Sign in to use this feature.

Years

Between: -

Subjects

remove_circle_outline
remove_circle_outline
remove_circle_outline
remove_circle_outline
remove_circle_outline

Journals

Article Types

Countries / Regions

Search Results (35)

Search Parameters:
Keywords = SAEW

Order results
Result details
Results per page
Select all
Export citation of selected articles as:
12 pages, 1208 KB  
Article
Application of Microbubbles Combining with Disinfectants to Inactivate Salmonella Typhimurium on Alfalfa Seeds and the Effects on Sprouting
by Chih-Yao Hou, Shih-Kao Chou, Jong-Shinn Wu, Hsiu-Ling Chen, Pei-Wen Zhang, Chih-Tung Liu, Chun-Ping Hsiao and Chia-Min Lin
Seeds 2025, 4(4), 51; https://doi.org/10.3390/seeds4040051 - 24 Oct 2025
Viewed by 689
Abstract
Microbial contamination is the main safety concern of sprouts and seeds are the major source. High concentrations of sanitizers (>10,000 mg/kg) are recommended for effective sanitation. Microbubble (MB) was reported to elevate sanitizer efficacy. Hence, MBs combined with disinfectants, chlorine dioxide (ClO2 [...] Read more.
Microbial contamination is the main safety concern of sprouts and seeds are the major source. High concentrations of sanitizers (>10,000 mg/kg) are recommended for effective sanitation. Microbubble (MB) was reported to elevate sanitizer efficacy. Hence, MBs combined with disinfectants, chlorine dioxide (ClO2, 500 ppm), and slightly acidic electrolyzed water (SAEW, 250 ppm), were used to inactivate Salmonella Typhimurium on alfalfa seeds. After fulfilling MBs for 10 min, alfalfa seeds were washed in 10 L of water for 10, 20, or 30 min. Compared with untreated seeds, S. Typhimurium reductions obtained by SAEW-MBs (SMBs) and ClO2-MBs (CMBs) for 20 min were 3.8 and 3.3 log CFU/g, respectively. Conversely, the 20 min treatments of SAEW and ClO2 only obtained reductions of 0.9 and 1.1 log CFU/g, respectively. More surface ruptures on the seeds treated with CMBs were observed under a scanning electron microscope compared with the ones treated by water and ClO2 only. No adverse effects on the seed germination rate and the weight yield of sprouts were observed when treated with CMBs for 20 min. An MB device with capacity of 100 L was assembled and achieved reductions of 3.9 and 3.2 log CFU/g of natural microbes and S. Typhimurium, respectively, after 20 min CMB washing. Additionally, an MB device at 250 L was assembled and achieved 3.0 log CFU/g reduction in natural microbes. This study demonstrated that MBs enhanced the efficacy of disinfectants and could be applied in industrial-scale operations. Full article
Show Figures

Graphical abstract

20 pages, 4401 KB  
Article
Effect of Slightly Acidic Electrolyzed Water Combined with Nano-Bubble Sterilization on Quality of Larimichthys crocea During Refrigerated Storage
by Jiehui Zhong, Hongjin Deng, Na Lin, Mengyao Zheng, Junjie Wu, Quanyou Guo and Saikun Pan
Foods 2025, 14(15), 2754; https://doi.org/10.3390/foods14152754 - 7 Aug 2025
Viewed by 1250
Abstract
The large yellow croaker (Larimichthys crocea) is susceptible to microbial contamination during storage due to its high protein and moisture contents. This study was designed to find a new way to reduce bacteria in large yellow croakers by combining slightly acidic [...] Read more.
The large yellow croaker (Larimichthys crocea) is susceptible to microbial contamination during storage due to its high protein and moisture contents. This study was designed to find a new way to reduce bacteria in large yellow croakers by combining slightly acidic electrolyzed water (SAEW) with nano-bubble (NB) technology. Exploring the effects of available chlorine concentration (ACC), processing time, and water temperature on the bacteria reduction effect of the SAEW-NB treatment for large yellow croakers. Also, the effects of the SAEW-NB combined treatment on sensory evaluation, total viable counts (TVCs), total volatile basic nitrogen (TVB-N), texture, taste profile, and volatile flavor compounds of large yellow croakers were analyzed during the storage period at 4 °C. The results show that the SAEW-NB treatment achieved significantly enhanced microbial reduction compared to individual treatments. Under the conditions of a 4 °C water temperature, 40 mg/L ACC, and 15 min treatment, the SAEW-NB treatment inhibited the increases in physical and chemical indexes such as TVC and TVB-N, maintained the fish texture, and delayed the production of off-flavor volatiles such as aldehydes, alcohols, esters, and ketones, compared with the control group (CG) during storage at 4 °C. In conclusion, the SAEW-NB treatment could better retard fish spoilage, extending the shelf life by approximately 2 days. It might be a promising new industrial approach for large yellow croakers’ storage. Full article
(This article belongs to the Special Issue Innovative Muscle Foods Preservation and Packaging Technologies)
Show Figures

Figure 1

14 pages, 5364 KB  
Article
Study on the Microbial Inactivation and Quality Assurance of Ultrasonic-Assisted Slightly Acidic Electrolyzed Water for Mirror Carp (Cyprinus carpio L.) Fillets During Refrigerated Storage
by Qiang Zhong, Xiufang Xia and Fangfei Li
Foods 2025, 14(15), 2652; https://doi.org/10.3390/foods14152652 - 29 Jul 2025
Cited by 1 | Viewed by 1323
Abstract
The advancement of non-thermal disinfection technologies represents a critical pathway for ensuring food safety, meeting environmental sustainability requirements, and meeting consumer preferences for clean-label products. This study systematically evaluated the combined preservation effect of ultrasonic-assisted slightly acidic electrolyzed water (US+SAEW) on mirror carp [...] Read more.
The advancement of non-thermal disinfection technologies represents a critical pathway for ensuring food safety, meeting environmental sustainability requirements, and meeting consumer preferences for clean-label products. This study systematically evaluated the combined preservation effect of ultrasonic-assisted slightly acidic electrolyzed water (US+SAEW) on mirror carp fillets during refrigeration. Results demonstrated that US+SAEW exhibited superior antimicrobial efficacy compared to individual US or SAEW, achieving reductions of 0.73, 0.74, and 0.79 log CFU/g in total viable counts (TVC), Aeromonas bacteria, and lactic acid bacteria counts compared to the control, respectively. Furthermore, the combined intervention significantly suppressed microbial proliferation throughout the refrigeration period while simultaneously delaying protein and lipid degradation/oxidation induced by spoilage bacteria, thereby inhibiting the formation of alkaline nitrogenous compounds. Consequently, lower levels of pH, total volatile basic nitrogen (TVB-N), protein carbonyl, and thiobarbituric acid reactive substances (TBARS) were observed in US+SAEW compared to the other treatments. Multimodal characterization through low-field nuclear magnetic resonance (LF-NMR), texture, and color analysis confirmed that US+SAEW effectively preserved quality characteristics, extending the shelf life of mirror carp fillets by four days. This study provides a novel non-thermal preservation strategy that combines microbial safety maintenance with quality retention, offering particular advantages for thermolabile food. Full article
(This article belongs to the Special Issue Innovative Muscle Foods Preservation and Packaging Technologies)
Show Figures

Figure 1

20 pages, 2519 KB  
Article
Slightly Acidic Electrolyzed Water Improves the Postharvest Quality of Litchi Fruit by Regulating the Phenylpropane Pathway
by Xuanjing Jiang, Xiangzhi Lin, Yuzhao Lin, Yazhen Chen, Yihui Chen and Hongbin Chen
Horticulturae 2025, 11(7), 751; https://doi.org/10.3390/horticulturae11070751 - 1 Jul 2025
Cited by 1 | Viewed by 1395
Abstract
The market value of litchi fruit is declining quickly due to its susceptibility to disease and rapid pericarp browning. Slightly acidic electrolyzed water (SAEW) treatment is recognized as a safe disinfection technology that not only preserves the quality of postharvest produce, but also [...] Read more.
The market value of litchi fruit is declining quickly due to its susceptibility to disease and rapid pericarp browning. Slightly acidic electrolyzed water (SAEW) treatment is recognized as a safe disinfection technology that not only preserves the quality of postharvest produce, but also enhances disease resistance. This study assessed the efficacy of SAEW in preserving litchi fruit and boosting its resistance to disease. Litchi fruit underwent treatment with SAEW at various available chlorine concentrations (ACC) (10, 25, 50, and 75 mg/L) and subsequently stored at 25 °C for a duration of six days. The results revealed that SAEW with an ACC of 25 mg/L markedly improved the postharvest quality of litchi fruits, reduced disease incidence, and enhanced the appearance of the pericarp and nutrient levels in the arils. Additionally, this treatment enhanced the levels of disease resistance-related compounds, including lignin, flavonoids, and total phenolics, in the pericarp of litchis during the later storage stages (p < 0.05). Furthermore, in the final three days of storage, there were also noticeable increases (p < 0.01) in the activities of pericarp disease resistance enzymes (DREs), such as phenylalanine ammonialyase, cinnamate-4-hydroxylase, 4-coumarate CoA ligase, cinnamyl alcohol dehydrogenase, peroxidase, polyphenol oxidase, chitinase, and β-1,3-glucanase. Based on these results, it was concluded that SAEW triggered DRE activities and increased the accumulation of disease resistance-related compounds by regulating the phenylpropane pathway to suppress disease development, and elevated the storage quality of harvested litchi fruit. Consequently, SAEW has proven to be an effective and safe method for enhancing the storability of litchi fruit. Full article
Show Figures

Figure 1

11 pages, 1190 KB  
Article
Effects of pH and Available Chlorine Concentration of Slightly Acidic Electrolyzed Water on Rice Seed Germination and GABA Accumulation
by Tiangang Hou, Fangming Cui, Hongguang Cui, Cuihong Liu, Mingjin Xin and Liyan Wu
Agriculture 2025, 15(13), 1327; https://doi.org/10.3390/agriculture15131327 - 20 Jun 2025
Cited by 1 | Viewed by 1355
Abstract
Previous studies have demonstrated that slightly acidic electrolyzed water (SAEW) treatment can enhance rice seed growth and promote the accumulation of γ-aminobutyric acid (GABA), a bioactive compound. However, the underlying mechanisms remain unexplored. This study systematically investigated the effects of pH and available [...] Read more.
Previous studies have demonstrated that slightly acidic electrolyzed water (SAEW) treatment can enhance rice seed growth and promote the accumulation of γ-aminobutyric acid (GABA), a bioactive compound. However, the underlying mechanisms remain unexplored. This study systematically investigated the effects of pH and available chlorine concentration (ACC) of SAEW on rice seed germination and GABA biosynthesis. The changing trends were monitored within 7 days. The results revealed that the treatment group with moderate pH (S2, pH 5.74 ± 0.04) showed significantly higher GABA accumulation (71.27 ± 0.45 mg/100 g) compared with S1 (pH 5.04 ± 0.03) and S3 (pH 6.38 ± 0.04) (p < 0.05). Furthermore, a positive correlation was observed between ACC levels and GABA accumulation, suggesting that ACC plays a crucial regulatory role in rice seed germination. These findings were further substantiated by monitoring the enzymatic activity of glutamate decarboxylase (GAD) throughout the germination process. Notably, while higher ACCs negatively impacted rice seed growth, pH variations within the tested range showed no adverse effects on seed development. The results show that optimal SAEW parameters, considering both pH and ACC, should be carefully determined for practical applications in rice seed production. Full article
(This article belongs to the Section Seed Science and Technology)
Show Figures

Figure 1

16 pages, 6075 KB  
Article
Combination of Slightly Acidic Electrolyzed Water and Hydrogel to Enhance Stability, Increase Antibacterial Efficacy, and Promote Infectious Wound Healing
by Nanxin Li, Chao Li, Dongbo Li, Awn Abbas, Xingyu Chen, Xiaoyang Ai, Wei Zhang, Gang Shu, Juchun Lin, Haohuan Li, Funeng Xu, Guangneng Peng and Hualin Fu
Int. J. Mol. Sci. 2025, 26(12), 5908; https://doi.org/10.3390/ijms26125908 - 19 Jun 2025
Cited by 2 | Viewed by 1630
Abstract
Wound infections remain significant challenges for current tissue adhesives, primarily due to their poor adhesion in moist environments, slow bonding, cytotoxicity, and limited antibacterial properties. Slightly acidic electrolyzed water (SAEW), a potent disinfectant, suffers from limited stability due to chlorine loss. This study [...] Read more.
Wound infections remain significant challenges for current tissue adhesives, primarily due to their poor adhesion in moist environments, slow bonding, cytotoxicity, and limited antibacterial properties. Slightly acidic electrolyzed water (SAEW), a potent disinfectant, suffers from limited stability due to chlorine loss. This study developed a novel SAEW-based hydrogel (SAEW-gel) by combining SAEW with chitosan and β-glycerol disodium phosphate to improve its stability and therapeutic potential. SAEW-gel demonstrated high water absorption, long-term water retention, and enhanced antibacterial activity against S. aureus and E. coli compared to SAEW alone. It maintained germicidal efficacy after prolonged storage and significantly accelerated wound healing in a rat model, achieving a 95.41% healing rate by the 12th day of treatment. Mechanistically, SAEW-gel reduced inflammatory cell infiltration, promoted granulation and collagen formation, and regulated inflammatory markers (IL-6, IL-1β, TNF-α, MPO, HYP). These findings highlight SAEW-gel as a promising biomaterial for treating infectious wounds and support its potential for future clinical application. Full article
Show Figures

Graphical abstract

17 pages, 5514 KB  
Article
Research on Aseptic Milk Extraction Technology and Mechanism of Slightly Acidic Electrolytic Water Coupled with Ultrasound Treatment
by Ye Liu, Qinggang Xie, Dongying Cui, Jiaqi Ren, Wanyu Zhao and Xiaoxi Xu
Foods 2025, 14(10), 1711; https://doi.org/10.3390/foods14101711 - 12 May 2025
Viewed by 1293
Abstract
The use of low-temperature antibacterial technology is a processing method designed to preserve the biological activity of milk to the greatest extent. Traditional feeding and milking practices result in high levels of microbiological contamination of raw milk after extraction, mainly from cows and [...] Read more.
The use of low-temperature antibacterial technology is a processing method designed to preserve the biological activity of milk to the greatest extent. Traditional feeding and milking practices result in high levels of microbiological contamination of raw milk after extraction, mainly from cows and milking equipment, especially rubber cups. Ultrasonic treatment combined with antimicrobial agents combine cleaning and antibacterial technology, compared with traditional cleaning methods, more efficiently and in a environmentally friendly way. In this study, the technique was demonstrated to significantly reduce the total amount of bacteria in raw milk through simulation experiments on the surface of milking cups. It was shown that ultrasound-coupled slightly electrolytic water has a good potential for application in reducing bacterial contamination in the milk extraction process on farms. We investigated the synergistic mechanism of ultrasound (US) and slightly acidic electrolytic water (SAEW) and verified the bactericidal effect of milking cups. A 20 s treatment of milking cups with US (100 W) and SAEW (90 mg/L) led to an antibacterial rate of over 90%. The bactericidal mechanism causes fragmentation of the cell membrane of pathogenic bacteria, exudation of their intracellular contents such as nucleic acids and proteins, and increases in ROS. Full article
(This article belongs to the Section Food Engineering and Technology)
Show Figures

Figure 1

12 pages, 4788 KB  
Article
Combined Effect of Low-Temperature Stress and Slightly Acidic Electrolyzed Water (SAEW) on the Microbial Control of Oat Sprout Production
by Shaokang Liu, Hongrui Ren, Lin Chen, Tongjiao Wu and Jianxiong Hao
Foods 2025, 14(7), 1083; https://doi.org/10.3390/foods14071083 - 21 Mar 2025
Viewed by 826
Abstract
Sprouts have many advantages, such as high nutritional value and simple cultivation conditions. In recent years, the loss rate of sprouts due to microbial contamination has been as high as 40%, and it is necessary to strengthen microbial control technology to reduce such [...] Read more.
Sprouts have many advantages, such as high nutritional value and simple cultivation conditions. In recent years, the loss rate of sprouts due to microbial contamination has been as high as 40%, and it is necessary to strengthen microbial control technology to reduce such losses. Current microbial control methods have issues such as a narrow bactericidal spectrum and high cost and contamination, whereas slightly acidic electrolyzed water (SAEW), as a new type of disinfectant, can solve these problems. In the present study, the efficacy of SAEW treatments in the disinfection of oat sprouts during germination and washing was evaluated at 25 °C and 4 °C compared to a TW control group. The results showed that compared to the TW control group, the Escherichia coli detection rates were significantly decreased by 2.32, 4.44 and 5.55 log10 CFU/g after soaking, undergoing germination for 60 h and washing with SAEW at 4 °C. This indicated that the 4 °C + SAEW treatment had a favorable bactericidal effect on the whole process of oat sprout washing. This result was demonstrated by scanning electron microscopy (SEM). In addition, for natural colony counts in oat sprouts, the 4 °C + SAEW treatment also showed strong bactericidal ability. Therefore, the application of SAEW combined with low temperature stress treatment in sprout production and processing has high potential. Full article
(This article belongs to the Section Food Physics and (Bio)Chemistry)
Show Figures

Figure 1

14 pages, 1839 KB  
Article
Synergistic Bactericidal Efficiency of Slightly Acidic Electrolyzed Water–High-Pressure Parallel Processing on Escherichia coli in Freshly Cut Gastrodia elata Slices
by Qing Gao, Xin Nong, Tuanjian Lang, Yajin Liu, Shuxin Ye and Jinsong He
Foods 2025, 14(5), 790; https://doi.org/10.3390/foods14050790 - 25 Feb 2025
Viewed by 1528
Abstract
The synergistic enhancement of bactericidal efficiencies on freshly cut Gastrodia elata slices by parallel processing using slightly acidic electrolyzed water (SAEW) and high-pressure (HP) technology was comprehensively investigated in this study. To this end, appropriate experimental conditions were determined through single-factor tests, which [...] Read more.
The synergistic enhancement of bactericidal efficiencies on freshly cut Gastrodia elata slices by parallel processing using slightly acidic electrolyzed water (SAEW) and high-pressure (HP) technology was comprehensively investigated in this study. To this end, appropriate experimental conditions were determined through single-factor tests, which were ACCs (available chlorine concentrations) of 30, 38, and 49 mg/L; pressures of 100, 150, and 200 MPa; treatment times of 5, 7.5, and 10 min; and material-to-liquid ratios of 1:1, 1:3, and 1:5. Under these conditions, single and parallel bactericidal tests were conducted, and the corresponding synergistic enhancement values ΔI were calculated. Subsequently, using the lethal rate of Escherichia coli (E. coli) as the response value, we fitted multiple quadratic regression equations for SAEW, HP, and SAEW–HP with respect to ACC, pressure, pressure application time, and material-to-liquid ratio. The multiple quadratic regression equation for the synergistic enhancement term ΔI was then obtained through calculation. By analyzing this equation, the synergistic enhancement range was determined. Finally, experimental points were randomly selected within the synergistic enhancement range for validation. The results demonstrate that there was a synergistic bactericidal efficiency of the SAEW–HP parallel treatment of freshly cut G. elata slices. The synergistic enhancement range was pressure (xp) ∈ [52.18, 359.58] MPa; concentration of available chlorine (xc) ∈ [28.71, 46.27] mg/L; time (xt) ∈ [2.34, 12.38] min; and the material-to-solvent ratio (xr) ∈ ø g/mL. The validation experiments confirmed that within the respective ranges of p, c, and t, the SAEW–HP parallel treatment of freshly cut G. elata slices exhibited a ‘1 + 1 > 2’ synergistic enhancement effect. These findings lay a theoretical foundation for the development of green bactericidal technologies for “adopting both minimum processing and dosage to achieve the optimal effect”. Full article
(This article belongs to the Section Food Microbiology)
Show Figures

Figure 1

19 pages, 4105 KB  
Article
Storage Quality Improvement of Duck Breast Meat: Role of Ultrasound-Assisted Slightly Acidic Electrolyzed Water
by Anqi Xu, Siyi Zhang, Chuanming Huan, Sumin Gao, Hengpeng Wang, Ziwu Gao, Ruiyun Wu, Zhenyu Wang and Xiangren Meng
Foods 2025, 14(3), 534; https://doi.org/10.3390/foods14030534 - 6 Feb 2025
Cited by 3 | Viewed by 2269
Abstract
This study evaluated the effects of ultrasound-assisted slightly acidic electrolyzed water (SAEW) treatment on duck breast meat storage quality. The impact of different treatments—ultrasound combined with SAEW, SAEW alone, ultrasound combined with water, and water-alone treatment—on the freshness, texture, protein oxidation, and microbiological [...] Read more.
This study evaluated the effects of ultrasound-assisted slightly acidic electrolyzed water (SAEW) treatment on duck breast meat storage quality. The impact of different treatments—ultrasound combined with SAEW, SAEW alone, ultrasound combined with water, and water-alone treatment—on the freshness, texture, protein oxidation, and microbiological diversity of the meat was assessed under vacuum packaging at 4 °C. The results demonstrated that the ultrasound–SAEW combination significantly slowed pH decline, inhibited total volatile basic nitrogen (TVB-N) formation, and preserved the redness (a*) and texture of duck breast meat. Additionally, carbonyl and total sulfhydryl measurements indicated that the combined treatment delayed protein oxidation. 16S rDNA analysis showed that combined treatment reduced the microbial abundance, particularly Pseudomonas and Candida. After 9 days of storage, the total viable count (TVC) of the treated duck breast meat remained within the GB 16869—2005 microbial contamination threshold for fresh meat (5.56 log10 CFU/g). These findings highlight the effectiveness of ultrasound-assisted SAEW in extending the shelf life and maintaining the quality of duck breast meat. Full article
(This article belongs to the Section Meat)
Show Figures

Figure 1

18 pages, 4969 KB  
Article
Postharvest Immersion in Slightly Acidic Electrolyzed Water Improves Guava Storability by Regulating Phenylpropane Metabolism
by Hongbin Chen, Shujuan Feng, Yazhen Chen, Xuanjing Jiang, Yuzhao Lin and Yihui Chen
Foods 2024, 13(23), 3850; https://doi.org/10.3390/foods13233850 - 28 Nov 2024
Cited by 3 | Viewed by 1464
Abstract
Postharvest guava fruit are at high risk of decay and spoilage, which extremely restrains the further advancement of guava industry in China. Currently, slightly acidic electrolyzed water (SAEW) has been shown to be potent in maintaining the storability of fruits and vegetables. Accordingly, [...] Read more.
Postharvest guava fruit are at high risk of decay and spoilage, which extremely restrains the further advancement of guava industry in China. Currently, slightly acidic electrolyzed water (SAEW) has been shown to be potent in maintaining the storability of fruits and vegetables. Accordingly, this work was designed to figure out the effectiveness of SAEW on storability maintenance in postharvest guavas via regulating the phenylpropane metabolism. On the harvest day, fresh guavas were immersed in distilled water or SAEW (available chlorine concentration: 30 mg L−1) for 10 min, followed by storage for 15 d (25 °C, 80% RH). Results showed that, in comparation with the control guavas, SAEW-treated guavas exhibited lower levels of fruit disease index, malondialdehyde, and cell membrane permeability, while showing higher levels of fruit firmness and commercially acceptable fruit rate, as evidenced by enhanced contents of titratable acid, total soluble solids, vitamin C, total soluble sugar, and reducing sugar. Moreover, SAEW treatment improved the activities of disease-resistance enzymes and the contents of sinapic acid, p-coumaric acid, ferulic acid, caffeic acid, and lignin. The above data revealed that SAEW treatment-enhanced storability of guavas was attributed to the increased disease-resistance enzyme activities and disease-resistance substance contents, which improved the fruit disease resistance and slowed down the disease occurrence. Full article
Show Figures

Figure 1

17 pages, 16316 KB  
Article
Effects of Ozone Gas and Slightly Acidic Electrolyzed Water on the Quality of Salmon (Salmo salar) Fillets from the Perspective of Muscle Protein
by Yun-Fang Qian, Lu Sun, Jing-Jing Zhang, Cheng-Jian Shi and Sheng-Ping Yang
Foods 2024, 13(23), 3833; https://doi.org/10.3390/foods13233833 - 28 Nov 2024
Cited by 3 | Viewed by 2036
Abstract
To elucidate the mechanisms of ozone gas (OG) and slight acid electrolyzed water (SA) on the quality changes in texture, water-holding capacity, and softening of salmon, the bacterial growth, total volatile basic nitrogen, thiobarbituric acid reactive substance, a* value, texture properties, carbonyl content [...] Read more.
To elucidate the mechanisms of ozone gas (OG) and slight acid electrolyzed water (SA) on the quality changes in texture, water-holding capacity, and softening of salmon, the bacterial growth, total volatile basic nitrogen, thiobarbituric acid reactive substance, a* value, texture properties, carbonyl content and free sulfhydryl content, myofibrillar fragmentation index, and proteolytic activities of salmon treated by OG (1 mg/m3 for 10 min) and SA (ACC 30 mg/L, 5 min) individually and in combination were studied. The results showed that total viable counts of SA + OG (dipped in SAEW for 5 min, followed by exposure to ozone for 10 min) was about 3.36 log CFU/g lower than the control (CK) (dipped in distilled water for 5 min) on day 10. Further studies indicate that at the end of storage, the hardness of SA + OG fillets only decreased by 33.95%, while the drip loss and myofibrillar fragmentation index (MFI) were the lowest (i.e., 14.76% and 101.07). The activity of cathepsin D was extensively inhibited by SA + OG, which was only 2.063 U/g meat at the end. In addition, the carbonyl content was 1.90 μmol/g protein, and the free sulfhydryl content was 39.70 mg/mL in the SA + OG group, indicating that protein oxidation was also effectively inhibited. Correlation analysis shows that bacteria and endogenous proteases are the main causes of protein degradation. Overall, the combination of OG and SAEW is an effective way to maintain the muscle quality of salmon by inhibiting bacterial growth and endogenous enzymes. Full article
(This article belongs to the Section Food Packaging and Preservation)
Show Figures

Figure 1

19 pages, 874 KB  
Review
Research Progress on Bacteria-Reducing Pretreatment Technology of Meat
by Hong Zuo, Bo Wang, Jiamin Zhang, Zhengguo Zhong and Zhonghua Tang
Foods 2024, 13(15), 2361; https://doi.org/10.3390/foods13152361 - 26 Jul 2024
Cited by 12 | Viewed by 4060
Abstract
Reducing the initial bacteria number from meat and extending its shelf life are crucial factors for ensuring product safety and enhancing economic benefits for enterprises. Currently, controlling enzyme activity and the microbial survival environment is a common approach to reducing the rate of [...] Read more.
Reducing the initial bacteria number from meat and extending its shelf life are crucial factors for ensuring product safety and enhancing economic benefits for enterprises. Currently, controlling enzyme activity and the microbial survival environment is a common approach to reducing the rate of deterioration in raw meat materials, thereby achieving the goal of bacteria reduction during storage and preservation. This review summarizes the commonly used technologies for reducing bacteria in meat, including slightly acidic electrolyzed water (SAEW), organic acids, ozone (O3), ultrasound, irradiation, ultraviolet (UV), cold plasma, high-pressure processing (HPP), and biological bacterial reduction agents. This review outlines the mechanisms and main features of these technologies for reducing bacteria in meat processing. Additionally, it discusses the status of these technologies in meat storage and preservation applications while analyzing associated problems and proposing solutions. The aim is to provide valuable references for research on meat preservation technology. Full article
Show Figures

Figure 1

15 pages, 3117 KB  
Article
Enhancing Fresh-Cut Apple Preservation: Impact of Slightly Acidic Electrolyzed Water and Chitosan–Apple Essence Microencapsulation Coating on Browning and Flavor
by Zhenyu Luo, Guijing Li, Yanlin Du, Junjie Yi, Xiaosong Hu and Yongli Jiang
Foods 2024, 13(10), 1585; https://doi.org/10.3390/foods13101585 - 20 May 2024
Cited by 16 | Viewed by 4183
Abstract
Fresh-cut apple preservation is a critical concern in the food industry due to the rapid deterioration of texture, color, and flavor. While our previous study introduced apple essence microencapsulation (AEM) to enhance flavor during storage, its impact on overall storage quality was minimal. [...] Read more.
Fresh-cut apple preservation is a critical concern in the food industry due to the rapid deterioration of texture, color, and flavor. While our previous study introduced apple essence microencapsulation (AEM) to enhance flavor during storage, its impact on overall storage quality was minimal. Thus, this study explores the application of two preservation techniques, namely, slightly acidic electrolyzed water (SAEW) and chitosan–apple essence microencapsulation (CH–AEM) coating, to enhance the quality of fresh-cut apples. Our findings reveal that SAEW treatment significantly reduces the browning index (from 65.38 to 57.36) and respiratory rate (from 5.10% to 4.30% of CO2), and maintains a desirable aroma profile compared to uncoated treatment during 10 days of storage. Additionally, the CH–AEM coating acts as a protective barrier, further preserving the sensory characteristics of fresh-cut apples. Notably, the SAEW–CH–AEM group exhibits superior performance in firmness (8.14 N), respiratory rate (3.37% of CO2), ion leakage (34.86%), and juice yield (47.52%) after 10 days. Our research highlights the synergistic effect of combining these preservation strategies, providing a promising approach for extending the shelf life of fresh-cut apples while maintaining their visual appeal and aromatic quality. These results offer valuable insights for the fresh-cut produce industry, contributing to improved apple product preservation and consumer satisfaction. Full article
(This article belongs to the Section Food Packaging and Preservation)
Show Figures

Figure 1

14 pages, 3352 KB  
Article
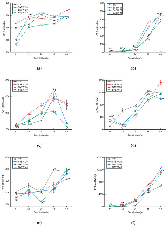
Antioxidant Benefits and Potential Mechanisms of Slightly Acidic Electrolyzed Water Germination in Sesame
by Yujie Li, Shaokang Liu, Jianxiong Hao, Huan Rao, Dandan Zhao and Xueqiang Liu
Foods 2023, 12(22), 4104; https://doi.org/10.3390/foods12224104 - 12 Nov 2023
Cited by 7 | Viewed by 2395
Abstract
Slightly acidic electrolytic water (SAEW) treatment for seed germination is a promising technique for sustainable agriculture. This study investigated the antioxidant activity of germinated sesame seeds treated with SAEW for the first time. Specifically, the impact and correlation of SAEW on the activities [...] Read more.
Slightly acidic electrolytic water (SAEW) treatment for seed germination is a promising technique for sustainable agriculture. This study investigated the antioxidant activity of germinated sesame seeds treated with SAEW for the first time. Specifically, the impact and correlation of SAEW on the activities of total phenols, total flavonoids, and antioxidant oxidase in sesame seeds were examined. The results showed that SAEW with low ACC inhibited sesame germination, SAEW with high ACC promoted sesame germination, and sesame buds treated with SAEW with 30 mg/L and 50 mg/L ACC showed lower antioxidant activity and total phenolic and flavone content compared to tap water. In contrast, SAEW with 30 mg/L ACC had no significant effect on sesame growth but positively influenced the antioxidant activity of sesame seed germination by promoting phenolic compound synthesis through increased phenylalanine ammonia-lyase (PAL) activity and enhancing antioxidant activity by boosting PAL, polyphenol oxidase (PPO), and peroxidase (POD) activities. Generally, antioxidant ability was the most prominent in SAEW with 30 mg/L ACC, and positive correlations between antioxidation and total phenols and flavonoids content were found in sesame. These findings provide valuable insights into the mechanisms underlying the enhanced antioxidant capacity observed in germinated sesame seeds under SAEW stress. Full article
(This article belongs to the Section Plant Foods)
Show Figures

Figure 1

Back to TopTop