The Effects of Naematelia aurantialba on the Pasting and Rheological Properties of Starch and the Research and Development of Soft Candy
Abstract
1. Introduction
2. Materials and Methods
2.1. Materials and Reagents
2.2. Preparation of NA Powder (NA)
2.3. Rapid Viscosity Analysis (RVA)
2.4. DSC
2.5. Rheological Measurements
2.5.1. Steady Shear Test
2.5.2. Dynamic Frequency Test
2.6. Preparation of Soft Candy
2.6.1. Single-Factor Test
2.6.2. Orthogonal Experimental Design
2.7. Sensory Evaluation of Soft Candy
2.8. Textural Measurements
2.9. Effect of Storage Time on the Texture of Soft Candy
2.10. Statistical Analysis
3. Results and Discussion
3.1. Effect of the Addition of NA on the Gelatinization Characteristics of CS and ECS
3.2. Analysis of the Thermal Characteristics of CS and ECS with the NA Addition
3.3. Analysis of Rheological Properties of CS and ECS with the Addition of NA
3.3.1. Analysis of Static Rheological Characteristics of CS and ECS with the Addition of NA
3.3.2. NA Analysis of the Dynamic Rheological Characteristics of CS and ECS
3.4. Analysis of the Single-Factor Experiment
3.4.1. Effect of the NA Addition on the Quality of Soft Candy
3.4.2. Effect of the Addition of White Granulated Sugar on the Quality of Soft Candy
3.4.3. Effect of the Ratio of ECS and CS on the Quality of Soft Candy
3.4.4. Effect of the Citric Acid Addition on the Quality of Soft Candy
3.5. Orthogonal Test Results
3.6. Verification Tests
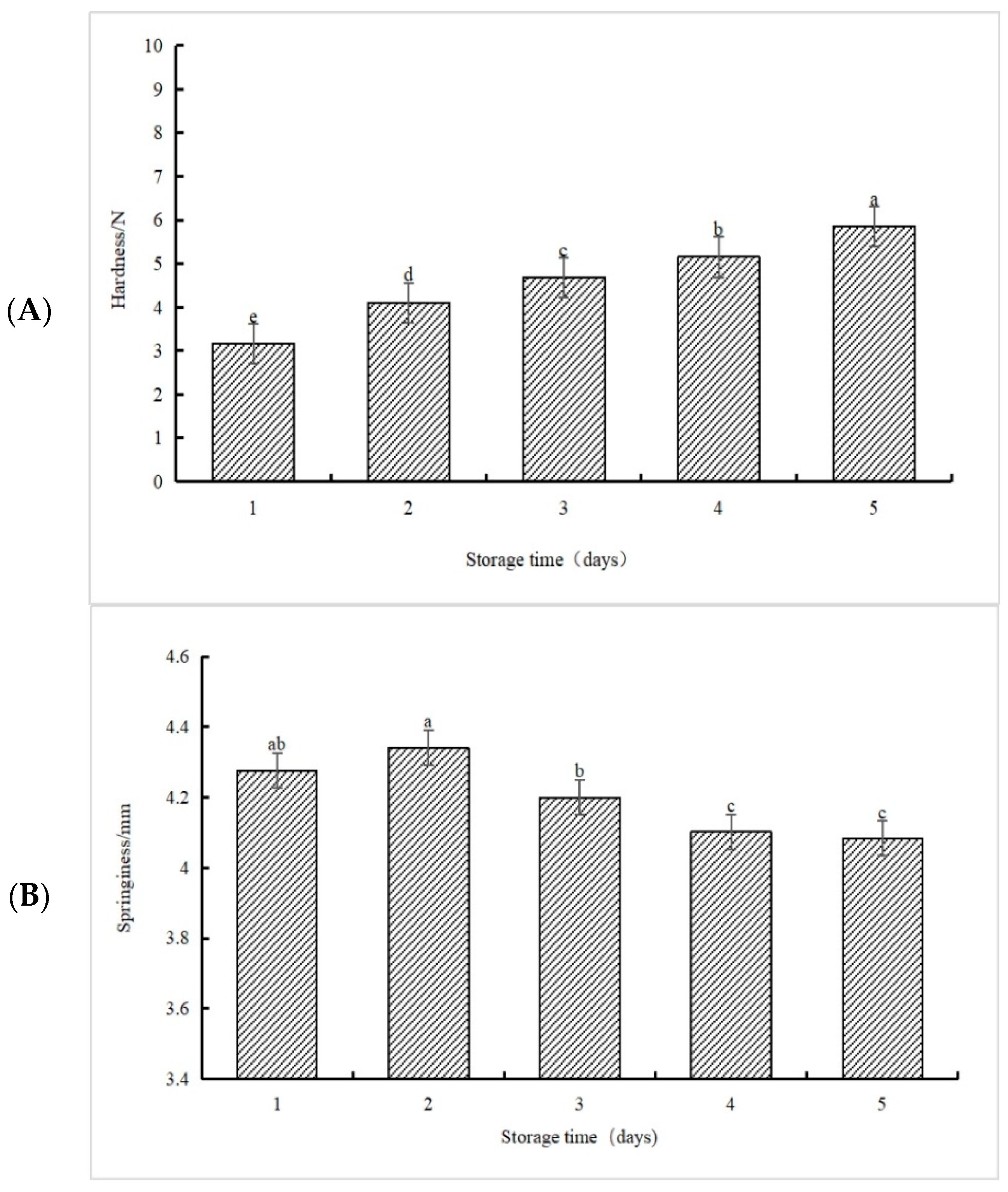
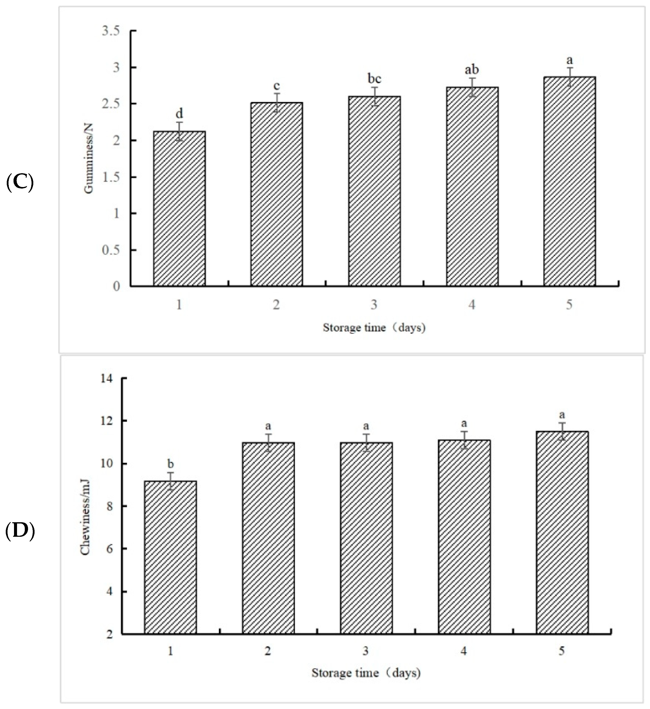
3.7. Effect of Storage Time on the Texture Characteristics of Soft Candy
4. Conclusions
Author Contributions
Funding
Institutional Review Board Statement
Informed Consent Statement
Data Availability Statement
Conflicts of Interest
References
- Yang, L.; Li, R.; Cao, Y.; Li, M.; Luo, X.; Yang, X.; Wen, S.; Shen, Z.; Lu, Q.; Zi, L. Research on the scientific name and taxonomic status of “Jin Er”. Edible Med. Mushrooms 2020, 28, 252–255, 276. [Google Scholar]
- Liao, W.; Luo, Z.; Liu, D.; Ning, Z.; Yang, J.; Ren, J. Structure characterization of a novel polysaccharide from Dictyophora indusiata and its macrophage immunomodulatory activities. J. Agric. Food Chem. 2015, 63, 535–544. [Google Scholar] [CrossRef] [PubMed]
- Sun, T.; Jiang, H.; Wang, Y.; Wang, S.; Peng, W.; Lei, P. Research Advances on Naematelia aurantialba Polysaccharides. J. Chin. Inst. Food Sci. Technol. 2022, 22, 386–397. [Google Scholar] [CrossRef]
- Sun, T.; Jiang, H.; Yang, K.; Li, X.; Wang, S.; Yao, H.; Wang, R.; Li, S.; Gu, Y.; Lei, P.; et al. Nutritional Function and Flavor Evaluation of a New Soybean Beverage Based on Naematelia aurantialba Fermentation. Foods 2022, 11, 272. [Google Scholar] [CrossRef] [PubMed]
- Sun, T.; Wang, R.; Sun, D.; Li, S.; Xu, H.; Qiu, Y.; Lei, P.; Sun, L.; Xu, X.; Zhu, Y. High-efficiency production of Tremella aurantialba polysaccharide through basidiospore fermentation. Bioresour. Technol. 2020, 318, 124268. [Google Scholar] [CrossRef]
- Hao, R.; Ji, Z. Development of Functional Tremella aurantialba and Apple Compound Jam. Farm Prod. Process. 2021, 5, 6–9. [Google Scholar] [CrossRef]
- He, R.; Sun, D.-F.; Luo, X.-L.; Zhou, P.; Zhang, W.-S. Study on Formula Selection of Toast with Tremella aurantialba. Edible Fungi China 2022, 41, 53–58, 65. [Google Scholar] [CrossRef]
- Meng, L.; Zhao, Y.; Liu, J.; Pan, P.; Liu, G.; Feng, M.; Wu, Y.; Yang, Y. Basic Pharmacological Studies on Tremella aurantialba Polysaccharide-Peptide Capsule. Acta Edulis Fungi 2000, 7, 31–36. [Google Scholar] [CrossRef]
- Gao, J.; Zhu, L.; Huang, J.; Li, L.; Yang, Y.; Xu, Y.; Wang, Y.; Wang, L. Effect of dandelion root polysaccharide on the pasting, gelatinization, rheology, structural properties and in vitro digestibility of corn starch. Food Funct. 2021, 12, 7029–7039. [Google Scholar] [CrossRef]
- Yang, F.; Du, Q.; Miao, T.; Zhang, X.; Xu, W.; Jia, D. Interaction between potato starch and Tremella fuciformis polysaccharide. Food Hydrocoll. 2022, 127, 107509. [Google Scholar] [CrossRef]
- Li, J.-M.; Nie, S.-P. The functional and nutritional aspects of hydrocolloids in foods. Food Hydrocoll. 2016, 53, 46–61. [Google Scholar] [CrossRef]
- Nawab, A.; Alam, F.; Haq, M.A.; Hasnain, A. Effect of guar and xanthan gums on functional properties of mango (Mangifera indica) kernel starch. Int. J. Biol. Macromol. 2016, 93, 630–635. [Google Scholar] [CrossRef] [PubMed]
- He, J.; Zeng, L.; Gong, J.; He, Y.; Liu, X.; Zhang, L.; Xu, N.; Wang, Q. Effects of two contrasting dietary polysaccharides and tannic acid on the digestive and physicochemical properties of wheat starch. Food Sci. Nutr. 2021, 9, 5800–5808. [Google Scholar] [CrossRef]
- Tian, L.; Hu, S.; Jia, J.; Tan, W.; Yang, L.; Zhang, Q.; Liu, X.; Duan, X. Effects of short-term fermentation with lactic acid bacteria on the characterization, rheological and emulsifying properties of egg yolk. Food Chem. 2021, 341, 128163. [Google Scholar] [CrossRef]
- Li, Y.; Cui, W.; Zhao, C.; Wu, Y.; Wang, S.; Cao, Y.; Xu, X.; Liu, J. Physicochemical and Structural Properties of Corn Starch-Auricularia cornea Ehrenb. Polysaccharide Blends. Food Sci. 2021, 42, 58–64. [Google Scholar] [CrossRef]
- Liu, M.; Zhao, X.; Kan, J.; Zhang, F.; Zheng, J. Effect of Xanthan Gum on Pasting, Rheological and Texture Properties of Lotus Root Starch. Food Sci. 2018, 39, 45–50. [Google Scholar] [CrossRef]
- Liu, C.; Zhang, H.; Chen, R.; Chen, J.; Liu, X.; Luo, S.; Chen, T. Effects of creeping fig seed polysaccharide on pasting, rheological, textural properties and in vitro digestibility of potato starch. Food Hydrocoll. 2021, 118, 106810. [Google Scholar] [CrossRef]
- Zhang, Y.; Gu, Z.; Zhu, L.; Hong, Y. Comparative study on the interaction between native corn starch and different hydrocolloids during gelatinization. Int. J. Biol. Macromol. 2018, 116, 136–143. [Google Scholar] [CrossRef]
- Luo, Y.; Liu, X.; Ke, Z.; Yang, J.; Li, Y.; Xie, X.; Li, L. Insight into the improvement in pasting and gel properties of waxy corn starch by critical melting treatments. Int. J. Biol. Macromol. 2023, 253, 127285. [Google Scholar] [CrossRef]
- Wang, R.; Wan, J.; Liu, C.; Xia, X.; Ding, Y. Pasting, thermal, and rheological properties of rice starch partially replaced by inulin with different degrees of polymerization. Food Hydrocoll. 2019, 92, 228–232. [Google Scholar] [CrossRef]
- Zhang, C.; Wang, Z.-J.; Liu, Q.-Q.; Qian, J.-Y.; Lim, S.-T. Improvement of pasting and gelling behaviors of waxy maize starch by partial gelatinization and freeze-thawing treatment with xanthan gum. Food Chem. 2022, 375, 131656. [Google Scholar] [CrossRef] [PubMed]
- Mahmood, K.; Kamilah, H.; Shang, P.L.; Sulaiman, S.; Ariffin, F.; Alias, A.K. A review: Interaction of starch/non-starch hydrocolloid blending and the recent food applications. Food Biosci. 2017, 19, 110–120. [Google Scholar] [CrossRef]
- Yin, X.; Zheng, Y.; Kong, X.; Cao, S.; Chen, S.; Liu, D.; Ye, X.; Tian, J. RG- I pectin affects the physicochemical properties and digestibility of potato starch. Food Hydrocoll. 2021, 117, 106687. [Google Scholar] [CrossRef]
- BeMiller, J.N. Effect of hydrocolloids on normal and waxy maize starches cross-linked with epichlorohydrin. Food Hydrocoll. 2021, 112, 106260. [Google Scholar] [CrossRef]
- Kong, L.; Kong, M.Z.; Yu, J.X.; Cheng, D.C.; Huang, R.; Lv, Y.P. Effect of Gelatinization Treatment on Morphology, Structure and Thermal Properties of Chenopodium quinoa Starch. Sci. Technol. Food Ind. 2019, 40, 56–61, 67. [Google Scholar] [CrossRef]
- Zhang, C.; Lim, S.-T. Physical modification of various starches by partial gelatinization and freeze-thawing with xanthan gum. Food Hydrocoll. 2021, 111, 106210. [Google Scholar] [CrossRef]
- Sun, Z.; Sun, X.; Ge, X.; Lu, Y.; Zhang, X.; Shen, H.; Yu, X.; Zeng, J.; Gao, H.; Li, W. Structural, rheological, pasting, and digestive properties of wheat A-starch: Effect of outshell removal combined with annealing. Int. J. Biol. Macromol. 2023, 244, 125401. [Google Scholar] [CrossRef]
- Ma, S.; Zhu, P.; Wang, M.; Wang, F.; Wang, N. Effect of konjac glucomannan with different molecular weights on physicochemical properties of corn starch. Food Hydrocoll. 2019, 96, 663–670. [Google Scholar] [CrossRef]
- Ma, Y.-S.; Pan, Y.; Xie, Q.-T.; Li, X.-M.; Zhang, B.; Chen, H.-Q. Evaluation studies on effects of pectin with different concentrations on the pasting, rheological and digestibility properties of corn starch. Food Chem. 2019, 274, 319–323. [Google Scholar] [CrossRef]
- Zhang, Y.; Zhao, X.; Bao, X.; Xiao, J.; Liu, H. Effects of pectin and heat-moisture treatment on structural characteristics and physicochemical properties of corn starch. Food Hydrocoll. 2021, 117, 106664. [Google Scholar] [CrossRef]
- Xu, N.; Zhang, Y.; Zhang, G.; Tan, B. Effects of insoluble dietary fiber and ferulic acid on rheological and thermal properties of rice starch. Int. J. Biol. Macromol. 2021, 193, 2260–2270. [Google Scholar] [CrossRef] [PubMed]
- Cao, C.Y.; Yang, J.D.; Liu, H.C.; Zou, Y.; Tong, Z.Q.; Wang, D.W. Study on the gelatinization characteristics, rheological properties and extruded rice quality of Tremella-multigrain flour. J. Jilin Agric. Univ. 2021, 1–9. [Google Scholar] [CrossRef]
- Wang, S.; Li, C.; Copeland, L.; Niu, Q.; Wang, S. Starch Retrogradation: A Comprehensive Review. Compr. Rev. Food Sci. Food Saf. 2015, 14, 568–585. [Google Scholar] [CrossRef]
- Liu, T.; Wang, K.; Xue, W.; Wang, L.; Zhang, C.; Zhang, X.; Chen, Z. In vitro starch digestibility, edible quality and microstructure of instant rice noodles enriched with rice bran insoluble dietary fiber. LWT 2021, 142, 111008. [Google Scholar] [CrossRef]






| Level | Factor | |||
|---|---|---|---|---|
| A NA Addition (g) | B White Granulated Sugar Addition (g) | C Ratio of ECS to CS (g:g) | D Citric Acid Addition (g) | |
| 1 | 0.4 | 10 | 17:1 | 0.08 |
| 2 | 0.8 | 12 | 20:1 | 0.12 |
| 3 | 1.2 | 14 | 23:1 | 0.16 |
| Project | Standard for Evaluation | Sensory Score/(Score) |
|---|---|---|
| Color and luster (20 score) | The color was not uniform, and the transparency was low | 1–11 |
| The color was uniform and the generally transparent | 12–15 | |
| The color was uniform, and the transparency was high | 16–20 | |
| Acid sweetness (20 score) | Sweetness and sourness were not obvious or extreme | 1–11 |
| Slightly sour or sweet | 12–15 | |
| Suitable sweetness and sourness | 16–20 | |
| Form of organization (20 score) | Too soft or hard; uneven texture | 1–11 |
| Soft or hard; the texture was basically uniform | 12–15 | |
| Moderate hardness; uniform texture | 16–20 | |
| Flavor (20 score) | The taste was not delicate, and chewing was poor | 1–11 |
| The taste was more delicate, and chewability was better | 12–15 | |
| Delicate taste and good chewing | 16–20 |
| Test Name | Peak Viscosity (cP) | Pasting Temperature (°C) | Setback (cP) | Breakdown (cP) | Trough Minimum Viscosity (cP) | Final Viscosity (cP) |
|---|---|---|---|---|---|---|
| CS | 3215.47 f ± 2.64 | 68.73 b ± 0.11 | 1205.97 a ± 43.07 | 1698.45 a ± 4.81 | 1517.02 f ± 2.62 | 2722.99 d ± 45.27 |
| CS+1%NA | 3316.11 e ± 51.96 | 68.11 c ± 0.07 | 1096.78 b ± 71.37 | 1598.45 b ± 4.32 | 1717.66 e ± 48.52 | 2814.45 cd ± 31.21 |
| CS+2%NA | 3469.95 d ± 36.07 | 67.93 d ± 0.06 | 985.35 c ± 10.20 | 1545.38 c ± 10.4 | 1924.56 d ± 37.28 | 2909.91 c ± 36.76 |
| CS+3%NA | 3538.31 c ± 23.76 | 67.37 e ± 0.15 | 877.36 d ± 55.27 | 1426.86 d ± 47.65 | 2111.45 c ± 71.28 | 3041.13 b ± 119.73 |
| CS+4%NA | 3627.77 b ± 12.39 | 68.57 b ± 0.09 | 838.74 d ± 63.93 | 1343.37 e ± 37.3 | 2284.4 b ± 49.09 | 3123.14 ab ± 41.74 |
| CS+5%NA | 3719.77 a ± 28.88 | 70.06 a ± 0.08 | 808.24 d ± 63.21 | 1326.94 e ± 34.24 | 2392.83 a ± 28.68 | 3201.08 a ± 37.12 |
| ECS | 4775.12 a ± 29.43 | 64.96 a ± 0.32 | 997 a ± 61.53 | 2989.99 a ± 13.41 | 1785.14 a ± 28.28 | 2782.14 a ± 36.27 |
| ECS+1%NA | 4154.71 b ± 84.12 | 63.35 b ± 0.98 | 738.50 b ± 55.11 | 2697.79 b ± 103.35 | 1456.92 b ± 59.56 | 2195.41 b ± 114.24 |
| ECS+2%NA | 4009.75 b ± 27.63 | 62.8 b ± 0.77 | 735.10 b ± 28.51 | 2699.62 b ± 92.18 | 1310.13 c ± 96.71 | 2045.23 bc ± 86.94 |
| ECS+3%NA | 3622.43 c ± 40.18 | 62.79 b ± 1.23 | 628.83 bc ± 53.57 | 2387.45 c ± 74.44 | 1234.98 c ± 89.02 | 1863.81 c ± 140.88 |
| ECS+4%NA | 3262.40 d ± 229.66 | 63.52 b ± 0.13 | 578.12 c ± 82.16 | 2189.94 d ± 169.56 | 1072.46 d ± 61.66 | 1650.58 d ± 143.63 |
| ECS+5%NA | 3093.08 d ± 118.68 | 62.50 b ± 0.48 | 554.65 c ± 76.33 | 2123.01 d ± 105.02 | 970.07 d ± 25.01 | 1524.72 d ± 93.66 |
| Single Factor | Hardness/N | Springiness/mm | Gumminess/N | Chewiness/mJ | Sensory Score (Score) |
|---|---|---|---|---|---|
| NA addition (g) | |||||
| 0 | 2.075 b ± 0.033 | 4.053 c ± 0.088 | 1.488 b ± 0.029 | 5.943 c ± 0.239 | 80.33 b ± 0.58 |
| 0.4 | 2.140 ab ± 0.699 | 4.224 ab ± 0.081 | 1.691 a ± 0.099 | 6.533 ab ± 0.239 | 83.33 a ± 1.53 |
| 0.8 | 2.165 a ± 0.077 | 4.253 ab ± 0.094 | 1.612 ab ± 0.131 | 6.602 b ± 0.461 | 72.00 c ± 2.00 |
| 1.2 | 2.203 a ± 0.025 | 4.276 a ± 0.153 | 1.595 ab ± 0.040 | 6.749 ab ± 0.200 | 69.67 cd ± 0.58 |
| 1.6 | 2.210 a ± 0.043 | 4.146 bc ± 0.067 | 1.538 b ± 0.740 | 6.782 ab ± 0.223 | 63.00 d ± 1.00 |
| 2.0 | 2.216 a ± 0.058 | 4.142 bc ± 0.029 | 1.598 ab ± 0.137 | 6.813 a ± 0.258 | 63.00 e ± 1.00 |
| White granulated sugar addition (g) | |||||
| 8 | 2.064 b ± 0.079 | 3.927 c ± 0.045 | 1.436 b ± 0.049 | 5.748 c ± 0.048 | 78.67 d ± 0.58 |
| 10 | 2.067 b ± 0.027 | 4.062 b ± 0.026 | 1.490 b ± 0.038 | 6.032 b ± 0.147 | 81.33 b ± 0.58 |
| 12 | 2.094 ab ± 0.091 | 4.064 b ± 0.040 | 1.467 b ± 0.072 | 6.073 b ± 0.197 | 84.33 a ± 0.58 |
| 14 | 2.176 a ± 0.115 | 4.134 a ± 0.026 | 1.573 a ± 0.053 | 6.537 a ± 0.239 | 82.33 b ± 0.58 |
| 16 | 2.096 ab ± 0.060 | 4.123 a ± 0.055 | 1.497 b ± 0.063 | 6.185 b ± 0.166 | 80.00 c ± 1.00 |
| ECS:CS (w/w) | |||||
| 14:1 | 2.146 ab ± 0.083 | 4.107 ab ± 0.048 | 1.468 a ± 0.057 | 6.033 a ± 0.269 | 78.67 d ± 0.58 |
| 17:1 | 2.101 ab ± 0.102 | 4.126 a ± 0.037 | 1.489 a ± 0.070 | 6.147 a ± 0.322 | 81.33 b ± 0.58 |
| 20:1 | 2.179 a ± 0.095 | 4.103 ab ± 0.031 | 1.492 a ± 0.037 | 6.169 a ± 0.240 | 82.67 a ± 0.58 |
| 23:1 | 2.133 a ± 0.063 | 4.084 b ± 0.021 | 1.496 a ± 0.039 | 6.051 a ± 0.173 | 81.33 b ± 0.58 |
| 26:1 | 2.032 b ± 0.107 | 4.091 ab ± 0.055 | 1.471 a ± 0.048 | 6.027 a ± 0.231 | 80.00 c ± 1.00 |
| Citric acid addition (g) | |||||
| 0.04 | 2.159 a ± 0.087 | 4.105 b ± 0.036 | 1.567 a ± 0.071 | 6.456 ab ± 0.233 | 78.33 c ± 0.58 |
| 0.08 | 2.229 a ± 0.094 | 4.166 a ± 0.008 | 1.585 a ± 0.055 | 6.666 a ± 0.212 | 80.67 b ± 1.15 |
| 0.12 | 2.218 a ± 0.126 | 4.132 ab ± 0.055 | 1.552 a ± 0.052 | 6.430 ab ± 0.275 | 82.67 a ± 0.58 |
| 0.16 | 2.206 a ± 0.770 | 4.120 b ± 0.034 | 1.544 a ± 0.057 | 6.299 b ± 0.306 | 80.67 b ± 0.58 |
| 0.20 | 2.173 a ± 0.140 | 4.118 b ± 0.012 | 1.542 a ± 0.073 | 6.242 b ± 0.239 | 78.00 c ± 1.00 |
| Factors | ||||||||||
|---|---|---|---|---|---|---|---|---|---|---|
| Test Number | A | B | C | D | Sensory Score (Score) | Hardness/N | Springiness/mm | Gumminess/N | Chewiness/mJ | |
| 1 | 1 | 1 | 1 | 1 | 83.67 | 1.93 | 3.89 | 1.35 | 5.25 | |
| 2 | 1 | 2 | 2 | 2 | 86.67 | 1.95 | 4.03 | 1.39 | 5.61 | |
| 3 | 1 | 3 | 3 | 3 | 81.33 | 2.03 | 4.16 | 1.46 | 6.08 | |
| 4 | 2 | 1 | 2 | 3 | 78.83 | 2.12 | 4.02 | 1.50 | 6.01 | |
| 5 | 2 | 2 | 3 | 1 | 81.83 | 2.69 | 4.23 | 1.80 | 7.10 | |
| 6 | 2 | 3 | 1 | 2 | 79.67 | 2.35 | 4.27 | 1.94 | 7.80 | |
| 7 | 3 | 1 | 3 | 2 | 74.00 | 2.31 | 4.02 | 1.61 | 6.48 | |
| 8 | 3 | 2 | 1 | 3 | 78.50 | 2.63 | 4.25 | 1.93 | 8.21 | |
| 9 | 3 | 3 | 2 | 1 | 73.67 | 2.58 | 4.29 | 2.23 | 9.58 | |
| Sensory score (score) | K1 | 83.890 | 78.834 | 80.613 | 79.723 | A1B2C1D2 | ||||
| K2 | 80.112 | 82.334 | 79.723 | 80.113 | ||||||
| K3 | 75.389 | 78.222 | 79.054 | 79.554 | ||||||
| R | 8.501 | 4.112 | 1.559 | 0.559 | ||||||
| Hardness/N | K1 | 1.969 | 2.117 | 2.301 | 2.400 | A3B2C3D1 | ||||
| K2 | 2.386 | 2.423 | 2.214 | 2.200 | ||||||
| K3 | 2.503 | 2.318 | 2.343 | 2.259 | ||||||
| R | 0.534 | 0.306 | 0.129 | 0.200 | ||||||
| Springiness/mm | K1 | 4.025 | 3.972 | 4.136 | 4.134 | A3B3C1D3 | ||||
| K2 | 4.171 | 4.170 | 4.111 | 4.105 | ||||||
| K3 | 4.186 | 4.240 | 4.134 | 4.143 | ||||||
| R | 0.162 | 0.268 | 0.025 | 0.038 | ||||||
| Gumminess/N | K1 | 1.400 | 1.487 | 1.739 | 1.793 | A3B3C1D1 | ||||
| K2 | 1.746 | 1.706 | 1.707 | 1.649 | ||||||
| K3 | 1.925 | 1.878 | 1.625 | 1.629 | ||||||
| R | 0.524 | 0.391 | 0.115 | 0.165 | ||||||
| Chewiness/mJ | K1 | 5.643 | 5.914 | 7.084 | 7.311 | A3B3C1D1 | ||||
| K2 | 6.971 | 6.973 | 7.068 | 6.628 | ||||||
| K3 | 8.091 | 7.818 | 6.553 | 6.766 | ||||||
| R | 2.448 | 1.905 | 0.530 | 0.682 | ||||||
Disclaimer/Publisher’s Note: The statements, opinions and data contained in all publications are solely those of the individual author(s) and contributor(s) and not of MDPI and/or the editor(s). MDPI and/or the editor(s) disclaim responsibility for any injury to people or property resulting from any ideas, methods, instructions or products referred to in the content. |
© 2024 by the authors. Licensee MDPI, Basel, Switzerland. This article is an open access article distributed under the terms and conditions of the Creative Commons Attribution (CC BY) license (https://creativecommons.org/licenses/by/4.0/).
Share and Cite
Cheng, Y.; Su, C.; Wei, S.; Zhao, J.; Wei, F.; Liu, X.; Wang, H.; Wu, X.; Feng, C.; Meng, J.; et al. The Effects of Naematelia aurantialba on the Pasting and Rheological Properties of Starch and the Research and Development of Soft Candy. Foods 2024, 13, 247. https://doi.org/10.3390/foods13020247
Cheng Y, Su C, Wei S, Zhao J, Wei F, Liu X, Wang H, Wu X, Feng C, Meng J, et al. The Effects of Naematelia aurantialba on the Pasting and Rheological Properties of Starch and the Research and Development of Soft Candy. Foods. 2024; 13(2):247. https://doi.org/10.3390/foods13020247
Chicago/Turabian StyleCheng, Yanfen, Cuixin Su, Shijie Wei, Jing Zhao, Fen Wei, Xiaolong Liu, Hanbing Wang, Xiaoyue Wu, Cuiping Feng, Junlong Meng, and et al. 2024. "The Effects of Naematelia aurantialba on the Pasting and Rheological Properties of Starch and the Research and Development of Soft Candy" Foods 13, no. 2: 247. https://doi.org/10.3390/foods13020247
APA StyleCheng, Y., Su, C., Wei, S., Zhao, J., Wei, F., Liu, X., Wang, H., Wu, X., Feng, C., Meng, J., Cao, J., Yun, S., Xu, L., Geng, X., & Chang, M. (2024). The Effects of Naematelia aurantialba on the Pasting and Rheological Properties of Starch and the Research and Development of Soft Candy. Foods, 13(2), 247. https://doi.org/10.3390/foods13020247

