Formulation of a Stable Oil-in-Water Microemulsion of Torreya grandis cv. Merrillii Aril Essential Oil and Its Application in Loquat Fruit Preservation
Abstract
1. Introduction
2. Materials and Methods
2.1. Materials and Chemicals
2.2. Preparation of TaEO-ME and Construction of the Pseudo-Ternary Phase Diagram
2.2.1. Preparation of TaEO-ME
2.2.2. Effects of Ionic Strength and pH on the Formation of TaEO-ME
2.3. Type Identification of TaEO-ME via Electrical Conductivity
2.4. Characterization of TaEO-ME with 60% and 70% Water Content
2.4.1. Differential Scanning Calorimetry (DSC) Measurement
2.4.2. Storage Stability
2.4.3. Rheological Properties
2.5. Antioxidant Activity of TaEO-ME with 60% and 70% Water Content
2.5.1. ABTS Measurement
2.5.2. DPPH Measurement
2.6. Tyrosinase Inhibitory Effect of TaEO-ME with 60% and 70% Water Content
2.7. Antibacterial Activity of TaEO-ME with 60% and 70% Water Content
2.8. The Fresh-Keeping Ability of TaEO-ME on Loquat Fruit
2.8.1. Loquat Material and Treatment
2.8.2. Determination of Quality Indicators
2.8.3. Determination of the Activities of Defense-Related Enzymes
2.9. Statistical Analysis
3. Results and Discussion
3.1. Optimization of the TaEO-ME Formulation
3.1.1. Screening of Surfactants and Co-Surfactants
3.1.2. Effect of the Surfactant/Co-Surfactant Mass Ratio (Km) on TaEO-ME Formation
3.1.3. Effect of the Surfactant/TaEO Mass Ratio (Sm) on TaEO-ME Formation
3.1.4. Effects of Ionic Strength and pH on TaEO-ME Formation
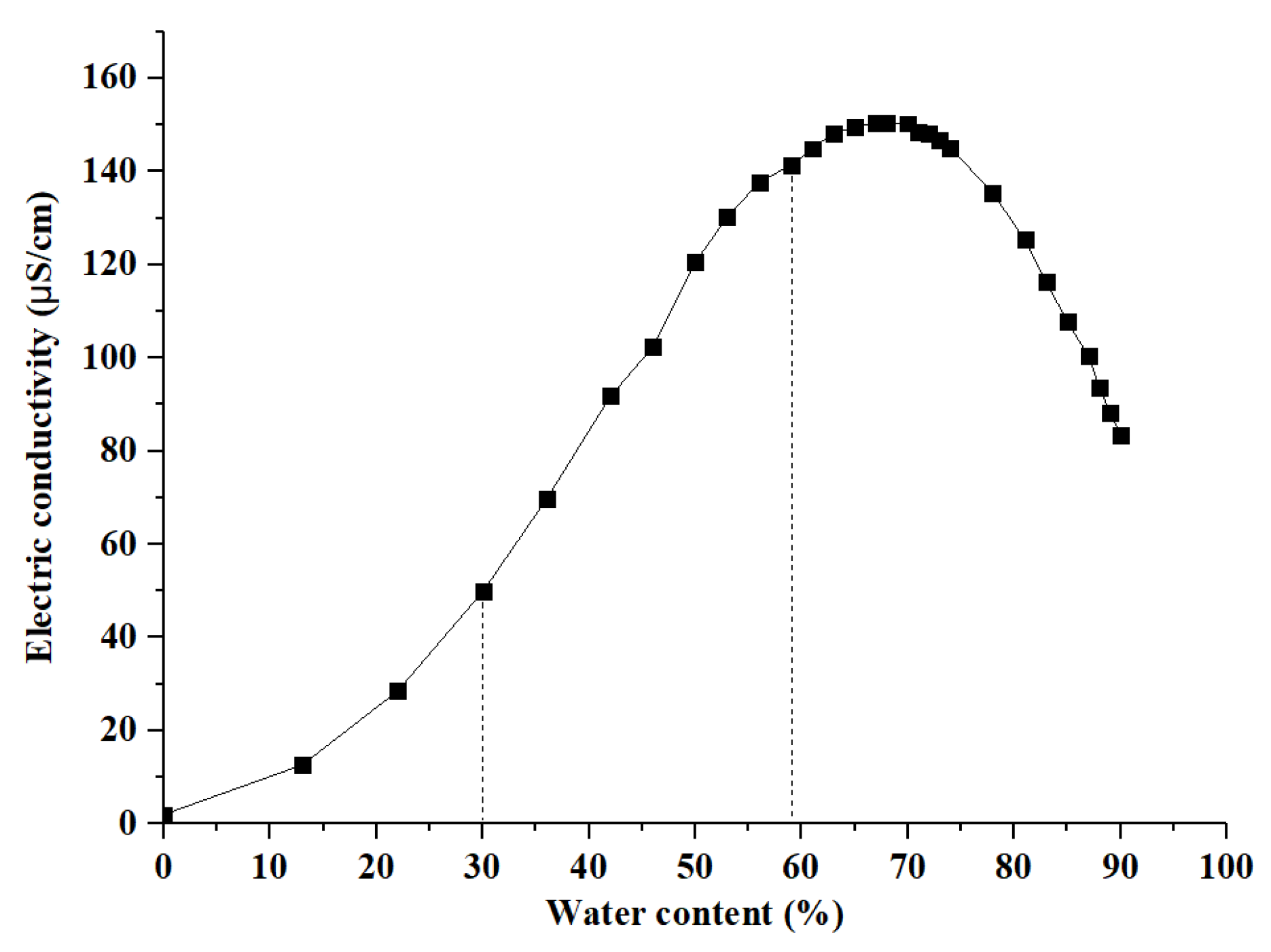
3.2. Electrical Conductivity Analysis
3.3. Characterization of TaEO-ME with 60% and 70% Water Content
3.3.1. DSC Analysis
3.3.2. Storage Stability
3.3.3. Rheological Properties
3.4. The Antioxidant Activity of Pure and Microemulsified TaEO
3.5. The Tyrosinase Inhibition Activity of Pure and Microemulsified TaEO
3.6. The Antibacterial Activity of Pure and Microemulsified TaEO
3.7. Effects of TaEO and TaEO-ME Treatment on Loquat Fruit Preservation
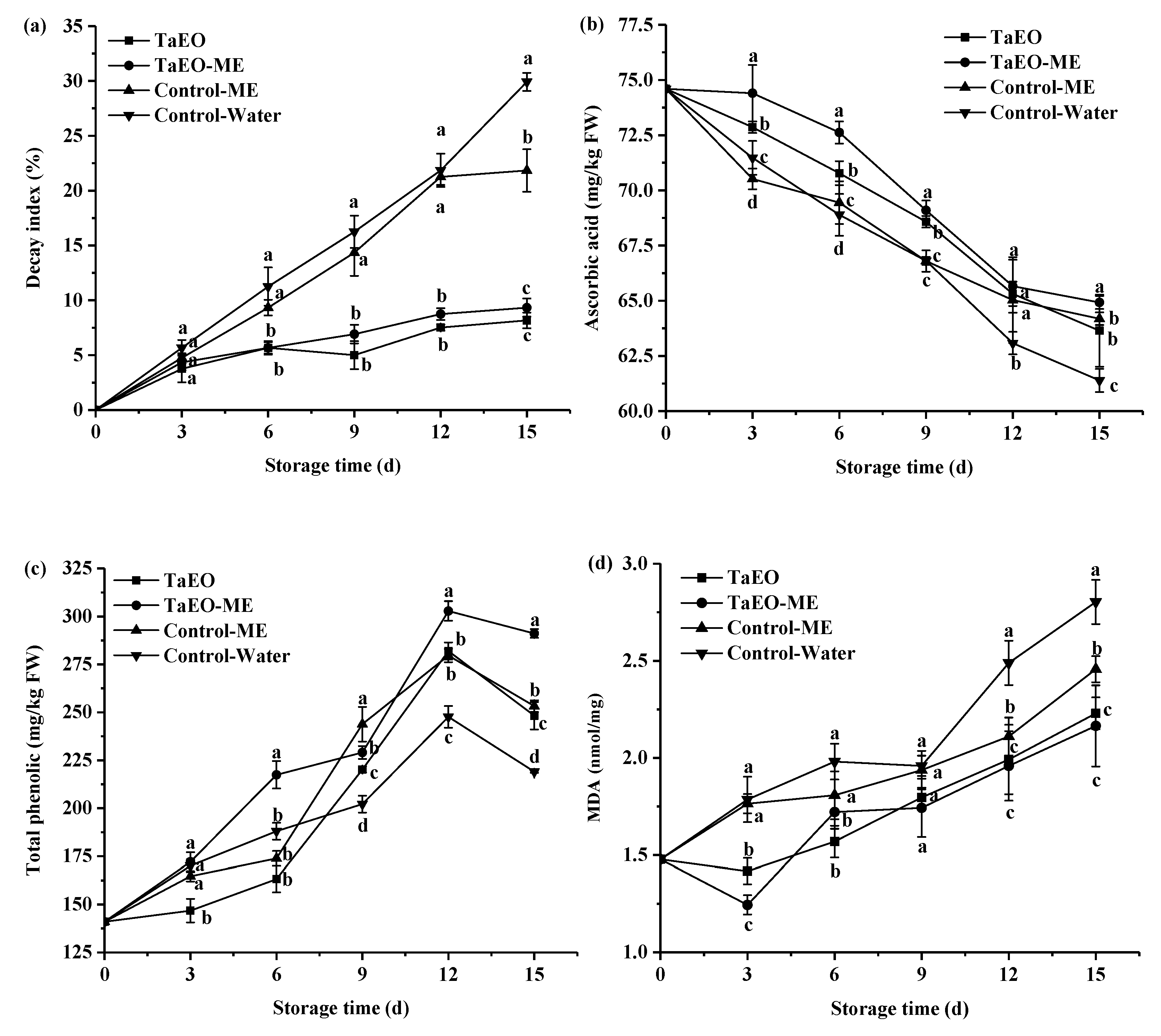
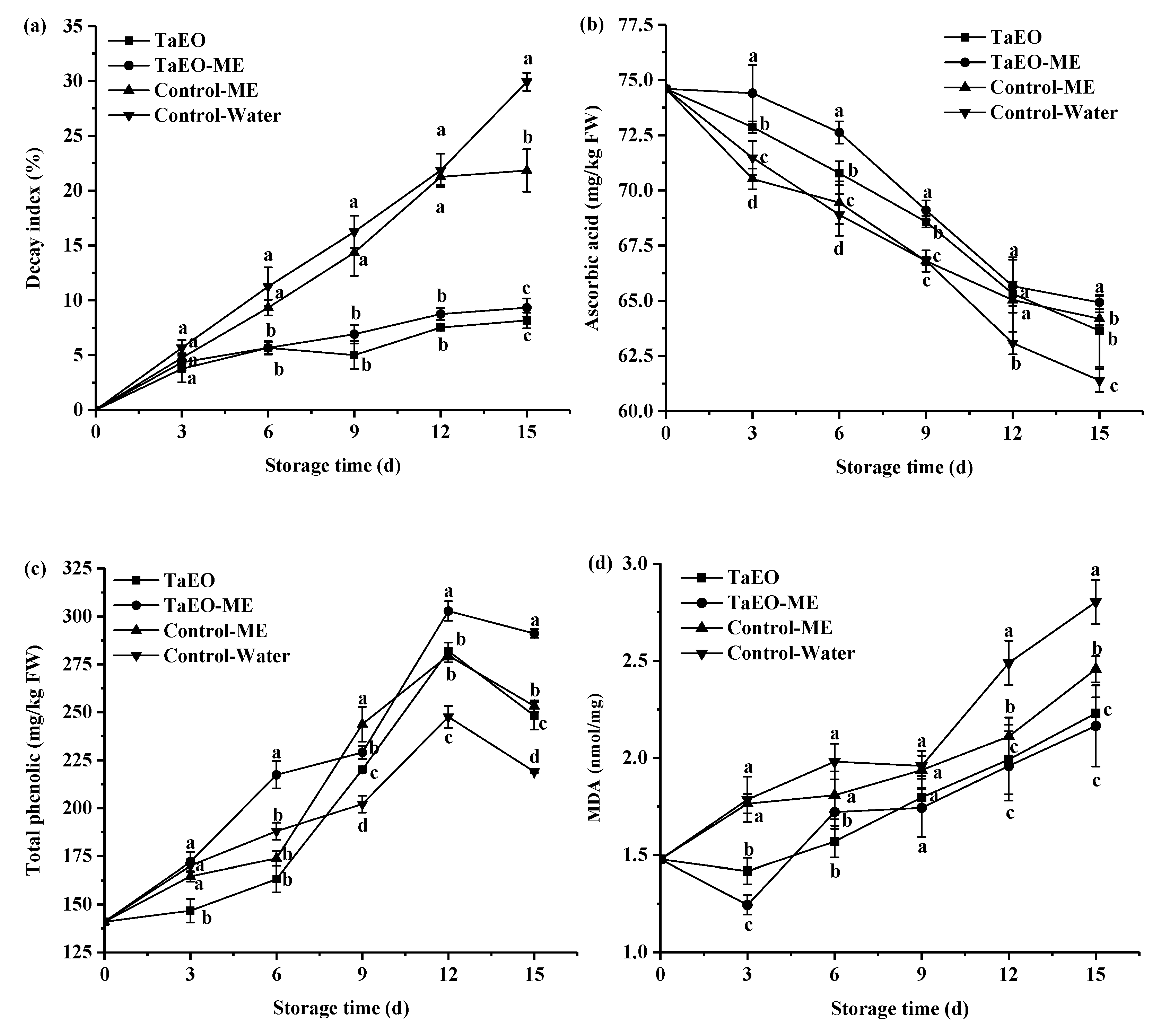
3.7.1. Decay Index, Ascorbic Acid, Total Phenolic Content, and MDA
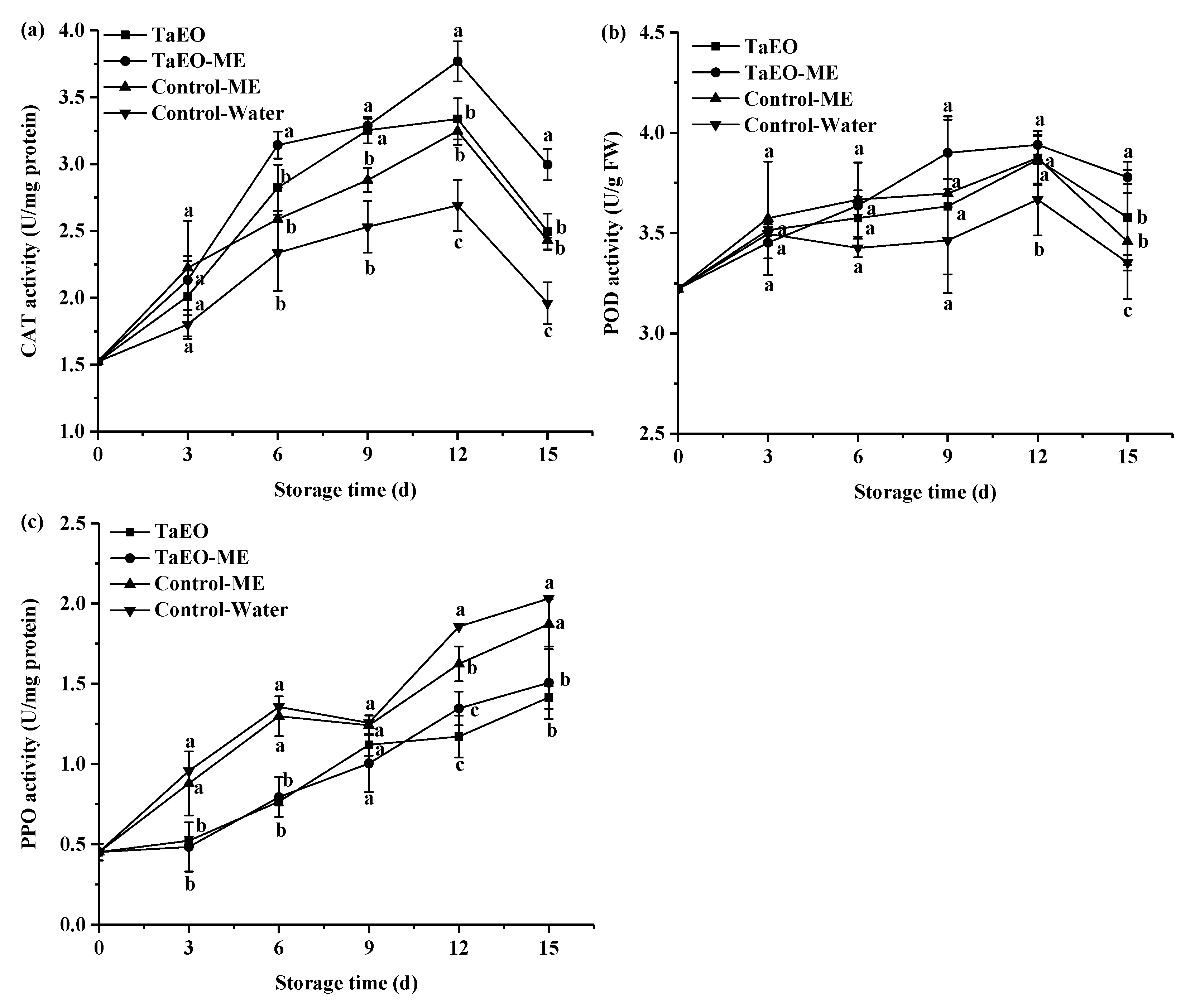
3.7.2. Activities of Defense-Related Enzymes in Loquat Fruit
4. Conclusions
Author Contributions
Funding
Data Availability Statement
Conflicts of Interest
References
- Yan, F.; Zhang, D.; Wang, X.; Liu, C.; Zhang, F. Reduction of postharvest diseases of loquat fruit by serine protease and possible mechanisms involved. Sci. Hortic. 2022, 304, 111246. [Google Scholar] [CrossRef]
- Yang, H.; Wang, L.; Li, S.; Gao, X.; Wu, N.; Zhao, Y.; Sun, W. Control of postharvest grey spot rot of loquat fruit with Metschnikowia pulcherrima E1 and potential mechanisms of action. Biol. Control 2021, 152, 104406. [Google Scholar] [CrossRef]
- Shi, H.; Wang, H.; Wang, M.; Li, X. Antioxidant activity and chemical composition of Torreya grandis cv. Merrillii seed. Nat. Prod. Commun. 2009, 4, 1565–1570. [Google Scholar] [CrossRef] [PubMed]
- Duan, F.F.; Jia, S.; Yuan, K. Antitumor effects and mechanism of 1-butanol fraction from aril of Torreya grandis in H22 mice. Pharmacogn. Mag. 2017, 13, 351. [Google Scholar] [PubMed]
- Yu, Y.J.; Ni, S.; Wu, F.; Sang, W.G. Chemical composition and antioxidant activity of essential oil from Torreya grandis cv. Merrillii arils. J. Essent. Oil Bear. Plants 2016, 19, 1170–1180. [Google Scholar] [CrossRef]
- Liu, Q.; Yuan, G.; Fu, X.; Chen, W.; Yang, J.; Chen, Z.; Wang, Z.; Zhuansun, X.; Feng, J.; Chen, Y. Preparation of peppermint oil nanoemulsions: Investigation of stability, antibacterial mechanism and apoptosis effects. Colloids Surf. B Biointerfaces 2021, 201, 111626. [Google Scholar] [CrossRef]
- Benkert, C.; Freyburger, A.; Huber, V.; Touraud, D.; Kunz, W. Development of a fully water-dilutable mint concentrate based on a food-approved microemulsion. Food Chem. 2022, 372, 131230. [Google Scholar] [CrossRef]
- Mou, L.; Du, X.; Lu, X.; Lu, G.; Li, J. Component analysis and antifungal activity of three Chinese herbal essential oils and their application of postharvest preservation of peach fruit. LWT 2021, 151, 112089. [Google Scholar] [CrossRef]
- Arellano, S.; Law, B.; Friedman, M.; Ravishankar, S. Essential oil microemulsions inactivate antibiotic-resistant Salmonella Newport and spoilage bacterium Lactobacillus casei on Iceberg lettuce during 28-day storage at 4 °C. Food Control 2021, 130, 108209. [Google Scholar] [CrossRef]
- Wang, H.; Zhang, Z.; Dong, Y.; Wang, Y. Effect of chitosan coating incorporated with Torreya grandis essential oil on the quality and physiological attributes of loquat fruit. J. Food Meas. Charact. 2022, 16, 2820–2830. [Google Scholar] [CrossRef]
- Sun, D.; Huang, S.; Cai, S.; Cao, J.; Han, P. Digestion property and synergistic effect on biological activity of purple rice (Oryza sativa L.) anthocyanins subjected to a simulated gastrointestinal digestion in vitro. Food Res. Int. 2015, 78, 114–123. [Google Scholar] [CrossRef] [PubMed]
- Baurin, N.; Arnoult, E.; Scior, T.; Do, Q.T.; Bernard, P. Preliminary screening of some tropical plants for anti-tyrosinase activity. J. Ethnopharmacol. 2002, 82, 155–158. [Google Scholar] [CrossRef] [PubMed]
- Diao, W.; Hu, Q.; Feng, S.; Li, W.; Xu, J. Chemical composition and antibacterial activity of the essential oil from green huajiao (Zanthoxylum schinifolium) against selected foodborne pathogens. J. Agric. Food Chem. 2013, 61, 6044–6049. [Google Scholar] [CrossRef] [PubMed]
- Wang, L.; Shao, S.; Madebo, M.P.; Hou, Y.; Zheng, Y.; Jin, P. Effect of nano-SiO2 packing on postharvest quality and antioxidant capacity of loquat fruit under ambient temperature storage. Food Chem. 2020, 315, 126295. [Google Scholar] [CrossRef]
- Hong, I.K.; Kim, S.I.; Lee, S.B. Effects of HLB value on oil-in-water emulsions: Droplet size, rheological behavior, zeta-potential, and creaming index. J. Ind. Eng. Chem. 2018, 67, 123–131. [Google Scholar] [CrossRef]
- Osmanbegovic, N.; Chandgude, V.; Bankar, S.; Louhi-Kultanen, M. 1-Butanol separation from aqueous acetone-butanol-ethanol (ABE) solutions by freeze concentration. Cryst. Growth Des. 2023, 23, 4147–4153. [Google Scholar] [CrossRef]
- Cho, Y.H.; Kim, S.; Bae, E.K.; Mok, C.K.; Park, J. Formulation of a cosurfactant-free o/w microemulsion using nonionic surfactant mixtures. J. Food Sci. 2008, 73, E115–E121. [Google Scholar] [CrossRef]
- Djekic, L.; Primorac, M. The influence of cosurfactants and oils on the formation of pharmaceutical microemulsions based on PEG-8 caprylic/capric glycerides. Int. J. Pharm. 2008, 352, 231–239. [Google Scholar] [CrossRef]
- Okonogi, S.; Chaiyana, W. Enhancement of anti-cholinesterase activity of Zingiber cassumunar essential oil using a microemulsion technique. Drug Discov. Ther. 2012, 6, 249–255. [Google Scholar] [CrossRef][Green Version]
- Cortés, N.M.; Lorenzo, G.; Califano, A.N. Food grade microemulsion systems: Sunflower oil/castor oil derivative-ethanol/water. Rheological and physicochemical analysis. Food Res. Int. 2018, 107, 41–47. [Google Scholar] [CrossRef]
- Song, X.; Wang, J.; Li, S.; Wang, Y. Formation of sacha inchi oil microemulsion systems: Effects of non-ionic surfactants, short-chain alcohols, straight-chain esters and essential oils. J. Sci. Food Agric. 2022, 102, 3572–3580. [Google Scholar] [CrossRef]
- Song, Q.; Guan, W.; Liu, W.; Liu, L.; Wei, C.; Cai, L. Preparation and physicochemical stability of tomato seed oil microemulsions. J. Food Sci. 2021, 86, 5385–5396. [Google Scholar] [CrossRef]
- Chaari, M.; Theochari, I.; Papadimitriou, V.; Xenakis, A.; Ammar, E. Encapsulation of carotenoids extracted from halophilic Archaea in oil-in-water (O/W) micro-and nano-emulsions. Colloids Surf. B Biointerfaces 2018, 161, 219–227. [Google Scholar] [CrossRef]
- Bortnowska, G. Multilayer oil-in-water emulsions: Formation, characteristics and application as the carriers for lipophilic bioactive food components-a review. Pol. J. Food Nutr. Sci. 2015, 65, 157–166. [Google Scholar] [CrossRef]
- Senatra, D.; Gambi, C.M.C.; Carlà, M.; Chittofrati, A. Thermal behaviour of perfluoropolyether W/O percolative microemulsions. J. Therm. Anal. Calorim. 1999, 56, 1335–1346. [Google Scholar] [CrossRef]
- Abbasi, S.; Scanlon, M.G. Microemulsion: A novel alternative technique for edible oil extraction_a mechanistic viewpoint. Crit. Rev. Food Sci. Nutr. 2022, 1–22. [Google Scholar] [CrossRef]
- Yazgan, H.; Ozogul, Y.; Kuley, E. Antimicrobial influence of nanoemulsified lemon essential oil and pure lemon essential oil on food-borne pathogens and fish spoilage bacteria. Int. J. Food Microbiol. 2019, 306, 108266. [Google Scholar] [CrossRef] [PubMed]
- Song, X.; Wang, L.; Li, S.; Ye, L.; Wang, Y. Evaluation of phase behavior, microstructure transition and antiradical activity of lavender essential oil-based microemulsions. J. Dispers. Sci. Technol. 2019, 40, 1360–1367. [Google Scholar] [CrossRef]
- Kumar, A.; Saw, R.K.; Mandal, A. RSM optimization of oil-in-water microemulsion stabilized by synthesized zwitterionic surfactant and its properties evaluation for application in enhanced oil recovery. Chem. Eng. Res. Des. 2019, 147, 399–411. [Google Scholar] [CrossRef]
- John, A.C.; Rakshiti, A.K. Formation of microemulsion: Effect of temperature and polyacrylamide. J. Colloid Interface Sci. 1993, 156, 202–206. [Google Scholar] [CrossRef]
- Tang, X.; He, Z.; Dai, Y.; Xiong, Y.L.; Xie, M.; Chen, J. Peptide fractionation and free radical scavenging activity of zein hydrolysate. J. Agric. Food Chem. 2010, 58, 587–593. [Google Scholar] [CrossRef]
- Li, Y.; Wang, C.; Tao, Z.; Zhao, Z.; You, L.; Zheng, R.; Guo, X.; Zhang, Z. Enhanced antioxidant and antiproliferative activities of Cymbopogon citratus (DC.) Stapf essential oils in microemulsion. ACS Sustain. Chem. Eng. 2019, 7, 15173–15181. [Google Scholar] [CrossRef]
- Kiokias, S.; Varzakas, T. Innovative applications of food-related emulsions. Crit. Rev. Food Sci. Nutr. 2017, 57, 3165–3172. [Google Scholar] [CrossRef] [PubMed]
- Hamed, S.F.; Sadek, Z.; Edris, A. Antioxidant and antimicrobial activities of clove bud essential oil and eugenol nanoparticles in alcohol-free microemulsion. J. Oleo Sci. 2012, 61, 641–648. [Google Scholar] [CrossRef]
- Sieniawska, E.; Świątek, Ł.; Wota, M.; Rajtar, B.; Polz-Dacewicz, M. Microemulsions of essentials oils–Increase of solubility and antioxidant activity or cytotoxicity? Food Chem. Toxicol. 2019, 129, 115–124. [Google Scholar] [CrossRef]
- Chang, T.S. An updated review of tyrosinase inhibitors. Int. J. Mol. Sci. 2009, 10, 2440–2475. [Google Scholar] [CrossRef] [PubMed]
- Feng, T.; Hu, Z.; Song, S.; Yao, L.; Sun, M.; Zhu, X.; Lu, J. The antioxidant and tyrosinase inhibition properties of essential oil from the peel of Chinese Torreya grandis Fort. RSC Adv. 2019, 9, 42360–42366. [Google Scholar] [CrossRef]
- Hu, J.; Li, X.; Liu, X.H.; Zhang, W.P. Inhibitory effect of lemon essential oil on mushroom tyrosinase activity in vitro. Mod. Food Sci. Technol. 2015, 31, 97–105. [Google Scholar]
- Kumar, K.S.; Vani, M.G.; Wu, P.C.; Lee, H.J.; Tseng, Y.H.; Wang, S.Y. Essential oils of Alpinia nantoensis retard forskolin-induced melanogenesis via ERK1/2-mediated proteasomal degradation of MITF. Plants 2020, 9, 1672. [Google Scholar] [CrossRef]
- Zheng, Z.P.; Dong, X.; Yuan, K.; Lan, S.; Zhu, Q.; Wang, M.; Chen, J. Preparation, characterization, and preliminary antibrowning evaluations of norartocarpetin microemulsions. J. Agric. Food Chem. 2015, 63, 1615–1621. [Google Scholar] [CrossRef]
- de Sá, A.Á.M.; dos Santos, E.W.P.; Santana, M.H.D.S.; Santos, A.D.J.; de Araujo, G.R.S.; Santana, D.G.; Arguelho, M.P.; e Silva, A.M.O.; Correa, C.B.; Nunes, R.S.; et al. Evaluation of the incorporation of essential oils in microemulsions as a promising formulation in the inhibition of tyrosinase. Ind. Crops Prod. 2020, 154, 112654. [Google Scholar] [CrossRef]
- Giatrakou, V.; Ntzimani, A.; Savvaidis, I.N. Effect of chitosan and thyme oil on a ready to cook chicken product. Food Microbiol. 2010, 27, 132–136. [Google Scholar] [CrossRef] [PubMed]
- Tanhaeian, A.; Sekhavati, M.H.; Moghaddam, M. Antimicrobial activity of some plant essential oils and an antimicrobial-peptide against some clinically isolated pathogens. Chem. Biol. Technol. Agric. 2020, 7, 13. [Google Scholar] [CrossRef]
- Ma, Q.; Davidson, P.M.; Zhong, Q. Antimicrobial properties of microemulsions formulated with essential oils, soybean oil, and Tween 80. Int. J. Food Microbiol. 2016, 226, 20–25. [Google Scholar] [CrossRef]
- Almasi, L.; Radi, M.; Amiri, S.; McClements, D.J. Fabrication and characterization of antimicrobial biopolymer films containing essential oil-loaded microemulsions or nanoemulsions. Food Hydrocoll. 2021, 117, 106733. [Google Scholar] [CrossRef]
- Gaysinsky, S.; Davidson, P.M.; Bruce, B.D.; Weiss, J. Growth inhibition of Escherichia coli O157:H7 and Listeria monocytogenes by carvacrol and eugenol encapsulated in surfactant micelles. J. Food Protect. 2005, 68, 2559–2566. [Google Scholar] [CrossRef] [PubMed]
- Zhang, H.; Shen, Y.; Weng, P.; Zhao, G.; Feng, F.; Zheng, X. Antimicrobial activity of a food-grade fully dilutable microemulsion against Escherichia coli and Staphylococcus aureus. Int. J. Food Microbiol. 2009, 135, 211–215. [Google Scholar] [CrossRef] [PubMed]
- Almasi, L.; Radi, M.; Amiri, S.; Torri, L. Fully dilutable Thymus vulgaris essential oil: Acetic or propionic acid microemulsions are potent fruit disinfecting solutions. Food Chem. 2021, 343, 128411. [Google Scholar] [CrossRef]
- Xu, Y.; Cai, Z.; Ba, L.; Qin, Y.; Su, X.; Luo, D.; Shan, W.; Kuang, J.; Lu, W.; Li, L.; et al. Maintenance of postharvest quality and reactive oxygen species homeostasis of pitaya fruit by essential oil p-anisaldehyde treatment. Foods 2021, 10, 2434. [Google Scholar] [CrossRef]
- Xylia, P.; Chrysargyris, A.; Shahwar, D.; Ahmed, Z.F.; Tzortzakis, N. Application of rosemary and eucalyptus essential oils on the preservation of cucumber fruit. Horticulturae 2022, 8, 774. [Google Scholar] [CrossRef]
- Xu, H.; Li, X.; Chen, J. Comparison of phenolic compound contents and antioxidant capacities of loquat (Eriobotrya japonica Lindl.) fruits. Food Sci. Biotechnol. 2014, 23, 2013–2020. [Google Scholar] [CrossRef]
- Taheri, A.; Behnamian, M.; Dezhsetan, S.; Karimirad, R. Shelf life extension of bell pepper by application of chitosan nanoparticles containing Heracleum persicum fruit essential oil. Postharvest Biol. Technol. 2020, 170, 111313. [Google Scholar] [CrossRef]
- Yu, K.; Xu, J.; Zhou, L.; Zou, L.; Liu, W. Effect of chitosan coatings with cinnamon essential oil on postharvest quality of mangoes. Foods 2021, 10, 3003. [Google Scholar] [CrossRef] [PubMed]
- Jahani, R.; Behnamian, M.; Dezhsetan, S.; Karimirad, R.; Chamani, E. Chitosan nano-biopolymer/Citrus paradisi peel oil delivery system enhanced shelf-life and postharvest quality of cherry tomato. Int. J. Biol. Macromol. 2023, 225, 1212–1223. [Google Scholar] [CrossRef]
- Shah, H.M.S.; Khan, A.S.; Ali, S. Pre-storage kojic acid application delays pericarp browning and maintains antioxidant activities of litchi fruit. Postharvest Biol. Technol. 2017, 132, 154–161. [Google Scholar] [CrossRef]
- Zhang, W.; Pan, Y.; Jiang, Y.; Zhang, Z. Advances in control technologies and mechanisms to treat peel browning in postharvest fruit. Sci. Hortic. 2023, 311, 111798. [Google Scholar] [CrossRef]
- Lee, J.H.; Kasote, D.M.; Jayaprakasha, G.K.; Avila, C.A.; Crosby, K.M.; Patil, B.S. Effect of production system and inhibitory potential of aroma volatiles on polyphenol oxidase and peroxidase activity in tomatoes. J. Sci. Food Agric. 2021, 101, 307–314. [Google Scholar] [CrossRef]











| Sm | Particle Size (nm) | PDI | ζ-Potential (mV) |
|---|---|---|---|
| 4:1 | 143.90 ± 2.34 a | 0.79 ± 0.01 b | −0.04 ± 0.08 a |
| 5:1 | 109.83 ± 1.33 b | 1.00 ± 0 a | −1.04 ± 0.16 b |
| 6:1 | 13.00 ± 0.032 c | 0.26 ± 0 c | −6.35 ± 1.77 c |
| 7:1 | 12.38 ± 0.13 c | 0.24 ± 0.02 c | −6.61 ± 2.15 c |
| 8:1 | 11.67 ± 0.32 c | 0.19 ± 0.03 c | −7.26 ± 3.03 c |
| 9:1 | 11.36 ± 0.13 c | 0.19 ± 0.02 c | −6.67 ± 0.61 c |
| Storage Time (d) | Water Content | Particle Size (nm) | PDI | ζ-Potential (mV) |
|---|---|---|---|---|
| 0 | 60% TaEO-ME | 11.36 ± 0.21 a | 0.20 ± 0.02 b | −0.21 ± 0.05 a |
| 70% TaEO-ME | 11.15 ± 0.10 a | 0.24 ± 0.01 a | −0.45 ± 0.24 a | |
| 180 | 60% TaEO-ME | 11.73 ± 0.41 a | 0.15 ± 0.02 b | −1.50 ± 0.85 b |
| 70% TaEO-ME | 11.33 ± 0.11 a | 0.22 ± 0.02 a | −1.72 ± 0.19 b |
| Pathogens Tested | Inhibition Zone Diameter (mm) |
|---|---|
| Staphylococcus aureus (G+) | 14.73 ± 0.62 |
| Listeria monocytogenes (G+) | 13.13 ± 0.58 |
| Shigella castellani (G−) | 16.97 ± 0.54 |
| Salmonella typhimurium (G−) | 13.51 ± 0.27 |
| Escherichia coli (G−) | 12.76 ± 0.26 |
| Inhibition Zone Diameter (mm) | |||||
|---|---|---|---|---|---|
| Pathogens Tested | Mixed Surfactants | 60% TaEO-ME | 70% TaEO-ME | 60% TaEO | 70% TaEO |
| Staphylococcus aureus (G+) | ND | 11.34 ± 0.25 a | 10.62 ± 0.56 b | 9.17 ± 0.06 c | 8.61 ± 0.31 d |
| Listeria monocytogenes (G+) | ND | 11.99 ± 0.37 a | 10.72 ± 0.64 b | 8.10 ± 0.04 c | 8.06 ± 0.01 c |
| Shigella castellani (G−) | ND | 14.09 ± 1.04 a | 11.78 ± 0.10 b | 9.25 ± 0.49 c | 8.05 ± 0.01 d |
| Salmonella typhimurium (G−) | ND | 12.52 ± 2.67 a | 11.20 ± 1.51 b | 8.17 ± 0.06 c | 8.11 ± 0.01 c |
| Escherichia coli (G−) | ND | 10.74 ± 0.82 a | 8.97 ± 0.49 b | 8.06 ± 0.01 c | 8.04 ± 0.11 c |
Disclaimer/Publisher’s Note: The statements, opinions and data contained in all publications are solely those of the individual author(s) and contributor(s) and not of MDPI and/or the editor(s). MDPI and/or the editor(s) disclaim responsibility for any injury to people or property resulting from any ideas, methods, instructions or products referred to in the content. |
© 2023 by the authors. Licensee MDPI, Basel, Switzerland. This article is an open access article distributed under the terms and conditions of the Creative Commons Attribution (CC BY) license (https://creativecommons.org/licenses/by/4.0/).
Share and Cite
Wang, H.; Zheng, Y.; Tang, X.; Zhang, T. Formulation of a Stable Oil-in-Water Microemulsion of Torreya grandis cv. Merrillii Aril Essential Oil and Its Application in Loquat Fruit Preservation. Foods 2023, 12, 4005. https://doi.org/10.3390/foods12214005
Wang H, Zheng Y, Tang X, Zhang T. Formulation of a Stable Oil-in-Water Microemulsion of Torreya grandis cv. Merrillii Aril Essential Oil and Its Application in Loquat Fruit Preservation. Foods. 2023; 12(21):4005. https://doi.org/10.3390/foods12214005
Chicago/Turabian StyleWang, He, Yue Zheng, Xinyue Tang, and Ting Zhang. 2023. "Formulation of a Stable Oil-in-Water Microemulsion of Torreya grandis cv. Merrillii Aril Essential Oil and Its Application in Loquat Fruit Preservation" Foods 12, no. 21: 4005. https://doi.org/10.3390/foods12214005
APA StyleWang, H., Zheng, Y., Tang, X., & Zhang, T. (2023). Formulation of a Stable Oil-in-Water Microemulsion of Torreya grandis cv. Merrillii Aril Essential Oil and Its Application in Loquat Fruit Preservation. Foods, 12(21), 4005. https://doi.org/10.3390/foods12214005
