Ultrasonication of Micellar Casein Concentrate to Reduce Viscosity—Role of Undissolved Material
Abstract
:1. Introduction
2. Materials and Methods
2.1. Preparation of Micellar Casein Suspensions
2.2. Ultrasonication of MCC Suspensions
2.3. Viscosity Measurements
2.4. Particle Size Measurements
2.5. MCC Solubility and Hydration of Undissolved Material
2.6. Production and Sonication of Membrane-Filtrated MCC
3. Results and Discussion
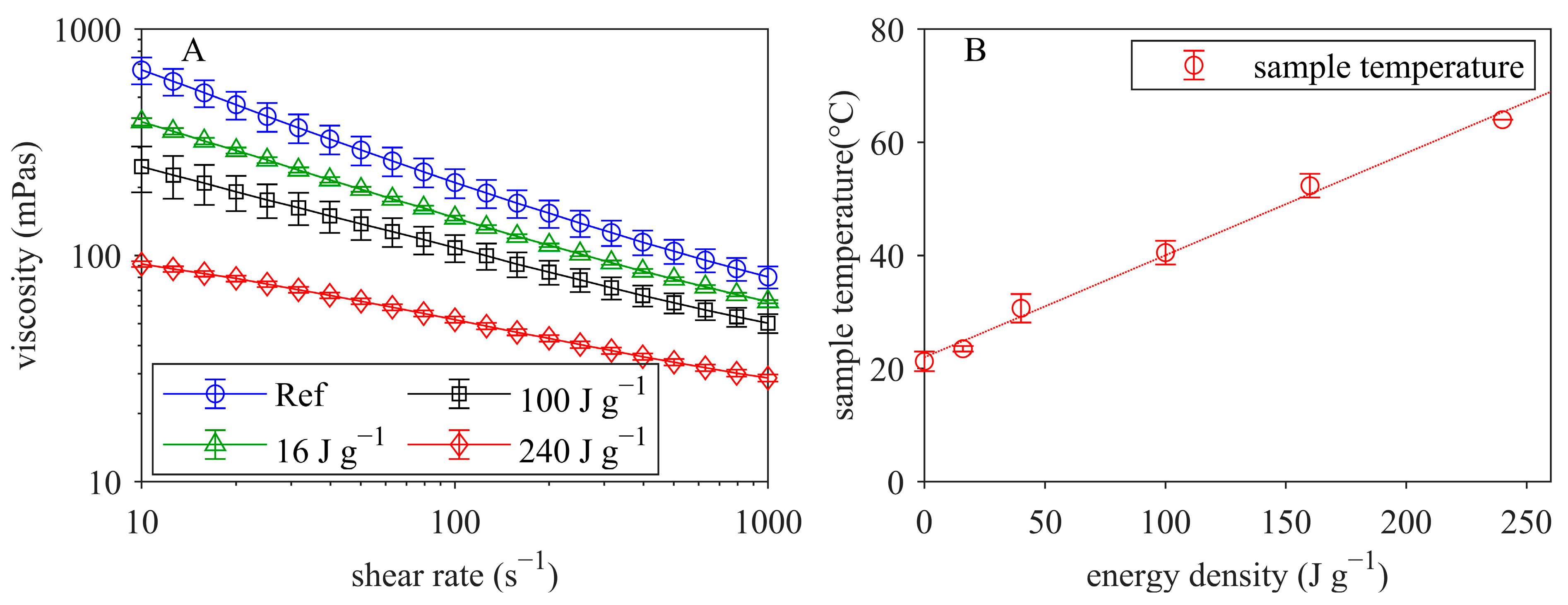
3.1. Effect of Ultrasonication on Viscosity of Reconstituted MCC Suspensions
3.2. Effect of Ultrasonication on Particle Size
3.3. Solubility–Viscosity Relationship of MCC Suspensions
3.4. Hydration of Undissolved Material
3.5. Comparison of the Effect of Centrifugation and Ultrasonication
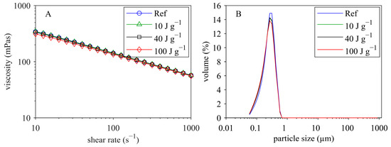
3.6. Effect of Ultrasonication on Membrane-Filtrated MCC
4. Conclusions
Author Contributions
Funding
Data Availability Statement
Conflicts of Interest
References
- Carr, A.; Golding, M. Functional milk proteins production and utilization: Casein-based ingredients. In Advanced Dairy Chemistry: Volume 1B: Proteins: Applied Aspects, 4th ed.; McSweeney, P.L.H., O’Mahony, J.A., Eds.; Springer: New York, NY, USA, 2016; pp. 35–66. [Google Scholar]
- Carter, B.; Cheng, N.; Kapoor, R.; Meletharayil, G.H.; Drake, M. Invited review: Microfiltration-derived casein and whey proteins from milk. J. Dairy Sci. 2021, 104, 2465–2479. [Google Scholar] [CrossRef] [PubMed]
- Schokker, E.P.; Church, J.S.; Mata, J.P.; Gilbert, E.P.; Puvanenthiran, A.; Udabage, P. Reconstitution properties of micellar casein powder: Effects of composition and storage. Int. Dairy J. 2011, 21, 877–886. [Google Scholar] [CrossRef]
- Crowley, S.V.; Kelly, A.L.; Schuck, P.; Jeantet, R.; O’Mahony, J.A. Rehydration and Solubility Characteristics of High-Protein Dairy Powders. In Advanced Dairy Chemistry: Volume 1B: Proteins: Applied Aspects, 4th ed.; McSweeney, P.L.H., O’Mahony, A.J., Eds.; Springer: New York, NY, USA, 2016; pp. 99–131. [Google Scholar]
- O’Donnell, S.; Butler, F. Viscosity of reconstituted milk protein concentrate solutions as a function of shear, temperature and concentration. Dev. Chem. Eng. Min. Process. 1999, 7, 131–139. [Google Scholar] [CrossRef]
- Bouchoux, A.; Debbou, B.; Gésan-Guiziou, G.; Famelart, M.H.; Doublier, J.L.; Cabane, B. Rheology and phase behavior of dense casein micelle dispersions. J. Chem. Phys. 2009, 131, 165106. [Google Scholar] [CrossRef]
- Dahbi, L.; Alexander, M.; Trappe, V.; Dhont, J.K.G.; Schurtenberger, P. Rheology and structural arrest of casein suspensions. J. Colloid. Interface Sci. 2010, 342, 564–570. [Google Scholar] [CrossRef]
- Nöbel, S.; Weidendorfer, K.; Hinrichs, J. Apparent voluminosity of casein micelles determined by rheometry. J. Colloid. Interface Sci. 2012, 386, 174–180. [Google Scholar] [CrossRef] [PubMed]
- Walstra, P.; Wouters, J.T.M.; Geurts, T.J. Dairy Science and Technology, 2nd ed.; CRC Press: Boca Raton, FL, USA, 2006; pp. 141–147. [Google Scholar]
- Huppertz, T.; Gazi, I.; Luyten, H.; Nieuwenhuijse, H.; Alting, A.; Schokker, E. Hydration of casein micelles and caseinates: Implications for casein micelle structure. Int. Dairy J. 2017, 74, 1–11. [Google Scholar] [CrossRef]
- Hinrichs, J. UHT processed milk concentrates. Le Lait 2000, 80, 15–23. [Google Scholar] [CrossRef]
- O’Donnell, C.P.; McKenna, B.M.; Herlihy, N. Drying of Skim Milk: Opportunities for Reducted Steam. Dry. Technol. 1996, 14, 513–528. [Google Scholar] [CrossRef]
- O’Donnell, C.P. Identification and minimisation of product losses in a milk processing plant with particular reference to spray drier stack losses. Ph.D. Thesis, University College Dublin, Dublin, Ireland, 1992. [Google Scholar]
- O’Shea, N.; O’Callaghan, T.F.; Tobin, J.T. The application of process analytical technologies (PAT) to the dairy industry for real time product characterization-process viscometry. Innov. Food Sci. Emerg. Technol. 2019, 55, 48–56. [Google Scholar] [CrossRef]
- Ramírez, C.A.; Patel, M.; Blok, K. From fluid milk to milk powder: Energy use and energy efficiency in the European dairy industry. Energy 2006, 31, 1984–2004. [Google Scholar] [CrossRef]
- Walmsley, T.G.; Atkins, M.J.; Walmsley, M.R.W.; Philipp, M.; Peesel, R.-H. Process and utility systems integration and optimisation for ultra-low energy milk powder production. Energy 2018, 146, 67–81. [Google Scholar] [CrossRef]
- Gaiani, C.; Schuck, P.; Scher, J.; Desobry, S.; Banon, S. Dairy powder rehydration: Influence of protein state, incorporation mode, and agglomeration. J. Dairy Sci. 2007, 90, 570–581. [Google Scholar] [CrossRef] [PubMed]
- Schuck, P.; Mejean, S.; Dolivet, A.; Gaiani, C.; Banon, S.; Scher, J.l.; Jeantet, R. Water transfer during rehydration of micellar casein powders. Le Lait 2007, 87, 425–432. [Google Scholar] [CrossRef]
- Crowley, S.V.; Burlot, E.; Silva, J.V.C.; McCarthy, N.A.; Wijayanti, H.B.; Fenelon, M.A.; Kelly, A.L.; O’Mahony, J.A. Rehydration behaviour of spray-dried micellar casein concentrates produced using microfiltration of skim milk at cold or warm temperatures. Int. Dairy J. 2018, 81, 72–79. [Google Scholar] [CrossRef]
- Mimouni, A.; Deeth, H.C.; Whittaker, A.K.; Gidley, M.J.; Bhandari, B.R. Rehydration of high-protein-containing dairy powder: Slow- and fast-dissolving components and storage effects. Dairy Sci. Technol. 2010, 90, 335–344. [Google Scholar] [CrossRef]
- Gazi, I.; Huppertz, T. Influence of protein content and storage conditions on the solubility of caseins and whey proteins in milk protein concentrates. Int. Dairy J. 2015, 46, 22–30. [Google Scholar] [CrossRef]
- Gaiani, C.; Scher, J.; Schuck, P.; Hardy, J.; Desobry, S.; Banon, S. The dissolution behaviour of native phosphocaseinate as a function of concentration and temperature using a rheological approach. Int. Dairy J. 2006, 16, 1427–1434. [Google Scholar] [CrossRef]
- Havea, P. Protein interactions in milk protein concentrate powders. Int. Dairy J. 2006, 16, 415–422. [Google Scholar] [CrossRef]
- Anema, S.G.; Pinder, D.N.; Hunter, R.J.; Hemar, Y. Effects of storage temperature on the solubility of milk protein concentrate (MPC85). Food Hydrocoll. 2006, 20, 386–393. [Google Scholar] [CrossRef]
- Fyfe, K.; Kravchuk, O.; Le, T.; Deeth, H.; Nguyen, A.; Bhandari, B. Storage induced changes to high protein powders: Influence on surface properties and solubility. J. Sci. Food Agric. 2011, 91, 2566–2575. [Google Scholar] [CrossRef]
- McKenna, A.B. Effect of processing and storage on the reconstitution properties of whole milk and ultrafiltered skim milk powders. Ph.D. Thesis, Massey University, Palmerston North, New Zealand, 2000. [Google Scholar]
- Sutariya, S.; Sunkesula, V.; Kumar, R.; Shah, K. Emerging applications of ultrasonication and cavitation in dairy industry: A review. Cogent Food Agric. 2018, 4, 1549187. [Google Scholar] [CrossRef]
- Mason, T. Power Ultrasound in Food Processing-the Way Forward. In Ultrasound in Food Processing; Povey, M., Mason, T.J., Eds.; Blackie Academic and Professional: London, UK, 1998; pp. 105–127. [Google Scholar]
- Mason, T.; Vinatoru, M. The Extraction of natural products using ultrasound or microwaves. Curr. Org. Chem. 2011, 15, 237–247. [Google Scholar] [CrossRef]
- Patist, A.; Bates, D. Ultrasonic innovations in the food industry: From the laboratory to commercial production. Innov. Food Sci. Emerg. Technol. 2008, 9, 147–154. [Google Scholar] [CrossRef]
- Suslick, K.S. Homogeneous sonochemistry. In Ultrasound: Its Chemical, Physical, and Biological Effects; Suslick, K.S., Ed.; VCH Publishers: New York, NY, USA, 1988; pp. 123–163. [Google Scholar]
- Ashokkumar, M.; Bhaskaracharya, R.; Kentish, S.; Lee, J.; Palmer, M.; Zisu, B. The ultrasonic processing of dairy products—An overview. Dairy Sci. Technol. 2010, 90, 147–168. [Google Scholar] [CrossRef]
- Canselier, J.P.; Delmas, H.; Wilhelm, A.M.; Abismaïl, B. Ultrasound emulsification—An overview. J. Dispers. Sci. Technol. 2002, 23, 333–349. [Google Scholar] [CrossRef]
- Li, H.; Pordesimo, L.; Weiss, J. High intensity ultrasound-assisted extraction of oil from soybeans. Food Res. Int. 2004, 37, 731–738. [Google Scholar] [CrossRef]
- Luque de Castro, M.D.; Priego-Capote, F. Ultrasound-assisted crystallization (sonocrystallization). Ultrason. Sonochem. 2007, 14, 717–724. [Google Scholar] [CrossRef]
- Muthukumaran, S.; Kentish, S.; Stevens, G.; Ashokkumar, M. Application of ultrasound in membrane separation processes: A review. Rev. Chem. Eng. 2006, 22, 155–194. [Google Scholar] [CrossRef]
- Gera, N.; Doores, S. Kinetics and Mechanism of Bacterial Inactivation by Ultrasound Waves and Sonoprotective Effect of Milk Components. J. Food Sci. 2011, 76, 111–119. [Google Scholar] [CrossRef]
- Higuera-Barraza, O.A.; Del Toro-Sanchez, C.L.; Ruiz-Cruz, S.; Márquez-Ríos, E. Effects of high-energy ultrasound on the functional properties of proteins. Ultrason. Sonochem. 2016, 31, 558–562. [Google Scholar] [CrossRef]
- Zisu, B.; Sciberras, M.; Jayasena, V.; Weeks, M.; Palmer, M.; Dincer, T.D. Application of ultrasound to reduce viscosity and control the rate of age thickening of concentrated skim milk. Ultrason. Sonochem. 2014, 21, 2117–2121. [Google Scholar] [CrossRef] [PubMed]
- Chandrapala, J.; Martin, G.J.O.; Kentish, S.E.; Ashokkumar, M. Dissolution and reconstitution of casein micelle containing dairy powders by high shear using ultrasonic and physical methods. Ultrason. Sonochem. 2014, 21, 1658–1665. [Google Scholar] [CrossRef] [PubMed]
- Chandrapala, J.; Zisu, B.; Palmer, M.; Kentish, S.; Ashokkumar, M. Effects of ultrasound on the thermal and structural characteristics of proteins in reconstituted whey protein concentrate. Ultrason. Sonochem. 2011, 18, 951–957. [Google Scholar] [CrossRef] [PubMed]
- Özbek, B.; Ülgen, K.Ö. The stability of enzymes after sonication. Process Biochem. 2000, 35, 1037–1043. [Google Scholar] [CrossRef]
- Zhou, Q.; Wang, H.; Zhu, K.; Zhu, L.; Zhou, S.; Peng, J.; Lu, X. Effects of ultrasound irradiation on enzymatic hydrolysis of protein and application for the determination of tetracyclines in complex matrices. Drug Test. Anal. 2017, 9, 1586–1593. [Google Scholar] [CrossRef]
- Gębicka, L.; Gębicki, J.L. The Effect of Ultrasound on Heme Enzymes in Aqueous Solution. J. Enzyme Inhib. Med. Chem. 1997, 12, 133–141. [Google Scholar] [CrossRef]
- Ashokkumar, M.; Sunartio, D.; Kentish, S.; Mawson, R.; Simons, L.; Vilkhu, K.; Versteeg, C.K. Modification of food ingredients by ultrasound to improve functionality: A preliminary study on a model system. Innov. Food Sci. Emerg. Technol. 2008, 9, 155–160. [Google Scholar] [CrossRef]
- Juliano, P.; Torkamani, A.E.; Leong, T.; Kolb, V.; Watkins, P.; Ajlouni, S.; Singh, T.K. Lipid oxidation volatiles absent in milk after selected ultrasound processing. Ultrason. Sonochem. 2014, 21, 2165–2175. [Google Scholar] [CrossRef]
- Jambrak, A.R.; Mason, T.J.; Lelas, V.; Herceg, Z.; Herceg, I.L. Effect of ultrasound treatment on solubility and foaming properties of whey protein suspensions. J. Food Eng. 2008, 86, 281–287. [Google Scholar] [CrossRef]
- Li, R.; Xiong, Y.L. Ultrasound-induced structural modification and thermal properties of oat protein. LWT 2021, 149, 111861. [Google Scholar] [CrossRef]
- Desphande, V.K.; Walsh, M.K. Effect of sonication on the viscosity of reconstituted skim milk powder and milk protein concentrate as influenced by solids concentration, temperature and sonication. Int. Dairy J. 2017, 78, 122–129. [Google Scholar] [CrossRef]
- Karlsson, A.O.; Ipsen, R.; Schrader, K.; Ardö, Y. Relationship Between Physical Properties of Casein Micelles and Rheology of Skim Milk Concentrate. J. Dairy Sci. 2005, 88, 3784–3797. [Google Scholar] [CrossRef]
- McCarthy, O.J.; Singh, H. Physico-chemical properties of milk. In Advanced Dairy Chemistry Volume 3: Lactose, Water, Salts and Minor Constituents, 3rd ed.; McSweeny, P.L.H., Fox, P.F., Eds.; Springer: New York, NY, USA, 2009. [Google Scholar]
- Horne, D.S. Viscosity of milk and its concentrates. In Food Colloids and Polymers: Stability and Mechanical Properties; Dickinson, E., Walstra, P., Eds.; Woodhead Publishing: Cambridge, UK, 1993; Volume 113, pp. 260–265. [Google Scholar]
- Bienvenue, A.; Jimenez-Flores, R.; Singh, H. Rheological properties of concentrated skim milk: Influence of heat treatment and genetic variants on the changes in viscosity during storage. J. Agric. Food Chem. 2003, 51, 6488–6494. [Google Scholar] [CrossRef] [PubMed]
- Sood, S.M.; Sidhu, K.S.; Dewan, R.K. Voluminosity of bovine buffalo casein micelles at different temperatures. Milchwissenschaft 1976, 31, 470–474. [Google Scholar] [CrossRef]
- Nöbel, S.; Kern, C.; Sonne, A.; Bähler, B.; Hinrichs, J. Apparent voluminosity of casein micelles in the temperature range 35–70 °C. Int. Dairy J. 2016, 59, 80–84. [Google Scholar] [CrossRef]
- Liu, D.Z.; Weeks, M.G.; Dunstan, D.E.; Martin, G.J. Temperature-dependent dynamics of bovine casein micelles in the range 10–40 °C. Food Chem. 2013, 141, 4081–4086. [Google Scholar] [CrossRef] [PubMed]
- Zisu, B.; Bhaskaracharya, R.; Kentish, S.; Ashokkumar, M. Ultrasonic processing of dairy systems in large scale reactors. Ultrason. Sonochem. 2010, 17, 1075–1081. [Google Scholar] [CrossRef]
- Li, K.; Woo, M.W.; Patel, H.; Metzger, L.; Selomulya, C. Improvement of rheological and functional properties of milk protein concentrate by hydrodynamic cavitation. J. Food Eng. 2018, 221, 106–113. [Google Scholar] [CrossRef]
- Ashokkumar, M.; Lee, J.; Zisu, B.; Bhaskarcharya, R.; Palmer, M.; Kentish, S. Hot topic: Sonication increases the heat stability of whey proteins. J. Dairy Sci. 2009, 92, 5353–5356. [Google Scholar] [CrossRef]
- Zisu, B.; Lee, J.; Chandrapala, J.; Bhaskaracharya, R.; Palmer, M.; Kentish, S.; Ashokkumar, M. Effect of ultrasound on the physical and functional properties of reconstituted whey protein powders. J. Dairy Res. 2011, 78, 226–232. [Google Scholar] [CrossRef]
- Koh, L.L.A.; Chandrapala, J.; Zisu, B.; Martin, G.J.O.; Kentish, S.E.; Ashokkumar, M. A comparison of the effectiveness of sonication, high shear mixing and homogenisation on improving the heat stability of whey protein solutions. Food Bioproc. Tech. 2014, 7, 556–566. [Google Scholar] [CrossRef]
- De Kruif, C.G.; Holt, C. Casein micelle structure, functions and interactions. In Advanced Dairy Chemistry Volume 1 Part A, 3rd ed.; Fox, P.F., McSweeney, P.L.H., Eds.; Springer: Boston, MA, USA, 2003; pp. 233–276. [Google Scholar]
- McCarthy, N.A.; Kelly, P.M.; Maher, P.G.; Fenelon, M.A. Dissolution of milk protein concentrate (MPC) powders by ultrasonication. J. Food Eng. 2014, 126, 142–148. [Google Scholar] [CrossRef]
- Chandrapala, J.; Martin, G.J.O.; Zisu, B.; Kentish, S.E.; Ashokkumar, M. The effect of ultrasound on casein micelle integrity. J. Dairy Sci. 2012, 95, 6882–6890. [Google Scholar] [CrossRef] [PubMed]
- Nguyen, N.H.A.; Anema, S.G. Effect of ultrasonication on the properties of skim milk used in the formation of acid gels. Innov. Food Sci. Emerg. Technol. 2010, 11, 616–622. [Google Scholar] [CrossRef]
- Madadlou, A.; Mousavi, M.E.; Emam-djomeh, Z.; Ehsani, M.; Sheehan, D. Sonodisruption of re-assembled casein micelles at different pH values. Ultrason. Sonochem. 2009, 16, 644–648. [Google Scholar] [CrossRef]
- Liu, Z.; Juliano, P.; Williams, R.P.W.; Niere, J.; Augustin, M.A. Ultrasound effects on the assembly of casein micelles in reconstituted skim milk. J. Dairy Res. 2014, 81, 146–155. [Google Scholar] [CrossRef]
- Snoeren, T.H.M.; Damman, A.J.; Klok, H.J. The viscosity of skim-milk concentrates. Neth. Milk. Dairy J. 1982, 36, 305–316. [Google Scholar]










| Component | % Dry Basis |
|---|---|
| Protein | 88.0 |
| Casein | 82.7 |
| Lactose | 3.0 |
| Fat | 1.2 |
| Ash | 7.7 |
| Moisture | 4.8 |
| Untreated | Supernatant Centrifugation | Suspension with Same DM as Supernatant 5 min | |||
|---|---|---|---|---|---|
| Reference | 5 min | 10 min | Untreated | Sonicated | |
| dry matter (%) | 9.44 | 8.73 | 8.34 | 8.87 | 8.73 |
| η @ 100 s−1, 23 °C (mPas) | 7.42 | 4.82 | 4.71 | 6.31 | 3.16 |
| η/ηuntreated, 9.4% DM (%) | 100 | 65 | 63 | 85 | 43 |
| η/ηuntreated, 8.9% DM (%) | - | 76 | - | 100 | 50 |
| η/ηsonicated (%) | - | 152 | - | 200 | 100 |
Disclaimer/Publisher’s Note: The statements, opinions and data contained in all publications are solely those of the individual author(s) and contributor(s) and not of MDPI and/or the editor(s). MDPI and/or the editor(s) disclaim responsibility for any injury to people or property resulting from any ideas, methods, instructions or products referred to in the content. |
© 2023 by the authors. Licensee MDPI, Basel, Switzerland. This article is an open access article distributed under the terms and conditions of the Creative Commons Attribution (CC BY) license (https://creativecommons.org/licenses/by/4.0/).
Share and Cite
Schulnies, F.; Höhme, L.; Kleinschmidt, T. Ultrasonication of Micellar Casein Concentrate to Reduce Viscosity—Role of Undissolved Material. Foods 2023, 12, 4519. https://doi.org/10.3390/foods12244519
Schulnies F, Höhme L, Kleinschmidt T. Ultrasonication of Micellar Casein Concentrate to Reduce Viscosity—Role of Undissolved Material. Foods. 2023; 12(24):4519. https://doi.org/10.3390/foods12244519
Chicago/Turabian StyleSchulnies, Frank, Lisa Höhme, and Thomas Kleinschmidt. 2023. "Ultrasonication of Micellar Casein Concentrate to Reduce Viscosity—Role of Undissolved Material" Foods 12, no. 24: 4519. https://doi.org/10.3390/foods12244519
APA StyleSchulnies, F., Höhme, L., & Kleinschmidt, T. (2023). Ultrasonication of Micellar Casein Concentrate to Reduce Viscosity—Role of Undissolved Material. Foods, 12(24), 4519. https://doi.org/10.3390/foods12244519

