Scholar] [CrossRef] [PubMed]
- Kumar, D.; Chatli, M.K.; Singh, R.; Mehta, N.; Kumar, P. Antioxidant and antimicrobial activity of camel milk casein hydrolysates and its fractions. Small Rumin. Res. 2016, 139, 20–25. [Google Scholar] [CrossRef]
- Kumar, D.; Verma, A.K.; Chatli, M.K.; Singh, R.; Kumar, P.; Mehta, N.; Malav, O.P. Camel milk: Alternative milk for human consumption and its health benefits. Nutr. Food Sci. 2016, 46, 217–227. [Google Scholar] [CrossRef]
- Mudgil, P.; Jumah, B.; Ahmad, M.; Hamed, F.; Maqsood, S. Rheological, micro-structural and sensorial properties of camel milk yogurt as influenced by gelatin. LWT 2018, 98, 646–653. [Google Scholar] [CrossRef]
- Santos-Pereira, C.; Andrés, M.T.; Fierro, J.F.; Rodrigues, L.R.; Côrte-Real, M. A review on lactoferrin as a proton pump inhibitor. Int. J. Biol. Macromol. 2022, 202, 309–317. [Google Scholar] [CrossRef]
- Vega-Bautista, A.; de la Garza, M.; Carrero, J.C.; Campos-Rodríguez, R.; Godínez-Victoria, M.; Drago-Serrano, M.E. The impact of Lactoferrin on the growth of intestinal inhabitant bacteria. Int. J. Mol. Sci. 2019, 20, 4707. [Google Scholar] [CrossRef]
- Benkerroum, N. Antimicrobial activity of lysozyme with special relevance to milk. Afr. J. Biotechnol. 2008, 7, 25. [Google Scholar]
- Al-Baarri, A.N.M.; Legowo, A.M.; Arum, S.K.; Hayakawa, S. Extending shelf life of indonesian soft milk cheese (dangke) by lactoperoxidase system and lysozyme. Int. J. Food Sci. 2018, 2018, 4305395. [Google Scholar] [CrossRef] [PubMed]
- Martini, M.; Salari, F.; Licitra, R.; La Motta, C.; Altomonte, I. Lysozyme activity in donkey milk. Int. Dairy J. 2019, 96, 98–101. [Google Scholar] [CrossRef]
- Jinesh, P.; Lijina, P.; Kumar, B.S.G. Sequence and N-glycan diversity analysis of immunoglobulin G from buffalo milk using RP-UHPLC MS/MS. Amino Acids 2021, 53, 533–539. [Google Scholar] [CrossRef] [PubMed]
- Wang, L.; Zhou, L.; Ma, N.; Su, Q.; Wan, Y.; Zhang, Y.; Wu, F.; Qian, W. Real-time monitoring of immunoglobulin G levels in milk using an ordered porous layer interferometric optical sensor. Talanta 2021, 237, 122958. [Google Scholar] [CrossRef] [PubMed]
- Behrouz, S.; Saadat, S.; Memarzia, A.; Sarir, H.; Folkerts, G.; Boskabady, M.H. The Antioxidant, Anti-Inflammatory and Immunomodulatory Effects of Camel Milk. Front. Immunol. 2022, 13, 855342. [Google Scholar] [CrossRef]
- El-Fakharany, E.M.; El-Baky, N.A.; Linjawi, M.H.; Aljaddawi, A.A.; Saleem, T.H.; Nassar, A.Y.; Osman, A.; Redwan, E.M. Influence of camel milk on the hepatitis C virus burden of infected patients. Exp. Ther. Med. 2017, 13, 1313–1320. [Google Scholar] [CrossRef]
- Amenu, B.; Eshetu, M.; Hailu, Y.; Hansen, E.B. Activation of lactoperoxidase system: Evaluation of the acidification rate, microbial quality, and shelf life of camel and cow milk. East Afr. J. Sci. 2017, 11, 107–116. [Google Scholar]
- Seifu, E. Camel milk products: Innovations, limitations and opportunities. Food Prod. Process. Nutr. 2023, 5, 15. [Google Scholar] [CrossRef]
- Hailu, Y.; Hansen, E.B.; Seifu, E.; Eshetu, M.; Ipsen, R.; Kappeler, S. Functional and techno-logical properties of camel milk proteins: A review. J. Dairy Res. 2016, 83, 422–429. [Google Scholar] [CrossRef]
- Köksal, Z.; Alim, Z. Lactoperoxidase, an antimicrobial enzyme, is inhibited by some indazoles. Drug Chem. Toxicol. 2020, 43, 22–26. [Google Scholar] [CrossRef]
- Mati, A.; Senoussi-Ghezali, C.; Zennia, S.S.A.; Almi-Sebbane, D.; El-Hatmi, H.; Girardet, J.M. Dromedary camel milk proteins, a source of peptides having biological activities—A review. Int. Dairy J. 2017, 73, 25–37. [Google Scholar] [CrossRef]
- Seligsohn, D.; Younan, M.; Larsen, T.; Morrell, J.M.; Chenais, E.; Nyman, A.K. Detection of subclinical mastitis in camels (Camelus dromedarius) using somatic cell count, N-acetyl-β-D-glucosaminidase and lactate dehydrogenase activity. Small Rumin. Res. 2021, 204, 106512. [Google Scholar] [CrossRef]
- Ho, T.M.; Zou, Z.; Bansal, N. Camel milk: A review of its nutritional value, heat stability, and potential food products. Food Res. Int. 2022, 153, 110870. [Google Scholar] [CrossRef]
- Abdurahman, O.S. Milk N-acetyl-B-D-glucosaminidase and Serum Albumin as Indicators of Subclinical Mastitis in the Camel. J. Vet. Med. Ser. A 1995, 42, 643–647. [Google Scholar] [CrossRef]
- Kumar, D.N.; Pinker, N.; Shtenberg, G. Inflammatory biomarker detection in milk using label-free porous SiO2 interferometer. Talanta 2020, 220, 121439. [Google Scholar] [CrossRef]
- Ragland, S.A.; Criss, A.K. From bacterial killing to immune modulation: Recent insights into the functions of lysozyme. PLoS Pathog. 2017, 13, e1006512. [Google Scholar] [CrossRef]
- Ryskaliyeva, A.; Henry, C.; Miranda, G.; Faye, B.; Konuspayeva, G.; Martin, P. Combining different proteomic approaches to resolve complexity of the milk protein fraction of dromedary, Bactrian camels and hybrids, from different regions of Kazakhstan. PLoS ONE 2018, 13, e0197026. [Google Scholar] [CrossRef]
- Lajnaf, R.; Attia, H.; Al Ayadi, M. Chemistry of Camel Milk Proteins in Food Processing; InTech Open: London, UK, 2023. [Google Scholar]
- Kawahara, A.; Zendo, T.; Matsusaki, H. Identification and characterization of bacteriocin biosynthetic gene clusters found in multiple bacteriocins producing Lactiplantibacillus plantarum PUK6. J. Biosci. Bioeng. 2022, 133, 444–451. [Google Scholar] [CrossRef]
- Sharma, P.; Dube, D.; Singh, A.; Mishra, B.; Singh, N.; Sinha, M.; Dey, S.; Kaur, P.; Mitra, D.K.; Sharma, S.; et al. Structural basis of recognition of pathogen-associated molecular patterns and inhibition of proinflammatory cytokines by camel pep-tidoglycan recognition protein. J. Biol. Chem. 2011, 286, 16208–16217. [Google Scholar] [CrossRef]
- Maurya, A.; Sharma, P.; Singh, P.K.; Viswanathan, V.; Kaur, P.; Sharma, S.; Singh, T.P. Structure of the complex of camel peptidoglycan recognition protein-S with hexanoic acid reveals novel features of the versatile lig-and-binding site at the dimeric interface. Biochim. Biophys. Acta (BBA)-Proteins Proteom. 2023, 1871, 140887. [Google Scholar] [CrossRef] [PubMed]
- Felfoul, I.; Jardin, J.; Gaucheron, F.; Attia, H.; Ayadi, M.A. Proteomic profiling of camel and cow milk proteins under heat treatment. Food Chem. 2017, 216, 161–169. [Google Scholar] [CrossRef]
- Maity, S.; Ambatipudi, K. Quantitative proteomics of milk whey reveals breed and season specific variation in protein abundance in Holstein Friesian cow and Murrah buffalo. Res. Veter. Sci. 2019, 125, 244–252. [Google Scholar] [CrossRef] [PubMed]
- Kirtonia, K.; Salauddin, M.; Bharadwaj, K.K.; Pati, S.; Dey, A.; Shariati, M.A.; Tilak, V.K.; Kuznetsova, E.; Sarkar, T. Bacteriocin: A new strategic antibiofilm agent in food industries. Biocatal. Agric. Biotechnol. 2021, 36, 102141. [Google Scholar] [CrossRef]
- Vimont, A.; Fernandez, B.; Hammami, R.; Ababsa, A.; Daba, H.; Fliss, I. Bacteriocin-Producing Enterococcus faecium LCW 44: A High Potential Probiotic Candidate from Raw Camel Milk. Front. Microbiol. 2017, 8, 865. [Google Scholar] [CrossRef] [PubMed]
- Algboory, H.L.; Muhialdin, B.J. Novel peptides contribute to the antimicrobial activity of camel milk fermented with Lactobacillus plantarum IS10. Food Control. 2021, 126, 108057. [Google Scholar] [CrossRef]
- Khay, E.O.; Idaomar, M.; Castro, L.P.; Bernárdez, P.F.; Senhaji, N.S.; Abrini, J. Anti-microbial activities of the bacteriocin-like substances produced by lactic acid bacteria isolated from Moroccan dromedary milk. Afr. J. Biotechnol. 2011, 10, 10447–10455. [Google Scholar]
- Khay, E.O.; Idaomar, M.; El Moussaoui, N.; Abrini, J. Application of a bacteriocin-like inhibitory substance producing Enterococcus durans E204 strain, isolated from camel milk, to control Listeria monocytogenes CECT 4032 in goat jben. Ann. Microbiol. 2014, 64, 313–319. [Google Scholar] [CrossRef]
- Al-Shamsi, K.A.; Mudgil, P.; Hassan, H.M.; Maqsood, S. Camel milk protein hydrolysates with improved technofunctional properties and enhanced antioxidant potential in in vitro and in food model systems. J. Dairy Sci. 2018, 101, 47–60. [Google Scholar] [CrossRef]
- Ipsen, R. Opportunities for producing dairy products from camel milk: A comparison with bovine milk. East Afr. J. Sci. 2017, 11, 93–98. [Google Scholar]
- Vincenzetti, S.; Cammertoni, N.; Rapaccetti, R.; Santini, G.; Klimanova, Y.; Zhang, J.-J.; Polidori, P. Nutraceutical and Functional Properties of Camelids’ Milk. Beverages 2022, 8, 12. [Google Scholar] [CrossRef]
- Brandelli, A.; Daroit, D.J.; Corrêa, A.P.F. Whey as a source of peptides with remarkable biological activities. Food Res. Int. 2015, 73, 149–161. [Google Scholar] [CrossRef]
- Mbye, M.; Mohamed, H.; Raziq, A.; Kamal-Eldin, A. The effects of camel chymosin and Withania coag-ulans extract on camel and bovine milk cheeses. Sci. Rep. 2021, 11, 13573. [Google Scholar] [CrossRef] [PubMed]
- Mbye, M.; Mohamed, H.; Ramachandran, T.; Hamed, F.; AlHammadi, A.; Kamleh, R.; Kamal-Eldin, A. Effects of pasteurization and high-pressure processing of camel and bovine cheese quality, and proteolysis contribution to camel cheese softness. Front. Nutr. 2021, 8, 642846. [Google Scholar] [CrossRef] [PubMed]
- Kaindi, D.W.M.; Schelling, E.; Wangoh, J.; Imungi, J.K.; Farah, Z.; Meile, L. Microbiological quality of raw camel milk across the Kenyan market chain. Food 2011, 5, 79–83. [Google Scholar]
- Yasmine, S.; Eddine, S.D.; Miloud, H.; Mebrouk, K. Characterization of Dominant Cultivable Lactic Acid Bacteria Isolated from West Algerian Raw Camel’s Milk and Assessment of Their Technological Properties. Int. J. Biosci. 2019, 15, 400–411. [Google Scholar]
- Nagyzbekkyzy, E.; Sembayeva, D.; Sarsenova, A.; Mansurov, N.; Moldabayeva, A.; Moldagulova, N. Data on the diversity of lactic acid bacteria isolated from raw and fermented camel milk. Data Brief 2020, 31, 105956. [Google Scholar] [CrossRef] [PubMed]
- Davati, N.; Yazdi, F.T.; Zibaee, S.; Shahidi, F.; Edalatian, M.R. Study of Lactic Acid Bacteria Community from Raw Milk of Iranian One Humped Camel and Evaluation of Their Probiotic Properties. Jundishapur J. Microbiol. 2015, 8, e16750. [Google Scholar] [CrossRef]
- Seifu, E.; Abraham, A.; Kurtu, M.Y.; Yilma, Z. Isolation and characterization of lactic acid bacteria from Ititu: Ethiopian traditional fermented camel milk. J. Camelid Sci. 2012, 5, 82–98. [Google Scholar]
- Moslehishad, M.; Mirdamadi, S.; Ehsani, M.R.; Ezzatpanah, H.; Moosavi-Movahedi, A.A. The proteolytic activity of selected lactic acid bacteria in fermenting cow’s and camel’s milk and the resultant sensory character-istics of the products. Int. J. Dairy Technol. 2013, 66, 279–285. [Google Scholar] [CrossRef]
- Sharma, A.; Lavania, M.; Singh, R.; Lal, B. Identification and probiotic potential of lactic acid bacteria from camel milk. Saudi J. Biol. Sci. 2020, 28, 1622–1632. [Google Scholar] [CrossRef]
- Rezaei, M.; Noori, N.; Shariatifar, N.; Gandomi, H.; Basti, A.A.; Khaneghah, A.M. Isolation of lactic acid probiotic strains from Iranian camel milk: Technological and antioxidant properties. LWT 2020, 132, 109823. [Google Scholar] [CrossRef]
- Maitha, I.M. Microbial Safety of Traditional Camel Milk Products from North Eastern Kenya and Functional Characterization of Selected Lactic Acid Bacteria. Ph.D. Thesis, University of Nairobi, Nairobi, Kenya, 2019. [Google Scholar]
- Adugna, M.; Seifu, E.; Kebeded, A.; Doluschitz, R. Quality and safety of camel milk along the value chain in Eastern Ethiopia. Int. J. Food Stud. 2013, 2, 2. [Google Scholar] [CrossRef]
- Omer, R.H.; Eltinay, A.H. Microbial quality of camel’s raw milk in central & southern regions of United Arab Emirates. Emir. J. Food Agric. 2008, 20, 76–83. [Google Scholar]
- Abera, T.; Legesse, Y.; Mummed, B.; Urga, B. Bacteriological quality of raw camel milk along the market value chain in Fafen zone, Ethiopian Somali regional state. BMC Res. Notes 2016, 9, 285. [Google Scholar] [CrossRef]
- Mihajlović, L.; Cincović, M.; Nakov, D.; Stanković, B.; Miočinović, J.; Hristov, S. Improvement of hygiene practices and milk hygiene due to systematic implementation of preventive and corrective measures. Acta Vet. 2022, 72, 76–86. [Google Scholar] [CrossRef]
- Zhu, S.; Zimmerman, D.; Deem, S.L. A Review of Zoonotic Pathogens of Dromedary Camels. Ecohealth 2019, 16, 356–377. [Google Scholar] [CrossRef]
- Geresu, M.A.; Wayuo, B.A.; Kassa, G.M. Occurrence and antimicrobial susceptibility profile of Salmonella isolates from animal origin food items in selected areas of Arsi zone, southeastern Ethiopia, 2018/19. Int. J. Microbiol. 2021, 2021, 6633522. [Google Scholar]
- Ayuob, E.; Amer, A.; Keshta, H.; Sedeek, E. Microbial Assessment of Raw Dromedary Camel Milk in Matrouh Governorate, Egypt. Alex. J. Veter. Sci. 2020, 66, 40. [Google Scholar] [CrossRef]
- Alnefaie, Z.; Mutawakil, M.H.; Ahmed, M.M.M. Molecular identification for camel udder microbiota. Adv. Environ. Biol. 2019, 13, 7–13. [Google Scholar]
- Rahimi, E.; Momtaz, H.; Behzadnia, A.; Baghbadorani, Z.T. Incidence of Listeria species in bovine, ovine, caprine, camel and water buffalo milk using cultural method and the PCR assay. Asian Pac. J. Trop. Dis. 2013, 4, 50–53. [Google Scholar] [CrossRef]
- Matofari, J.W.; Shitandi, A.; Shalo, P.L.; Nanua, N.J.; Younan, M. A survey of Salmonella enterica contamination of camel milk in Kenya. Afr. J. Microbiol. Res. 2007, 1, 46–50. [Google Scholar]
- Laiche, A.T.; Khelef, C.; Daoudi, H. Study of the Antimicrobial Activity of Bactericocins Produced by Lactic Bacteria Isolated from Camel Milk in Southern Algeria. J. Pure Appl. Microbiol. 2019, 13, 1285–1292. [Google Scholar] [CrossRef]
- El-Ziney, M.G.; Al-Turki, A.I. Microbiological quality and safety assessment of camel milk (Camelus dromedaries) in Saudi Arabia (Qassim region). Appl. Ecol. Environ. Res. 2007, 5, 115–122. [Google Scholar] [CrossRef]
- Benyagoub, E.; Ayat, M.; Dahan, T.; Smahi, K. Level of control of the hygienic quality of camel milk (Camelus dromedarius) in south west Algeria and its impact on security. Peak J Food Sci Tech 2013, 1, 53–60. [Google Scholar]
- Zeidan, R.; Ul Hassan, Z.; Al-Naimi, N.; Al-Thani, R.; Jaoua, S. Detection of multimycotoxins in camel feed and milk samples and their comparison with the levels in cow milk. Food Sci. Nutr. 2022, 10, 609–616. [Google Scholar] [CrossRef]
- Benyagoub, E.; Ayat, M. Biochemical, Physico-Chemical and Microbiological Properties of Camel Raw Milk Marketed in Bechar city (South-West Algeria): Hygienic and Safe Consumers Approach. Microbes Health 2016, 4, 14–18. [Google Scholar] [CrossRef][Green Version]
- Sulieman, A.E.; Osawa, R.; Tsenkova, R. Isolation and identification of lactobacilli from Garris, a Sudanese fermented camel’s milk product. Res. J. Microbiol. 2007, 2, 125–132. [Google Scholar]
- Hassen, M.; Amentie, T. Microbiological Quality of Raw Camel Milk in Degahbour District of Jarar Zone, Somali Regional State, Ethiopia. Open J. Anim. Sci. 2022, 12, 226–238. [Google Scholar] [CrossRef]
- Njage, P.; Dolci, S.; Jans, C.; Wangoh, J.; Lacroix, C.; Meile, L. Characterization of Yeasts Associated with Camel Milk using Phenotypic and Molecular Identification Techniques. Res. J. Microbiol. 2011, 6, 678–692. [Google Scholar] [CrossRef]
- Akhmetsadykova, S.; Baubekova, A.; Konuspayeva, G.; Konuspayeva, N.; Loiseau, G. Micro-flora identification of fresh and fermented camel milk from Kazakhstan. Emir. J. Food Agric. 2014, 26, 327–332. [Google Scholar] [CrossRef]
- Shokri, H.; Torabi, S. The effect of milk composition, yeast-mould numbers and seasons on aflatoxin M1 amounts in camel milk. J. Food Saf. 2017, 37, e12300. [Google Scholar] [CrossRef]
- Guo, L.; Xu, W.; Li, C.; Guo, Y.; Chagan, I. Comparative study of physicochemical composition and microbial community of Khoormog, Chigee, and Airag, traditionally fermented dairy products from Xilin Gol in China. Food Sci. Nutr. 2021, 9, 1564–1573. [Google Scholar] [CrossRef] [PubMed]
- Xie, Z.; Peng, Y.; Li, C.; Luo, X.; Wei, Z.; Li, X.; Yao, Y.; Fang, T.; Huang, L. Growth kinetics of Staphylococcus aureus and background microorganisms in camel milk. J. Dairy Sci. 2020, 103, 9958–9968. [Google Scholar] [CrossRef] [PubMed]
- Bao, W.; He, Y.; Yu, J.; Yang, X.; Liu, M.; Ji, R. Diversity analysis and gene function prediction of bacteria and fungi of Bactrian camel milk and naturally fermented camel milk from Alxa in Inner Mongolia. LWT 2022, 169, 114001. [Google Scholar] [CrossRef]
- Seifu, E. Handling, preservation and utilization of camel milk and camel milk products in Shinile and Jijiga Zones, eastern Ethiopia. Livest. Res. Rural. Dev. 2007, 19, 6. [Google Scholar]
- Eissa, O.E.H.; Hamid, O.I.A. Quality characteristics of camel milk during different heat treatments. J. Agric. Vet. Sci 2017, 10, 1–5. [Google Scholar]
- Robertson, G.L. (Ed.) Food Packaging and Shelf Life: A Practical Guide; CRC Press: Boca Raton, FL, USA, 2009. [Google Scholar]
- Mohamed, I.M.A.; El Zubeir, I.Y.M.; El, Y.M. Effect of heat treatment on keeping quality of camel milk. Ann. Food Sci. Technol. 2014, 15, 239–245. [Google Scholar]
- Khalil, A.E.M.; Alshikh, A.D.A.I.; Almansoori, A.E.; Abdalla, M.A. Effect of Different Types of Packaging Materials on the Shelf Life of Pasteurized Camel Milk. Int. J. Curr. Microbiol. App. Sci. 2021, 10, 24–37. [Google Scholar]
- Kumar, A.; Seth, R.; Kumawat, D. Effect of some processing treatments on shelf life of camel milk in comparison to cow milk. Indian J. Anim. Sci. 2021, 91, 681–684. [Google Scholar] [CrossRef]
- Wanjala, N.W.; Matofari, J.W.; Nduko, J.M. Antimicrobial effect of smoking milk handling containers’ inner surfaces as a preservation method in pastoral systems in Kenya. Pastoralism 2016, 6, 17. [Google Scholar] [CrossRef]
- Maaroufi, S.H.; Rezaei, K.; Raftaniamiri, Z.; Mirzaei, F. Evaluating the effects of herbal es-sences from spearmint and wild thyme on the quality of camel’s milk. Int. J. Food Sci. Technol. 2015, 50, 2168–2174. [Google Scholar] [CrossRef]
- Stratakos, A.C.; Inguglia, E.S.; Linton, M.; Tollerton, J.; Murphy, L.; Corcionivoschi, N.; Koidis, A.; Tiwari, B.K. Effect of high pressure processing on the safety, shelf life and quality of raw milk. Innov. Food Sci. Emerg. Technol. 2019, 52, 325–333. [Google Scholar] [CrossRef]
- Zhang, S.; Li, H.; Engström, G.; Niu, K.; Qi, L.; Borné, Y.; Sonestedt, E. Milk intake, lactase persistence genotype, plasma proteins and risks of cardiovascular events in the Swedish general population. Eur. J. Epidemiol. 2023, 38, 211–224. [Google Scholar] [CrossRef] [PubMed]
- Khakhariya, R.; Sakure, A.A.; Maurya, R.; Bishnoi, M.; Kondepudi, K.K.; Padhi, S.; Rai, A.K.; Liu, Z.; Patil, G.; Mankad, M.; et al. A comparative study of fermented buffalo and camel milk with anti-inflammatory, ACE-inhibitory and anti-diabetic properties and release of bio active peptides with molecular interactions: In vitro, in silico and molecular study. Food Biosci. 2023, 52, 102373. [Google Scholar] [CrossRef]
- Patel, D.; Sakure, A.; Lodha, D.; Basaiawmoit, B.; Maurya, R.; Das, S.; Bishnoi, M.; Kondepudi, K.K.; Hati, S. Significance of lactobacillus fermentum on antioxidative and anti-inflammatory activities and ultrafiltration peptide fractions as potential sources of antioxidative peptides from fermented camel milk (In-dian breed). J. Am. Nutr. Assoc. 2023, 42, 75–84. [Google Scholar] [CrossRef] [PubMed]
- Soleymanzadeh, N.; Mirdamadi, S.; Mirzaei, M.; Kianirad, M. Novel β-casein derived antioxidant and ACE-inhibitory active peptide from camel milk fermented by Leuconostoc lactis PTCC1899: Identification and molecular docking. Int. Dairy J. 2019, 97, 201–208. [Google Scholar] [CrossRef]
- Aljutaily, T.; Rehan, M.; Moustafa, M.M.A.; Barakat, H. Effect of Intermittent Fasting, Probiotic-Fermented Camel Milk, and Probiotic-Fermented Camel Milk Incorporating Sukkari Date on Diet-Induced Obesity in Rats. Fermentation 2022, 8, 619. [Google Scholar] [CrossRef]
- Benkirane, G.; Ananou, S.; Dumas, E.; Ghnimi, S.; Gharsallaoui, A. Moroccan Traditional Fermented Dairy Products: Current Processing Practices and Physicochemical and Microbiological Properties—A Review. J. Microbiol. Biotechnol. Food Sci. 2022, 12, e5636. [Google Scholar] [CrossRef]
- Wang, Y.; Zhou, J.; Xia, X.; Zhao, Y.; Shao, W. Probiotic potential of Lactobacillus paracasei FM-LP-4 isolated from Xinjiang camel milk yoghurt. Int. Dairy J. 2016, 62, 28–34. [Google Scholar] [CrossRef]
- Al-Zoreky, N.S.; Al-Otaibi, M.M. Suitability of camel milk for making yogurt. Food Sci. Biotechnol. 2015, 24, 601–606. [Google Scholar] [CrossRef]
- Rahman, I.A.; Dirar, H.A.; Osman, M.A. Microbiological and biochemical changes and sensory evaluation of camel milk fermented by selected bacterial starter cultures. Afr. J. Food Sci. 2009, 3, 398–405. [Google Scholar]
- Kamal-Eldin, A.; Alhammadi, A.; Gharsallaoui, A.; Hamed, F.; Ghnimi, S. Physicochemical, rheological, and micro-structural properties of yogurts produced from mixtures of camel and bovine milks. NFS J. 2020, 19, 26–33. [Google Scholar] [CrossRef]
- Mudgil, P.; Al Mazroui, M.; Redha, A.A.; Kilari, B.P.; Srikumar, S.; Maqsood, S. Cow and camel milk-derived whey and casein protein hydrolysates demonstrated effective antifungal properties against selected Candida species. J. Dairy Sci. 2022, 105, 1878–1888. [Google Scholar] [CrossRef] [PubMed]
- Sobti, B.; Mbye, M.; Alketbi, H.; Alnaqbi, A.; Alshamisi, A.; Almeheiri, M.; Seraidy, H.; Ramachandran, T.; Hamed, F.; Kamal-Eldin, A. Rheological characteristics and consumer acceptance of camel milk yogurts as affected by bovine proteins and hydrocolloids. Int. J. Food Prop. 2020, 23, 1347–1360. [Google Scholar] [CrossRef]
- Agyei, D.; Owusu-Kwarteng, J.; Akabanda, F.; Akomea-Frempong, S. Indigenous African fer-mented dairy products: Processing technology, microbiology and health benefits. Crit. Rev. Food Sci. Nutr. 2020, 60, 991–1006. [Google Scholar] [CrossRef] [PubMed]
- Zhadyra, S.; Han, X.; Anapiyayev, B.B.; Tao, F.; Xu, P. Bacterial diversity analysis in Kazakh fer-mented milks Shubat and Ayran by combining culture-dependent and culture-independent methods. LWT 2021, 141, 110877. [Google Scholar] [CrossRef]
- Ali, A.H.; Abu-Jdayil, B.; Al Nabulsi, A.; Osaili, T.; Liu, S.Q.; Kamal-Eldin, A.; Ayyash, M. Fermented camel milk influenced by soy extract: Apparent viscosity, viscoelastic properties, thixotropic behavior, and biological activities. J. Dairy Sci. 2023, 106, 6671–6687. [Google Scholar] [CrossRef]
- Ishii, S.; Samejima, K. Products made from camel’s milk by Mongolian nomads. Milk Sci. 2006, 55, 2. [Google Scholar]
- Tsuchiya, R.; Kawai, T.; Bat-Oyun, T.; Shinoda, M.; Morinaga, Y. Electrical conductivity, pH, minerals, and sensory evaluation of airag (fermented mare’s milk). Foods 2020, 9, 333. [Google Scholar] [CrossRef]
- Watanabe, K.; Fujimoto, J.; Sasamoto, M.; Dugersuren, J.; Tumursuh, T.; Demberel, S. Diversity of lactic acid bacteria and yeasts in Airag and Tarag, traditional fermented milk products of Mongolia. World J. Microbiol. Biotechnol. 2008, 24, 1313–1325. [Google Scholar] [CrossRef]
- Mahmoudi, M.; Khomeiri, M.; Saeidi, M.; Kashaninejad, M.; Davoodi, H. Study of potential probiotic properties of lactic acid bacteria isolated from raw and traditional fermented camel milk. J. Agric. Sci. Technol. 2019, 21, 1161–1172. [Google Scholar]
- Soleymanzadeh, N.; Mirdamadi, S.; Kianirad, M. Antioxidant activity of camel and bovine milk fermented by lactic acid bacteria isolated from traditional fermented camel milk (Chal). Dairy Sci. Technol. 2016, 96, 443–457. [Google Scholar] [CrossRef]
- Nahidul-Islam, S.M.; Kuda, T.; Takahashi, H.; Kimura, B. Bacterial and fungal microbiota in traditional Bangladeshi fermented milk products analysed by culture-dependent and culture-independent methods. Food Res. Int. 2018, 111, 431–437. [Google Scholar] [CrossRef] [PubMed]
- Shangpliang, H.N.J.; Rai, R.; Keisam, S.; Jeyaram, K.; Tamang, J.P. Bacterial community in naturally fermented milk products of Arunachal Pradesh and Sikkim of India analysed by high-throughput amplicon sequencing. Sci. Rep. 2018, 8, 1532. [Google Scholar] [CrossRef] [PubMed]
- Tamang, J.P.; Tamang, N.; Thapa, S.; Dewan, S.; Tamang, B.; Yonzan, H.; Rai, A.K.; Chettri, R.; Chakrabarty, J.; Kharel, N. Microorganisms and Nutritional Value of Ethnic Fermented Foods and Alcoholic Beverages of North East India. 2012. Available online: https://nopr.niscpr.res.in/handle/123456789/13415 (accessed on 6 January 2024).
- Berhe, T.; Ipsen, R.; Seifu, E.; Kurtu, M.Y.; Fugl, A.; Hansen, E.B. Metagenomic analysis of bacterial community composition in Dhanaan: Ethiopian traditional fermented camel milk. FEMS Microbiol. Lett. 2019, 366, fnz128. [Google Scholar] [CrossRef] [PubMed]
- Biratu, K.; Seifu, E. Chemical composition and microbiological quality of Dhanaan: Traditional fermented camel milk produced in eastern Ethiopia. Int. Food Res. J. 2016, 23, 2223. [Google Scholar]
- Abdelgadir, W.; Nielsen, D.S.; Hamad, S.; Jakobsen, M. A traditional Sudanese fermented camel’s milk product, Gariss, as a habitat of Streptococcus infantarius subsp. infantarius. Int. J. Food Microbiol. 2008, 127, 215–219. [Google Scholar] [CrossRef]
- Ahmed, A.I.; Mohamed, B.E.; Yousif, N.M.E.; Faye, B.; Loiseau, G. Effect of starter cultures on various classes of fatty acids in Sudanese fermented camel milk (Camelus dromedarius) gariss. Emir. J. Food Agric. 2016, 28, 353. [Google Scholar] [CrossRef]
- Ashmaig, A.; Hasan, A.; El Gaali, E. Identification of lactic acid bacteria isolated from traditional Sudanese fermented camel’s milk (Gariss). Afr. J. Microbiol. Res. 2009, 3, 451–457. [Google Scholar]
- Berhe, T.; Vogensen, F.K.; Ipsen, R.; Seifu, E.; Kurtu, M.Y.; Hansen, E.B. Traditional fermented dairy products of Ethiopia: A review. East Afr. J. Sci. 2017, 11, 73–80. [Google Scholar]
- Pereira, G.V.d.M.; Neto, D.P.d.C.; Maske, B.L.; Lindner, J.D.D.; Vale, A.S.; Favero, G.R.; Viesser, J.; de Carvalho, J.C.; Góes-Neto, A.; Soccol, C.R. An updated review on bacterial community composition of traditional fermented milk products: What next-generation sequencing has revealed so far? Crit. Rev. Food Sci. Nutr. 2020, 62, 1870–1889. [Google Scholar] [CrossRef]
- Farag, M.A.; Jomaa, S.A.; Abd El-Wahed, A.; El-Seedi, H.R. The many faces of kefir fermented dairy products: Quality characteristics, flavour chemistry, nutritional value, health benefits, and safety. Nutrients 2020, 12, 346. [Google Scholar] [CrossRef]
- Kavas, G. Kefirs manufactured from camel (Camelus dramedarius) milk and cow milk: Comparison of some chemical and microbial properties. Ital. J. Food Sci. 2015, 27, 357–365. [Google Scholar]
- Seo, K.-H.; Lee, H.G.; Eor, J.Y.; Jeon, H.J.; Yokoyama, W.; Kim, H. Effects of kefir lactic acid bacteria-derived postbiotic components on high fat diet-induced gut microbiota and obesity. Food Res. Int. 2022, 157, 111445. [Google Scholar] [CrossRef] [PubMed]
- Van Wyk, J. Kefir: The champagne of fermented beverages. In Fermented Beverages; Woodhead Publishing: Sawston, UK, 2019; pp. 473–527. [Google Scholar]
- Oki, K.; Dugersuren, J.; Demberel, S.; Watanabe, K. Pyrosequencing analysis of the microbial di-versity of airag, khoormog and tarag, traditional fermented dairy products of mongolia. Biosci. Microbiota Food Health 2014, 33, 53–64. [Google Scholar] [CrossRef] [PubMed]
- Jans, C.; Bugnard, J.; Njage, P.M.K.; Lacroix, C.; Meile, L. Lactic acid bacteria diversity of African raw and fermented camel milk products reveals a highly competitive, potentially health-threatening predominant microflora. LWT 2012, 47, 371–379. [Google Scholar] [CrossRef]
- Lore, T.A.; Mbugua, S.K.; Wangoh, J. Enumeration and identification of microflora in suusac, a Kenyan traditional fermented camel milk product. LWT-Food Sci. Technol. 2005, 38, 125–130. [Google Scholar] [CrossRef]
- Sun, Z.; Liu, W.; Bao, Q.; Zhang, J.; Hou, Q.; Kwok, L.; Sun, T.; Zhang, H. Investigation of bacterial and fungal diversity in tarag using high-throughput sequencing. J. Dairy Sci. 2014, 97, 6085–6096. [Google Scholar] [CrossRef]
- Takeda, S.; Yamasaki, K.; Takeshita, M.; Kikuchi, Y.; Tsend-Ayush, C.; Dashnyam, B.; Ahhmed, A.M.; Kawahara, S.; Muguruma, M. The investigation of probiotic potential of lactic acid bacteria isolated from traditional Mongolian dairy products. Anim. Sci. J. 2011, 82, 571–579. [Google Scholar] [CrossRef]





| Goat | Sheep | Camel | Human | ||
|---|---|---|---|---|---|
| Casein | β-casein | 91 | 91 | 67 | 55 |
| αs1-casein | 88 | 88 | 47 | 33 | |
| αs2-casein | 88 | 89 | 56 | Absent | |
| κ-casein | 85 | 85 | 58 | 52 | |
| Whey | α-lactalbumin | 95 | 95 | 60 | 74 |
| β-lactalbumin | 93 | 93 | Absent | Absent | |
| Serum albumin | 88 | 92 | 81 | 76 | |
| Lactoferrin | 92 | 92 | 75 | 70 |
| Product | Countries | Product Description | Identified Microorganisms | Reference |
|---|---|---|---|---|
| Airag | China, Kazakhstan, Kyrgyzstan, Mongolia, and some regions of Russia | Fermented beverage typically made from raw milk and has a mild alcohol content. Traditional airag production includes adding fresh milk to previously produced airag (as a starter culture) in a leather sack called a khokhuur, stirring it frequently by hand with a stirring rod, and then letting it ferment overnight. | Lactobacillus delbrueckii subsp. bulgaricus, L. reuteri, L. helveticus, Leuconostoc mesenteroides subsp. dextranicum, and Streptococcus lactis | [133,134,135] |
| Chal | Bulgaria, Iran, and Turkey | Fermented CM typically made by fermenting fresh milk using already fermented acidic milk as an inoculum. Fermentation is performed in a porcelain jug for 1–2 days. | Lactobacillus plantarum, L. paracasei, L. kefiri, L. gasseri, L. helveticus, Enterococcus faecium, Weissella cibaria, Lactococcus lactis, and Leuconostoc lactis | [136,137] |
| Dahi | Bangladesh, Bhutan, India, Nepal, and Pakistan | Fermented ready-to-drink beverage made from milk subjected to intensive heating before fermentation, which gives the end product a brown color and caramelized taste. Fermentation takes about 1–2 days. | Lactobacillus helveticus, L. delbrueckii, and Lactococcus lactis | [138,139,140] |
| Dhaanan | Ethiopia | White opaque fermented milk with a sour taste and thin consistency. Dhanaan is made by putting unpasteurized CM in a smoking container, wrapping it in fabric, and storing it at room temperature for an extended period of time. People prefer it to milk for its taste and longer shelf life. | Lactococcus lactis and Weissella cibaria | [141,142] |
| Garis | Sudan | Raw CM is subjected to a semi-continuous fermentation procedure involving shaking in a leather bag made from tanned goat skin. Fresh CM is continuously added for months to replace the removed fermented product. | Lactobacillus helveticus, L. plantarum, L. brevis, and L. leichmannii | [143,144,145] |
| Ititu | Ethiopia | Spontaneously fermented CM made from raw milk with no defined starter culture. Fermentation is performed at room temperature for an extended duration, typically up to 14 days or longer. The main production characteristic is the separation of whey from fermented caseins. | Lactobacillus plantarum, L. delbrueckii subsp. bulgaricus, L. salivarius, Enterococcus faecalis, and Lactococcus lactis | [81,146] |
| Kefir | Caucasus, Eastern Europe, Iran, Mongolia, and Turkey | Traditional kefir preparation involves incubating milk with kefir grains that contain bacteria and yeast. Sterile milk is inoculated with kefir grains and incubated at 25 °C until the pH reaches 4.4. | Lactobacillus helveticus, L. kefiranofaciens, L. delbrueckii, L. kalixensis, L. parafarraginis, L. crispatus, L. apis, L. intestinalis, L. gigeriorum, L. taiwanensis, L. gasseri, L. lactis, L. psittaci, L. reuteri, L. rossiae, L. thailandensis, L. tucceti, L. senmaizukei, L. sanfranciscensis, L. farraginis, L. parafarraginis, L. rapi, L. parakefiri, L. sunkii, L. parabuchneri, L. nagelii, L. animalis, L. sakei, and Saccharomyces cerevisiae | [147,148,149,150,151] |
| Khoormog | China and Mongolia | Spontaneously fermented dairy product made from raw CM in a wooden barrel without the use of commercial starters. It has a sour and alcoholic taste. | Lactobacillus helveticus, L. kefiranofaciens, L. delbrueckii, Leuconostoc spp., Lactococcus spp., Dipodascus, Pichia, Kluyveromyces, and Saccharomyces | [106,147,152] |
| Lfrik | Morocco | Made by spontaneous fermentation of raw CM in goat skin bags at ambient temperature for 12 h. | Lactobacillus fermentum, L. delbrueckii subsp. bulgaricus, L. delbrueckii subsp. lactis, L. acidophilus, L. plantarum, L. brevis, Leuconostoc mesenteroides subsp. dextranicum, Leuc. lactis, Lactococcus lactis subsp. lactis biovar diacetylactis, Lc. lactis subsp. cremoris, Lc. lactis subsp. hordniae, Lc. raffinolactis, Lc. plantarum, and Streptococcus thermophiles | [123] |
| Shubat | Kazakhstan | Made by fermentation of fresh, unprocessed CM by adding a small quantity of previously soured milk (typically around 50 mL/L). Fermentation is performed for 1–2 days in a specialized container made of skin or wood. | Lactobacillus bulgaricus, L. helveticus, L. kefiri, and Streptococcus thermophiles | [104,126,131] |
| Suusac | Kenya | CM is fermented spontaneously in smoke-treated gourds. Fermentation lasts 1–2 days at 26–29 °C to produce a product having a white color, astringent taste, and low viscosity. | Lactobacillus curvatus, L. plantarum, L. salivarius, Lactococcus raffinolactis, and Leuconostoc mesenteroides subsp. mesenteroides | [153,154] |
| Tarag | China and Mongolia | Fresh milk is fermented using previous inoculum for a duration of 5–8 days at temperatures of 10–25 °C to achieve the necessary level of acidity, alcohol, and flavor. | Lactobacillus delbrueckii subsp. bulgaricus, L. helveticus, L. kefiri, L. plantarum, L. pentosus, L kefiri, L. paracasei subsp. tolerans, Leuconostoc citreum, Weissella confusa, Enterococcus faecium, Lactococcus lactis subsp. lactis, Leuconostoc mesenteroides, Galactomyces, Pichia, Kluyveromyces, Saccharomyces, and Trichosporon | [135,155,156] |
Disclaimer/Publisher’s Note: The statements, opinions and data contained in all publications are solely those of the individual author(s) and contributor(s) and not of MDPI and/or the editor(s). MDPI and/or the editor(s) disclaim responsibility for any injury to people or property resulting from any ideas, methods, instructions or products referred to in the content. |
© 2024 by the authors. Licensee MDPI, Basel, Switzerland. This article is an open access article distributed under the terms and conditions of the Creative Commons Attribution (CC BY) license (https://creativecommons.org/licenses/by/4.0/).
Share and Cite
Hamed, N.S.; Mbye, M.; Ayyash, M.; Ulusoy, B.H.; Kamal-Eldin, A. Camel Milk: Antimicrobial Agents, Fermented Products, and Shelf Life. Foods 2024, 13, 381. https://doi.org/10.3390/foods13030381
Hamed NS, Mbye M, Ayyash M, Ulusoy BH, Kamal-Eldin A. Camel Milk: Antimicrobial Agents, Fermented Products, and Shelf Life. Foods. 2024; 13(3):381. https://doi.org/10.3390/foods13030381
Chicago/Turabian StyleHamed, Nejat Shifamussa, Mustapha Mbye, Mutamed Ayyash, Beyza Hatice Ulusoy, and Afaf Kamal-Eldin. 2024. "Camel Milk: Antimicrobial Agents, Fermented Products, and Shelf Life" Foods 13, no. 3: 381. https://doi.org/10.3390/foods13030381
APA StyleHamed, N. S., Mbye, M., Ayyash, M., Ulusoy, B. H., & Kamal-Eldin, A. (2024). Camel Milk: Antimicrobial Agents, Fermented Products, and Shelf Life. Foods, 13(3), 381. https://doi.org/10.3390/foods13030381

