Study on the Extraction Technology and Antioxidant Capacity of Rhodymenia intricata Polysaccharides
Abstract
1. Introduction
2. Materials and Methods
2.1. Materials and Reagents
2.2. Optimization of the Polysaccharide Extraction Process
2.2.1. Preparation of Crude Polysaccharides
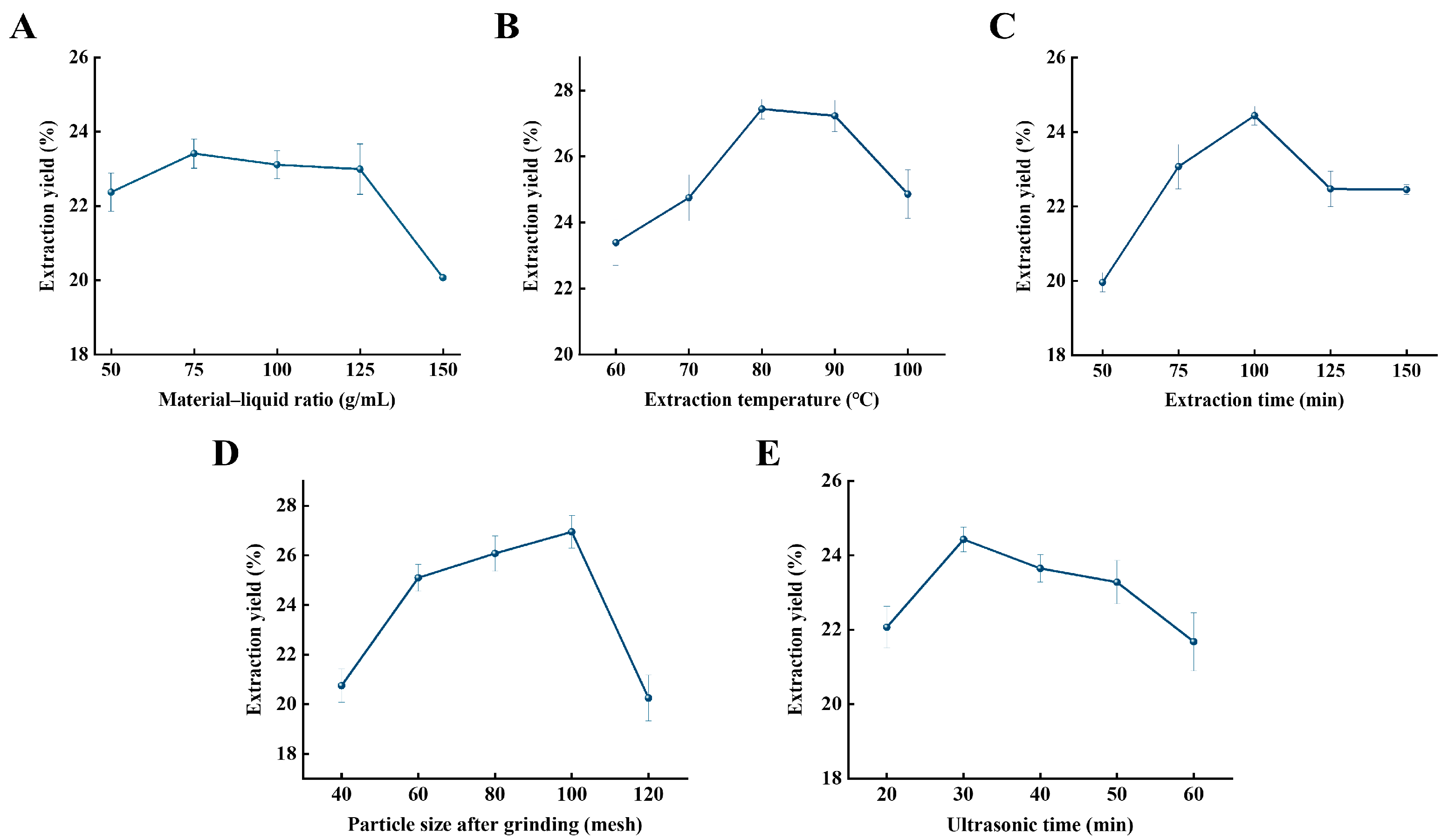
2.2.2. Single-Factor Experiment
2.2.3. The Steepest Climbing Experiment
2.2.4. Design of the Response Surface Methodology
2.3. Purification of Polysaccharides from Rhodymenia intricata
2.4. Determination of Physicochemical Properties
2.5. Structural Analysis
2.5.1. Fourier Transform Infrared Spectroscopy (FT-IR) Analysis
2.5.2. Congo Red Test
2.5.3. Analysis of the Antioxidant Property
3. Results
3.1. Improvement of the Extraction Technology of Polysaccharide
3.1.1. Single-Factor Analysis
3.1.2. The Steepest Ascent Experiment for Polysaccharide Extraction Yield
3.1.3. Optimization of Extraction Conditions
3.2. Analysis of Purification Results of Polysaccharides from Rhodymenia intricata
3.3. Analysis of Physicochemical Properties of Polysaccharides from Rhodymenia intricata
3.4. FT-IR Spectral Analysis
3.5. Analysis of Congo Red Test Results
3.6. Analysis of Antioxidant Results
4. Conclusions
Author Contributions
Funding
Institutional Review Board Statement
Informed Consent Statement
Data Availability Statement
Conflicts of Interest
References
- Wang, X.; He, L.; Ma, Y.; Huan, L.; Wang, Y.; Xia, B.; Wang, G. Economically Important Red Algae Resources along the Chinese Coast: History, Status, and Prospects for Their Utilization. Algal Res. 2020, 46, 101817. [Google Scholar] [CrossRef]
- Khan, B.; Qiu, H.; Xu, S.; Liu, Y.; Cheong, K. Physicochemical Characterization and Antioxidant Activity of Sulphated Polysaccharides Derived from Porphyra haitanensis. Int. J. Biol. Macromol. 2020, 145, 1155–1161. [Google Scholar] [CrossRef]
- Das, D.; Arulkumar, A.; Paramasivam, S.; Lopez-Santamarina, A.; Mondragon, A.d.C.; Lopez, J.M.M. Phytochemical Constituents, Antimicrobial Properties and Bioactivity of Marine Red Seaweed (Kappaphycus alvarezii) and Seagrass (Cymodocea serrulata). Foods 2023, 12, 2811. [Google Scholar] [CrossRef] [PubMed]
- Wu, Y.-J.; Huang, T.-Y.; Huang, C.-Y.; Lin, C.-C.; Wang, W.-L.; Huang, H.-C.; Liu, S.-Y.V.; Chao, C.-H.; Sheu, J.-H. Anti-Inflammatory Halogenated Monoterpenes from the Red Alga Portieria hornemannii. Mar. Drugs 2023, 21, 493. [Google Scholar] [CrossRef]
- Khotimchenko, M.; Tiasto, V.; Kalitnik, A.; Begun, M.; Khotimchenko, R.; Leonteva, E.; Bryukhovetskiy, I.; Khotimchenko, Y. Antitumor Potential of Carrageenans from Marine Red Algae. Carbohydr. Polym. 2020, 246, 116568. [Google Scholar] [CrossRef]
- Cui, M.; Zhou, R.; Wang, Y.; Zhang, M.; Liu, K.; Ma, C. Beneficial Effects of Sulfated Polysaccharides from the Red Seaweed Gelidium pacificum Okamura on Mice with Antibiotic-Associated Diarrhea. Food Funct. 2020, 11, 4625–4637. [Google Scholar] [CrossRef]
- Huang, L.; Shen, M.; Morris, G.A.; Xie, J. Sulfated Polysaccharides: Immunomodulation and Signaling Mechanisms. Trends Food Sci. Technol. 2019, 92, 1–11. [Google Scholar] [CrossRef]
- Zeng, A.; Yang, R.; Yu, S.; Zhao, W. A Novel Hypoglycemic Agent: Polysaccharides from Laver (Porphyra spp.). Food Function 2020, 11, 9048–9056. [Google Scholar] [CrossRef]
- Qiu, S.; Aweya, J.; Liu, X.; Liu, Y.; Tang, S.; Cheong, K. Bioactive Polysaccharides from Red Seaweed as Potent Food Supplements: A Systematic Review of Their Extraction, Purification, and Biological Activities. Carbohydr. Polym. 2022, 275, 118696. [Google Scholar] [CrossRef]
- Sudharsan, S.; Giji, S.; Seedevi, P.; Vairamani, S.; Shanmugam, A. Isolation, Characterization and Bioactive Potential of Sulfated Galactans from Spyridia hypnoides (Bory) Papenfuss. Int. J. Biol. Macromol. 2018, 109, 589–597. [Google Scholar] [CrossRef]
- Øverland, M.; Mydland, L.T.; Skrede, A. Marine Macroalgae as Sources of Protein and Bioactive Compounds in Feed for Monogastric Animals. J. Sci. Food Agric. 2019, 99, 13–24. [Google Scholar] [CrossRef] [PubMed]
- Nai, J.; Zhang, C.; Shao, H.; Li, B.; Li, H.; Gao, L.; Dai, M.; Zhu, L.; Sheng, H. Extraction, Structure, Pharmacological Activities and Drug Carrier Applications of Angelica Sinensis Polysaccharide. Int. J. Biol. Macromol. 2021, 183, 2337–2353. [Google Scholar] [CrossRef]
- Liu, J.; Zhang, Z.; Deng, Y.; Chen, G. Effect of Extraction Method on the Structure and Bioactivity of Polysaccharides from Activated Sludge. Water Res. 2024, 253, 121196. [Google Scholar] [CrossRef] [PubMed]
- Li, J.; Chen, Z.; Shi, H.; Yu, J.; Huang, G.; Huang, H. Ultrasound-Assisted Extraction and Properties of Polysaccharide from Ginkgo biloba Leaves. Ultrason. Sonochem. 2023, 93, 106295. [Google Scholar] [CrossRef]
- Naghdi, S.; Rezaei, M.; Tabarsa, M.; Abdollahi, M. Ultrasonic-Assisted Enzymatic Extraction of Sulfated Polysaccharide from Skipjack Tuna by-Products. Ultrason. Sonochem. 2023, 95, 106385. [Google Scholar] [CrossRef] [PubMed]
- Wang, M.; Zhu, Z.; Wu, X.; Cheong, K.; Li, X.; Yu, W.; Yao, Y.; Wu, J.; Cao, Z. Bioactive Polysaccharides from Gracilaria lemaneiformis: Preparation, Structures, and Therapeutic Insights. Foods 2024, 13, 2782. [Google Scholar] [CrossRef] [PubMed]
- Yue, F.; Zhang, J.; Xu, J.; Niu, T.; Lü, X.; Liu, M. Effects of Monosaccharide Composition on Quantitative Analysis of Total Sugar Content by Phenol-Sulfuric Acid Method. Front. Nutr. 2022, 9, 963318. [Google Scholar] [CrossRef] [PubMed]
- Bradford, M.M. A Rapid and Sensitive Method for the Quantitation of Microgram Quantities of Protein Utilizing the Principle of Protein-Dye Binding. Anal. Biochem. 1976, 72, 248–254. [Google Scholar] [CrossRef]
- Terho, T.T.; Hartiala, K. Method for Determination of the Sulfate Content of Glycosaminoglycans. Anal. Biochem. 1971, 41, 471–476. [Google Scholar] [CrossRef]
- Singleton, V.L.; Orthofer, R.; Lamuela-Raventós, R.M. Analysis of Total Phenols and Other Oxidation Substrates and Antioxidants by Means of Folin-Ciocalteu Reagent. Method. Enzymol. 1999, 299, 152–178. [Google Scholar] [CrossRef]
- Nie, C.; Zhu, P.; Ma, S.; Wang, M.; Hu, Y. Purification, Characterization and Immunomodulatory Activity of Polysaccharides from Stem Lettuce. Carbohydr. Polym. 2018, 188, 236–242. [Google Scholar] [CrossRef] [PubMed]
- Zheng, Q.; Ren, D.; Yang, N.; Yang, X. Optimization for Ultrasound-Assisted Extraction of Polysaccharides with Chemical Composition and Antioxidant Activity from the Artemisia sphaerocephala Krasch Seeds. Int. J. Biol. Macromol. 2016, 91, 856–866. [Google Scholar] [CrossRef] [PubMed]
- Hou, R.; Liu, X.; Xiang, K.; Chen, L.; Wu, X.; Lin, W.; Zheng, M.; Fu, J. Characterization of the Physicochemical Properties and Extraction Optimization of Natural Melanin from Inonotus hispidus Mushroom. Food Chem. 2019, 277, 533–542. [Google Scholar] [CrossRef]
- Hu, H.; Zhao, Q.; Pang, Z.; Xie, J.; Lin, L.; Yao, Q. Optimization Extraction, Characterization and Anticancer Activities of Polysaccharides from Mango pomace. Int. J. Biol. Macromol. 2018, 117, 1314–1325. [Google Scholar] [CrossRef]
- Wang, Y.; Xiong, X.; Huang, G. Ultrasound-Assisted Extraction and Analysis of Maidenhairtree Polysaccharides. Ultrason. Sonochem. 2023, 95, 106395. [Google Scholar] [CrossRef]
- Tan, J.; Cui, P.; Ge, S.; Cai, X.; Li, Q.; Xue, H. Ultrasound Assisted Aqueous Two-Phase Extraction of Polysaccharides from Cornus officinalis Fruit: Modeling, Optimization, Purification, and Characterization. Ultrason. Sonochem. 2022, 84, 105966. [Google Scholar] [CrossRef]
- Fang, C.; Chen, G.; Kan, J. Comparison on Characterization and Biological Activities of Mentha Haplocalyx Polysaccharides at Different Solvent Extractions. Int. J. Biol. Macromol. 2020, 154, 916–928. [Google Scholar] [CrossRef]
- Mudliyar, D.S.; Wallenius, J.H.; Bedade, D.K.; Singhal, R.S.; Madi, N.; Shamekh, S.S. Ultrasound Assisted Extraction of the Polysaccharide from Tuber aestivum and Its in Vitro Anti-Hyperglycemic Activity. Bioact. Carbohydr. Diet. Fibre 2019, 20, 100198. [Google Scholar] [CrossRef]
- Qu, H.; Yang, W.; Li, J. Structural Characterization of a Polysaccharide from the Flower Buds of Tussilago farfara, and Its Effect on Proliferation and Apoptosis of A549 Human Non-Small Lung Cancer Cell Line. Int. J. Biol. Macromol. 2018, 113, 849–858. [Google Scholar] [CrossRef]
- Hong, T.; Yin, J.; Nie, S.; Xie, M. Applications of Infrared Spectroscopy in Polysaccharide Structural Analysis: Progress, Challenge and Perspective. Food Chem. X 2021, 12, 100168. [Google Scholar] [CrossRef]
- Guo, X.; Kang, J.; Xu, Z.; Guo, Q.; Zhang, L.; Ning, H.; Cui, S.W. Triple-Helix Polysaccharides: Formation Mechanisms and Analytical Methods. Carbohydr. Polym. 2021, 262, 117962. [Google Scholar] [CrossRef] [PubMed]
- Deng, C.; Fu, H.; Teng, L.; Hu, Z.; Xu, X.; Chen, J.; Ren, T. Anti-Tumor Activity of the Regenerated Triple-Helical Polysaccharide from Dictyophora indusiata. Int. J. Biol. Macromol. 2013, 61, 453–458. [Google Scholar] [CrossRef] [PubMed]
- Zheng, M.; Ma, M.; Yang, Y.; Liu, Z.; Liu, S.; Hong, T.; Ni, H.; Jiang, Z. Structural Characterization and Antioxidant Activity of Polysaccharides Extracted from Porphyra haitanensis by Different Methods. Int. J. Biol. Macromol. 2023, 242, 125003. [Google Scholar] [CrossRef] [PubMed]
- Dong, M.; Jiang, Y.; Wang, C.; Yang, Q.; Jiang, X.; Zhu, C. Determination of the Extraction, Physicochemical Characterization, and Digestibility of Sulfated Polysaccharides in Seaweed—Porphyra haitanensis. Mar Drugs. 2020, 18, 539. [Google Scholar] [CrossRef]





| Serial Number | A (g/mL) | B (°C) | C (min) | D (mesh) | E (min) | Extraction Yield (%) |
|---|---|---|---|---|---|---|
| 1 | 1:50 | 70 | 75 | 80 | 20 | 23.56 |
| 2 | 1:75 | 80 | 100 | 100 | 30 | 33.48 |
| 3 | 1:100 | 90 | 125 | 120 | 40 | 21.26 |
| Factors | Unit | Symbols | Level of Factors | ||
|---|---|---|---|---|---|
| −1 | 0 | 1 | |||
| Material-liquid ratio | g/mL | A | 1:50 | 1:75 | 1:100 |
| Extraction temperature | °C | B | 70 | 80 | 90 |
| Extraction time | min | C | 75 | 100 | 125 |
| Particle size after grinding | mesh | D | 80 | 100 | 120 |
| Ultrasonic time | min | E | 20 | 30 | 40 |
| Std. Order | A | B | C | D | E | Extraction Yield (%) |
|---|---|---|---|---|---|---|
| 1 | 1:75 | 80 | 100 | 100 | 30 | 37.35 |
| 2 | 1:75 | 90 | 100 | 100 | 20 | 31.06 |
| 3 | 1:75 | 70 | 100 | 120 | 30 | 31.46 |
| 4 | 1:75 | 80 | 125 | 80 | 30 | 24.21 |
| 5 | 1:50 | 80 | 100 | 80 | 30 | 24.36 |
| 6 | 1:75 | 70 | 125 | 100 | 30 | 28.96 |
| 7 | 1:75 | 80 | 100 | 80 | 40 | 24.27 |
| 8 | 1:50 | 70 | 100 | 100 | 30 | 29.62 |
| 9 | 1:75 | 90 | 100 | 120 | 30 | 28.16 |
| 10 | 1:75 | 80 | 125 | 100 | 40 | 22.49 |
| 11 | 1:75 | 90 | 75 | 100 | 30 | 31.68 |
| 12 | 1:50 | 80 | 125 | 100 | 30 | 24.55 |
| 13 | 1:75 | 80 | 75 | 100 | 20 | 26.13 |
| 14 | 1:75 | 80 | 100 | 120 | 40 | 29.38 |
| 15 | 1:100 | 80 | 125 | 100 | 30 | 26.06 |
| 16 | 1:75 | 80 | 125 | 100 | 20 | 31.56 |
| 17 | 1:100 | 80 | 100 | 100 | 20 | 32.41 |
| 18 | 1:75 | 90 | 100 | 100 | 40 | 33.41 |
| 19 | 1:100 | 80 | 100 | 120 | 30 | 31.48 |
| 20 | 1:75 | 80 | 125 | 120 | 30 | 28.68 |
| 21 | 1:50 | 80 | 100 | 100 | 20 | 30.73 |
| 22 | 1:75 | 80 | 100 | 120 | 20 | 32.96 |
| 23 | 1:50 | 80 | 100 | 100 | 40 | 25.52 |
| 24 | 1:75 | 90 | 125 | 100 | 30 | 25.6 |
| 25 | 1:75 | 70 | 100 | 100 | 20 | 29.68 |
| 26 | 1:75 | 70 | 100 | 100 | 40 | 27.23 |
| 27 | 1:75 | 70 | 75 | 100 | 30 | 26.35 |
| 28 | 1:75 | 80 | 100 | 100 | 30 | 36.17 |
| 29 | 1:75 | 90 | 100 | 80 | 30 | 24.72 |
| 30 | 1:75 | 80 | 75 | 80 | 30 | 24.81 |
| 31 | 1:75 | 80 | 100 | 80 | 20 | 28.85 |
| 32 | 1:100 | 80 | 100 | 80 | 30 | 26.99 |
| 33 | 1:100 | 70 | 100 | 100 | 30 | 32.68 |
| 34 | 1:75 | 80 | 100 | 100 | 30 | 36.47 |
| 35 | 1:50 | 80 | 75 | 100 | 30 | 24.95 |
| 36 | 1:100 | 80 | 100 | 100 | 40 | 31.81 |
| 37 | 1:75 | 80 | 100 | 100 | 30 | 37.97 |
| 38 | 1:75 | 80 | 75 | 120 | 30 | 27.3 |
| 39 | 1:75 | 80 | 100 | 100 | 30 | 38.99 |
| 40 | 1:100 | 80 | 75 | 100 | 30 | 36.38 |
| 41 | 1:50 | 80 | 100 | 120 | 30 | 20.71 |
| 42 | 1:75 | 80 | 75 | 100 | 40 | 32.25 |
| 43 | 1:50 | 90 | 100 | 100 | 30 | 29.91 |
| 44 | 1:100 | 90 | 100 | 100 | 30 | 28.75 |
| 45 | 1:75 | 70 | 100 | 80 | 30 | 27.28 |
| 46 | 1:75 | 80 | 100 | 100 | 30 | 36.54 |
| Variables | Sum of Squares | Degrees of Freedom | Mean Square | F-Value | p-Value | Significance |
|---|---|---|---|---|---|---|
| Model | 776.88 | 20 | 38.84 | 9.39 | <0.0001 | ** |
| A-A | 81.95 | 1 | 81.95 | 19.81 | 0.0002 | ** |
| B-B | 0.0001 | 1 | 0.0001 | 0 | 0.9971 | |
| C-C | 19.67 | 1 | 19.67 | 4.75 | 0.0389 | * |
| D-D | 37.95 | 1 | 37.95 | 9.17 | 0.0056 | ** |
| E-E | 18.11 | 1 | 18.11 | 4.38 | 0.0468 | * |
| AB | 4.45 | 1 | 4.45 | 1.08 | 0.3095 | |
| AC | 24.6 | 1 | 24.6 | 5.95 | 0.0222 | * |
| AD | 16.56 | 1 | 16.56 | 4 | 0.0564 | |
| AE | 5.31 | 1 | 5.31 | 1.28 | 0.2679 | |
| BC | 18.88 | 1 | 18.88 | 4.56 | 0.0427 | * |
| BD | 0.1369 | 1 | 0.1369 | 0.0331 | 0.8571 | |
| BE | 5.76 | 1 | 5.76 | 1.39 | 0.2492 | |
| CD | 0.9801 | 1 | 0.9801 | 0.2369 | 0.6307 | |
| CE | 57.68 | 1 | 57.68 | 13.94 | 0.0010 | ** |
| DE | 0.25 | 1 | 0.25 | 0.0604 | 0.8078 | |
| A2 | 154.12 | 1 | 154.12 | 37.25 | <0.0001 | ** |
| B2 | 100.83 | 1 | 100.83 | 24.37 | <0.0001 | ** |
| C2 | 259.04 | 1 | 259.04 | 62.61 | <0.0001 | ** |
| D2 | 311.72 | 1 | 311.72 | 75.34 | <0.0001 | ** |
| E2 | 85.67 | 1 | 85.67 | 20.71 | 0.0001 | ** |
| Residual | 103.44 | 25 | 4.14 | |||
| Lack of Fit | 97.61 | 20 | 4.88 | 4.18 | 0.0596 | |
| Pure Error | 5.83 | 5 | 1.17 | |||
| Cor Total | 880.32 | 45 | ||||
| R2 | 0.8825 | |||||
| Adjusted R2 | 0.7885 |
| Percentage of TCA | Protein Removal Rate | Polysaccharide | Comprehensive Score |
|---|---|---|---|
| 4% | 38.95 ± 2.91 | 96.09 ± 1.18 | 67.52 |
| 6% | 55.85 ± 0.73 | 92.94 ± 0.80 | 74.40 |
| 8% | 62.61 ± 1.82 | 96.10 ± 1.60 | 79.36 |
| 10% | 40.24 ± 7.97 | 93.77 ± 0.70 | 67.01 |
| 12% | 44.74 ± 2.43 | 94.55 ± 1.07 | 69.30 |
| Sample | Total Sugars (%) | Proteins (%) | Sulfate Groups (%) | Polyphenols (%) |
|---|---|---|---|---|
| RIP-1 | 25.22 ± 0.28 | 23.29 ± 0.71 | 19.75 ± 1.17 | 0.29 ± 0.01 |
| RIP-2 | 27.37 ± 0.54 | 10.01 ± 0.50 | 20.51 ± 3.85 | 0.29 ± 0.04 |
Disclaimer/Publisher’s Note: The statements, opinions and data contained in all publications are solely those of the individual author(s) and contributor(s) and not of MDPI and/or the editor(s). MDPI and/or the editor(s) disclaim responsibility for any injury to people or property resulting from any ideas, methods, instructions or products referred to in the content. |
© 2024 by the authors. Licensee MDPI, Basel, Switzerland. This article is an open access article distributed under the terms and conditions of the Creative Commons Attribution (CC BY) license (https://creativecommons.org/licenses/by/4.0/).
Share and Cite
Dong, S.; Wu, Y.; Luo, Y.; Lv, W.; Chen, S.; Wang, N.; Meng, M.; Liao, K.; Yang, Y. Study on the Extraction Technology and Antioxidant Capacity of Rhodymenia intricata Polysaccharides. Foods 2024, 13, 3964. https://doi.org/10.3390/foods13233964
Dong S, Wu Y, Luo Y, Lv W, Chen S, Wang N, Meng M, Liao K, Yang Y. Study on the Extraction Technology and Antioxidant Capacity of Rhodymenia intricata Polysaccharides. Foods. 2024; 13(23):3964. https://doi.org/10.3390/foods13233964
Chicago/Turabian StyleDong, Shiyi, Yu Wu, Yutong Luo, Wanxia Lv, Shuyi Chen, Nannan Wang, Meihan Meng, Ke Liao, and Yichao Yang. 2024. "Study on the Extraction Technology and Antioxidant Capacity of Rhodymenia intricata Polysaccharides" Foods 13, no. 23: 3964. https://doi.org/10.3390/foods13233964
APA StyleDong, S., Wu, Y., Luo, Y., Lv, W., Chen, S., Wang, N., Meng, M., Liao, K., & Yang, Y. (2024). Study on the Extraction Technology and Antioxidant Capacity of Rhodymenia intricata Polysaccharides. Foods, 13(23), 3964. https://doi.org/10.3390/foods13233964

