Effects of a Diet of Allium Extract on Growth, Biochemistry, Metabolism, and Gut Microbiota of Rabbits (Oryctolagus cuniculus)
Abstract
1. Introduction
2. Materials and Methods
2.1. Preparation of Experimental Diet and Study Design
2.2. Growth Performance
2.3. Biochemical Blood Indices
2.4. Metabolism Analysis
2.4.1. Muscle Extraction Procedure
2.4.2. Mass Spectra Analysis and Metabolite Identification
2.5. Gut Microbiota Content
2.6. Statistical Analysis
3. Results
3.1. Growth Performance
3.2. Biochemical Blood Indices
3.3. Muscle Analysis and Biotransformation Products
3.4. Gut Microbiota Content
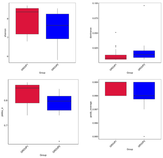
3.4.1. Effect of Allium Extract Supplementation on Alpha and Beta Diversity Indices
3.4.2. Changes in Bacterial Community Composition
4. Discussion
5. Conclusions
Supplementary Materials
Author Contributions
Funding
Data Availability Statement
Acknowledgments
Conflicts of Interest
References
- Wongnaa, C.A.; Afful-Kwadam, K.; Asempah, M.K.; Hagan, M.A.S.; Awunyo-Vitor, D. Is it profitable and viable to invest in commercialization of rabbit production? Implication on rural enterprise development. Sustain. Technol. Entrep. 2023, 2, 100048. [Google Scholar] [CrossRef]
- Suvajdžić, B.; Čobanović, N.; Grković, N.; Vićić, I.; Vasilev, D. The nutritional profile and technological properties of rabbit meat. Meat Technol. 2023, 64, 171–176. [Google Scholar] [CrossRef]
- Pedro, D.; Saldaña, E.; Lorenzo, J.M.; Pateiro, M.; Dominguez, R.; Dos Santos, B.A.; Cichoski, A.J.; Campagnol, P.C.B. Low-sodium dry-cured rabbit leg: A novel meat product with healthier properties. Meat Sci. 2021, 173, 108372. [Google Scholar] [CrossRef] [PubMed]
- Siddiqui, S.A.; Adli, D.N.; Nugraha, W.S.; Yudhistira, B.; Lavrentev, F.V.; Shityakov, S.; Feng, X.; Nagdalian, A.; Ibrahim, S.A. Social, ethical, environmental, economic and technological aspects of rabbit meat production—A critical review. Heliyon 2024, 10, e29635. [Google Scholar] [CrossRef]
- Gidenne, T.; Garreau, H.; Drouilhet, L.; Aubert, C.; Maertens, L. Improving feed efficiency in rabbit production, a review on nutritional, technico-economical, genetic and environmental aspects. Anim. Feed Sci. Technol. 2017, 225, 109–122. [Google Scholar] [CrossRef]
- Cullere, M.; Dalle Zotte, A. Rabbit meat production and consumption: State of knowledge and future perspectives. Meat Sci. 2018, 143, 137–146. [Google Scholar] [CrossRef]
- Crovato, S.; Pinto, A.; Di Martino, G.; Mascarello, G.; Rizzoli, V.; Marcolin, S.; Ravarotto, L. Purchasing Habits, Sustainability Perceptions, and Welfare Concerns of Italian Consumers Regarding Rabbit Meat. Foods 2022, 11, 1205. [Google Scholar] [CrossRef]
- Hassan, F.A.; Ibrahim, M.R.M.; Arafa, S.A. Effect of Dietary Pomegranate By-Product Extract Supplementation on Growth Performance, Digestibility, and Antioxidant Status of Growing Rabbits. Trop. Anim. Health Prod. 2020, 52, 1893–1901. [Google Scholar] [CrossRef]
- Elbaz, A.M.; Farrag, B.; Mesalam, N.M.; Basuony, H.A.; Badran, A.M.M.; Abdel-Moneim, A.E. Growth Performance, Digestive Function, Thyroid Activity, and Immunity of Growing Rabbits Fed Olive Cake with or without Saccharomyces cerevisiae or Citric Acid. Trop. Anim. Health Prod. 2023, 55, 376. [Google Scholar] [CrossRef]
- Morshedy, S.A.; Gad, K.M.; Basyony, M.M.; Zahran, S.M.; Ahmed, M.H. The Feasibility of Partial Replacement of Berseem Hay by Spent Mushroom (Pleurotus ostreatus) Substrate in Rabbit Diets on Growth Performance, Digestibility, Caecum Fermentation, and Economic Efficiency. Arch. Anim. Nutr. 2023, 77, 421–436. [Google Scholar] [CrossRef]
- Salem, A.A.; Taha, D.A.; Nasr, A.A.E.; El-Sagheer, M.; Daghash, W.; Taghian, R.A. Effect of Vitamin E, D-Limonene, and Their Combination on Nulliparous Rabbit Reproductive Performance. Anim. Reprod. Sci. 2023, 259, 107378. [Google Scholar] [CrossRef] [PubMed]
- Bordignon, F.; Trocino, A.; Marín García, P.J.; Larsen, T.; Zardinoni, G.; Molina, M.; Birolo, M.; Xiccato, G. Chlorella and Vegetable Oil Inclusion in Diets for Growing Rabbits: Effects on Growth, Digestibility, Plasma Metabolites, and Caecal Fermentations and Microbiota. Animal 2024, 18, 101365. [Google Scholar] [CrossRef] [PubMed]
- Adli, D.N.; Sugiharto, S.; Irawan, A.; Tribudi, Y.A.; Wibowo, S.; Azmi, A.F.M.; Sjofjan, O.; Jayanegara, A.; Tistiana, H.; Wahyono, T.; et al. The Effects of Herbal Plant Extract on the Growth Performance, Blood Parameters, Nutrient Digestibility and Carcass Quality of Rabbits: A Meta-Analysis. Heliyon 2024, 10, e25724. [Google Scholar] [CrossRef] [PubMed]
- Demir, T.; Akpınar, Ö.; Kara, H.; Güngör, H. Phenolic Profile and Investigation of Biological Activities of Allium scorodoprasum L. subsp. rotundum. Food Biosci. 2022, 46, 101548. [Google Scholar] [CrossRef]
- Gatran, R.; Ben Arfa, A.; Chargui, I.; Hammadi, M.; Sedik, M.; Tlig, A.; Hamdaoui, M.H.; Neffati, M.; Najjaa, H. Beneficial Effects of Edible Species, Allium roseum, on Metabolic Parameters in Diabetic Rats, with Potential Regeneration of Liver and Kidney Damages. Food Biosci. 2024, 57, 103415. [Google Scholar] [CrossRef]
- Kim, S.-H.; Yoon, J.B.; Han, J.; Seo, Y.A.; Kang, B.-H.; Lee, J.; Ochar, K. Green Onion (Allium fistulosum): An Aromatic Vegetable Crop Esteemed for Food, Nutritional, and Therapeutic Significance. Foods 2023, 12, 4503. [Google Scholar] [CrossRef]
- Li, M.; Zhao, X.; Xu, M. Chemical Composition, Antimicrobial and Antioxidant Activity of Essential Oil from Allium tenuissimum L. Flowers. Foods 2022, 11, 3876. [Google Scholar] [CrossRef]
- Putnik, P.; Gabric, D.; Roohinejad, S.; Barba, F.J.; Granato, D.; Mallikarjunan, K.; Lorenzo, J.M.; Bursac Kovacevic, D. An overview of organosulfur compounds from Allium spp.: From processing and preservation to evaluation of their bioavailability, antimicrobial, and anti-inflammatory properties. Food Chem. 2019, 276, 680–691. [Google Scholar] [CrossRef]
- Guillamón, E.; Andreo-Martínez, P.; Mut-Salud, N.; Fonollá, J.; Baños, A. Beneficial effects of organosulfur compounds from Allium cepa on gut health: A systematic review. Foods 2021, 21, 1680. [Google Scholar] [CrossRef]
- Llana-Ruiz-Cabello, M.; Gutiérrez-Praena, D.; Puerto, M.; Pichardo, S.; Moreno, F.J.; Baños, A.; Nuñez, C.; Guillamón, E.; Cameán, A.M. Acute toxicological studies of the main organosulfur compound derived from Allium sp. intended to be used in active food packaging. Food Chem. Toxicol. 2015, 82, 1–11. [Google Scholar] [CrossRef]
- Baños Arjona, A.; Sanz, A.; Brotman, K.A. Use of Propyl Propanethosulfinate and Propyl Propanethosulfonate for the Prevention and Reduction of Parasites in Aquatic Animals. U.S. Patent 927,194,7B2, 1 March 2016. [Google Scholar]
- Mellado-García, P.; Puerto, M.; Pichardo, S.; Llana-Ruiz-Cabello, M.; Moyano, R.; Blanco, A.; Jos, A.; Cameán, A.M. Toxicological evaluation of an Allium based commercial product in a 90-day feeding study in Sprague–Dawley rats. Food Chem. Toxicol. 2016, 90, 18–29. [Google Scholar] [CrossRef] [PubMed]
- Cascajosa Lira, A.; Prieto, A.I.; Baños, A.; Guillamón, E.; Moyano, R.; Jos, A.; Cameán, A.M. Safety assessment of Propil-propanethiosulfonate (PTSO): 90-days oral subchronic toxicity study in rats. Food Chem. Toxicol. 2020, 144, 111612. [Google Scholar] [CrossRef] [PubMed]
- Cascajosa-Lira, A.; Guzmán-Guillén, R.; Pichardo, S.; Baños, A.; de la Torre, J.M.; Ayala-Soldado, N.; Moyano-Salvago, M.R.; Ortiz-Jaraba, I.; Cameán, A.M.; Jos, A. Two-Generation Toxicity Study of the Antioxidant Compound Propyl-Propane Thiosulfonate (PTSO). Antioxidants 2024, 13, 350. [Google Scholar] [CrossRef]
- Peinado, M.J.; Ruiz, R.; Echávarri, A.; Rubio, L.A. Garlic Derivative Propyl Propane Thiosulfonate Is Effective against Broiler Enteropathogens in Vivo. Poult. Sci. 2012, 91, 2148–2157. [Google Scholar] [CrossRef]
- Rabelo-Ruiz, M.; Teso-Pérez, C.; Peralta-Sánchez, J.M.; Ariza, J.J.; Martín-Platero, A.M.; Casabuena-Rincón, O.; Vázquez-Chas, P.; Guillamón, E.; Aguinaga-Casañas, M.A.; Maqueda, M.; et al. Allium Extract Implements Weaned Piglet’s Productive Parameters by Modulating Distal Gut Microbiota. Antibiotics 2021, 10, 269. [Google Scholar] [CrossRef]
- Federspiel, J.D.; Catlin, N.R.; Nowland, W.S.; Stethem, C.M.; Mathialagan, N.; Fernandez Ocaña, M.; Bowman, C.J. Differential Analysis of Cereblon Neosubstrates in Rabbit Embryos Using Targeted Proteomics. Mol. Cell. Proteom. 2024, 23, 100797. [Google Scholar] [CrossRef]
- Elvy, J.E.; Symonds, J.E.; Hilton, Z.; Walker, S.P.; Tremblay, L.A.; Casanovas, P.; Herbert, N.A. The Relationship of Feed Intake, Growth, Nutrient Retention, and Oxygen Consumption to Feed Conversion Ratio of Farmed Saltwater Chinook Salmon (Oncorhynchus tshawytscha). Aquaculture 2022, 554, 738184. [Google Scholar] [CrossRef]
- Rahman, M.H.; Arifuzzaman, M. An Experiment on Growth Performance, Specific Growth Rate (SGR), and Feed Conversion Ratio (FCR) of Rohu (Labeo rohita) and Tilapia (Oreochromis niloticus) in Tank-Based Intensive Aquaculture System. Int. J. Aquac. Fish Sci. 2021, 7, 35–41. [Google Scholar] [CrossRef]
- García-Nicolás, M.; Pastor-Belda, M.; Campillo, N.; Rodríguez-Sojo, M.J.; Ruiz-Malagón, A.J.; Hidalgo-García, L.; Abad, P.; de la Torre, J.M.; Guillamón, E.; Baños, A.; et al. Analytical Platform for the Study of Metabolic Pathway of Propyl Propane Thiosulfonate (PTSO) from Allium spp. Foods 2023, 12, 823. [Google Scholar] [CrossRef]
- Cascajosa-Lira, A.; Medrano-Padial, C.; Pichardo, S.; de la Torre, J.M.; Baños, A.; Jos, A.; Cameán, A.M. Identification of in vitro metabolites of an Allium organosulfur compound and environmental toxicity prediction as part of its risk assessment. Environ. Res. 2023, 229, 116001. [Google Scholar] [CrossRef]
- Birolo, M.; Trocino, A.; Zuffellato, A.; Xiccato, G. Effects of Time-Based Feed Restriction on Morbidity, Mortality, Performance and Meat Quality of Growing Rabbits Housed in Collective Systems. Animals 2020, 14, 626–635. [Google Scholar] [CrossRef] [PubMed]
- Peinado, M.; Ruiz, R.; Echávarri, A.; Aranda-Olmedo, I.; Rubio, L. Garlic Derivative PTS-O Modulates Intestinal Microbiota Composition and Improves Digestibility in Growing Broiler Chickens. Anim. Feed Sci. Technol. 2013, 181, 87–92. [Google Scholar] [CrossRef]
- Liu, L.; Zhao, X.; Liu, Y.; Zhao, H.; Li, F. Dietary Addition of Garlic Straw Improved the Intestinal Barrier in Rabbits. J. Anim. Sci. 2019, 97, 4248–4255. [Google Scholar] [CrossRef] [PubMed]
- Amaduruonye, W.; Ekuma, B.O.; Onunkwo, D.N.; Herbert, U. Effects of Garlic (Allium sativum) and Vitamin E on Blood Profile, Growth Performance and Internal Organ Characteristics of Rabbit Bucks. Nig. J. Anim. Prod. 2017, 44, 167–176. [Google Scholar] [CrossRef]
- Abdel-Waretha, A.A.A.; Ahmed, A.E.; Hassan, H.A.; Abd El-Sadek, M.S.; Ghazalah, A.A.; Lohakare, J. Nutritional Impact of Nano-Selenium, Garlic Oil, and Their Combination on Growth and Reproductive Performance of Male Californian Rabbits. Anim. Feed Sci. Technol. 2019, 249, 37–45. [Google Scholar] [CrossRef]
- Abou-Kassem, D.E.; Mahrose, K.M.; El-Samahy, R.A.; Shafi, M.E.; El-Saadony, M.T.; Abd El-Hack, M.E.; Emam, M.; El-Sharnouby, M.; Taha, A.E.; Ashour, E.A. Influences of Dietary Herbal Blend and Feed Restriction on Growth, Carcass Characteristics, and Gut Microbiota of Growing Rabbits. Ital. J. Anim. Sci. 2021, 20, 896–910. [Google Scholar] [CrossRef]
- Hernández, P.; Aliaga, S.; Pla, M.; Blasco, A. The Effect of Selection for Growth Rate and Slaughter Age on Carcass Composition and Meat Quality Traits in Rabbits. J. Anim. Sci. 2004, 82, 3138–3143. [Google Scholar] [CrossRef]
- Sánchez, C.J.; Martínez-Miró, S.; Ariza, J.J.; Madrid, J.; Orengo, J.; Aguinaga, M.A.; Baños, A.; Hernández, F. Effect of Alliaceae Extract Supplementation on Performance and Intestinal Microbiota of Growing-Finishing Pigs. Animals 2020, 10, 1557. [Google Scholar] [CrossRef]
- Mitruka, B.M.; Rawnley, H.M. Clinical Biochemical and Haematological Reference Values in Normal and Experimental Animals; Masson Publishing USA, Inc.: New York, NY, USA, 1977; pp. 83, 134–135. [Google Scholar]
- Hillyer, E.V. Pet Rabbits. Vet. Clin. N. Am. Small Anim. Pract. 1994, 24, 25–65. [Google Scholar] [CrossRef]
- Cascajosa-Lira, A.; Pichardo, S.; Baños, A.; Guillamón, E.; Molina-Hernández, V.; Moyano, R.; Jos, Á.; Cameán, A.M. Acute and Subchronic 90-Days Toxicity Assessment of Propyl-Propane-Thiosulfinate (PTS) in Rats. Food Chem. Toxicol. 2022, 161, 112827. [Google Scholar] [CrossRef]
- Subramanian, M.S.; Nandagopal, M.S.G.; Amin Nordin, S.; Thilakavathy, K.; Joseph, N. Prevailing Knowledge on the Bioavailability and Biological Activities of Sulphur Compounds from Alliums: A Potential Drug Candidate. Molecules 2020, 25, 4111. [Google Scholar] [CrossRef] [PubMed]
- Ülger, T.G.; Çakiroglu, F.P. The Effects of Onion (Allium cepa L.) Dried by Different Heat Treatments on Plasma Lipid Profile and Fasting Blood Glucose Level in Diabetic Rats. Avicenna J. Phytomed. 2020, 10, 325–333. [Google Scholar] [PubMed]
- Ansary, J.; Forbes-Hernández, T.Y.; Gil, E.; Cianciosi, D.; Zhang, J.; Elexpuru-Zabaleta, M.; Simal-Gandara, J.; Giampieri, F.; Battino, M. Potential Health Benefit of Garlic Based on Human Intervention Studies: A Brief Overview. Antioxidants 2020, 9, 619. [Google Scholar] [CrossRef] [PubMed]
- AOAC International. AOAC Official Methods of Analysis, 2016. Guidelines for Standard Method Performance Requirements; Appendix F; AOAC International: Rockville, MD, USA, 2016; Available online: http://www.eoma.aoac.org/app_f.pdf (accessed on 12 November 2024).
- González, G.; Herrador, A.; Asuero, A. Intra-laboratory Assessment of Method Accuracy (Trueness and Precision) by Using Validation Standards. Talanta 2010, 82, 1995–1998. [Google Scholar] [CrossRef] [PubMed]
- Egea, M.; Peñaranda, I.; Garrido, M.D.; Linares, M.B.; Sánchez, C.J.; Madrid, J.; Orengo, J.; Hernández, F.; Aguinaga Casañas, M.A.; Baños, A.; et al. Use of Mediterranean By-Products to Produce Entire Male Large White Pig: Meat and Fat Quality. Animals 2021, 11, 3128. [Google Scholar] [CrossRef]
- Cascajosa-Lira, A.; Pichardo, S.; Baños, A.; de la Torre, J.M.; Ayala-Soldado, N.; González-Pérez, J.A.; Jiménez-Morillo, N.T.; Jos, Á.; Cameán, A.M. Acute Study and the Absorption, Distribution, and Metabolomic Profile of the Natural Compound Propyl-Propane-Thiosulfonate from Allium in Rats. Food Biosci. 2024, 62, 105466. [Google Scholar] [CrossRef]
- OECD. Test No. 417: Toxicokinetics, OECD Guidelines for the Testing of Chemicals, Section 4; OECD Publishing: Paris, France, 2010. [Google Scholar] [CrossRef]
- EFSA FEEDAP Panel (EFSA Panel on Products or Substances used in Animal eed); Rychen, G.; Aquilina, G.; Azimonti, G.; Bampidis, V.; Bastos, M.L.; Bories, G.; Chesson, A.; Cocconcelli, P.S.; Flachowsky, G.; et al. Guidance on the assessment of the safety of feed additives for the consumer. EFSA J. 2017, 15, 5022. [Google Scholar] [CrossRef]
- Kocadağlı, T.; Gökmen, V. Metabolism of Acrylamide in Humans and Biomarkers of Exposure to Acrylamide. In Acrylamide in Food, 2nd ed.; Academic Press: Cambridge, MA, USA, 2024; pp. 111–129. [Google Scholar] [CrossRef]
- Zhao, M.; Liu, H.; Liu, M.; Yue, Z.; Li, C.; Liu, L.; Li, F. Metagenomics and Metabolomics Reveal That Gut Microbiome Adapts to the Diet Transition in Hyla Rabbits. Microbiol. Res. 2024, 283, 127705. [Google Scholar] [CrossRef]
- Zhang, L.; Guo, H.; Gu, J.; Hu, T.; Wang, X.; Sun, Y.; Li, H.; Sun, W.; Qian, X.; Song, Z.; et al. Metagenomic Insights into Dietary Remodeling of Gut Microbiota and Antibiotic Resistome in Meat Rabbits. Sci. Total Environ. 2023, 874, 162006. [Google Scholar] [CrossRef]
- Manor, O.; Dai, C.L.; Kornilov, S.A.; Smith, B.; Price, N.D.; Lovejoy, J.C.; Magis, A.T. Health and Disease Markers Correlate with Gut Microbiome Composition Across Thousands of People. Nat. Commun. 2020, 11, 5206. [Google Scholar] [CrossRef]
- Rabelo-Ruiz, M.; Newman-Portela, A.M.; Peralta-Sánchez, J.M.; Martín-Platero, A.M.; Agraso, M.D.M.; Bermúdez, L.; Aguinaga, M.A.; Baños, A.; Maqueda, M.; Valdivia, E.; et al. Beneficial Shifts in the Gut Bacterial Community of Gilthead Seabream (Sparus aurata) Juveniles Supplemented with Allium-Derived Compound Propyl Propane Thiosulfonate (PTSO). Animals 2022, 12, 1821. [Google Scholar] [CrossRef] [PubMed]
- Guo, P.; Zhang, K.; Ma, X.; He, P. Clostridium Species as Probiotics: Potentials and Challenges. J. Anim. Sci. Biotechnol. 2020, 11, 24. [Google Scholar] [CrossRef] [PubMed]
- Abdolmohammad Khiav, L.; Zahmatkesh, A. Vaccination Against Pathogenic Clostridia in Animals: A Review. Trop. Anim. Health Prod. 2021, 53, 284. [Google Scholar] [CrossRef] [PubMed]
- Niu, H.; Zhou, M.; Zogona, D.; Xing, Z.; Wu, T.; Chen, R.; Cui, D.; Liang, F.; Xu, X. Akkermansia muciniphila: A Potential Candidate for Ameliorating Metabolic Diseases. Front. Immunol. 2024, 15, 1370658. [Google Scholar] [CrossRef]
- Li, Z.; Gao, W.; Yuan, H.; Pan, X.; Yuan, R.; Wang, W.; Guan, L.; Hu, L.; Chen, Y.; Cheng, Z.; et al. Suppression of Intestinal Ticam1 Ameliorated MASH via Akkermansia muciniphila QAA37749.1 Mediated Betaine Transformation. BBA Mol. Basis Dis. 2025, 1871, 167571. [Google Scholar] [CrossRef]
- Wang, Y.; Huang, Z.; Gui, Z.; Yang, B.; You, F.; Yang, G.; Zhang, X.; Chang, X.; Meng, X. Supplementation with Akkermansia muciniphila Improved Intestinal Barrier and Immunity in Zebrafish (Danio rerio). Fish Shellfish Immunol. 2024, 154, 109935. [Google Scholar] [CrossRef]
- Reunanen, J.; Kainulainen, V.; Huuskonen, L.; Ottman, N.; Belzer, C.; Huhtinen, H.; de Vos, W.M.; Satokari, R. Akkermansia muciniphila Adheres to Enterocytes and Strengthens the Integrity of the Epithelial Cell Layer. Appl. Environ. Microbiol. 2015, 81, 3655–3662. [Google Scholar] [CrossRef]
- Ahn, J.R.; Lee, S.H.; Kim, B.; Nam, M.H.; Ahn, Y.K.; Park, Y.M.; Jeong, S.M.; Park, M.J.; Song, K.B.; Lee, S.Y.; et al. Ruminococcus gnavus Ameliorates Atopic Dermatitis by Enhancing Treg Cell and Metabolites in BALB/c Mice. Pediatr. Allergy Immunol. 2022, 33, e13678. [Google Scholar] [CrossRef]
- Laplanche, V.; Armiento, S.; Speciale, I.; Šuligoj, T.; Crost, E.H.; Lamprinaki, D.; Vaux, L.; Gotts, K.; De Castro, C.; Juge, N. The Human Gut Symbiont Ruminococcus gnavus Displays Strain-Specific Exopolysaccharides Modulating the Host Immune Response. Carbohydr. Polym. 2025, 347, 122754. [Google Scholar] [CrossRef]
- Parada Venegas, D.; De la Fuente, M.K.; Landskron, G.; González, M.J.; Quera, R.; Dijkstra, G.; Harmsen, H.J.M.; Faber, K.N.; Hermoso, M.A. Short Chain Fatty Acids (SCFAs)-Mediated Gut Epithelial and Immune Regulation and Its Relevance for Inflammatory Bowel Diseases. Front. Immunol. 2019, 10, 1486. [Google Scholar] [CrossRef]
- Li, Y.; Hintze, K.J.; Ward, R.E. Effect of Supplemental Prebiotics, Probiotics and Bioactive Proteins on the Microbiome Composition and Fecal Calprotectin in C57BL6/j Mice. Biochimie 2021, 185, 43–52. [Google Scholar] [CrossRef] [PubMed]
- Solans, L.; Arnal, J.L.; Sanz, C.; Benito, A.; Chacón, G.; Alzuguren, O.; Fernández, A.B. Rabbit Enteropathies on Commercial Farms in the Iberian Peninsula: Etiological Agents Identified in 2018–2019. Animals 2019, 9, 1142. [Google Scholar] [CrossRef] [PubMed]
- Tuomisto, L.; Navarro, M.A.; Mendonça, F.S.; Oliver-Guimerá, A.; Casanova, M.I.; Keel, K.; Asin, J.; Imai, D.; Stoute, S.; Mete, A.; et al. Clostridium spiroforme-Associated Enteric Disease in Domestic Rabbits: A Retrospective Study of 32 Cases in California, 1992–2019, and Literature Review. J. Vet. Diagn. Investig. 2020, 6, 10406387241257676. [Google Scholar] [CrossRef] [PubMed]
- Abu El Hammed, W.; Soufy, H.; El-Shemy, A.; Nasr, S.M.; Dessouky, M.I. Use of Allicin as Feed Additive to Enhance Vaccination Capacity of Clostridium perfringens Toxoid in Rabbits. Vaccine 2016, 34, 2000–2007. [Google Scholar] [CrossRef]
- Agnoletti, F.; Ferro, T.; Guolo, A.; Marcon, B.; Cocchi, M.; Drigo, I.; Mazzolini, E.; Bano, L. A Survey of Clostridium spiroforme Antimicrobial Susceptibility in Rabbit Breeding. Vet. Microbiol. 2009, 136, 188–191. [Google Scholar] [CrossRef]
- Peeters, J.E.; Geeroms, R.; Carman, R.J.; Wilkins, T.D. Significance of Clostridium spiroforme in the Enteritis-Complex of Commercial Rabbits. Vet. Microbiol. 1986, 12, 25–31. [Google Scholar] [CrossRef]
- Luo, R.; Zhang, J.; Zhang, X.; Zhou, Z.; Zhang, W.; Zhu, Z.; Liu, H.; Wang, L.; Zhong, Z.; Fu, H.; et al. Bacillus subtilis HH2 Ameliorates TNBS-Induced Colitis by Modulating Gut Microbiota Composition and Improving Intestinal Barrier Function in Rabbit Model. J. Funct. Foods 2020, 74, 104167. [Google Scholar] [CrossRef]
- Liu, Z.; Jiang, Z.; Zhang, Z.; Liu, T.; Fan, Y.; Liu, T.; Peng, N. Bacillus coagulans in Combination with Chitooligosaccharides Regulates Gut Microbiota and Ameliorates the DSS-Induced Colitis in Mice. Microbiol. Spectr. 2022, 10, e00641-22. [Google Scholar] [CrossRef]
- Mingmongkolchai, S.; Panbangred, W. Bacillus Probiotics: An Alternative to Antibiotics for Livestock Production. J. Appl. Microbiol. 2018, 124, 1334–1346. [Google Scholar] [CrossRef]
- Rabelo-Ruiz, M.; Ariza-Romero, J.J.; Zurita-González, M.J.; Martín-Platero, A.M.; Baños, A.; Maqueda, M.; Valdivia, E.; Martínez-Bueno, M.; Peralta-Sánchez, J.M. Allium-Based Phytobiotic Enhances Egg Production in Laying Hens through Microbial Composition Changes in Ileum and Cecum. Animals 2021, 11, 448. [Google Scholar] [CrossRef]






| Weaning Diet (38 a 55 Days) | Fattening Diet (56 a 76 Days) | |||
|---|---|---|---|---|
| Diet | Control | Allium | Control | Allium |
| Ingredient (g/kg) | ||||
| Dehydrated alfalfa meal | 340.5 | 339.5 | 253 | 252 |
| Wheat bran | 190 | 190 | 240 | 240 |
| Barley | 120 | 120 | 160 | 160 |
| Dried beet pulp | 190 | 190 | 160 | 160 |
| 49% soybean meal | 50 | 50 | 40 | 40 |
| 30% sunflower flour | 70 | 70 | 100 | 100 |
| Sunflower oil | 10 | 10 | 15 | 15 |
| Molasses | 15 | 15 | 15 | 15 |
| Calcium carbonate | 1 | 1 | 4 | 4 |
| Dicalcium phosphate | 3.5 | 3.5 | 3 | 3 |
| Sodium chloride | 4 | 4 | 4 | 4 |
| L-lysine HCl | 1 | 1 | 1 | 1 |
| DL-methionine | 1 | 1 | 1 | 1 |
| Vitamin and mineral premix | 4 | 4 | 4 | 4 |
| Allium extract 1 | -- | 1 | -- | 1 |
| Chemical composition (%) | ||||
| Dry matter | 87.9 | 87.8 | 88.0 | 88.1 |
| Crude protein | 15.3 | 15.3 | 15.2 | 15.3 |
| Ether extract | 3.1 | 3.0 | 3.7 | 3.6 |
| Crude fiber | 16.6 | 16.7 | 15.1 | 15.2 |
| Ash | 6.8 | 6.8 | 6.6 | 6.7 |
| Neutral detergent fiber | 35.7 | 35.6 | 34.8 | 34.9 |
| Acid detergent fiber | 19.7 | 19.5 | 18.8 | 18.5 |
| Acid detergent lignin | 5.0 | 5.0 | 5.0 | 5.0 |
| Starch | 11.2 | 11.4 | 13.1 | 13.2 |
| Item | Control (Mean) | Control (SD) | Allium Extract(Mean) | Allium Extract(SD) | p Value |
|---|---|---|---|---|---|
| Age at onset, day | 38 | - | 38 | - | - |
| No. of rabbits start | 5571.25 | 90.59 | 5557.50 | 106.26 | 0.8504 |
| Total weight, kg | 5404.35 | 280.88 | 5056.68 | 165.38 | 0.3645 |
| Starting weight, kg/rabbit | 0.97 | 0.05 | 0.91 | 0.03 | 0.3645 |
| Final age, day | 77.00 | 0.71 | 75.63 | 1.49 | 0.4707 |
| No. of rabbits end | 5074.50 | 58.30 | 5271.25 | 97.62 | 0.1027 |
| Final total weight, kg | 12299.5 | 287.65 | 13742.47 | 328.96 | 0.0081 |
| Final weight kg/rabbit | 2.42 | 0.05 | 2.61 | 0.07 | 0.0406 |
| Days in cycle, d | 39.00 | 0.71 | 37.63 | 1.49 | 0.4707 |
| No. of culls | 496.75 | 65.85 | 286.25 | 28.28 | 0.01286 |
| Mortality (%) | 8.91 | 1.06 | 5.15 | 0.47 | 0.0084 |
| Total gain per batch (TGB) | 6895.24 | 89.44 | 8685.79 | 416.47 | 0.0026 |
| ADG g/rabbit | 37.28 | 0.76 | 45.11 | 1.35 | 0.0010 |
| Average daily intake (ADI) | 113.49 | 4.04 | 130.37 | 2.04 | 0.0045 |
| Conversion rate | 3.04 | 0.05 | 2.89 | 0.08 | 0.1040 |
| Rabbits sacrificed | 5009.50 | 60.42 | 5199.75 | 81.22 | 0.0816 |
| Meat weight sacrificed (kg/rabbit) | 1.37 | 0.03 | 1.48 | 0.03 | 0.0174 |
| Total sacrificed meat weight | 6875.81 | 144.02 | 7714.40 | 158.58 | 0.0037 |
| % Sacrifice yield | 56.64 | 0.81 | 56.91 | 0.48 | 0.8255 |
| Parameter | Control | Allium Extract | ||
|---|---|---|---|---|
| Mean | SD | Mean | SD | |
| Total Protein (g/L) | 61.40 | 6.26 | 58.40 | 4.30 |
| Urea (mmol/L) | 8.21 | 2.72 | 4.68 ** | 0.84 |
| Creatinine (µmol/L) | 78.00 | 27.05 | 90.70 | 16.28 |
| Glucose (mmol/L) | 6.99 | 0.85 | 6.88 | 0.44 |
| Cholesterol (mmol/L) | 2.88 | 0.62 | 1.25 ** | 0.23 |
| Triglycerides (mmol/L) | 2.72 | 1.23 | 0.66 *** | 0.18 |
| Total Billirubin (µmol/L) | <2.50 | <2.50 | <2.50 | <2.50 |
| Direct Bilirubin (µmol/L) | <1.50 | <1.50 | <1.50 | <1.50 |
| Indirect Bilirubin (µmol/L) | - | - | - | - |
| AST (U/L) | 54.20 | 38.55 | 68.20 | 24.22 |
| ALT (U/L) | 51.00 | 20.06 | 61.60 | 13.65 |
| ALP (U/L) | 137.80 | 65.06 | 131.10 | 26.80 |
| GGT (U/L) | 7.30 | 2.91 | 6.70 * | 1.42 |
| Creatine Kinase (U/L) | 424.88 | 349.16 | 379.90 | 169.58 |
| Lactate dehydrogenase (U/L) | 234.70 | 110.49 | 262.20 | 68.35 |
| Ca (mmol/L) | 3.06 | 0.17 | 3.59 | 0.15 |
| P (mmol/L) | 2.84 | 0.69 | 2.14 *** | 0.14 |
| Mg (mmol/L) | 1.25 | 0.25 | 1.17 | 0.08 |
| Na (mmol/L) | 141.90 | 2.69 | 143.90 | 1.66 |
| K (mmol/L) | 5.97 | 1.00 | 6.09 * | 0.44 |
| Cl (mmol/L) | 100.30 | 3.89 | 103.00 | 2.91 |
| Fe (µg/dL) | 125.70 | 49.77 | 148.90 | 40.66 |
| Compound | Linearity Range (ppb) | R2 | Recovery (%) | LOD (ppb) | LOQ (ppb) |
|---|---|---|---|---|---|
| PTSO | 50–1000 | 0.9991 | 106.83 ± 9.22 | 0.044 | 0.146 |
| PTS | 50–1000 | 0.9738 | 88.88 ± 9.57 | 0.246 | 0.821 |
| GSSP | 50–1000 | 0.9913 | 110.82 ± 16.52 | 2.782 | 9.272 |
| CSSP | 50–1000 | 0.9904 | 99.29 ± 9.85 | 2.175 | 7.251 |
| Metabolite ID | Formula | Parent Compound | Transformations | Composition Change | Δ Mass [ppm] | Calc. MW | RT [Min] |
|---|---|---|---|---|---|---|---|
| R1 | C6 H14 O S2 | PTSO | Dehydration, Reduction | −(O) | −1.13 | 166.04842 | 4.989 |
| R2 | C6 H10 O2 S2 | PTSO | Desaturation, Desaturation | −(H4) | −0.41 | 178.01215 | 3.518 |
| R3 | C6 H10 O2 S2 | PTSO | Desaturation, Desaturation | −(H4) | −0.24 | 178.01218 | 3.464 |
| R4 | C11 H26 N2 O S2 | PTSO | Nitro Reduction, Ornitine Conjugation | −(O) + (C5 H12 N2) | 1.61 | 266.14908 | 5.124 |
| R5 | C8 H21 N O S2 | PTSO | Nitro Reduction, Reduction, Glycine Conjugation | −(O) + (C2 H7 N) | −1.41 | 211.10616 | 4.983 |
| R6 | C11 H24 N2 O S2 | PTSO | Desaturation, Nitro Reduction, Ornitine Conjugation | −(O) + (C5 H10 N2) | 1.36 | 264.13336 | 5.446 |
| R7 | C11 H26 N2 O S2 | PTSO | Nitro Reduction, Ornitine Conjugation | −(O) + (C5 H12 N2) | 1.46 | 266.14904 | 5.346 |
| R8 | C11 H20 N2 O4 S2 | PTSO | Desaturation, Glutamine Conjugation | +(C5 H6 N2 O2) | 2.46 | 308.08721 | 0.782 |
| R9 | C6 H14 S | PTSO | Dehydration, Nitro Reduction, Thiourea to Urea | −(O2 S) | 2.75 | 118.08195 | 0.633 |
Disclaimer/Publisher’s Note: The statements, opinions and data contained in all publications are solely those of the individual author(s) and contributor(s) and not of MDPI and/or the editor(s). MDPI and/or the editor(s) disclaim responsibility for any injury to people or property resulting from any ideas, methods, instructions or products referred to in the content. |
© 2024 by the authors. Licensee MDPI, Basel, Switzerland. This article is an open access article distributed under the terms and conditions of the Creative Commons Attribution (CC BY) license (https://creativecommons.org/licenses/by/4.0/).
Share and Cite
Cascajosa-Lira, A.; Pichardo, S.; Baños, A.; Aguinaga-Casañas, M.A.; Ricci, A.; Frabetti, A.; Barausse, A.; Jos, A.; Cameán, A.M. Effects of a Diet of Allium Extract on Growth, Biochemistry, Metabolism, and Gut Microbiota of Rabbits (Oryctolagus cuniculus). Foods 2024, 13, 3976. https://doi.org/10.3390/foods13233976
Cascajosa-Lira A, Pichardo S, Baños A, Aguinaga-Casañas MA, Ricci A, Frabetti A, Barausse A, Jos A, Cameán AM. Effects of a Diet of Allium Extract on Growth, Biochemistry, Metabolism, and Gut Microbiota of Rabbits (Oryctolagus cuniculus). Foods. 2024; 13(23):3976. https://doi.org/10.3390/foods13233976
Chicago/Turabian StyleCascajosa-Lira, Antonio, Silvia Pichardo, Alberto Baños, María Arántzazu Aguinaga-Casañas, Andrea Ricci, Andrea Frabetti, Andrea Barausse, Angeles Jos, and Ana M. Cameán. 2024. "Effects of a Diet of Allium Extract on Growth, Biochemistry, Metabolism, and Gut Microbiota of Rabbits (Oryctolagus cuniculus)" Foods 13, no. 23: 3976. https://doi.org/10.3390/foods13233976
APA StyleCascajosa-Lira, A., Pichardo, S., Baños, A., Aguinaga-Casañas, M. A., Ricci, A., Frabetti, A., Barausse, A., Jos, A., & Cameán, A. M. (2024). Effects of a Diet of Allium Extract on Growth, Biochemistry, Metabolism, and Gut Microbiota of Rabbits (Oryctolagus cuniculus). Foods, 13(23), 3976. https://doi.org/10.3390/foods13233976

