Hydrogen-Rich Water Treatment of Fresh-Cut Kiwifruit with Slightly Acidic Electrolytic Water: Influence on Antioxidant Metabolism and Cell Wall Stability
Abstract
1. Introduction
2. Materials and Methods
2.1. Preparation of SAEW and HRW
2.2. Materials and Processing
2.3. Quantification of ROS Antioxidant Metabolism
2.3.1. Determination of O2•− and H2O2 Contents
2.3.2. Determination of SOD, CAT, POD, APX Activities
2.4. Cell Wall Antioxidant Metabolism
2.4.1. Texture Analysis
2.4.2. Determination of Pectin, Cellulose, and Hemicellulose Contents
2.4.3. Determination of Activity of Cell Wall-Degrading Enzymes (PG, PME, PL, Cx, and β-Gal)
2.5. Statistics
3. Results
3.1. Changes in the O2•− and H2O2 Contents of Fresh-Cut Kiwifruit by Different Treatments
3.2. Changes in SOD, CAT, POD, and APX Activities after Different Treatments
3.3. Changes in the Hardness, Elasticity, and Chewability
3.4. Changes in the Contents of Pectin, Soluble Pectin, Cellulose and Hemicellulose
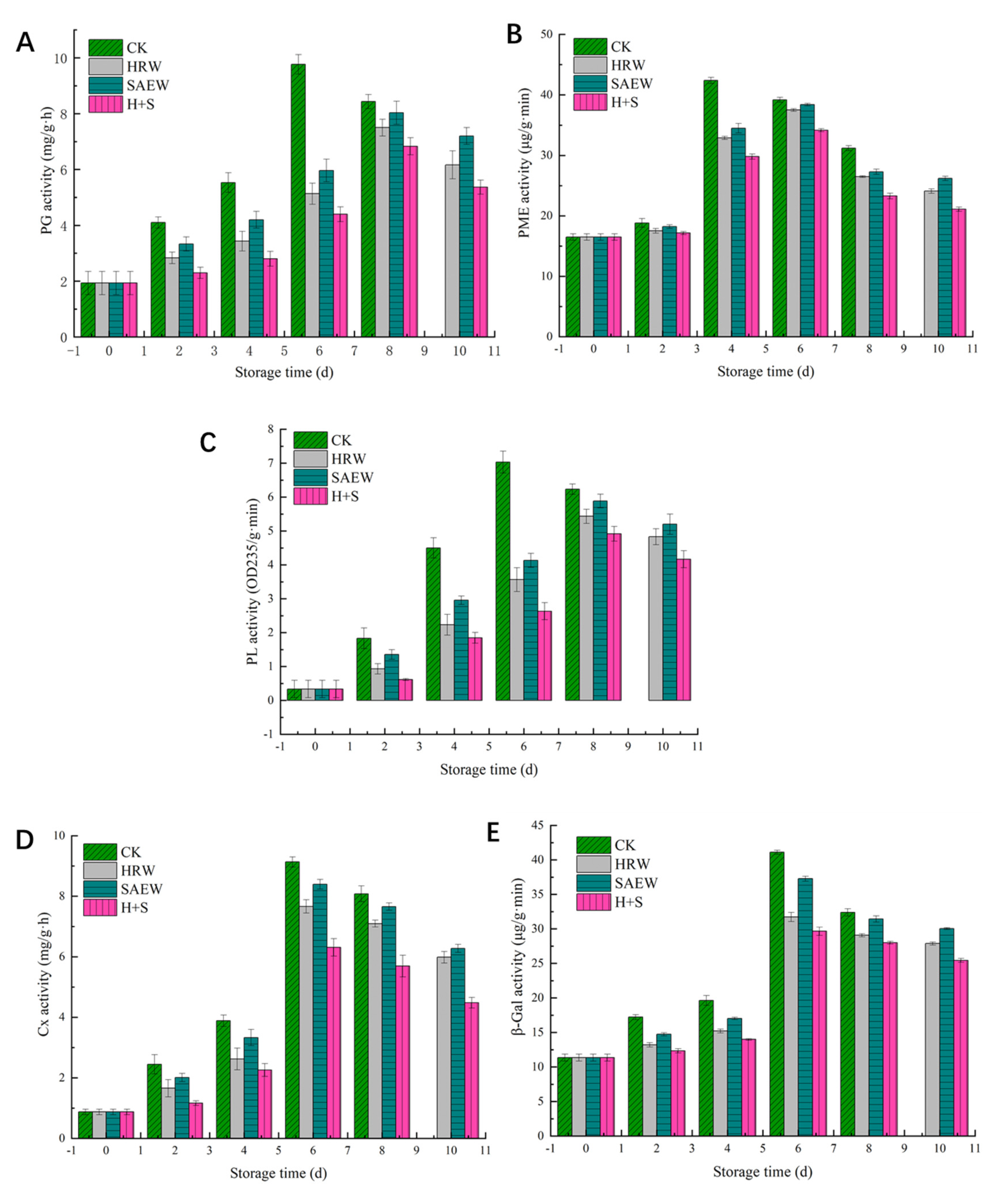
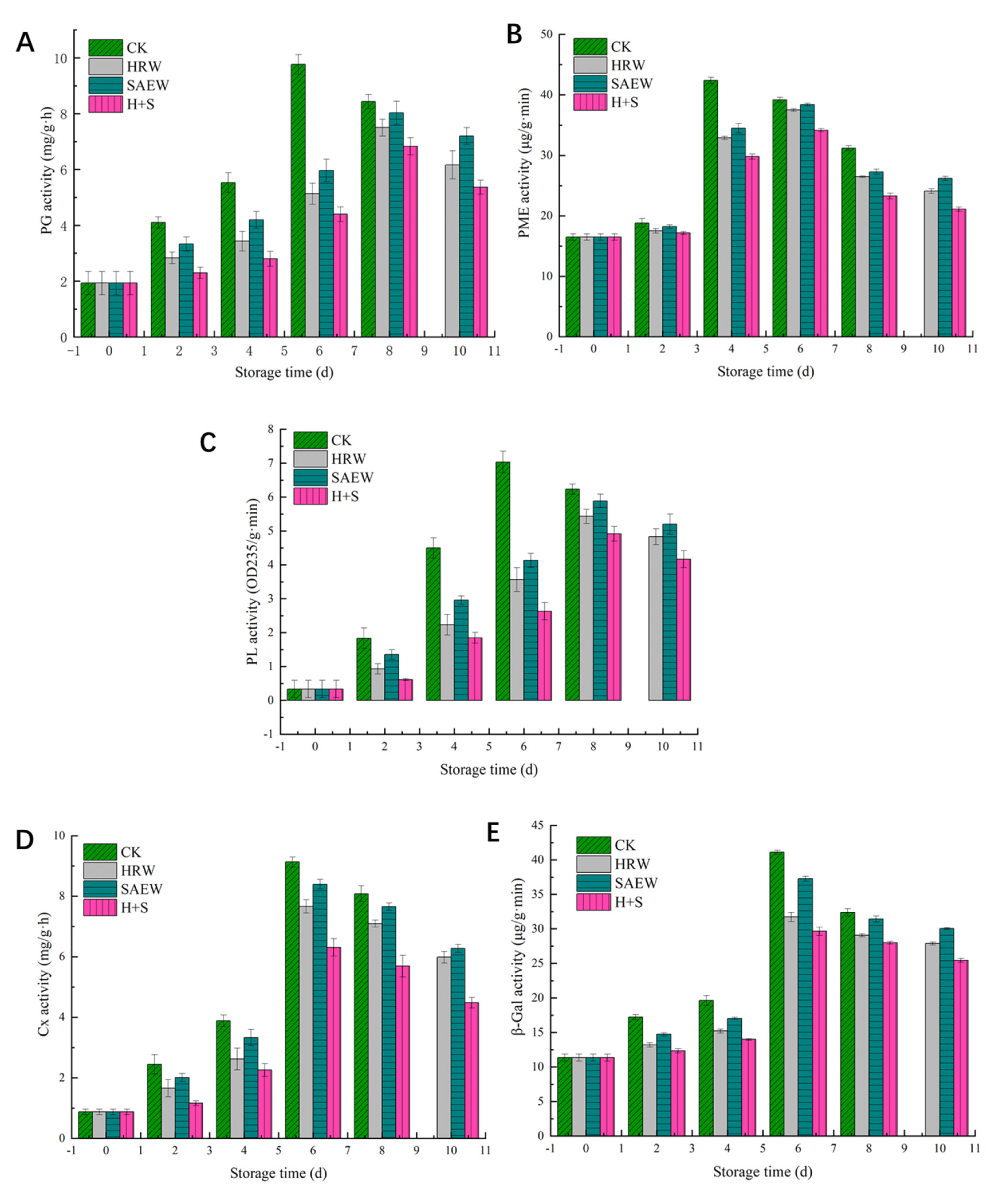
3.5. Effects of Different Treatments on PG, PME, PL, and Cx and β-Gal Activity
4. Discussion
5. Conclusions
- (1)
- Compared with the CK group, the H+S treatment significantly (p < 0.05) reduced the content of free radicals (O2•− and H2O2) in fresh-cut kiwifruit during storage, increased the activities of the ROS scavenging enzymes, SOD, CAT, POD, and APX, and improved the antioxidant capacity of fruit.
- (2)
- During storage, the firmness and chewability of fresh-cut kiwifruit decreased continuously, and the protopectin and cellulose were degraded. Compared with the CK group, the H+S treatment significantly increased (p < 0.05) the content of protopectin, cellulose, and hemicellulose in fresh-cut kiwifruit during storage, inhibited the increased rate of soluble pectin, delayed the decomposition of cell-wall substances, and maintained the integrity of the fruit cell wall.
- (3)
- The decline in fruit firmness is related to the activity of cell wall-degrading enzymes. The H+S treatment reduced the PG, PME, PL, Cx, and β-Gal enzyme activity, and inhibited the degradation of pectin, cellulose, and hemicellulose, which are the main components of the cell wall so that the softening of fresh-cut kiwifruit tissues was delayed.
Author Contributions
Funding
Institutional Review Board Statement
Informed Consent Statement
Data Availability Statement
Acknowledgments
Conflicts of Interest
References
- Richardson, D.P.; Ansell, J.; Drummond, L.N. The nutritional and health attributes of kiwifruit: A review. Eur. J. Nutr. 2018, 57, 2659–2676. [Google Scholar] [CrossRef] [PubMed]
- Curutchet, A.; Dellacassa, E.; Ringuelet, J.A.; Chaves, A.R.; Viña, S. Nutritional and sensory quality during refrigerated storage of fresh-cut mints (Mentha × piperita and M. spicata). Food Chem. 2014, 143, 231–238. [Google Scholar] [CrossRef] [PubMed]
- Carbone, K.; Macchioni, V.; Petrella, G.; Cicero, D.O.; Micheli, L. Humulus lupulus Cone Extract Efficacy in Alginate-Based Edible Coatings on the Quality and Nutraceutical Traits of Fresh-Cut Kiwifruit. Antioxidants 2021, 10, 1395. [Google Scholar] [CrossRef] [PubMed]
- Chen, M.; Cui, W.; Zhu, K.; Xie, Y.; Zhang, C.; Shen, W. Hydrogen-rich water alleviates aluminum-induced inhibition of root elongation in alfalfa via decreasing nitric oxide production. J. Hazard. Mater. 2014, 267, 40–47. [Google Scholar] [CrossRef] [PubMed]
- Guan, Q.; Ding, X.-W.; Jiang, R.; Ouyang, P.-L.; Gui, J.; Feng, L.; Yang, L.; Song, L.-H. Effects of hydrogen-rich water on the nutrient composition and antioxidative characteristics of sprouted black barley. Food Chem. 2019, 299, 125095. [Google Scholar] [CrossRef]
- Chen, H.; Zhang, J.; Hao, H.; Feng, Z.; Chen, M.; Wang, H.; Ye, M. Hydrogen-rich water increases postharvest quality by enhancing antioxidant capacity in Hypsizygus marmoreus. AMB Express 2017, 7, 221. [Google Scholar] [CrossRef]
- Ni, L.; Zheng, W.; Zhang, Q.; Cao, W.; Li, B. Application of slightly acidic electrolyzed water for decontamination of stainless steel surfaces in animal transport vehicles. Prev. Veter. Med. 2016, 133, 42–51. [Google Scholar] [CrossRef]
- Cao, W.; Zhu, Z.W.; Shi, Z.X.; Wang, C.Y.; Li, B.M. Efficiency of slightly acidic electrolyzed water for inactivation of Salmonella enteritidis and its contaminated shell eggs. Int. J. Food Microbiol. 2009, 130, 88–93. [Google Scholar] [CrossRef]
- Li, X.; Yue, H.; Xu, S.; Tian, J.; Zhao, Y.; Xu, J. The effect of electrolyzed water on fresh-cut eggplant in storage period. LWT 2020, 123, 109080. [Google Scholar] [CrossRef]
- Xuan, X.-T.; Ding, T.; Li, J.; Ahn, J.-H.; Zhao, Y.; Chen, S.-G.; Ye, X.-Q.; Liu, D.-H. Estimation of growth parameters of Listeria monocytogenes after sublethal heat and slightly acidic electrolyzed water (SAEW) treatment. Food Control 2017, 71, 17–25. [Google Scholar] [CrossRef]
- Issa-Zacharia, A.; Kamitani, Y.; Tiisekwa, A.; Morita, K.; Iwasaki, K. In vitro inactivation of Escherichia coli, Staphylococcus aureus and Salmonella spp. using slightly acidic electrolyzed water. J. Biosci. Bioeng. 2010, 110, 308–313. [Google Scholar] [CrossRef]
- Ding, T.; Ge, Z.; Shi, J.; Xu, Y.-T.; Jones, C.L.; Liu, D.-H. Impact of slightly acidic electrolyzed water (SAEW) and ultrasound on microbial loads and quality of fresh fruits. LWT 2015, 60, 1195–1199. [Google Scholar] [CrossRef]
- Zhang, C.; Lu, Z.; Li, Y.; Shang, Y.; Zhang, G.; Cao, W. Reduction of Escherichia coli O157:H7 and Salmonella enteritidis on mung bean seeds and sprouts by slightly acidic electrolyzed water. Food Control 2011, 22, 792–796. [Google Scholar] [CrossRef]
- Zhang, C.; Zhang, Y.; Zhao, Z.; Liu, W.; Chen, Y.; Yang, G.; Xia, X.; Cao, Y. The application of slightly acidic electrolyzed water in pea sprout production to ensure food safety, biological and nutritional quality of the sprout. Food Control 2019, 104, 83–90. [Google Scholar] [CrossRef]
- Tomás-Callejas, A.; Martínez-Hernández, G.B.; Artés, F.; Artés-Hernández, F. Neutral and acidic electrolyzed water as emergent sanitizers for fresh-cut mizuna baby leaves. Postharvest Biol. Technol. 2011, 59, 298–306. [Google Scholar] [CrossRef]
- Yan, W.; Zhang, Y.; Yang, R.; Zhao, W. Combined effect of slightly acidic electrolyzed water and ascorbic acid to improve quality of whole chilled freshwater prawn (Macrobrachium rosenbergii). Food Control 2020, 108, 106820. [Google Scholar] [CrossRef]
- Liao, X.; Xiang, Q.; Cullen, P.J.; Su, Y.; Chen, S.; Ye, X.; Liu, D.; Ding, T. Plasma-activated water (PAW) and slightly acidic electrolyzed water (SAEW) as beef thawing media for enhancing microbiological safety. LWT 2019, 117, 108649. [Google Scholar] [CrossRef]
- Cheng, R.; Li, W.; Wang, Y.; Cheng, F.; Wu, H.; Sun, Y. Low voltage electrostatic field treatment of fresh-cut pineapples with slightly acidic electrolytic water: Influence on physicochemical changes and membrane stability. Sci. Hortic. 2023, 308, 111602. [Google Scholar] [CrossRef]
- Lohani, S.; Trivedi, P.K.; Nath, P. Changes in activities of cell wall hydrolases during ethylene-induced ripening in banana: Effect of 1-MCP, ABA and IAA. Postharvest Biol. Technol. 2004, 31, 119–126. [Google Scholar] [CrossRef]
- Bangar, S.P.; Trif, M.; Ozogul, F.; Kumar, M.; Chaudhary, V.; Vukic, M.; Tomar, M.; Changan, S. Recent developments in cold plasma-based enzyme activity (browning, cell wall degradation, and antioxidant) in fruits and vegetables. Compr. Rev. Food Sci. Food Saf. 2022, 21, 1958–1978. [Google Scholar] [CrossRef]
- Dissanayake, I.H.; Zak, V.; Kaur, K.; Jaye, K.; Ayati, Z.; Chang, D.; Li, C.G.; Bhuyan, D.J. Australian native fruits and vegetables: Chemical composition, nutritional profile, bioactivity and potential valorization by industries. Crit. Rev. Food Sci. Nutr. 2022, 1–34. [Google Scholar] [CrossRef] [PubMed]
- Xu, F.; Liu, S. Control of Postharvest Quality in Blueberry Fruit by Combined 1-Methylcyclopropene (1-MCP) and UV-C Irradiation. Food Bioprocess Technol. 2017, 10, 1695–1703. [Google Scholar] [CrossRef]
- Xu, F.; Liu, S.; Liu, Y.; Xu, J.; Liu, T.; Dong, S. Effectiveness of lysozyme coatings and 1-MCP treatments on storage and preservation of kiwifruit. Food Chem. 2019, 288, 201–207. [Google Scholar] [CrossRef] [PubMed]
- Cui, W.; Gao, C.; Fang, P.; Lin, G.; Shen, W. Alleviation of cadmium toxicity in Medicago sativa by hydrogen-rich water. J. Hazard. Mater. 2013, 260, 715–724. [Google Scholar] [CrossRef] [PubMed]
- Ohsawa, I.; Ishikawa, M.; Takahashi, K.; Watanabe, M.; Nishimaki, K.; Yamagata, K.; Katsura, K.-I.; Katayama, Y.; Asoh, S.; Ohta, S. Hydrogen acts as a therapeutic antioxidant by selectively reducing cytotoxic oxygen radicals. Nat. Med. 2007, 13, 688–694. [Google Scholar] [CrossRef]
- Hu, X.; Chen, Y.; Wu, X.; Liu, W.; Jing, X.; Liu, Y.; Yan, J.; Liu, S.; Qin, W. Combination of calcium lactate impregnation with UV-C irradiation maintains quality and improves antioxidant capacity of fresh-cut kiwifruit slices. Food Chem. X 2022, 14, 100329. [Google Scholar] [CrossRef]
- Su, N.; Wu, Q.; Liu, Y.; Cai, J.; Shen, W.; Xia, K.; Cui, J. Hydrogen-Rich Water Reestablishes ROS Homeostasis but Exerts Differential Effects on Anthocyanin Synthesis in Two Varieties of Radish Sprouts under UV-A Irradiation. J. Agric. Food Chem. 2014, 62, 6454–6462. [Google Scholar] [CrossRef]
- Langer, S.E.; Marina, M.; Francese, P.; Civello, P.M.; Martínez, G.A.; Villarreal, N.M. New insights into the cell wall preservation by 1-methylcyclopropene treatment in harvest-ripe strawberry fruit. Sci. Hortic. 2022, 299, 111032. [Google Scholar] [CrossRef]
- Huang, J.; Wu, W.; Fang, X.; Chen, H.; Han, Y.; Niu, B.; Gao, H. Zizania latifolia Cell Wall Polysaccharide Metabolism and Changes of Related Enzyme Activities during Postharvest Storage. Foods 2022, 11, 392. [Google Scholar] [CrossRef]
- Zhao, X.; Meng, X.; Li, W.; Cheng, R.; Wu, H.; Liu, P.; Ma, M. Effect of hydrogen-rich water and slightly acidic electrolyzed water treatments on storage and preservation of fresh-cut kiwifruit. J. Food Meas. Charact. 2021, 15, 5203–5210. [Google Scholar] [CrossRef]
- Ma, Q.; Cong, Y.; Wang, J.; Liu, C.; Feng, L.; Chen, K. Pre-harvest treatment of kiwifruit trees with mixed culture fermentation broth of Trichoderma pseudokoningii and Rhizopus nigricans prolonged the shelf life and improved the quality of fruit. Postharvest Biol. Technol. 2020, 162, 111099. [Google Scholar] [CrossRef]




| Storage Time (d) | H+S | HRW | SAEW | Control | |
|---|---|---|---|---|---|
| Hardness (N) | 0 | 9.21 ± 0.28 a | 9.21 ± 0.28 a | 9.21 ± 0.28 a | 9.21 ± 0.28 a |
| 2 | 8.21 ± 0.32 d | 7.94 ± 0.25 c | 7.02 ± 0.31 b | 6.31 ± 0.15 a | |
| 4 | 7.72 ± 0.24 d | 7.14 ± 0.15 c | 6.20 ± 0.13 b | 5.67 ± 0.15 a | |
| 6 | 6.91 ± 0.18 c | 6.10 ± 0.47 b | 4.54 ± 0.28 a | 3.98 ± 0.10 a | |
| 8 | 5.12 ± 0.19 c | 4.12 ± 0.32 b | 2.65 ± 0.11 a | 2.32 ± 0.12 a | |
| 10 | 3.89 ± 0.22 c | 3.32 ± 0.16 b | 2.33 ± 0.17 a | ||
| Elasticity | 0 | 0.7 ± 0.03 a | 0.7 ± 0.03 a | 0.7 ± 0.03 a | 0.7 ± 0.03 a |
| 2 | 0.69 ± 0.07 a | 0.65 ± 0.05 a | 0.66 ± 0.03 a | 0.66 ± 0.06 a | |
| 4 | 0.67 ± 0.01 a | 0.66 ± 0.09 a | 0.67 ± 0.02 a | 0.66 ± 0.03 a | |
| 6 | 0.65 ± 0.07 a | 0.64 ± 0.01 a | 0.64 ± 0.04 a | 0.62 ± 0.02 a | |
| 8 | 0.64 ± 0.03 a | 0.62 ± 0.03 a | 0.63 ± 0.02 a | 0.61 ± 0.01 a | |
| 10 | |||||
| Chewiness (N) | 0 | 9.78 ± 0.55 a | 9.78 ± 0.55 a | 9.78 ± 0.55 a | 9.78 ± 0.55 a |
| 2 | 9.31 ± 0.56 c | 8.99 ± 0.56 b | 8.43 ± 0.38 a | 8.12 ± 0.47 a | |
| 4 | 7.89 ± 0.47 c | 7.46 ± 0.61 b | 7.20 ± 0.31 b | 6.21 ± 0.44 a | |
| 6 | 7.46 ± 0.39 d | 6.99 ± 0.22 c | 6.41 ± 0.34 b | 5.89 ± 0.36 a | |
| 8 | 7.21 ± 0.33 c | 6.45 ± 0.38 b | 5.58 ± 0.51 a | 5.21 ± 0.37 a | |
| 10 | 6.89 ± 0.24 b | 5.69 ± 0.25 a | 5.45 ± 0.22 a |
Disclaimer/Publisher’s Note: The statements, opinions and data contained in all publications are solely those of the individual author(s) and contributor(s) and not of MDPI and/or the editor(s). MDPI and/or the editor(s) disclaim responsibility for any injury to people or property resulting from any ideas, methods, instructions or products referred to in the content. |
© 2023 by the authors. Licensee MDPI, Basel, Switzerland. This article is an open access article distributed under the terms and conditions of the Creative Commons Attribution (CC BY) license (https://creativecommons.org/licenses/by/4.0/).
Share and Cite
Sun, Y.; Qiu, W.; Fang, X.; Zhao, X.; Xu, X.; Li, W. Hydrogen-Rich Water Treatment of Fresh-Cut Kiwifruit with Slightly Acidic Electrolytic Water: Influence on Antioxidant Metabolism and Cell Wall Stability. Foods 2023, 12, 426. https://doi.org/10.3390/foods12020426
Sun Y, Qiu W, Fang X, Zhao X, Xu X, Li W. Hydrogen-Rich Water Treatment of Fresh-Cut Kiwifruit with Slightly Acidic Electrolytic Water: Influence on Antioxidant Metabolism and Cell Wall Stability. Foods. 2023; 12(2):426. https://doi.org/10.3390/foods12020426
Chicago/Turabian StyleSun, Yanan, Weiyu Qiu, Xiaoqi Fang, Xiaomei Zhao, Xingfeng Xu, and Wenxiang Li. 2023. "Hydrogen-Rich Water Treatment of Fresh-Cut Kiwifruit with Slightly Acidic Electrolytic Water: Influence on Antioxidant Metabolism and Cell Wall Stability" Foods 12, no. 2: 426. https://doi.org/10.3390/foods12020426
APA StyleSun, Y., Qiu, W., Fang, X., Zhao, X., Xu, X., & Li, W. (2023). Hydrogen-Rich Water Treatment of Fresh-Cut Kiwifruit with Slightly Acidic Electrolytic Water: Influence on Antioxidant Metabolism and Cell Wall Stability. Foods, 12(2), 426. https://doi.org/10.3390/foods12020426
