Sign in to use this feature.

Years

Between: -

Subjects

remove_circle_outline
remove_circle_outline
remove_circle_outline
remove_circle_outline
remove_circle_outline
remove_circle_outline
remove_circle_outline
remove_circle_outline
remove_circle_outline

Journals

remove_circle_outline
remove_circle_outline
remove_circle_outline
remove_circle_outline
remove_circle_outline
remove_circle_outline
remove_circle_outline
remove_circle_outline
remove_circle_outline
remove_circle_outline
remove_circle_outline
remove_circle_outline
remove_circle_outline
remove_circle_outline

Article Types

Countries / Regions

remove_circle_outline
remove_circle_outline
remove_circle_outline
remove_circle_outline
remove_circle_outline

Search Results (1,537)

Search Parameters:
Keywords = degree of polymerization

Order results
Result details
Results per page
Select all
Export citation of selected articles as:
22 pages, 2795 KB  
Article
Development of Remineralizing and Antibacterial Resin Coating for Provisional Crowns with Improved Bond Strength and Wear Resistance
by Ibrahim Ba-Armah, Abdullah Alhussein, Nader Almutairi, Mohammad Alenizy, Heba Alqarni, Yazeed Altamimi, Ayman Altamimi, Radi Masri, Jirun Sun, Michael D. Weir and Hockin H. K. Xu
Polymers 2026, 18(8), 945; https://doi.org/10.3390/polym18080945 - 12 Apr 2026
Viewed by 518
Abstract
Secondary caries and biofilm accumulation remain major causes of failure in provisional crowns and restorations, highlighting the need for multifunctional resin coatings with antibacterial and remineralizing capabilities. This study aimed to develop a novel bioactive and antibacterial resin-based surface coating incorporating 10% dimethylaminododecyl [...] Read more.
Secondary caries and biofilm accumulation remain major causes of failure in provisional crowns and restorations, highlighting the need for multifunctional resin coatings with antibacterial and remineralizing capabilities. This study aimed to develop a novel bioactive and antibacterial resin-based surface coating incorporating 10% dimethylaminododecyl methacrylate (DMADDM), 20% nanoparticles of amorphous calcium phosphate (NACP), and/or 20% calcium fluoride nanoparticles (nCaF2) within a urethane dimethacrylate/triethylene glycol divinylbenzyl ether (UDMA/TEG-DVBE) matrix. Coatings were evaluated for degree of conversion (DC), flow, shear bond strength, brushing wear resistance (10,000 cycles), and calcium (Ca), phosphate (PO4), and fluoride (F) ion release up to 70 days. All groups achieved clinically acceptable polymerization, with the lowest DC at 50%. NACP-containing coatings significantly increased shear bond strength to 18.3 ± 2.8 MPa, representing a ~170% increase compared with the experimental control (6.8 ± 2.1 MPa) and exceeding the ISO 10477 minimum threshold of 5 MPa. After brushing simulation, experimental coatings demonstrated low wear depth (0.93–1.19 µm), which was ~40% lower than the commercial control (1.85 ± 0.40 µm). Sustained ion release was achieved for 70 days, with 20% NACP-formula releasing 1.22 mmol/L Ca and 0.90 mmol/L PO4, while the dual NACP–nCaF2 formulation provided simultaneous Ca (0.62 mmol/L) and F (0.33 mmol/L) release. The developed coatings demonstrated promising physicochemical properties, bonding performance, wear resistance, and sustained remineralizing ion release, supporting their potential application as therapeutic surface coatings for provisional restorations. Full article
Show Figures

Graphical abstract

21 pages, 4607 KB  
Article
Functional Differentiation of Indigenous Nostocalean Cyanobacteria: Effects of Biomass and Extracellular Polymeric Substances on Rice Growth and Soil Properties
by Neti Ngearnpat, Supattra Tiche, Narong Wongkantrakorn, Kritsana Duangjan, Kittiya Phinyo and Kritchaya Issakul
Crops 2026, 6(2), 40; https://doi.org/10.3390/crops6020040 - 1 Apr 2026
Viewed by 346
Abstract
The excessive use of chemical fertilizers in rice cultivation has contributed to soil degradation, creating a need for sustainable biological alternatives. This study examined the functional diversity of three indigenous nostocalean cyanobacterial strains (UP1, UP2, and UP3) isolated from forest and paddy field [...] Read more.
The excessive use of chemical fertilizers in rice cultivation has contributed to soil degradation, creating a need for sustainable biological alternatives. This study examined the functional diversity of three indigenous nostocalean cyanobacterial strains (UP1, UP2, and UP3) isolated from forest and paddy field ecosystems by comparing the effects of their cellular biomass and extracellular polymeric substances (EPS) on rice seedling growth and soil properties. Morphological observations and partial 16S rRNA sequence analysis indicated that strains UP1 and UP2 were affiliated with the genus Ahomia, whereas UP3 was placed within the genus Nostoc. Together, these results placed all three isolates within the heterocystous cyanobacterial order Nostocales. The strains were further characterized based on EPS production and its degree of polymerization. Seed germination and seedling vigor assays were conducted to select the most effective biomass and EPS treatments, which were subsequently evaluated in 21-day pot experiments. Fresh biomass from strain UP2 most effectively enhanced rice growth, whereas EPS from strain UP3 promoted root development. EPS application from strain UP3 significantly increased root elongation to 13.44 cm, while high biomass levels of UP2 increased total sugar and free amino acid contents, indicating distinct plant response patterns. Soil analyses revealed differential responses between biomass- and EPS-based applications, with biomass generally producing stronger effects. Biomass from all strains was associated with higher physical soil function index (PSFI) values (up to 1.35). In contrast, improvements in chemical soil function index (CSFI) were observed across treatments, with variable responses and relatively higher values recorded in biomass from strain UP3 (up to 1.24). These findings suggest strain- and form-dependent response patterns of nostocalean cyanobacteria with potential for enhancing rice growth and improving soil functionality under the controlled conditions. Full article
(This article belongs to the Special Issue Soil Fertility Management in Crop Production)
Show Figures

Figure 1

16 pages, 1137 KB  
Article
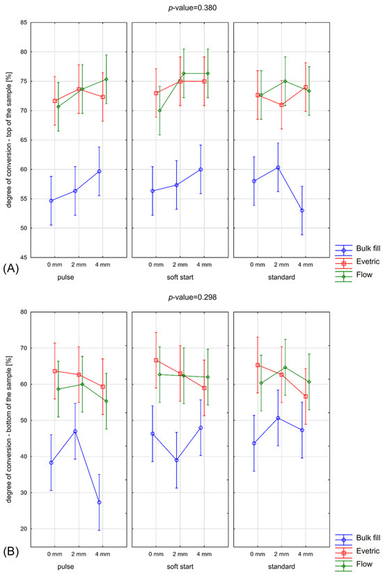
Optimizing Dental Resin-Based Composite Polymerization with Distance and Exposure Variables: Preliminary Study
by Anna Lehmann, Bolesław Barszcz and Kacper Nijakowski
Materials 2026, 19(7), 1390; https://doi.org/10.3390/ma19071390 - 31 Mar 2026
Viewed by 365
Abstract
Resin-based composites (RBCs) are widely used in restorative dentistry, and their clinical performance depends on the degree of conversion (DC). Light-curing units are used to initiate polymerization, but factors such as the distance between the light source and the composite surface as well [...] Read more.
Resin-based composites (RBCs) are widely used in restorative dentistry, and their clinical performance depends on the degree of conversion (DC). Light-curing units are used to initiate polymerization, but factors such as the distance between the light source and the composite surface as well as different exposure modes can affect DC. This study aimed to evaluate the effect of curing distance on the DC of resin-based composites under different polymerization modes. Specimens of a standardized resin-based composite were prepared and cured using a light-emitting diode (LED) curing unit at varying distances (0 mm, 2 mm and 4 mm). Three exposure modes were applied: standard, soft-start, and pulse. The DC of the cured composites was determined using Raman scattering spectra measurements. The DC differed significantly depending on the evaluated factors and the measurement location within the samples (top vs. bottom). For measurements taken at the top of the samples, a highly significant effect of material type on the degree of conversion was observed (p-value < 0.001). Distance also showed a statistically significant influence (p-value = 0.049), whereas exposure mode did not significantly affect DC at the top surface (p-value = 0.391). Both curing distance and exposure mode significantly influence the polymerization efficiency of resin-based composites. Minimizing the distance between the light source and composite surface improves the DC, and selecting an appropriate exposure mode can partially compensate for increased distance. Clinicians should consider these factors to optimize the mechanical properties and longevity of composite restorations. Full article
Show Figures

Figure 1

30 pages, 23106 KB  
Article
Effect of Na2O on the Low-Temperature Densification, Crystallization Behavior, and Dielectric Properties of Perlite Tailings-Derived α-Cordierite Glass-Ceramics
by Saibo Wang, Yongsheng Yu, Yunxiao Zhao, Pengzhen Wang, Jinghan Wang, Zhaoli Yan and Qiangshan Jing
Materials 2026, 19(7), 1348; https://doi.org/10.3390/ma19071348 - 28 Mar 2026
Viewed by 464
Abstract
To facilitate the development of low-cost LTCC substrate materials and the high-value utilization of industrial tailings, α-cordierite glass-ceramics with varying Na2O additions were prepared from perlite tailings as the main raw material via the melt-quenching method followed by sintering-induced crystallization. The [...] Read more.
To facilitate the development of low-cost LTCC substrate materials and the high-value utilization of industrial tailings, α-cordierite glass-ceramics with varying Na2O additions were prepared from perlite tailings as the main raw material via the melt-quenching method followed by sintering-induced crystallization. The synergistic effects of sintering temperature and Na2O addition on the parent glass structure, crystallization behavior, and properties were systematically investigated. The results demonstrated that the addition of Na2O effectively depolymerized the degree of network polymerization of the parent glass, altered the crystallization pathway of cordierite crystal, and promoted the densification of glass-ceramics at lower sintering temperature. The calculations of crystallization kinetics revealed that the crystallization process of α-cordierite was mainly dominated by three-dimensional bulk growth, and its nucleation mechanism changed from “site saturation” to “continuous nucleation” with the increase of Na2O addition. The α-cordierite glass-ceramics sintered at 850 °C with 0.6 wt.% Na2O addition exhibited the optimal comprehensive properties, including low dielectric constant (5.82 @ 10 MHz) and dielectric loss (1.80 × 10−2 @ 10 MHz), high flexural strength (147.3 MPa), a Vickers hardness (9.01 GPa), and suitable coefficient of thermal expansion (2.96 × 10−6 K−1, close to Si). The glass-ceramics are expected to be an ideal candidate for low-cost LTCC substrate materials. Full article
Show Figures

Figure 1

21 pages, 4416 KB  
Article
Partial Discharge Characteristics and Aging Identification Model of Polymer Insulation Materials in Environmentally Friendly Insulating Liquids Under Electro-Thermal Aging Conditions
by Wenyu Ye, Yixin He, Xianglin Kong, Tianxiang Ding, Xinhan Qiao, Xize Dai and Jiaming Yan
Polymers 2026, 18(7), 829; https://doi.org/10.3390/polym18070829 - 28 Mar 2026
Viewed by 413
Abstract
Cellulose paper, a natural polymeric dielectric, determines the lifetime of oil–paper insulation systems in transformers, yet its molecular degradation behavior in ester-based insulating media remains insufficiently clarified. This study investigates the electro–thermal aging of cellulose polymer immersed in soybean-based natural ester (SBNE) and [...] Read more.
Cellulose paper, a natural polymeric dielectric, determines the lifetime of oil–paper insulation systems in transformers, yet its molecular degradation behavior in ester-based insulating media remains insufficiently clarified. This study investigates the electro–thermal aging of cellulose polymer immersed in soybean-based natural ester (SBNE) and palm fatty acid ester (PFAE), with emphasis on depolymerization and its relationship with partial discharge (PD) activity. Accelerated aging experiments were conducted under combined electrical and thermal stress, and the evolution of the degree of polymerization (DP) was measured to quantify polymer chain scission. Phase-resolved PD (PRPD) patterns were recorded during aging, and multi-dimensional statistical features were extracted and reduced using principal component analysis to characterize degradation-sensitive electrical responses. The results show a progressive decrease in DP with aging time in both ester media, accompanied by distinct PD evolution characteristics, indicating different influences of the two esters on cellulose polymer stability. An ensemble learning model integrating multiple classifiers was further employed to identify aging stages based on PD features, achieving reliable discrimination performance. These findings establish a correlation between cellulose depolymerization and dielectric discharge behavior, providing a polymer-centered interpretation of aging mechanisms in ester-based oil–paper insulation systems. Full article
(This article belongs to the Section Polymer Analysis and Characterization)
Show Figures

Figure 1

11 pages, 1742 KB  
Article
Rapid and Sensitive Detection of Amino Groups in Chitosan Oligomers Using Aqueous Ninhydrin and McIlvaine Buffer
by Oana Roxana Toader, Bianca-Vanesa Agachi, Andra Olariu, Corina Duda-Seiman, Gheorghita Menghiu and Vasile Ostafe
Molecules 2026, 31(7), 1101; https://doi.org/10.3390/molecules31071101 - 27 Mar 2026
Viewed by 375
Abstract
Chitooligosaccharides (COS) are short-chain chitosan derivatives with a wide range of biomedical, agricultural, and environmental applications, including antimicrobial therapy, wound healing, and pollutant removal. Reliable quantification of COS is essential but currently relies on high-performance liquid chromatography, mass spectrometry, or capillary electrophoresis, which [...] Read more.
Chitooligosaccharides (COS) are short-chain chitosan derivatives with a wide range of biomedical, agricultural, and environmental applications, including antimicrobial therapy, wound healing, and pollutant removal. Reliable quantification of COS is essential but currently relies on high-performance liquid chromatography, mass spectrometry, or capillary electrophoresis, which require costly equipment, complex sample preparation, and are unsuitable for routine or on-site applications. This study reports a rapid, solvent-free, colorimetric assay for COS based on the reaction of 5% aqueous ninhydrin with free amino groups in McIlvaine buffer. The assay was optimized using glucosamine as a model analyte, yielding maximal sensitivity at pH 7.0. The chromophore generated (Ruhemann’s purple) remained stable for over 120 min after reaction, allowing measurements to be taken without strict time constraints. Calibration was linear from 0.4 to 2.2 mM (R2 = 0.9926), with low limits of detection (0.006 mM) and quantification (0.018 mM). Increasing absorbance with COS polymerization degree (DP1–DP6) demonstrates specificity for free amino groups, while N-acetyl glucosamine showed a negligible response. Furthermore, the assay was successfully adapted for solid-phase detection on ninhydrin-pretreated filter paper and nitrocellulose, with enhanced sensitivity. This simple, efficient, and low-cost method provides an accessible alternative to instrumental techniques, supporting COS monitoring in laboratory workflows and enabling portable applications in biomedicine, agriculture, and environmental diagnostics. Full article
(This article belongs to the Special Issue Green Chemistry Approaches to Analysis and Environmental Remediation)
Show Figures

Graphical abstract

18 pages, 7297 KB  
Article
Mechanisms of Polymer–Antigen Binding and Hydrolysis Inhibition: Molecular Dynamics Simulations and Experimental Measurements
by Ziyang Hu, Kai Yue, Weishen Zhong and Genpei Zhang
Polymers 2026, 18(7), 781; https://doi.org/10.3390/polym18070781 - 24 Mar 2026
Viewed by 437
Abstract
In situ cancer vaccines activate antitumor immune responses by locally capturing and presenting tumor-derived antigens, in which polymers play a key role as antigen-capturing materials. However, the influence of polymer composition and degree of polymerization (DP) on antigen capture efficiency and protection mechanisms [...] Read more.
In situ cancer vaccines activate antitumor immune responses by locally capturing and presenting tumor-derived antigens, in which polymers play a key role as antigen-capturing materials. However, the influence of polymer composition and degree of polymerization (DP) on antigen capture efficiency and protection mechanisms remains insufficiently understood. In this study, the tumor-specific antigen MAGE-A3, highly expressed in esophageal squamous cell carcinoma (ESCC), was employed to investigate antigen capture and stabilization by five representative polymers—chitosan, polyethyleneimine (PEI), alginate, polycaprolactone (PCL), and poly (lactic-co-glycolic acid) (PLGA)—with different DPs, using molecular dynamics simulations and in vitro experiments. All-atom simulations revealed that hydrophobic interactions dominate polymer–antigen binding, while electrostatic interactions from cationic polymers synergistically enhance binding affinity and capture efficiency. Binding free energy analysis showed that van der Waals and electrostatic contributions stabilize the complexes, whereas polar solvation partially counteracts these effects. Experimentally, low-DP chitosan exhibited the highest antigen-capture efficiency (38.9%), attributed to its small molecular size, enabling multipoint binding across the antigen surface. In contrast, high-DP polymers generated pronounced steric hindrance that suppressed antigen–enzyme interactions and inhibited hydrolysis. These findings clarify how polymer composition and chain length jointly regulate antigen capture and protection, providing mechanistic guidance for the rational design of polymer-based in situ cancer vaccines. Full article
(This article belongs to the Section Polymer Physics and Theory)
Show Figures

Figure 1

14 pages, 955 KB  
Article
Effect of Dental CAD-CAM Resin Composite Thickness on the Polymerization Behavior of Dual-Cure Resin Cements for Endocrown Restoration
by Yuya Komagata, Takafumi Watanabe, Shinji Yoshii, Chihiro Masaki and Hiroshi Ikeda
Materials 2026, 19(6), 1217; https://doi.org/10.3390/ma19061217 - 19 Mar 2026
Viewed by 372
Abstract
This study investigated the effect of CAD-CAM resin composite thickness on the polymerization behavior of dual-cure resin cements used for endocrown restorations. Three commercially available dual-cure resin cements and one light-cure resin cement (for comparison) were polymerized by light irradiation through CAD-CAM resin [...] Read more.
This study investigated the effect of CAD-CAM resin composite thickness on the polymerization behavior of dual-cure resin cements used for endocrown restorations. Three commercially available dual-cure resin cements and one light-cure resin cement (for comparison) were polymerized by light irradiation through CAD-CAM resin composite plates of varying thicknesses (1.5, 3.5, 5.5, 7.5, and 9.5 mm). Transmitted light intensity was measured using an optical spectrometer. Polymerization behavior was evaluated immediately after irradiation and after 24 h of aging using Fourier transform infrared spectroscopy to determine the degree of conversion (DC) and Vickers hardness (VH) testing. Transmitted light intensity decreased logarithmically with increasing composite thickness, with less than 1% of incident light reaching the resin cement at thicknesses ≥ 5.5 mm. For the dual-cure resin cements, DC and VH values significantly decreased when the composite thickness exceeded 5.5 mm. Although DC and VH increased after 24 h due to self-curing, values beneath thicker composites remained lower than those beneath 1.5 mm thick composites. The light-cure resin cement failed to polymerize when the composite thickness exceeded 7.5 mm. These results indicate that CAD-CAM resin composite thickness critically influences resin cement polymerization, highlighting the importance of thickness control in endocrown restorations. Full article
Show Figures

Figure 1

17 pages, 6338 KB  
Article
Microwave-Assisted Composite Alkali Activation of Low-Calcium Fly Ash: Preparation and Analysis
by Zeyu Tang, Hongyue Yin, Xin Lv, Jingjie Jiang, Yu Gao, Yue Gao, Minmin Liu, Jianying Deng and Chul B. Park
Minerals 2026, 16(3), 322; https://doi.org/10.3390/min16030322 - 19 Mar 2026
Viewed by 309
Abstract
To promote the high-value utilization of fly ash (FA) and address the prolonged setting time and limited strength associated with conventional single-alkali activation, this study proposes a synergistic dual-alkali activation strategy using Ca(OH)2 and Na2SiO3 in combination with microwave-assisted [...] Read more.
To promote the high-value utilization of fly ash (FA) and address the prolonged setting time and limited strength associated with conventional single-alkali activation, this study proposes a synergistic dual-alkali activation strategy using Ca(OH)2 and Na2SiO3 in combination with microwave-assisted curing for low-calcium fly ash. Samples containing varying amounts of Ca(OH)2 were systematically characterized by X-ray diffraction (XRD), Fourier transform infrared spectroscopy (FTIR), scanning electron microscopy (SEM), compressive strength testing, and pore structure analysis. The results show that Ca(OH)2 facilitates the formation of calcium aluminosilicate hydrate (C-A-S-H) gel, while Na2SiO3 sustains the alkaline environment and enhances the dissolution of SiO2 and Al2O3 from FA. The dual-alkali synergistic system, when coupled with microwave treatment, markedly refines the pore structure, increases the degree of polymerization, and improves compressive strength from 0.5 MPa to 1.7 MPa with increasing Ca(OH)2 content. In addition, the prepared fly ash-based geopolymer (FABG) demonstrates pronounced pH-buffering capacity in acidic environments and exhibits antibacterial activity, primarily attributable to its sustained release of alkalinity. This work highlights that integrating dual-alkali activation with microwave curing can simultaneously enhance microstructural development, chemical stability, and functional performance in low-calcium FA systems, thereby offering a viable route for the development of sustainable and multifunctional green building materials derived from industrial solid waste. Full article
Show Figures

Figure 1

14 pages, 2421 KB  
Article
High-Kappa Eucalyptus Kraft Pulp in a Biorefinery Context: Balancing Sugar Production with Fiber-Reinforcement Potential
by Clarissa Fleury Rocha, Elaine Cristina Lengowski, Naiara Mariana Fiori Monteiro Sampaio, Priscila Tiemi Higuti do Nascimento, Patrícia Raquel Silva Zanoni, Paulo Roberto de Oliveira, Washington Luiz Esteves Magalhães, José Domingos Fontana and Eraldo Antonio Bonfatti Júnior
Forests 2026, 17(3), 358; https://doi.org/10.3390/f17030358 - 13 Mar 2026
Viewed by 309
Abstract
To establish a biorefinery within kraft-pulp mills, the extraction of fermentable sugars must be balanced with the preservation of fiber quality for papermaking. This study investigates this trade-off by applying partial enzymatic hydrolysis to unbleached high-kappa eucalyptus kraft pulp to co-produce bioethanol and [...] Read more.
To establish a biorefinery within kraft-pulp mills, the extraction of fermentable sugars must be balanced with the preservation of fiber quality for papermaking. This study investigates this trade-off by applying partial enzymatic hydrolysis to unbleached high-kappa eucalyptus kraft pulp to co-produce bioethanol and packaging-grade materials. Although the mass-transfer limitations inherent to the high-consistency strategy (15% solids or 150 g L−1) restrict extensive saccharification (keeping glucose conversion below 5% at 1.5 h), it naturally directs the process toward a low-severity regime essential for fiber conservation. Structural analysis (X-ray diffraction and microscopy) revealed that enzymes preferentially targeted amorphous regions, increasing crystallinity (from ≈74% to ≈82%) but reducing intrinsic fiber strength (tear) over time (dropping from ~5.6 to ~2.3 mN·m2·g−1 within 30 min). However, a strategic window for valorization has been identified. Instead of direct papermaking, hydrolyzed residue is highly effective as a strength-enhancing additive. When blended (20% w w−1) with commercial pulp, the modified fibers improved interfiber bonding, restored the tensile strength, and significantly increased the Burst Index (up to ~1.7 kPa·m2·g−1). These results demonstrate a viable industrial approach using partial hydrolysis to recover hemicellulose-based sugars for biofuels, while transforming the solid fraction into a high-performance reinforcement agent for paper packaging. This approach effectively converts a potential trade-off into a synergistic dual-product stream. Full article
Show Figures

Figure 1

12 pages, 4629 KB  
Article
Recycling Polyester/Cotton Blended Textile Wastes by Alcohol-Assisted Alkaline Hydrolysis
by Scott Martínez-Vila, Remedios Prieto-Fuentes, Aïda Duran-Serra, Xavier Colom-Fajula, Javier Cañavate-Ávila and Fernando Carrillo-Navarrete
Textiles 2026, 6(1), 31; https://doi.org/10.3390/textiles6010031 - 12 Mar 2026
Viewed by 468
Abstract
The textile industry faces significant challenges regarding the need for textile waste recycling. This study investigates the feasibility of alkaline hydrolysis assisted by alcoholic co-solvents, such as ethanol, for recycling polyester/cotton blend textiles. Ethanol-assisted alkaline hydrolysis under mild conditions enabled almost complete depolymerisation [...] Read more.
The textile industry faces significant challenges regarding the need for textile waste recycling. This study investigates the feasibility of alkaline hydrolysis assisted by alcoholic co-solvents, such as ethanol, for recycling polyester/cotton blend textiles. Ethanol-assisted alkaline hydrolysis under mild conditions enabled almost complete depolymerisation of polyester, allowing the recovery of its monomers, terephthalic acid and ethylene glycol, which may be used to produce new polyester fibre. However, the treatment was found to adversely affect the properties of the cotton fibres, resulting in a recycled material of lower quality and functionality than the original material. In particular, a significant change in the structure of the cotton fibre was observed, namely, the transformation of cellulose I into cellulose II, as confirmed by FTIR analysis, along with a decrease in both the degree of polymerization and tensile strength, especially at an ethanol/water ratio of 40/60. Hence, alcohol-assisted alkaline hydrolysis is advisable for the chemical recycling of polyester, but it presents limitations when cotton fibres are also present. Full article
(This article belongs to the Special Issue Textile Recycling and Sustainability)
Show Figures

Graphical abstract

13 pages, 3123 KB  
Article
Influence of Build Platform Position on the Trueness and Precision of LCD 3D-Printed Orthognathic Surgical Splints
by Siripatra Patchanee, Pokpong Amornvit, Aunchisa Sreatsiripakdee, Chantawat Tanapirom and Narissaporn Chaiprakit
Dent. J. 2026, 14(3), 145; https://doi.org/10.3390/dj14030145 - 5 Mar 2026
Viewed by 384
Abstract
Background/Objectives: Among vat polymerization technologies, liquid-crystal display (LCD) 3D printing has gained popularity in dentistry because of its affordability and acceptable resolution. However, the factors influencing the dimensional accuracy of LCD-printed surgical splints, particularly build platform position, remain insufficiently investigated. This study [...] Read more.
Background/Objectives: Among vat polymerization technologies, liquid-crystal display (LCD) 3D printing has gained popularity in dentistry because of its affordability and acceptable resolution. However, the factors influencing the dimensional accuracy of LCD-printed surgical splints, particularly build platform position, remain insufficiently investigated. This study aimed to evaluate the influence of build platform position on the trueness and precision of orthognathic surgical splints fabricated using LCD 3D printing technology. Methods: Thirty-six surgical splints were printed from a master digital file using an LCD 3D printer. All surgical splints were printed with a 90-degree layer orientation to the building platform. The layer thickness was set at 100 μm. The surgical splints were divided into three groups according to their printing position on the building platform: middle (M), left (Lt), and right (Rt). Each 3D-printed surgical splint was sprayed with an opaque scanning spray and then rescanned to create digital files for testing. A surface-based superimposition and deviation analysis was performed using specialized 3D software to evaluate accuracy of surgical splints. Root mean square error (RMSE) values were statistically analyzed. Results: There were no statistically significant differences in trueness among the middle, left, and right printing positions on the build platform (p > 0.05). In contrast, printing position significantly affected precision, with surgical splints printed at the center of the build platform demonstrating significantly lower RMSE values compared with those printed at the left and right positions (p < 0.001). In addition, no significant difference in precision was detected between the left and right positions. Conclusions: The printing position on the build platform significantly influences the precision of orthognathic surgical splints fabricated using LCD 3D printing technology. Splints printed at the central region of the build platform exhibited the highest precision, whereas trueness was not significantly affected by printing position. These findings suggest that preferential placement of surgical splints at the center of the build platform may improve fabrication consistency and predictability in digital orthognathic surgery workflows. Full article
(This article belongs to the Special Issue 3D Printing Technology in Dentistry)
Show Figures

Figure 1

20 pages, 3219 KB  
Article
The Importance of Microcoleus vaginatus in Shaping Bacterial Communities Essential for the Development of Cyanobacterial Biological Soil Crusts
by Ziqing Guo, Chunying Wang, Yanfu Ji, Kai Tang, Huiling Guo, Jianyu Meng, Xiang Ji and Shengnan Zhang
Microorganisms 2026, 14(3), 542; https://doi.org/10.3390/microorganisms14030542 - 27 Feb 2026
Viewed by 511
Abstract
Biological soil crusts (BSCs) are critical ecological components in arid lands. Their formation and stability hinge on the assembly and interactive networks of cyanobacteria-led bacterial communities. Yet, how different functional cyanobacteria shape the underlying microbial structure and assembly rules is poorly understood. Here, [...] Read more.
Biological soil crusts (BSCs) are critical ecological components in arid lands. Their formation and stability hinge on the assembly and interactive networks of cyanobacteria-led bacterial communities. Yet, how different functional cyanobacteria shape the underlying microbial structure and assembly rules is poorly understood. Here, we cultivated artificial algal crusts using two representative cyanobacteria: the nitrogen-fixing Leptolyngbya sp. and the non-nitrogen-fixing Microcoleus vaginatus (M. vaginatus CM01). A total of six treatments were established based on the presence or absence of spraying with in situ BSCs leachate: a control group without inoculation of algae or bacteria (soil, S); a treatment group sprayed only with bacterial suspension (soil + bacteria, SB); a treatment group sprayed only with M. vaginatus CM01 (soil + M. vaginatus CM01, SM); a treatment group co-inoculated with both BSCs leachate and M. vaginatus CM01 (soil + M. vaginatus CM01 + bacteria, SMB); a treatment group inoculated only with Leptolyngbya sp. CT01 (soil + Leptolyngbya sp. CT01, SL); and a treatment group co-inoculated with Leptolyngbya sp. CT01 and biocrust leachate (soil + Leptolyngbya sp. CT01 + bacteria, SLB). By integrating 16S rRNA gene sequencing, neutral community modeling (NCM), and structural equation modeling (SEM), we dissected differences in Cyano-BSCs development, bacterial community composition, co-occurrence networks, and assembly mechanisms. Inoculation with M. vaginatus CM01 (SM, SMB) superiorly promoted Cyano-BSCs development: the SM group achieved the highest coverage (23.33%), while the SMB group showed marked increases in organic matter (OM, 4.10 g·kg−1) and chlorophyll a (Chla, 13.40 μg·g−1), alongside a >5-fold rise in bacterial, cyanobacterial, and nitrogen-fixation gene abundances versus controls. The mechanism centers on extracellular polymeric substances (EPS) secreted by M. vaginatus, which homogenized the microenvironment, suppressed stochastic bacterial dispersal (NCM, SM: R2 = 0.698), and enhanced deterministic selection. This process forged a highly cooperative network (89.74% positive links, average degree 34.71) that directionally enriched Cyanobacteria (relative abundance 40.40%). The Shannon index of Cyano-BSCs from the group (SMB) reached 7.72 ± 0.09, reflecting high microbial community diversity. SEM confirmed M. vaginatus directly regulated bacterial assembly (path coefficient = 0.59, p < 0.05) and indirectly improved the soil environment (path coefficient = 0.64, p < 0.05), establishing a “cyanobacteria-community-environment” feedback loop. Conversely, the Leptolyngbya sp. groups (SL, SLB), despite enriching nitrogen-fixing bacteria and fungi, exhibited low carbon fixation efficiency (notably 1.26 g·kg−1 OM in SL) and lack of EPS; communities remained stochastic (NCM, SL: R2 = 0.751) with no effective regulatory pathway—a pattern mirrored in S and SB groups. Our findings demonstrate that M. vaginatus acts as a core engineer of biological soil Cyano-BSCs formation via an “EPS-mediated habitat filtering—functional group enrichment—cooperative network assembly” cascade, enforcing deterministic community construction. Leptolyngbya sp., with limited niche-constructing ability, fails to exert comparable control. This work provides a targeted framework for the artificial restoration of Cyano-BSCs in arid zones. Full article
(This article belongs to the Section Environmental Microbiology)
Show Figures

Figure 1

18 pages, 1315 KB  
Article
Phenolic Compounds Isolated from Salix cinereaL. with Emphasis on the Pharmaceutical Relevance of Flavan-3-ols
by Thomas Olaf Gruber, Katrin Kuck, Dejan Orčić, Jörg Heilmann, Gregor Aas and Guido Jürgenliemk
Molecules 2026, 31(4), 702; https://doi.org/10.3390/molecules31040702 - 18 Feb 2026
Viewed by 477
Abstract
During this phytochemical study, 13 compounds from the bark of Salix cinerea L. were isolated and their structures elucidated. These included two salicylic alcohol derivatives, one flavonol, two phenylpropanoids, two flavan-3-ols, two dimeric procyanidins, two dimeric prodelphinidins, and a unique ester [...] Read more.
During this phytochemical study, 13 compounds from the bark of Salix cinerea L. were isolated and their structures elucidated. These included two salicylic alcohol derivatives, one flavonol, two phenylpropanoids, two flavan-3-ols, two dimeric procyanidins, two dimeric prodelphinidins, and a unique ester of catechin (3-O-(1-hydroxy-6-oxo-2-cyclohexen-1-carboxylic acid), HCH-catechin). Furthermore, seasonal variations in the composition of Salix cortex regarding proanthocyanidins (PA) and the degree of polymerization were examined using NMR spectroscopy, revealing an increase in polymerization throughout the growing season 2020 associated with a consistent hydroxylation pattern in the B-ring. The isolated HCH-catechin was tested in vitro for its inhibitory effect on TNF-α-induced ICAM-1 expression in human microvascular endothelial cells (HMEC-1). A 24 h treatment with a 25 µM solution of HCH-catechin significantly reduced ICAM-1 expression (83.7 ± 3.2%) compared to unsubstituted catechin (97.9 ± 4.4%). Additionally, during a mass-spectrometric screening, numerous HCH adducts within the PA fraction could be identified, allowing for the proposition of a characteristic fragmentation pattern. This study establishes a foundation for a comprehensive assessment of the phenolic, PA-rich fraction in willow bark, particularly the occurrence of HCH adducts, which may contribute to the medicinal properties of Salicis cortex. Findings on seasonal variations and mass spectrometric profiling offer new insights into the quality standards for Salicis cortex as a medicinal remedy. Full article
(This article belongs to the Section Molecular Structure)
Show Figures

Figure 1

19 pages, 2948 KB  
Article
Study on the Degradation Patterns and Structure–Activity Relationship of Wheat Arabinoxylan Hydrolysate by Wheat Malt β-1,4-Endoxylanase
by Kun Chu, Kai Jiang and Yuhong Jin
Foods 2026, 15(4), 738; https://doi.org/10.3390/foods15040738 - 17 Feb 2026
Viewed by 468
Abstract
This study investigates how wheat arabinoxylan (AX) structure influences its functional properties following enzymatic hydrolysis with wheat malt β-1,4-endoxylanase. Using three types of wheat AX with initial molecular weights of 489.42–602.42 kDa, arabinose-to-xylose (A/X) ratios of 0.49–0.55, and average degrees of polymerization (avDP) [...] Read more.
This study investigates how wheat arabinoxylan (AX) structure influences its functional properties following enzymatic hydrolysis with wheat malt β-1,4-endoxylanase. Using three types of wheat AX with initial molecular weights of 489.42–602.42 kDa, arabinose-to-xylose (A/X) ratios of 0.49–0.55, and average degrees of polymerization (avDP) of 1223.57–1506.05 as substrates, enzymatic cleavage produced four high-purity fractions with reduced molecular weight (98.63–301.42 kDa), increased A/X (0.60–0.65), and lower avDP (246.59–753.56). Enzyme action led to triple-helix unwinding, especially at low avDP, accompanied by reduced storage modulus. Molecular weight was the key factor affecting water-holding capacity and foam stability, with high-molecular-weight AX showing superior performance due to its intact helical structure and higher viscoelasticity. In contrast, low-molecular-weight AX with high A/X ratios exhibited enhanced interfacial adsorption and free radical scavenging, supported by greater hydroxyl exposure and higher negative charge density (−9.23 mV). Its emulsifying activity and hydroxyl radical scavenging rate increased by 32.95% and 32.02%, respectively, compared to the original AX. These findings demonstrate that enzymatic modulation of AX molecular weight and branching can directionally tune its functionality, providing a theoretical basis for targeted applications in food systems. Full article
(This article belongs to the Section Food Physics and (Bio)Chemistry)
Show Figures

Figure 1

Back to TopTop