Antioxidant Activities of Konjac Glucomannan Hydrolysates of Different Molecular Weights at Different Values of pH
Abstract
:1. Introduction
2. Materials and Methods
2.1. Materials and Chemicals
2.2. Preparation of KGMHs of Different Molecular Weights
2.3. Determination of Molecular Weight Distribution of KGMHs
2.4. Fourier-Transform Infrared Spectroscopy
2.5. Determination of Antioxidant Activities
2.5.1. DPPH Assay
2.5.2. FRAP Assay
2.6. Statistical Analysis
3. Results
3.1. Effect of Enzymatic Hydrolysis on TS, RS and DP
3.2. Molecular Weight Distribution of KGMHs
3.3. FTIR Spectra of KGM and KGMHs
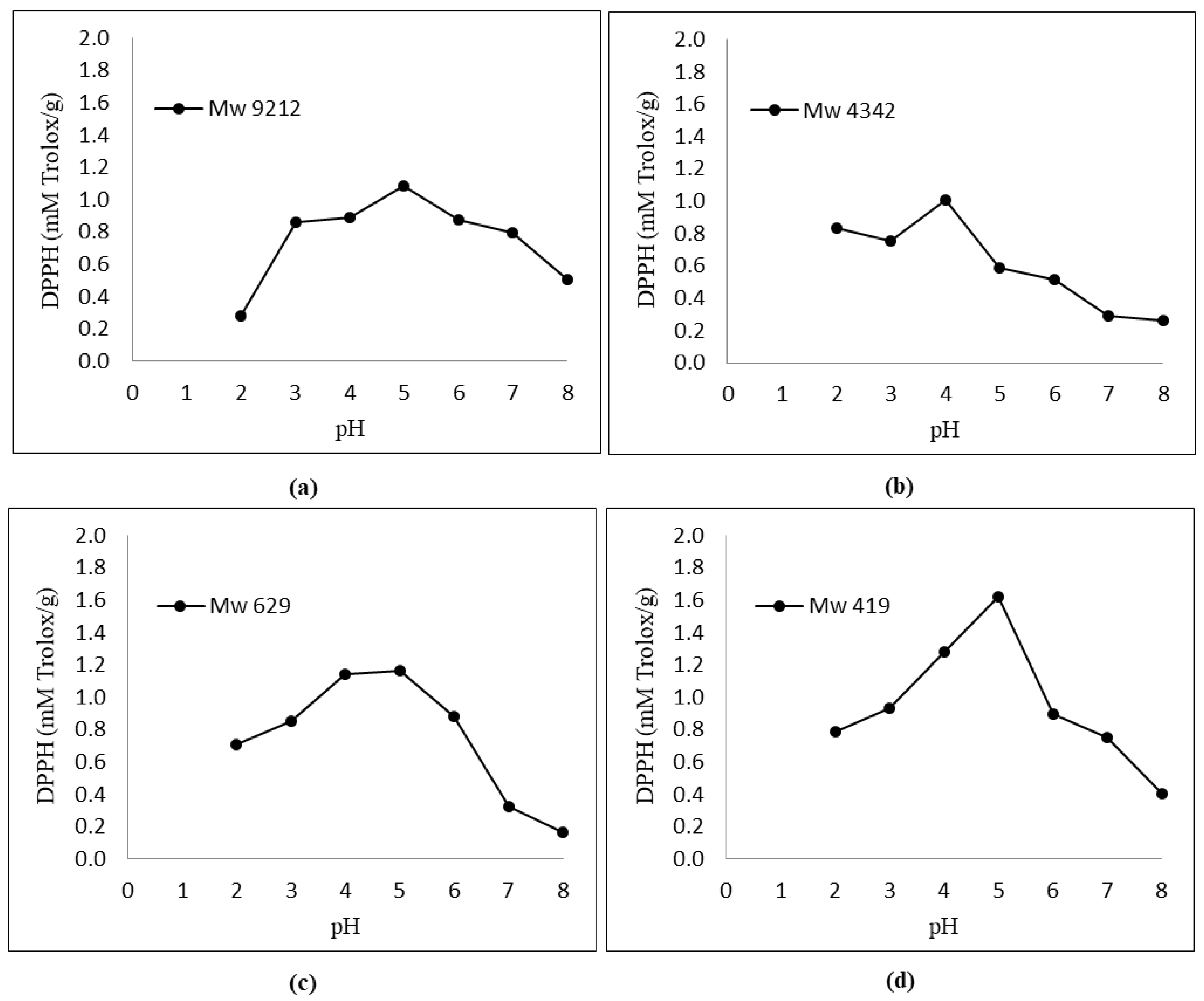
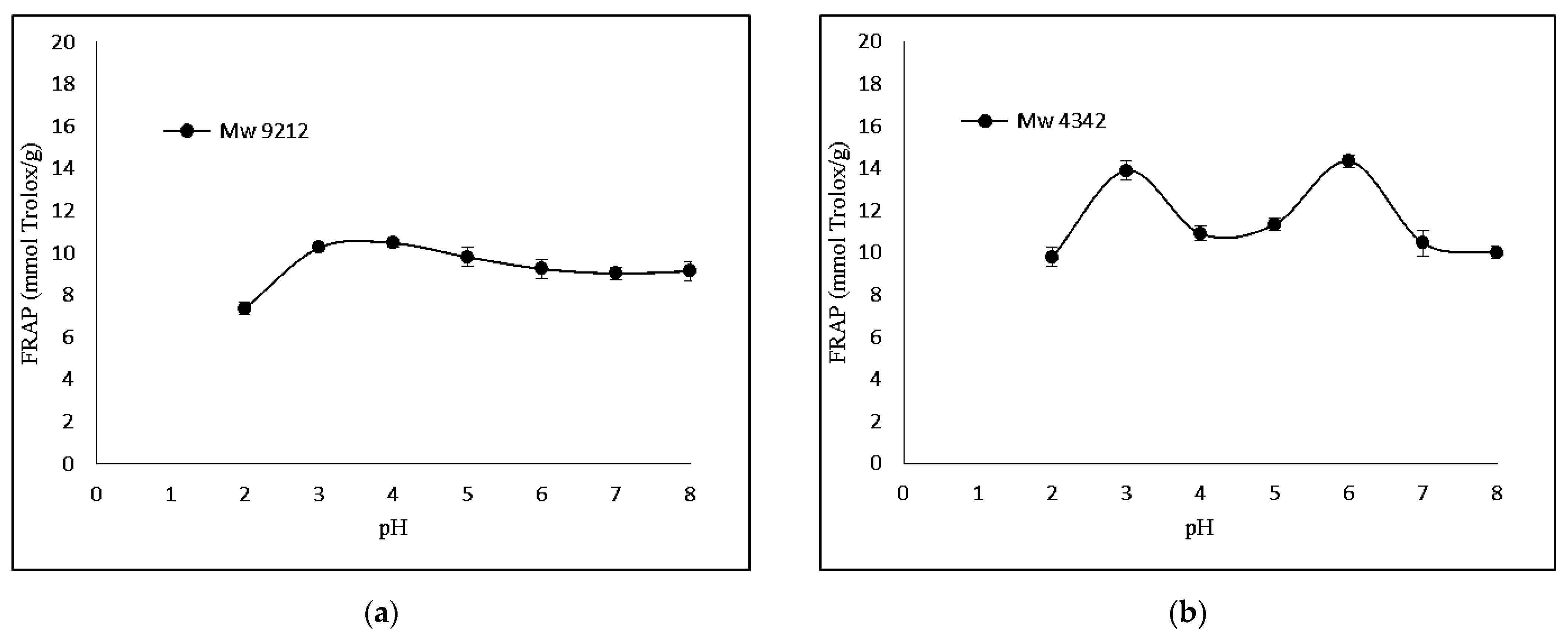
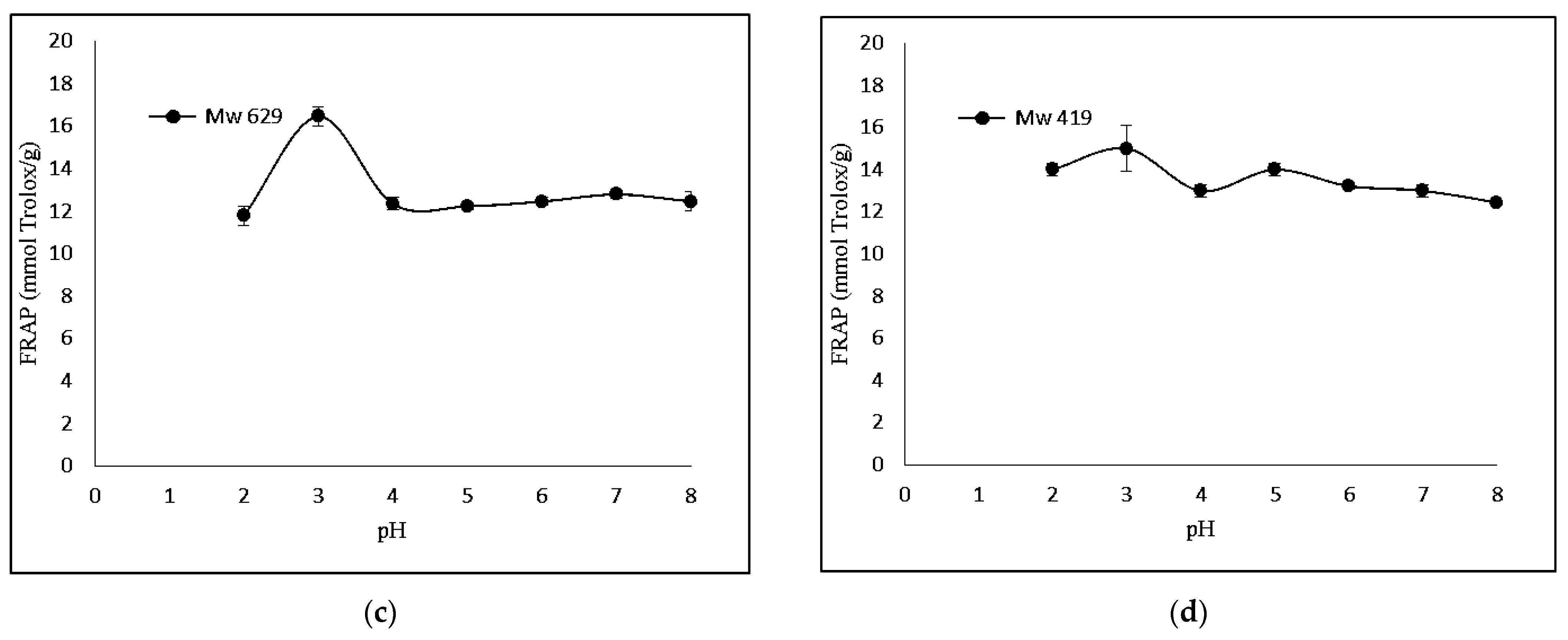
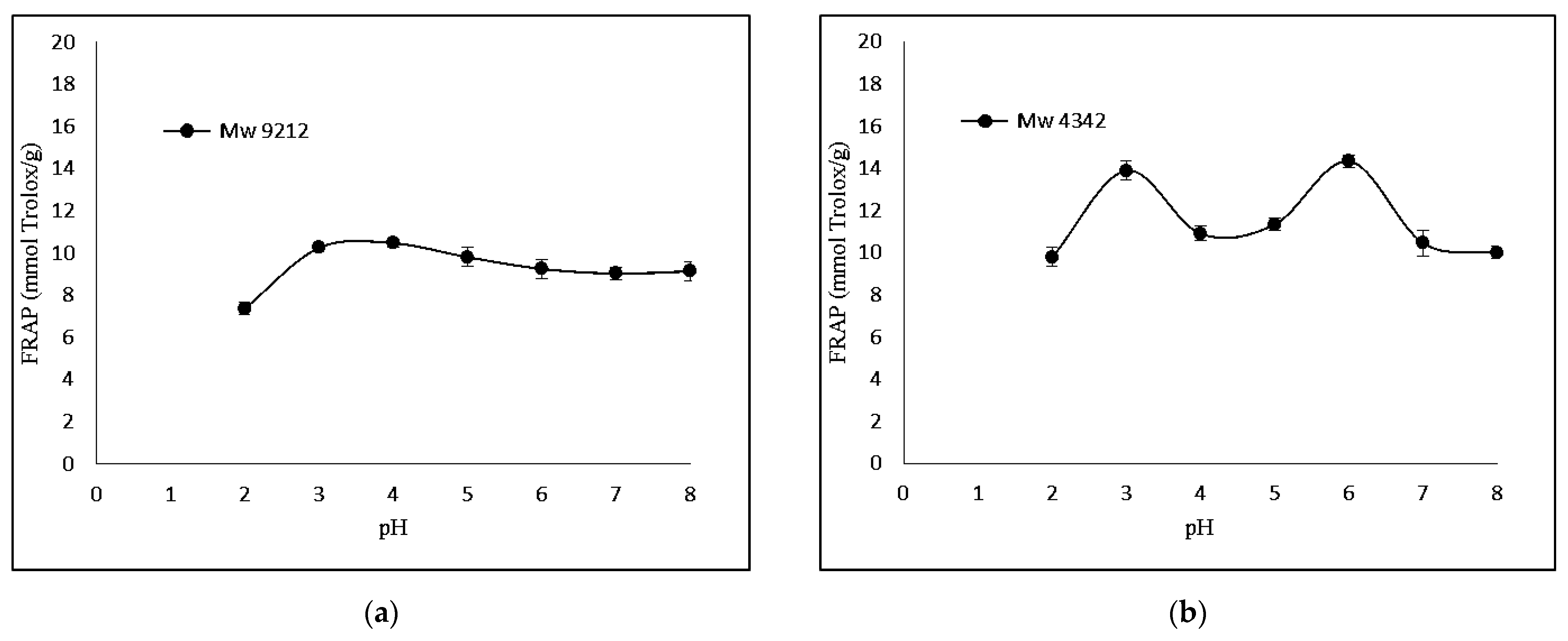
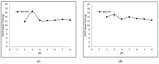
3.4. Antioxidant Activities of KGMHs
4. Discussion
4.1. Effect of Enzymatic Hydrolysis on TS, RS and DP
4.2. Molecular Weight Distribution of KGMHs
4.3. FTIR Spectra of KGM and KGMHs
4.4. Antioxidant Activities of KGMHs
5. Conclusions
Author Contributions
Funding
Data Availability Statement
Acknowledgments
Conflicts of Interest
References
- Zhao, C. Oligosaccharides in Food. In Handbook of Dietary Phytochemicals; Xiao, J., Sarker, S.D., Asakawa, Y., Eds.; Springer: Singapore, 2021; pp. 1465–1500. [Google Scholar] [CrossRef]
- Jiao, L.; Zhang, X.; Li, B.; Liu, Z.; Wang, M.; Liu, S. Anti-tumour and immunomodulatory activities of oligosaccharides isolated from Panax ginseng C.A. Meyer. Int. J. Biol. Macromol. 2014, 65, 229–233. [Google Scholar] [CrossRef] [PubMed]
- Zheng, J.; Yuan, X.; Cheng, G.; Jiao, S.; Feng, C.; Zhao, X.; Yin, H.; Du, Y.; Liu, H. Chitosan oligosaccharides improve the disturbance in glucose metabolism and reverse the dysbiosis of gut microbiota in diabetic mice. Carbohydr. Polym. 2018, 190, 77–86. [Google Scholar] [CrossRef]
- Van Esch, B.C.A.M.; Kostadinova, A.I.; Garssen, J.; Willemsen, L.E.M.; Knippels, L.M.J. A dietary intervention with non-digestible oligosaccharides and partial hydrolysed whey protein prevents the onset of food allergic symptoms in mice. PharmaNutrition 2017, 5, 1–7. [Google Scholar] [CrossRef]
- Xu, X.; Deng, G.; Li, X.; Li, P.; Chen, T.; Zhou, L.; Huang, Y.; Yuan, M.; Ding, C.; Feng, S. Extraction, Structural, and Antioxidant Properties of Oligosaccharides Hydrolyzed from Panax Notoginseng by Ultrasonic-Assisted Fenton Degradation. Int. J. Mol. Sci. 2023, 24, 4506. [Google Scholar] [CrossRef]
- Impaprasert, R.; Borompichaichartkul, C.; Srzednicki, G. A New Drying Approach to Enhance Quality of Konjac Glucomannan Extracted from Amorphophallus Muelleri. Dry. Technol. 2014, 32, 851–860. [Google Scholar] [CrossRef]
- Global Konjac Market Size, Share & Industry Trends Analysis Report by End Use (Food & Beverages, Pharmaceutical, and Cosmetics). Available online: https://www.kbvresearch.com/konjac-market/ (accessed on 28 August 2023).
- Leuangsukrerk, M.; Phupoksakul, T.; Tananuwong, K.; Borompichaichartkul, C.; Janjarasskul, T. Properties of Konjac Glucomannan-Whey Protein Isolate Blend Films. LWT Food Sci. Technol. 2014, 59, 94–100. [Google Scholar] [CrossRef]
- Cui, T.; Wu, T.; Liu, R.; Sui, W.; Wang, S.; Zhang, M. Effect of degree of konjac glucomannan enzymatic hydrolysis on the physicochemical characteristic of gluten and dough. ACS Omega 2019, 4, 9654–9663. [Google Scholar] [CrossRef] [PubMed]
- Zhang, Y.; Xie, B.; Gan, X. Advance in the applications of konjac glucomannan and its derivatives. Carbohydr. Polym. 2005, 60, 27–31. [Google Scholar] [CrossRef]
- Khuwijitjaru, P.; Koomyart, I.; Kobayashi, T.; Adachi, S. Hydrolysis of konjac flour under subcritical water. Chiang Mai J. Sci. 2017, 44, 988–992. [Google Scholar]
- Mao, Y.-H.; Xu, Y.-X.; Li, Y.-H.; Cao, J.; Song, F.L.; Zhao, D.; Zhao, Y.; Wang, Z.-M.; Yang, Y. Effects of konjac glucomannan with different molecular weights on gut microflora with antibiotic perturbance in in vitro fecal fermentation. Carbohydr. Polym. 2021, 273, 118546. [Google Scholar] [CrossRef]
- Albrecht, S.; van Muiswinkel, G.C.; Xu, J.; Schols, H.A.; Voragen, A.G.; Gruppen, H. Enzymatic production and characterization of konjac glucomannan oligosaccharides. J. Agric. Food Chem. 2011, 59, 12658–12666. [Google Scholar] [CrossRef] [PubMed]
- Jian, W.; Sun, Y.; Huang, H.; Yang, Y.; Peng, S.; Xiong, B.; Pan, T.; Xu, Z.; He, M. Study on preparation and separation of konjac oligosaccharides. Carbohydr. Polym. 2013, 92, 1218–1224. [Google Scholar] [CrossRef] [PubMed]
- Tang, X.; Zhu, X.; Yang, Y.; Qi, Z.; Mu, Y.L.; Huang, Z. Product composition analysis and process research of oligosaccharides produced from enzymatic hydrolysis of high-concentration konjac flour. ACS Omega 2020, 5, 2480–2487. [Google Scholar] [CrossRef]
- Yang, W. Preparation of konjac oligoglucomannans with different molecular weights and their in vitro and in vivo antioxidant activities. Open Life Sci. 2020, 15, 799–807. [Google Scholar] [CrossRef]
- Dhawan, S.; Kaur, J. Microbial mannanases: An overview of production and applications. Crit. Rev. Biotechnol. 2007, 27, 197–216. [Google Scholar] [CrossRef] [PubMed]
- Ariestanti, C.A.; Seechamnanturakit, V.; Harmayani, E.; Wichienchot, S. Optimization on production of konjac oligo-glucomannan and their effect on the gut microbiota. Food Sci. Nutr. 2019, 7, 788–796. [Google Scholar] [CrossRef] [PubMed]
- Liu, J.; Xu, Q.; Zhang, J.; Zhou, X.; Lyu, F.; Zhao, P.; Ding, Y. Preparation, composition analysis and antioxidant activities of konjac oligo-glucomannan. Carbohydr. Polym. 2015, 130, 398–404. [Google Scholar] [CrossRef]
- Wattanaprasert, S.; Borompichaichartkul, C.; Vaithanomsat, P.; Srzednicki, G. Konjac glucomannan hydrolysate: A potential natural coating material for bioactive compounds in spray drying encapsulation. Eng. Life Sci. 2016, 17, 145–152. [Google Scholar] [CrossRef]
- Dubois, M.; Gilles, K.A.; Hamilton, J.K.; Rebers, P.T.; Smith, F. Colorimetric method for determination of sugars and related substances. Anal. Chem. 1956, 28, 350–356. [Google Scholar] [CrossRef]
- Sumner, J.B.; Sisler, E.B. A simple method for blood sugar. Arch. Biochem. Biophys. 1944, 4, 333–336. [Google Scholar]
- Chen, J.; Liu, D.; Shi, B.; Wang, H.; Cheng, Y.; Zhang, W. Optimization of hydrolysis conditions for the production of glucomanno-oligosaccharides from konjac using beta-mannanase by response surface methodology. Carbohydr. Polym. 2013, 93, 81–88. [Google Scholar] [CrossRef]
- Horta, A.; Pastoriza, M.A. The Molecular Weight Distribution of Polymer Samples. J. Chem. Educ. 2007, 84, 1217. [Google Scholar] [CrossRef]
- Brand-Williams, W.; Cuvelier, M.E.; Berset, C. Use of a free radical method to evaluate antioxidant activity. LWT 1995, 28, 25–30. [Google Scholar] [CrossRef]
- Benzie, I.F.; Strain, J.J. The ferric reducing ability of plasma (FRAP) as a measure of “antioxidant power”: The FRAP assay. Anal. Biochem. 1996, 239, 70–76. [Google Scholar] [CrossRef]
- Xu, M.; Li, D.S.; Li, B.; Wang, C.; Zhu, Y.P.; Lv, W.-P.; Xie, B.-J. Comparative study on molecular weight of konjac glucomannan by gel permeation chromatography-laser light scattering-refractive index and laser light-scattering methods. J. Spectrosc. 2013, 2013, 685698. [Google Scholar] [CrossRef]
- Thien, D.T.; Nu, T.T.; Vinh, N.H. Preparation of low molecular weight glucomannan from A. Konjac K. Koch in Vietnam by enzyme catalyzed hydrolysis reaction and its prospective use to lower blood sugar levels. Acad. J. Polym. Sci. 2019, 2, 555584. [Google Scholar] [CrossRef]
- Rafe, A.; Razavi, M.A. Effect of thermal treatment on chemical structure ofβ-lactoglobulin and basil seed gum mixture at different states by ATR-FTIR spectroscopy. Int. J. Food Prop. 2015, 18, 2652–2664. [Google Scholar] [CrossRef]
- Ghosh, S.; Chakraborty, R.; Raychaudhuri, U. Determination of pH-dependent antioxidant activity of palm (Borassus flabellifer) polyphenol compounds by photoluminol and DPPH methods: A comparison of redox reaction sensitivity. 3 Biotech 2015, 5, 633–640. [Google Scholar] [CrossRef]
- Yeung, Y.K.; Kang, Y.-R.; So, B.R.; Jung, S.K.; Chang, Y.H. Structural, antioxidant, prebiotic and anti-inflammatory properties of pectic oligosaccharides hydrolyzed from okra pectin by Fenton reaction. Food Hydrocoll. 2021, 118, 106779. [Google Scholar] [CrossRef]
- Prior, R.L.; Wu, X.; Schaich, K. Standardized Methods for the Determination of Antioxidant Capacity and Phenolics in Foods and Dietary Supplements. J. Agric. Food Chem. 2005, 53, 4290–4302. [Google Scholar] [CrossRef]
- Zhao, Y.; Wang, J.; Fu, Q.; Zhang, H.; Liang, J.; Xue, W.; Zhao, G.; Oda, H. Characterization and antioxidant activity of mannans from Saccharomyces cerevisiae with different molecular weight. Molecules 2022, 27, 4439. [Google Scholar] [CrossRef] [PubMed]




| Condition (pH) | Time (min) | Total Sugars Content (mg/mL) | Reducing Sugars Content (mg/mL) | Degree of Polymerization |
|---|---|---|---|---|
| 4.5 | 5 | 50.94 ± 0.16 c | 2.53 ± 0.02 l | 20 |
| 10 | 51.34 ± 0.35 c | 3.48 ± 0.01 j | 15 | |
| 15 | 54.11 ± 0.19 b | 3.14 ± 0.01 k | 17 | |
| 20 | 56.28 ± 0.28 a | 4.51 ± 0.05 g | 12 | |
| 40 | 56.21 ± 0.70 a | 5.25 ± 0.01 f | 11 | |
| 60 | 56.59 ± 0.11 a | 6.09 ± 0.01 d | 9 | |
| 120 | 56.36 ± 0.33 a | 8.18 ± 0.01 a | 7 | |
| 5.0 | 5 | 51.45 ± 0.05 c | 3.45 ± 0.01 j | 15 |
| 10 | 51.01 ± 0.22 c | 3.11 ± 0.02 k | 16 | |
| 15 | 53.46 ± 0.20 b | 3.98 ± 0.02 h | 13 | |
| 20 | 56.15 ± 0.11 a | 3.69 ± 0.02 i | 15 | |
| 40 | 56.42 ± 0.12 a | 5.94 ± 0.03 e | 9 | |
| 60 | 56.35 ± 0.11 a | 6.72 ± 0.01 c | 8 | |
| 120 | 56.31 ± 0.11 a | 7.25 ± 0.04 b | 8 |
| Sample | pH | Time (min) | Mw 1 | Mn 2 | PDI 3 |
|---|---|---|---|---|---|
| KGMH I | 4.5 | 5 | 51,161.95 ± 858.90 | 10,602.11 ± 173.20 | 4.83 ± 0.16 |
| 10 | 41,899.02 ± 757.56 | 9365.31 ± 463.82 | 4.47 ± 0.08 | ||
| 15 | 39,482.22 ± 398.42 | 8501.55 ± 206.61 | 4.65 ± 0.07 | ||
| 20 | 9212.27 ± 439.31 | 3724.17 ± 121.41 | 2.48 ± 0.20 | ||
| 40 | 4342.93 ± 139.43 | 2725.30 ± 37.76 | 1.59 ± 0.03 | ||
| 60 | 629.49 ± 12.66 | 1504.27 ± 133.38 | 0.42 ± 0.03 | ||
| 120 | 419.71 ± 34.57 | 500.67 ± 3.30 | 0.84 ± 0.06 | ||
| KGMH II | pH 5 | 5 | 12,788.34 ± 464.86 | 7173.41 ± 134.59 | 1.78 ± 0.03 |
| 10 | 7718.89 ± 333.77 | 5179.61 ± 114.03 | 1.49 ± 0.10 | ||
| 15 | 3749.82 ± 404.42 | 1542.40 ± 16.98 | 2.43 ± 0.29 | ||
| 20 | 940.29 ± 42.43 | 1486.25 ± 13.94 | 0.63 ± 0.02 | ||
| 40 | 582.18 ± 15.25 | 726.84 ± 5.63 | 0.80 ± 0.01 | ||
| 60 | 523.72 ± 17.67 | 429.21 ± 12.54 | 1.22 ± 0.01 | ||
| 120 | 478.34 ± 5.80 | 398.74 ± 12.71 | 1.20 ± 0.05 |
Disclaimer/Publisher’s Note: The statements, opinions and data contained in all publications are solely those of the individual author(s) and contributor(s) and not of MDPI and/or the editor(s). MDPI and/or the editor(s) disclaim responsibility for any injury to people or property resulting from any ideas, methods, instructions or products referred to in the content. |
© 2023 by the authors. Licensee MDPI, Basel, Switzerland. This article is an open access article distributed under the terms and conditions of the Creative Commons Attribution (CC BY) license (https://creativecommons.org/licenses/by/4.0/).
Share and Cite
Tripetch, P.; Lekhavat, S.; Devahastin, S.; Chiewchan, N.; Borompichaichartkul, C. Antioxidant Activities of Konjac Glucomannan Hydrolysates of Different Molecular Weights at Different Values of pH. Foods 2023, 12, 3406. https://doi.org/10.3390/foods12183406
Tripetch P, Lekhavat S, Devahastin S, Chiewchan N, Borompichaichartkul C. Antioxidant Activities of Konjac Glucomannan Hydrolysates of Different Molecular Weights at Different Values of pH. Foods. 2023; 12(18):3406. https://doi.org/10.3390/foods12183406
Chicago/Turabian StyleTripetch, Phattanit, Supaporn Lekhavat, Sakamon Devahastin, Naphaporn Chiewchan, and Chaleeda Borompichaichartkul. 2023. "Antioxidant Activities of Konjac Glucomannan Hydrolysates of Different Molecular Weights at Different Values of pH" Foods 12, no. 18: 3406. https://doi.org/10.3390/foods12183406
APA StyleTripetch, P., Lekhavat, S., Devahastin, S., Chiewchan, N., & Borompichaichartkul, C. (2023). Antioxidant Activities of Konjac Glucomannan Hydrolysates of Different Molecular Weights at Different Values of pH. Foods, 12(18), 3406. https://doi.org/10.3390/foods12183406

