Technological Improvement of Brined Black Table Olives Processed Using Two-Phase and Single-Phase Methods Under Slight CO2 Pressure and Low Salt Content
Abstract
1. Introduction
2. Materials and Methods
2.1. Laboratory Tests on Brine Acidification
2.1.1. Survival of Bacteria in Acidified Brine
2.1.2. NaCl Determination in Acidified Brines
2.2. Processing Tests with the Two- and Single-Phase Method Under spCO2
2.2.1. Traditional Two-Phase Processing Test with spCO2 and Different NaCl Contents
2.2.2. Single-Phase Processing Trials with spCO2 and Different NaCl Contents
2.3. Microbiological Analysis and Yeast Dominance
2.4. Physicochemical Parameters
2.5. Packaging and Pasteurization Tests
2.6. Sensory Analysis
2.7. Statistical Analysis
3. Results and Discussion
3.1. Tests with Acidified Brine
3.2. Long-Term Processing Tests Under spCO2 Conditions
3.2.1. Changes at the Onset of Incubation
3.2.2. Dynamics of Microbial Counts in Brine During Incubation
3.2.3. Yeast Biota
3.2.4. Technological Traits
3.2.5. Packaging and Pasteurization
3.3. Sensory Quality
4. Conclusions
Author Contributions
Funding
Institutional Review Board Statement
Informed Consent Statement
Data Availability Statement
Conflicts of Interest
References
- Garrido Fernández, A.; Fernández Diaz, M.J.; Adams, M.R. Table Olives: Production and Processing, 1st ed.; Chapman and Hall: London, UK, 1997. [Google Scholar]
- Johnson, R.L.; Mitchell, A.E. Reducing Phenolics Related to Bitterness Table Olives. J. Food Qual. 2018, 2018, 3193185. [Google Scholar] [CrossRef]
- International Olive Council (IOC). Trade Standard Applying to Table Olives; IOC: Madrid, Spain, 2004; Available online: https://www.internationaloliveoil.org/wp-content/upload/2019/11/COI-OT-NC1-2004-Eng.pdf (accessed on 11 April 2023).
- International Olive Council (IOC). Method for the Sensory Analysis of Table Olives; COI/OT/MO No. 1/Rev. 2 November 2011; International Olive Council: Madrid, Spain, 2011; Available online: http://www.internationaloliveoil.org/estaticos/view/70-metodos-de-evaluacion (accessed on 19 April 2023).
- WHO. Guideline: Sodium Intake for Adults and Children; World Health Organization, Department of Nutrition for Health and Development: Geneva, Switzerland, 2012; Available online: https://www.who.int/publications/i/item/9789241504836 (accessed on 17 March 2023).
- European Parliament and Council of the European Union. Regulation (EU) No 1169/2011 of the European Parliament and of the Council of 25 October 2011 on the Provision of Food Information to Consumers. Off. J. Eur. Union 2011, 304, 18–63. Available online: https://eur-lex.europa.eu/legal-content/EN/ALL/?uri=celex%3A32011R1169 (accessed on 25 May 2023).
- Chrysant, S.G. Effects of high salt intake on blood pressure and cardiovascular disease. The role of COX inhibitors. Clin. Cardiol. 2016, 39, 240–242. [Google Scholar] [CrossRef] [PubMed]
- Paltaki, A.; Mantzouridou, F.T.; Loizou, E.; Chatzitheodoridis, F.; Alvanoudi, P.; Choutas, S.; Michailidis, A. Consumers’ Attitudes towards Differentiated Agricultural Products: The case of Reduced-Salt Green Table Olives. Sustainability 2024, 16, 2392. [Google Scholar] [CrossRef]
- Bautista-Callego, J.; Arroyo-López, F.N.; Durán-Quintana, M.C.; Garrido-Fernández, A. Fermentation profiles of Manzanilla-Aloreña cracked green table olives in different choride salt mixtures. Food Microbiol. 2010, 27, 403–412. [Google Scholar] [CrossRef]
- Bautista-Callego, J.; Arroyo-López, F.N.; Romero-Gil, V.; Rodríguez-Gómez, F.; García-García, P.; Garrido-Fernández, A. Chloride salt mixture affect Gordal cv. Green Spanish-style table olive fermentation. Food Microbiol. 2011, 28, 1316–1325. [Google Scholar] [CrossRef]
- Zinno, P.; Guantario, B.; Perozzi, G.; Pastore, G.; Devirgiliis, C. Impact of NaCl reduction on lactic acid bacteria during fermentation of Nocellara del Belice table olives. Food Microbiol. 2017, 63, 239–247. [Google Scholar] [CrossRef]
- López-López, A.; Moreno-Baquero, J.M.; Garrido-Fernández, A. The desalting process for table olives and its effect on their physicochemical characteristics and nutrient mineral content. Foods 2023, 12, 2307. [Google Scholar] [CrossRef]
- Zullo, B.A.; Ciafardini, G. Use of Slightly Pressurized Carbon Dioxide to Enhance the Antimicrobial Properties of Brines in Naturally Processed Black Table Olives. Microorganisms 2022, 10, 2049. [Google Scholar] [CrossRef]
- Yu, T.; Niu, L.; Iwahashi, H. High-pressure carbon dioxide used for pasteurization in food industry. Food Eng. Rev. 2020, 12, 364–380. [Google Scholar] [CrossRef]
- Ciafardini, G.; Zullo, B.A. A New Natural Processing System Based on Slight Carbon Dioxide Pressure for Producing Black Table Olives with Low Salt Content. Foods 2023, 12, 3950. [Google Scholar] [CrossRef] [PubMed]
- Ciafardini, G.; Zullo, B.A. Use of air-protected headspace to prevent yeast film formation on the brine of Leccino and Taggiasca black table olives processed in industrial-scale plastic barrels. Foods 2020, 9, 941. [Google Scholar] [CrossRef] [PubMed]
- College of Science, University of Canterbury. Determination of Chloride Ion Concentration by Titration (Mohr’s Method); College of Science, University of Canterbury: Christchurch, New Zealand, 2023. [Google Scholar]
- Ghoddusi, H.B.; Sherburn, R.E.; Adoaba, O.O. Growth limiting pH, water activity, and temperature for neuroxigenic strains of Clostridium butyricum. ISRN Microbiol. 2013, 2013, 731430. [Google Scholar] [CrossRef] [PubMed]
- Zullo, B.A.; Ciafardini, G. Differential microbial composition of monovarietal and blended extra virgin olive oil determines oil quality during storage. Microorganisms 2020, 8, 402. [Google Scholar] [CrossRef]
- American Public Health Association. Standards Methods for the Examination of Water and Wastewater; 4-26/4-32; American Public Health Association: Washington, DC, USA, 1998. [Google Scholar]
- Commission Regulation (EC). Corrigendum to Regulation No. 852/2004 of the European Parliament and of the Council of 29 April 2004 on the hygiene of foodstuffs. Off. J. Eur. Union 2004, 139, 3–21. [Google Scholar]
- Tarantini, A.; Crupi, P.; Ramires, F.A.; D’Amico, L.; Romano, G.; Blando, F.; Branco, P.; Clodoveo, M.L.; Corbo, F.; Cardinali, A.; et al. Study of the effects of pasteurization and selected microbial starters on functional traits of fermented table olives. Food Microbiol. 2024, 122, 104537. [Google Scholar] [CrossRef]
- Jafarpour, D. The effect of heat treatment and thermo sonication on the microbial and quality properties of green olive. J. Food Meas. Char. 2022, 16, 2172–2180. [Google Scholar] [CrossRef]
- Botta, C.; Cocolin, L. Microbial dynamics and biodiversity in table olive fermentation: Culture-dependent and –independent approaches. Front. Microbiol. 2012, 3, 245. [Google Scholar] [CrossRef]
- Piga, A.; Agabbio, M. Quality improvement of naturally green table olives by controlling some processing parameters. Ital. J. Food Sci. 2003, 15, 259. [Google Scholar]
- Fleming, H.P. Vegetable fermentations. In Economic Microbiology; Academic Press, Inc.: London, UK, 1982; Volume 7. [Google Scholar]
- Pereira, E.L.; Ramalhosa, E.; Borges, A.; Pereira, J.A.; Baptista, P. Yeast dynamics during the natural fermentation process of table olives (Negrinha de Freixo cv.). Food Microbiol. 2015, 46, 582–586. [Google Scholar] [CrossRef]
- Arroyo-López, F.N.; Querol, A.; Bautista-Gallego, J.; Garrido-Fernández, A. Role of yeasts in table olive production. Int. J. Food Microbiol. 2008, 128, 189–196. [Google Scholar] [CrossRef] [PubMed]
- De Angelis, M.; Campanella, D.; Cosmai, L.; Summo, C.; Rizzello, C.G.; Caponio, F. Microbiota and metabolome of un-started and started Greek-type fermentation of Bella di Cerignola table olives. Food Microbiol. 2015, 52, 18–30. [Google Scholar] [CrossRef] [PubMed]
- Alfonzo, A.; Alongi, D.; Prestianni, R.; Pirrone, A.; Naselli, V.; Viola, E.; De Pasquale, C.; Gaglio, R.; Settanni, L.; Francesca, N.; et al. Enhancing the quality and safety of Nocellara del Belice green table olives produced using the Castelvetrano method. Food Microbiol. 2024, 120, 104477. [Google Scholar] [CrossRef] [PubMed]
- Ciafardini, G.; Venditti, G.; Zullo, B.A. Yeast dynamics in the black table olives processing using fermented brine as starter. Food Res. 2021, 5, 92–106. [Google Scholar] [CrossRef]
- Porru, C.; Rodríguez-Gómez, F.; Benítez-Cabello, A.; Jiménez-Díaz, R.; Zara, G.; Budroni, M.; Mannazzu, I.; Arroyo-López, F.N. Genotyping, identification and multifunctional features of yeasts associated to Bosana naturally black table olive fermentations. Food Microbiol. 2018, 69, 33–42. [Google Scholar] [CrossRef]
- Tufariello, M.; Anglana, C.; Crupi, P.; Virtuosi, I.; Fiume, P.; Di Terlizzi, B.; Moselhy, N.; Attay, H.A.; Pati, S.; Logrieco, A.F.; et al. Efficacy of yeast starters to drive and improve Picula, Manzanilla and Kalamata table olive fermentation. J. Sci. Food Agric. 2019, 99, 2504–2512. [Google Scholar] [CrossRef]
- Hernández, A.; Martín, A.; Aranda, E.; Pérez-Nevado, F.; Córdoba, M.G. Identification and characterization of yeast isolated from the elaboration of seasoned green table olives. Food Microbiol. 2007, 24, 346–351. [Google Scholar] [CrossRef]
), acidified with HCl (
), or not acidified (
).
), acidified with HCl (
), or not acidified (
).
) and after 15 days of fermentation of table olives with the two-phase (
) and single-phase (
) methods in the presence of spCO2. Histograms with different letters are significantly different at p ≤ 0.05.
) and after 15 days of fermentation of table olives with the two-phase (
) and single-phase (
) methods in the presence of spCO2. Histograms with different letters are significantly different at p ≤ 0.05.
). The mean number of molds detected after 24 h of fermentation with the two processing methods (
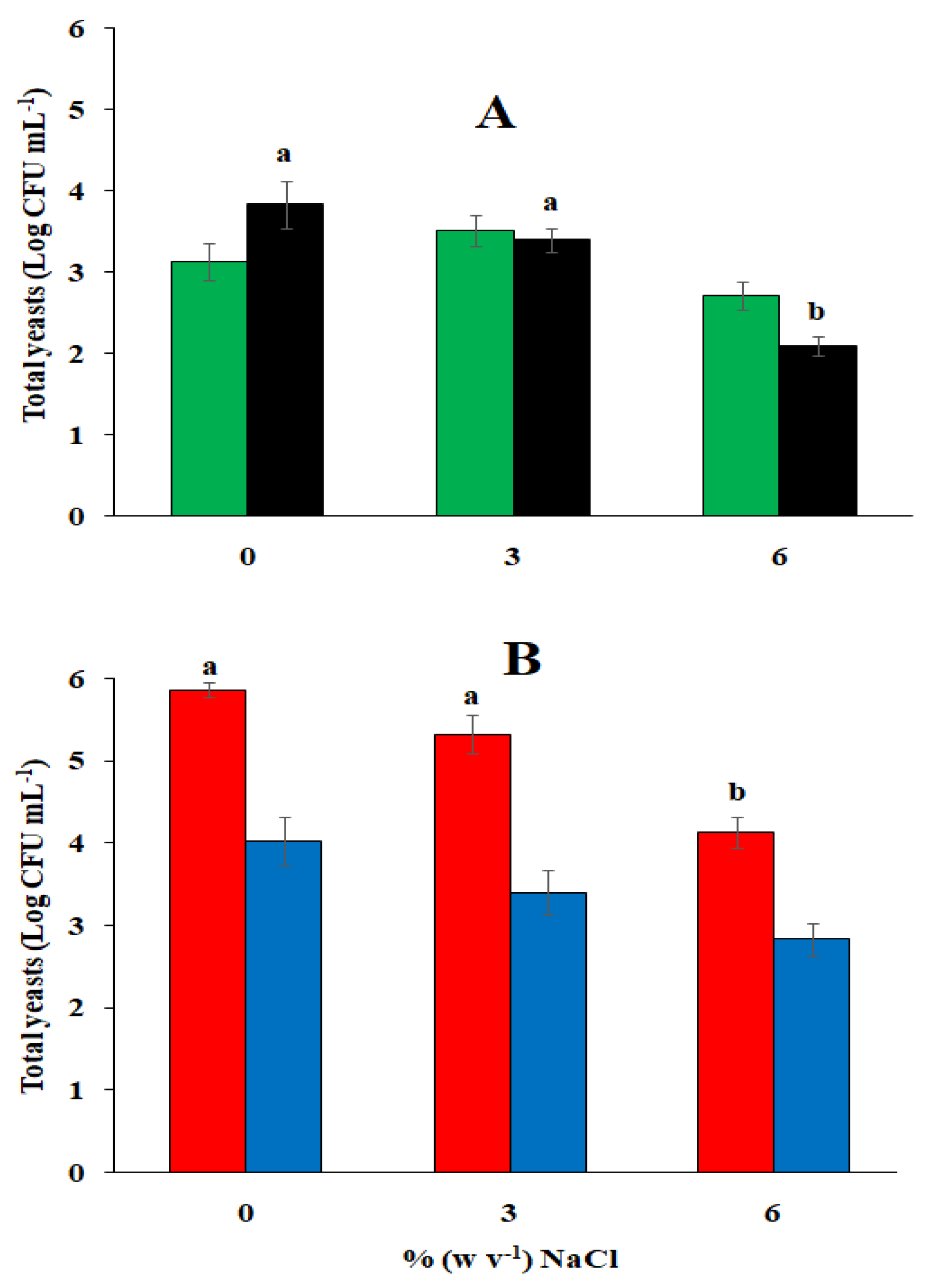
). The total number of yeasts detected in the brine after 15 days of fermentation of table olives with the two-phase method (
) and the single-phase method (
). Histograms with different letters are significantly different at p ≤ 0.05.
). The mean number of molds detected after 24 h of fermentation with the two processing methods (
). The total number of yeasts detected in the brine after 15 days of fermentation of table olives with the two-phase method (
) and the single-phase method (
). Histograms with different letters are significantly different at p ≤ 0.05.
), 0% NaCl; (
), 3% (w v−1) NaCl; (
), 6% (w v−1) NaCl.
), 0% NaCl; (
), 3% (w v−1) NaCl; (
), 6% (w v−1) NaCl.
); the mean (n = 3) temperature inside the glass jars (
).
); the mean (n = 3) temperature inside the glass jars (
).
| Brine Sample | Unmodified Sample Analysis | Bias (%) | Neutralized Sample Analysis | Bias (%) |
|---|---|---|---|---|
| 3% (w v−1) NaCl pH 6.5 | 3.0 ± 0.01 d | 0 | - | - |
| 3% (w v−1) NaCl acidified | 3.8 ± 0.3 c | 26.7 | 3.0 ± 0.0 | 0 |
| 6% (w v−1) NaCl pH 6.5 | 6.1 ± 0.1 b | 1.67 | - | - |
| 6% (w v−1) NaCl acidified | 6.5 ± 0.2 a | 8.3 | 6.2 ± 0.2 | 3.0 |
| Two-Phase Processing Method | Single-Phase Processing Method | |||||||||||
|---|---|---|---|---|---|---|---|---|---|---|---|---|
| 0% NaCl | 3% NaCl | 6% NaCl | 0% NaCl | 3% NaCl | 6% NaCl | |||||||
| Month | Total Yeasts (Log CFU mL−1) | Preeminent Yeast Species (%) | Total Yeasts (Log CFU mL−1) | Preeminent Yeast Species (%) | Total Yeasts (Log CFU mL−1) | Preeminent Yeast Specie (%) | Total Yeasts (Log CFU mL−1) | Preeminent Yeast Species (%) | Total Yeasts (Log CFU mL−1) | Preeminent Yeast Species (%) | Total Yeasts (Log CFU mL−1) | Preeminent Yeast Species (%) |
| C.b. (68) | Others (71) | |||||||||||
| 1 | 5.00 ± 0.10 a | C.b. (72) | 4.76 ± 0.86 a | C.b. (60) | 3.10 ± 0.97 b | P.m. (50) | 4.69 ± 0.50 a | Others (30) | 3.63 ± 0.81 b | Z.m. (26) | 0 | n.d. |
| Z.m. (28) | Z.m. (40) | Z.m. (50) | Z.m. (2) | N.m. (3) | ||||||||
| 2 | 5.04 ± 0.92 a | C.b. (62) Z.m. (38) | 5.22 ± 0.48 a | Z.m. (72) C.b. (28) | 2.64 ± 0.25 b | C.b. (100) | 3.57 ± 0.70 ab | S.c. (90) C.b. (10) | 3.32 ± 0.54 b | K.a. (52) S.c. (48) | 1.31 ± 0.11 c | n.d. |
| 3 | 5.81 ± 0.03 a | Z.m. (96) C.b. (4) | 5.77 ± 0.04 a | Z.m. (95) C.b. (5) | 2.01 ± 0.09 c | C.b. (100) | 3.97 ± 0.49 b | S.c. (70) C.b. (30) | 2.50 ± 0.21 c | S.c. (100) | 0 | n.d. |
| 4 | 6.03 ± 0.21 a | Z.m. (94) C.b. (6) | 5.59 ± 0.15 a | Z.m. (88) C.b. (12) | 3.04 ± 0.10 b | C.b. (100) | 4.19 ± 0.23 ab | S.c. (50) C.b. (50) | 1.23 ± 0.09 c | S.c. (100) | 0 | n.d. |
| 5 | 6.26 ± | Z.m. (92) | 5.40 ± | Z.m. (82) | 3.08 ± | C.b. (100) | 4.39 ± | C.b. (80) | 0 | n.d. | 0 | n.d. |
| 0.60 a | C.b. (8) | 0.28 a | C.b. (18) | 0.11 b | 0.15 ab | S.c. (20) | ||||||
| Two-Phase Processing Method | Single-Phase Processing Method | ||||||||||||
|---|---|---|---|---|---|---|---|---|---|---|---|---|---|
| 0% NaCl | 3% NaCl | 6% NaCl | 0% NaCl | 3% NaCl | 6% NaCl | ||||||||
| Months | Total Yeasts (Log CFU mL−1) | Preeminent Yeast Species (%) | Total Yeasts (Log CFU mL−1) | Preeminent Yeast Species (%) | Total yeasts (Log CFU mL−1) | Preeminent Yeast Species (%) | Total Yeasts (Log CFU mL−1) | Preeminent Yeast Species (%) | Total Yeasts (Log CFU mL−1) | Preeminent Yeast Species (%) | Total Yeasts (Log CFU mL−1) | Preeminent Yeast Species (%) | |
| 6 | Brine | 6.13 ± 0.38 a | Z.m. (87) C.b. (13) | 5.30 ± 0.41 a | Z.m. (40) P.m. (20) C.b. (25) N.m. (15) | 2.86 ± 0.11 b | C.b. (50) N.m. (50) | 4.41 ± 0.22 ab | C.b. (100) | 0 | n.d. | 0 | n.d. |
| Flesh | 5.13 ± 0.48 a | Z.m. (84) C.b. (14) C.d. (2) | 4.42 ± 0.41 b | Z.m. (64) C.b. (16) P.m. (12) N.m (8) | 2.38 ± 0.05 c | C.b. (50) N.m. (50) | 3.70 ± 1.20 bc | C.b. (100) | 0 | n.d. | 0 | n.d. | |
| 10 | Brine | 6.30 ± 0.05 a | C.b. (100) | 5.68 ± 0.14 a | C.b. (98) Z.m. (2) | 4.28 ± 0.07 b | C.b. (98) Others (2) | 4.10 ± 0.15 b | C.b. (100) | 3.68 ± 0.23 bc | S.c.(100) | 3.13 ± 0.20 c | S.c.(100) |
| Flesh | 4.51 ± 0.31 a | C.b. (100) | 4.34 ± 0.33 ab | C.b. (78) N.m. (20) Z.m. (2) | 4.48 ± 0.54 ab | C.b. (100) | 5.24 ± 0.10 a | C.b. (100) | 3.67 ± 0.26 b | S.c. (80) C.b. (20) | 3.74 ± 0.17 b | S.c. (100) | |
| Parameters | Two-Phase Processing Method | Single-Phase Processing Method | ||||||||||
|---|---|---|---|---|---|---|---|---|---|---|---|---|
| 0% NaCl | 3% NaCl | 6% NaCl | 0% NaCl | 3% NaCl | 6% NaCl | |||||||
| Brine | Flesh | Brine | Flesh | Brine | Flesh | Brine | Flesh | Brine | Flesh | Brine | Flesh | |
| pH | 4.60 ± 0.57 a | 4.63 ± 0.10 a | 4.56 ± 0.01 a | 4.82 ± 0.25 a | 4.20 ± 0.49 b | 4.37 ± 0.40 b | 4.65 ± 0.01 a | 5.12 ± 0.40 a | 4.55 ± 0.04 a | 4.61 ± 0.30 a | 4.30 ± 0.04 b | 4.42 ± 0.30 b |
| Titratable acidity (% citric acid) | 0.46 ± 0.11 | n.d. | 0.50 ± 0.04 | n.d. | 0.52 ± 0.02 | n.d. | 0.69 ± 0.01 | n.d. | 0.69 ± 0.04 | n.d. | 0.68 ± 0.01 | n.d. |
| NaCl (%, w v−1) | 0 | 0 | 1.82 ± 0.08 b | 1.64 ± 0.33 b | 3.12 ± 0.35 a | 2.39 ± 0.47 ab | 0 | 0 | 1.65 ± 0.13 b | 1.58 ± 0.04 b | 3.45 ± 0.08 a | 2.99 ± 0.03 ab |
| Density (g cm−3) | 1.020 c | n.d. | 1.030 b | n.d. | 1.040 a | n.d. | 1.020 c | n.d. | 1.030 b | n.d. | 1.040 a | n.d. |
| Free CO2 (g Kg−1) | 1.318 ± 0.04 c | n.d. | 1.098 ± 0.06 d | n.d. | 1.199 ± 0.03 c | n.d. | 1.837 ± 0.09 b | n.d. | 1.940 ± 0.07 b | n.d. | 2.996 ± 0.09 a | n.d. |
| Bitterness (K225) | n.d. | 2.247 ± 0.485 b | n.d. | 3.256 ± 0.077 ab | n.d. | 3.785 ± 0.221 a | n.d. | 3.253 ± 0.141 ab | n.d. | 4.029 ± 0.088 a | n.d. | 4.392 ± 0.412 a |
| Total polar phenols (mg CAE g−1) | 1.70 ± 0.0 c | 1.92 ± 0.42 c (12%) 1 | 2.53 ± 0.04 b | 3.07 ± 0.05 ab (17%) | 2.41 ± 0.03 b | 3.43 ± 0.07 a (30%) | 2.50 ± 0.12 b | 2.66 ± 0.01 b (6%) | 3.44 ± 0.35 a | 3.51 ± 0.16 a (2%) | 3.25 ± 0.11 ab | 3.77 ± 0.40 a (14%) |
| Parameters | Two-Phase Processing Method | Single-Phase Processing Method | ||||||||||
|---|---|---|---|---|---|---|---|---|---|---|---|---|
| 0% NaCl | 3% NaCl | 6% NaCl | 0% NaCl | 3% NaCl | 6% NaCl | |||||||
| Brine | Flesh | Brine | Flesh | Brine | Flesh | Brine | Flesh | Brine | Flesh | Brine | Flesh | |
| pH | 4.58 ± 0.04 a | 4.64 ± 0.09 a | 4.60 ± 0.01 a | 4.70 ± 0.11 a | 4.32 ± 0.02 b | 4.50 ± 0.01 ab | 4.86 ± 0.03 a | 5.10 ± 0.08 a | 4.55 ± 0.01 ab | 4.71 ± 0.11 a | 4.35 ± 0.02 b | 4.54 ± 0.12 ab |
| Titratable acidity (% citric acid) | 0.51 ± 0.01 | n.d. | 0.53 ± 0.02 | n.d. | 0.50 ± 0.01 | n.d. | 0.65 ± 0.03 | n.d. | 0.62 ± 0.02 | n.d. | 0.70 ± 0.01 | n.d. |
| NaCl (%, w v−1) | 0 | 0 | 1.70 ± 0.37 b | 1.60 ± 0.09 b | 3.00 ± 0.04 a | 3.11 ± 0.11 a | 0 | 0 | 1.50 ± 0.08 b | 1.60 ± 0.14 b | 3.32 ± 0.10 a | 3.21 ± 0.08 a |
| Density (g cm−3) | 1.020 c | n.d. | 1.030 b | n.d. | 1.040 a | n.d. | 1.020 c | n.d. | 1.030 b | n.d. | 1.040 a | n.d. |
| Free CO2 (g Kg−1) | 1.546 ± 0.02 c | n.d. | 1.297 ± 0.08 c | n.d. | 1.310 ± 0.07 c | n.d. | 1.890 ± 0.10 b | n.d. | 2.040 ± 0.09 b | n.d. | 2.706 ± 0.09 a | n.d. |
| Bitterness (K225) | n.d. | 1.989 ± 0.028 b [−11%] 1 | n.d. | 2.949 ± 0.006 a [−9.5%] | n.d. | 3.288 ± 0.017 a [−13%] | n.d. | 2.103 ± 0.017 b [−35%] | n.d. | 2.854 ± 0.015 a [−29%] | n.d. | 3.036 ± 0.005 a [−31%] |
| Total polar phenols (mg CAE g−1) | 1.94 ± 0.0 b [14%] | 1.94 ± 0.08 b (0%) 2 [1%] | 3.15 ± 0.10 a [25%] | 2.93 ± 0.28 ab (−7%) [−5%] | 3.19 ± 0.07 a [32%] | 3.18 ± 0.03 a (0.31%) [−7%] | 3.01 ± 0.11 b [20%] | 1.93 ± 0.01 b (−36%) [−27%] | 3.85 ± 0.14 a [12%] | 2.65 ± 0.11 ab (−31%) [−25%] | 3.58 ± 0.12 a [9%] | 2.74 ± 0.08 ab (−24%) [−27%] |
| Gustatory and Olfactory Attributes | Two-Phase Processing Method | Single-Phase Processing Method | ||||
|---|---|---|---|---|---|---|
| 0% NaCl 1 1 2 2 3 3 | 3% NaCl 1 2 3 | 6% NaCl 1 2 3 | 0% NaCl 1 2 3 | 3% NaCl 1 2 3 | 6% NaCl 1 2 3 | |
| Odor | 1 4 1 2 | 2 2 3 | 3 3 3 | 1 1 1 | 3 3 3 | 4 4 4 |
| Saltiness | 1 1 2 | 2 2 3 | 3 3 3 | 1 1 1 | 2 2 2 | 3 3 3 |
| Bitterness | 4 4 4 | 3 4 4 | 3 4 4 | 4 4 4 | 3 4 4 | 2 4 4 |
| Abnormal fermentation | 1 1 2 | 3 3 4 | 4 4 4 | 1 1 1 | 3 3 3 | 4 4 4 |
| Mustiness | 1 2 2 | 3 3 4 | 4 4 4 | 1 2 2 | 3 3 3 | 4 4 4 |
| Overall quality | 1 1 2 | 3 3 4 | 4 4 4 | 1 1 1 | 3 3 3 | 4 4 4 |
Disclaimer/Publisher’s Note: The statements, opinions and data contained in all publications are solely those of the individual author(s) and contributor(s) and not of MDPI and/or the editor(s). MDPI and/or the editor(s) disclaim responsibility for any injury to people or property resulting from any ideas, methods, instructions or products referred to in the content. |
© 2024 by the authors. Licensee MDPI, Basel, Switzerland. This article is an open access article distributed under the terms and conditions of the Creative Commons Attribution (CC BY) license (https://creativecommons.org/licenses/by/4.0/).
Share and Cite
Zullo, B.A.; Ciafardini, G. Technological Improvement of Brined Black Table Olives Processed Using Two-Phase and Single-Phase Methods Under Slight CO2 Pressure and Low Salt Content. Foods 2024, 13, 3799. https://doi.org/10.3390/foods13233799
Zullo BA, Ciafardini G. Technological Improvement of Brined Black Table Olives Processed Using Two-Phase and Single-Phase Methods Under Slight CO2 Pressure and Low Salt Content. Foods. 2024; 13(23):3799. https://doi.org/10.3390/foods13233799
Chicago/Turabian StyleZullo, Biagi Angelo, and Gino Ciafardini. 2024. "Technological Improvement of Brined Black Table Olives Processed Using Two-Phase and Single-Phase Methods Under Slight CO2 Pressure and Low Salt Content" Foods 13, no. 23: 3799. https://doi.org/10.3390/foods13233799
APA StyleZullo, B. A., & Ciafardini, G. (2024). Technological Improvement of Brined Black Table Olives Processed Using Two-Phase and Single-Phase Methods Under Slight CO2 Pressure and Low Salt Content. Foods, 13(23), 3799. https://doi.org/10.3390/foods13233799
