Microencapsulation of Laurus nobilis L. Leaf Extract in Alginate-Based System via Electrostatic Extrusion
Abstract
:1. Introduction
2. Materials and Methods
2.1. Chemicals and Reagents
2.2. Plant Material
2.3. Extract Preparation
2.4. Total Phenolic Content (TPC)
2.5. Electrostatic Extrusion
2.6. Encapsulation Efficiency (EE)
2.7. Antioxidant Activity Assays
2.8. UPLC-MS2
2.9. Release Kinetics of Polyphenols
2.10. Bioaccessibility of Polyphenols
2.11. Statistical Analysis
3. Results and Discussion
3.1. Influence of the Encapsulation Parameters on the Phenolic Content and Antioxidant Activity of BLP
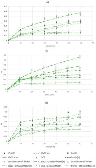
3.2. Release Kinetics of BLP
3.3. Bioaccessibility of BLP
4. Conclusions
Author Contributions
Funding
Data Availability Statement
Conflicts of Interest
References
- Dobroslavić, E.; Repajić, M.; Dragović-Uzelac, V.; Elez Garofulić, I. Isolation of Laurus nobilis Leaf Polyphenols: A Review on Current Techniques and Future Perspectives. Foods 2022, 11, 235. [Google Scholar] [CrossRef] [PubMed]
- Cao, H.; Saroglu, O.; Karadag, A.; Diaconeasa, Z.; Zoccatelli, G.; Conte-Junior, C.A.; Gonzalez-Aguilar, G.A.; Ou, J.; Bai, W.; Zamarioli, C.M.; et al. Available technologies on improving the stability of polyphenols in food processing. Food Front. 2021, 2, 109–139. [Google Scholar] [CrossRef]
- Annunziata, G.; Jiménez-García, M.; Capó, X.; Moranta, D.; Arnone, A.; Tenore, G.C.; Sureda, A.; Tejada, S. Microencapsulation as a tool to counteract the typical low bioavailability of polyphenols in the management of diabetes. Food Chem. Toxicol. 2020, 139, 111248. [Google Scholar] [CrossRef]
- Chaumun, M.; Goëlo, V.; Ribeiro, A.M.; Rocha, F.; Estevinho, B.N. In vitro evaluation of microparticles with Laurus nobilis L. extract prepared by spray-drying for application in food and pharmaceutical products. Food Bioprod. Process. 2020, 122, 124–135. [Google Scholar] [CrossRef]
- Tometri, S.S.; Ahmady, M.; Ariaii, P.; Soltani, M.S. Extraction and encapsulation of Laurus nobilis leaf extract with nano-liposome and its effect on oxidative, microbial, bacterial and sensory properties of minced beef. J. Food Meas. Charact. 2020, 14, 3333–3344. [Google Scholar] [CrossRef]
- Shishir, M.R.I.; Xie, L.; Sun, C.; Zheng, X.; Chen, W. Advances in micro and nano-encapsulation of bioactive compounds using biopolymer and lipid-based transporters. Trends Food Sci. Technol. 2018, 78, 34–60. [Google Scholar] [CrossRef]
- Chan, E.S.; Yim, Z.H.; Phan, S.H.; Mansa, R.F.; Ravindra, P. Encapsulation of herbal aqueous extract through absorption with ca-alginate hydrogel beads. Food Bioprod. Process. 2010, 88, 195–201. [Google Scholar] [CrossRef]
- Belšćak-Cvitanović, A.; Stojanović, R.; Manojlović, V.; Komes, D.; Cindrić, I.J.; Nedović, V.; Bugarski, B. Encapsulation of polyphenolic antioxidants from medicinal plant extracts in alginate-chitosan system enhanced with ascorbic acid by electrostatic extrusion. Food Res. Int. 2011, 44, 1094–1101. [Google Scholar] [CrossRef]
- Yeh, Y.M.; Tsai, T.Y.; Yang, C.Y. Encapsulation and release kinetics of polyphenols and p-coumaric acid extracted from Phyllostachys makinoi by ultrasonic-pretreatment autoclaving. LWT 2022, 167, 113838. [Google Scholar] [CrossRef]
- Liang, J.; Yan, H.; Puligundla, P.; Gao, X.; Zhou, Y.; Wan, X. Applications of chitosan nanoparticles to enhance absorption and bioavailability of tea polyphenols: A review. Food Hydrocoll. 2017, 69, 286–292. [Google Scholar] [CrossRef]
- D’Archivio, M.; Filesi, C.; Varì, R.; Scazzocchio, B.; Masella, R. Bioavailability of the polyphenols: Status and controversies. Int. J. Mol. Sci. 2010, 11, 1321–1342. [Google Scholar] [CrossRef]
- Dima, C.; Assadpour, E.; Dima, S.; Jafari, S.M. Bioavailability and bioaccessibility of food bioactive compounds; overview and assessment by in vitro methods. Compr. Rev. Food Sci. Food Saf. 2020, 19, 2862–2884. [Google Scholar] [CrossRef] [PubMed]
- AOAC. Official Methods of Analysis: Changes in Official Methods of Analysis Made at the Annual Meeting; Supplement; AOAC: Rockville, MD, USA, 1990; Volume 15. [Google Scholar]
- Dobroslavić, E.; Elez Garofulić, I.; Šeparović, J.; Zorić, Z.; Pedisić, S.; Dragović-Uzelac, V. Pressurized Liquid Extraction as a Novel Technique for the Isolation of Laurus nobilis L. Leaf Polyphenols. Molecules 2022, 27, 5099. [Google Scholar] [CrossRef] [PubMed]
- Huguet, M.L.; Dellacherie, E. Calcium alginate beads coated with chitosan: Effect of the structure of encapsulated materials on their release. Process Biochem. 1996, 31, 745–751. [Google Scholar] [CrossRef]
- Elez Garofulić, I.; Zorić, Z.; Pedisić, S.; Brnčić, M.; Dragović-Uzelac, V. UPLC-MS 2 Profiling of Blackthorn Flower Polyphenols Isolated by Ultrasound-Assisted Extraction. J. Food Sci. 2018, 83, 2782–2789. [Google Scholar] [CrossRef]
- Dobroslavić, E.; Elez Garofulić, I.; Zorić, Z.; Pedisić, S.; Dragović-Uzelac, V. Polyphenolic Characterization and Antioxidant Capacity of Laurus nobilis L. Leaf Extracts Obtained by Green and Conventional Extraction Techniques. Processes 2021, 9, 1840. [Google Scholar] [CrossRef]
- Malekjani, N.; Jafari, S.M. Modeling the release of food bioactive ingredients from carriers/nanocarriers by the empirical, semiempirical, and mechanistic models. Compr. Rev. Food Sci. Food Saf. 2021, 20, 3–47. [Google Scholar] [CrossRef]
- Cegledi, E.; Garofulić, I.E.; Zorić, Z.; Roje, M.; Dragović-Uzelac, V. Effect of Spray Drying Encapsulation on Nettle Leaf Extract Powder Properties, Polyphenols and Their Bioavailability. Foods 2022, 11, 2852. [Google Scholar] [CrossRef]
- Bušić, A.; Belščak-Cvitanović, A.; Vojvodić Cebin, A.; Karlović, S.; Kovač, V.; Špoljarić, I.; Mršić, G.; Komes, D. Structuring new alginate network aimed for delivery of dandelion (Taraxacum officinale L.) polyphenols using ionic gelation and new filler materials. Food Res. Int. 2018, 111, 244–255. [Google Scholar] [CrossRef] [PubMed]
- Plazinski, W.; Plazinska, A. Molecular dynamics study of the interactions between phenolic compounds and alginate/alginic acid chains. New J. Chem. 2011, 35, 1607–1614. [Google Scholar] [CrossRef]
- Kong, W.; Wang, Z.; Fei, S.; Xiao, Q.; Lu, M.; Zhu, J. Specific effects of calcium acetate on the self-assembly of chitosan molecules on mica surface observed with atomic force microscopy. Int. J. Food Prop. 2018, 21, 2007–2015. [Google Scholar] [CrossRef]
- Hu, Q.; Luo, Y. Polyphenol-chitosan conjugates: Synthesis, characterization, and applications. Carbohydr. Polym. 2016, 151, 624–639. [Google Scholar] [CrossRef]
- El-Hamidi, M.; Zaher, F.A. Comparison Between Some Common Clays as Adsorbents of Carotenoids, Chlorophyll and Phenolic Compounds from Vegetable Oils. Am. J. Food Technol. 2016, 11, 92–99. [Google Scholar] [CrossRef]
- Prior, R.L.; Wu, X.; Schaich, K. Standardized Methods for the Determination of Antioxidant Capacity and Phenolics in Foods and Dietary Supplements. J. Agric. Food Chem. 2005, 53, 4290–4302. [Google Scholar] [CrossRef] [PubMed]
- Wong, T.W.; Chan, L.W.; Kho, S.B.; Sia Heng, P.W. Design of controlled-release solid dosage forms of alginate and chitosan using microwave. J. Control. Release 2002, 84, 99–114. [Google Scholar] [CrossRef]
- Grgić, J.; Šelo, G.; Planinić, M.; Tišma, M.; Bucić-Kojić, A. Role of the encapsulation in bioavailability of phenolic compounds. Antioxidants 2020, 9, 923. [Google Scholar] [CrossRef]
- Fernández-Jalao, I.; Sánchez-Moreno, C.; de Ancos, B. Influence of food matrix and high-pressure processing on onion flavonols and antioxidant activity during gastrointestinal digestion. J. Food Eng. 2017, 213, 60–68. [Google Scholar] [CrossRef]
- Gayoso, L.; Claerbout, A.S.; Calvo, M.I.; Cavero, R.Y.; Astiasarán, I.; Ansorena, D. Bioaccessibility of rutin, caffeic acid and rosmarinic acid: Influence of the in vitro gastrointestinal digestion models. J. Funct. Foods 2016, 26, 428–438. [Google Scholar] [CrossRef]
- Simsek-Ege, F.A.; Bond, G.M.; Stringer, J. Polyelectrolye complex formation between alginate and Chitosan as a function of pH. J. Appl. Polym. Sci. 2003, 88, 346–351. [Google Scholar] [CrossRef]
- Urbanova, M.; Pavelkova, M.; Czernek, J.; Kubova, K.; Vyslouzil, J.; Pechova, A.; Molinkova, D.; Vyslouzil, J.; Vetchy, D.; Brus, J. Interaction Pathways and Structure-Chemical Transformations of Alginate Gels in Physiological Environments. Biomacromolecules 2019, 20, 4158–4170. [Google Scholar] [CrossRef]
- Niu, L.; Li, Z.; Fan, W.; Zhong, X.; Peng, M.; Liu, Z. Nano-Strategies for Enhancing the Bioavailability of Tea Polyphenols: Preparation, Applications, and Challenges. Foods 2022, 11, 387. [Google Scholar] [CrossRef] [PubMed]
- Kandemir, K.; Tomas, M.; McClements, D.J.; Capanoglu, E. Recent advances on the improvement of quercetin bioavailability. Trends Food Sci. Technol. 2022, 119, 192–200. [Google Scholar] [CrossRef]
- Lafay, S.; Gil-Izquierdo, A. Bioavailability of phenolic acids. Phytochem. Rev. 2008, 7, 301–311. [Google Scholar] [CrossRef]


| Sample | % Alginate | Gelling Solution | Total Phenols mg GAE/g Bead | Encapsulation Efficiency % | DPPH μmol TE/g Bead | FRAP μmol TE/g Bead |
|---|---|---|---|---|---|---|
| 1 | 1 | 1.5% CaCl2 | 10.94 ± 0.28 | 52.44 ± 1.36 | 10.63 ± 0.94 | 9.62 ± 0.11 |
| 2 | 1 | 3% CaCl2 | 12.31 ± 0.46 | 59.35 ± 2.23 | 11.88 ± 0.72 | 11.12 ± 0.59 |
| 3 | 1 | 5% CaCl2 | 10.46 ± 0.16 | 50.25 ± 0.77 | 11.66 ± 0.71 | 8.33 ± 0.38 |
| 4 | 1 | 1.5% CaCl2 + 0.5% chitosan | 19.22 ± 0.78 | 92.76 ± 3.78 | 19.47 ± 0.23 | 16.96 ± 1.3 |
| 5 | 1 | 3% CaCl2 + 0.5% chitosan | 12.68 ± 0.64 | 60.92 ± 3.1 | 16.01 ± 0.16 | 12.12 ± 0.43 |
| 6 | 1 | 5% CaCl2 + 0.5% chitosan | 10.68 ± 0.40 | 51.2 ± 1.94 | 14.18 ± 0.21 | 9.95 ± 0.27 |
| 7 | 1.5 | 1.5% CaCl2 | 12.11 ± 1.03 | 58.12 ± 4.94 | 11.78 ± 0.37 | 10.68 ± 0.11 |
| 8 | 1.5 | 3% CaCl2 | 9.82 ± 0.04 | 47.37 ± 0.19 | 10.49 ± 0.77 | 7.14 ± 0.38 |
| 9 | 1.5 | 5% CaCl2 | 10.33 ± 0.58 | 50.04 ± 2.81 | 12.27 ± 0.05 | 8.15 ± 0.75 |
| 10 | 1.5 | 1.5% CaCl2 + 0.5% chitosan | 19.85 ± 0.93 | 95.43 ± 4.45 | 20.18 ± 0.63 | 17.03 ± 1.19 |
| 11 | 1.5 | 3% CaCl2 + 0.5% chitosan | 13.82 ± 0.69 | 66.26 ± 3.29 | 17.42 ± 1.11 | 14.03 ± 0.92 |
| 12 | 1.5 | 5% CaCl2 + 0.5% chitosan | 12.33 ± 0.40 | 59.14 ± 1.94 | 16.01 ± 0.58 | 10.14 ± 0.33 |
| 13 | 2 | 1.5% CaCl2 | 10.22 ± 0.83 | 49.08 ± 3.97 | 11.74 ± 0.85 | 11.59 ± 0.43 |
| 14 | 2 | 3% CaCl2 | 9.21 ± 0.54 | 44.56 ± 2.61 | 11.76 ± 0.44 | 11.27 ± 0.65 |
| 15 | 2 | 5% CaCl2 | 10.33 ± 0.60 | 49.97 ± 2.9 | 12.12 ± 0.35 | 12.19 ± 0.97 |
| 16 | 2 | 1.5% CaCl2 + 0.5% chitosan | 20.38 ± 0.68 | 98.3 ± 3.29 | 19.14 ± 0.32 | 19.18 ± 1.08 |
| 17 | 2 | 3% CaCl2 + 0.5% chitosan | 15.15 ± 1.11 | 72.49 ± 5.32 | 16.87 ± 0.04 | 16.29 ± 0.38 |
| 18 | 2 | 5% CaCl2 + 0.5% chitosan | 9.22 ± 0.36 | 44.77 ± 1.74 | 14.4 ± 0.38 | 11.46 ± 0.11 |
| N | Total Phenols | EE (%) | DPPH | FRAP | |
|---|---|---|---|---|---|
| (mg GAE g−1 Beads) | (μmol TE g−1 Beads) | (μmol TE g−1 Beads) | |||
| % alginate | p = 0.41 ‡ | p = 0.39 ‡ | p = 0.87 ‡ | p = 0.06 ‡ | |
| 1 | 12 | 12.71 ± 0.92 a | 61.15 ± 4.46 a | 13.97 ± 0.92 a | 11.35 ± 0.85 a |
| 1.5 | 12 | 13.04 ± 1.01 a | 62.73 ± 4.84 a | 14.69 ± 1.05 a | 11.19 ± 1.03 a |
| 2 | 12 | 12.42 ± 1.24 a | 59.86 ± 5.97 a | 14.34 ± 0.86 a | 13.66 ± 0.92 a |
| Gelling solution | p ≤ 0.01 † | p ≤ 0.01 † | p ≤ 0.01 † | p ≤ 0.01 † | |
| 1.5% CaCl2 | 6 | 11.09 ± 0.42 a | 53.21 ± 2.04 a | 11.38 ± 0.34 a | 10.63 ± 0.37 a |
| 3% CaCl2 | 6 | 10.44 ± 0.61 a | 50.43 ± 2.94 a | 11.38 ± 0.35 a | 9.84 ± 0.87 a |
| 5% CaCl2 | 6 | 10.37 ± 0.16 a | 50.09 ± 0.75 a | 12.02 ± 0.18 a | 9.55 ± 0.87 a |
| 1.5% CaCl2 + 0.5% w/v chitosan | 6 | 19.82 ± 0.33 c | 95.49 ± 1.59 c | 19.60 ± 0.24 c | 17.72 ± 0.59 c |
| 3% CaCl2 + 0.5% w/v chitosan | 6 | 13.89 ± 0.52 b | 66.56 ± 2.47 b | 16.77 ± 0.33 b | 14.15 ± 0.79 b |
| 5% CaCl2 + 0.5% w/v chitosan | 6 | 10.74 ± 0.58 a | 51.71 ± 2.70 a | 14.86 ± 0.39 b | 10.52 ± 0.31 a |
| Average | 36 | 12.72 ± 0.60 | 61.25 ± 2.88 | 14.33 ± 0.53 | 12.07 ± 0.56 |
| Compound Number | Retention Time | Tentative Identification | Concentration (mg L−1) | |||||
|---|---|---|---|---|---|---|---|---|
| Extract | Bead Extract Theoretical | Bead Extract Experimental | EE (%) | |||||
| S1 | S4 | S1 | S4 | |||||
| Phenolic acids | ||||||||
| 2 | 3.745 | 3,4-dihidrobenzoic acid hexoside | 0.19 ± 0.01 | 0.02 ± 0.00 | 0.00 ± 0.00 | 0.00 ± 0.00 | 23.49 ± 1.33 b | 5.82 ± 0.33 a |
| 3 | 4.55 | Protocatehuic acid | 5.41 ± 0.15 | 0.54 ± 0.02 | 0.25 ± 0.01 | 0.29± 0.01 | 45.69 ± 2.59 a | 53.75 ± 3.04 b |
| 4 | 4.79 | Syringic Acid | 8.62 ± 0.24 | 0.86 ± 0.02 | 0.64 ± 0.02 | 0.66 ± 0.02 | 74.11 ± 4.19 a | 76.97 ± 4.36 a |
| 5 | 4.913 | Chlorogenic acid | 0.97 ± 0.03 | 0.10 ± 0.00 | 0.06 ± 0.00 | 0.07 ± 0.00 | 60.61 ± 3.43 a | 72.20 ± 4.09 b |
| 6 | 5.43 | Rosmarinic acid | 1.65 ± 0.05 | 0.17 ± 0.00 | 0.16 ± 0.00 | 0.10 ± 0.00 | 98.58 ± 5.58 b | 61.20 ± 3.46 a |
| 7 | 6.492 | Caffeic acid | 119.74 ± 3.39 | 11.97 ± 0.34 | 5.03 ± 0.14 | 3.87 ± 0.11 | 42.02 ± 2.38 b | 32.30 ± 1.83 a |
| 12 | 7.931 | p-coumaric acid | 4.13 ± 0.12 | 0.41 ± 0.01 | 0.25 ± 0.01 | 0.36 ± 0.01 | 59.85 ± 3.39 a | 87.32 ± 4.94 b |
| 17 | 8.568 | Ferulic acid | 2.76 ± 0.08 | 0.28 ± 0.01 | 0.24 ± 0.01 | 0.27 ± 0.01 | 85.21 ± 4.82 a | 98.03 ± 5.55 b |
| 24 | 9.76 | p-hydroxybenzoic acid | 4.10 ± 0.12 | 0.41 ± 0.01 | 0.34 ± 0.00 | 0.41 ± 0.01 | 83.03 ± 3.48 a | 99.19 ± 4.15 b |
| 28 | 11.443 | Gallic acid | 5.73 ± 0.16 | 0.57 ± 0.02 | 0.55 ± 0.02 | 0.26 ± 0.01 | 95.65 ± 5.41 b | 46.15 ± 2.61 a |
| - | - | ∑Phenolic acids | 153.30 ± 0.43 | 15.33 ± 0.04 | 7.51 ± 0.02 | 6.30 ± 0.02 | 49.02 ± 3.66 a | 41.07 ± 3.44 a |
| Flavonols | ||||||||
| 1 | 3.604 | Kaempferol-3-O-rutinoside | 24.44 ± 0.69 | 2.44 ± 0.07 | 2.36 ± 0.07 | 2.32± 0.07 | 96.57 ± 5.47 a | 94.86 ± 5.37 a |
| 15 | 8.343 | Rutin | 78.43 ± 2.22 | 7.84 ± 0.22 | 5.76 ± 0.16 | 4.44± 0.13 | 73.45 ± 4.16 b | 56.58 ± 3.20 a |
| 18 | 8.62 | Quercetin-3-O-glucoside | 108.39 ± 3.07 | 10.84 ± 0.31 | 7.56 ± 0.21 | 10.70± 0.30 | 69.78 ± 3.95 a | 98.74 ± 5.59 b |
| 19 | 9.161 | Kaempferol-3-O-hexoside | 27.27± 0.77 | 2.73 ± 0.08 | 1.43 ± 0.04 | 1.50 ± 0.04 | 52.44 ± 2.97 a | 54.84 ± 3.10 a |
| 20 | 9.171 | Quercetin-3-O-pentoside | 19.35 ± 0.55 | 1.93 ± 0.05 | 1.06 ± 0.03 | 1.77 ± 0.05 | 54.83 ± 3.10 a | 91.71 ± 5.19 b |
| 22 | 9.528 | Isorhamnetin3-O-hexoside | 40.85 ± 1.16 | 4.08 ± 0.12 | 2.86 ± 0.08 | 4.95 ± 0.07 | 69.97 ± 3.96 a | 121.21 ± 1.65 b |
| 23 | 9.548 | Quercetin-3-O-rhamnoside | 60.23± 1.70 | 6.02 ± 0.17 | 4.98 ± 0.14 | 6.00 ± 0.17 | 82.73 ± 4.68 a | 99.64 ± 5.64 b |
| 25 | 9.829 | Kaempferol-3-O-pentoside | 6.02± 0.17 | 0.60 ±0.02 | 0.51 ± 0.01 | 0.58 ± 0.02 | 84.64 ± 4.79 a | 96.98 ± 5.49 b |
| 27 | 10.346 | Kaempferol-3-O-deoxyhexoside | 0.14± 0.00 | 0.01 ± 0.00 | 0.01 ± 0.00 | 0.01 ± 0.00 | 40.02 ± 2.26 a | 63.15 ± 3.57 b |
| 29 | 12.176 | Myricetin | 0.85 ± 0.02 | 0.09 ± 0.00 | 0.08 ± 0.00 | 0.08 ± 0.00 | 98.18 ± 5.56 a | 99.69 ± 5.64 a |
| - | - | ∑Flavonols | 365.96 ± 1.04 | 36.60 ± 0.1 | 26.61 ± 0.08 | 32.36 ± 0.08 | 72.73 ± 4.09 a | 88.42 ± 4.44 b |
| Flavones | ||||||||
| 11 | 7.589 | Luteolin-6-C-glucoside | 0.31± 0.01 | 0.03 ± 0.00 | 0.01 ± 0.00 | 0.03 ± 0.00 | 46.97 ± 2.66 a | 86.95 ± 4.92 b |
| 14 | 8.223 | Apigenin-6-C-(O-deoxyhexosyl)-hexoside | 0.14 ± 0.00 | 0.01 ± 0.00 | 0.00 ± 0.00 | 0.00 ± 0.00 | 15.28 ± 0.86 a | 30.78 ± 0.42 b |
| 21 | 9.261 | Luteolin | 8.62 ± 0.24 | 0.86 ± 0.02 | 0.54 ± 0.02 | 0.86 ± 0.02 | 62.80 ± 3.55 a | 99.61 ± 5.64 b |
| 26 | 10.24 | Apigenin | 1.07 ± 0.03 | 0.11 ± 0.00 | 0.02 ± 0.00 | 0.03 ± 0.00 | 21.02 ± 1.19 a | 28.98 ± 1.64 b |
| ∑Flavones | 10.14 ± 0.07 | 1.04 ± 0.00 | 0.58 ± 0.02 | 0.92 ± 0.03 | 57.25 ± 2.07 a | 90.82 ± 3.15 b | ||
| Flavan-3-ols | ||||||||
| 8 | 6.581 | Catechin | 14.50 ± 0.41 | 1.45 ± 0.04 | 0.34 ± 0.01 | 0.14 ± 0.00 | 23.14 ± 1.31 b | 9.73 ± 0.55 a |
| 9 | 6.588 | Epicatechin | 14.90 ± 0.42 | 1.49 ± 0.04 | 0.33 ± 0.01 | 0.16 ± 0.00 | 22.27 ± 1.26 b | 10.77 ± 0.61 a |
| 13 | 7.993 | Epicatechin gallate | 1.01 ± 0.03 | 0.10 ± 0.00 | 0.03 ± 0.00 | 0.04 ± 0.00 | 31.14 ± 1.76 a | 36.19 ± 2.05 b |
| 16 | 8.363 | Epigallocatechin gallate | 2.24 ± 0.06 | 0.22 ± 0.01 | 0.03 ± 0.00 | 0.07 ± 0.00 | 12.11 ± 0.69 a | 31.26 ± 1.77 b |
| ∑Flavan-3-ols | 32.65 ± 0.23 | 3.27 ± 0.02 | 0.73 ± 0.02 | 0.41 ± 0.02 | 22.24 ± 1.25 b | 12.50 ± 1.24 a | ||
| Proanthocyanidins | ||||||||
| 10 | 6.9 | Procyanidin trimer | 24.22 ± 0.68 | 2.42 ± 0.07 | 0.31 ± 0.01 | 0.15 ± 0.00 | 12.65 ± 0.72 b | 6.38 ± 0.36 a |
| - | - | Total phenols | 586.26 ± 2.46 | 58.63 ± 0.25 | 35.74 ± 0.31 | 40.41 ±0.45 | 60.97 ± 1.15 a | 68.46 ± 1.37 b |
| Sample | Alginate % | Gelling Solution | K | n | R2 |
|---|---|---|---|---|---|
| 1 | 1% alginate | 1.5% CaCl2 | 0.0846 | 0.1499 | 0.9604 |
| 2 | 3% CaCl2 | 0.0714 | 0.4242 | 0.9606 | |
| 3 | 5% CaCl2 | 0.0962 | 0.1469 | 0.9831 | |
| 4 | 1.5% CaCl2 + 0.5% chitosan | 0.0638 | 0.5357 | 0.9680 | |
| 5 | 3% CaCl2 + 0.5% chitosan | 0.0204 | 0.7260 | 0.9605 | |
| 6 | 5% CaCl2 + 0.5% chitosan | 0.0146 | 0.7851 | 0.9582 | |
| 7 | 1.5% alginate | 1.5% CaCl2 | 0.0657 | 0.4396 | 0.9752 |
| 8 | 3% CaCl2 | 0.1811 | 0.0717 | 0.9578 | |
| 9 | 5% CaCl2 | 0.1156 | 0.2328 | 0.9530 | |
| 10 | 1.5% CaCl2 + 0.5% chitosan | 0.0562 | 0.6016 | 0.9611 | |
| 11 | 3% CaCl2 + 0.5% chitosan | 0.0434 | 0.5866 | 0.9747 | |
| 12 | 5% CaCl2 + 0.5% chitosan | 0.0787 | 0.1367 | 0.9768 | |
| 13 | 2% alginate | 1.5% CaCl2 | 0.0345 | 0.5091 | 0.9747 |
| 14 | 3% CaCl2 | 0.1545 | 0.0296 | 0.9531 | |
| 15 | 5% CaCl2 | 0.1426 | 0.1382 | 0.9746 | |
| 16 | 1.5% CaCl2 + 0.5% chitosan | 0.0158 | 0.5704 | 0.9618 | |
| 17 | 3% CaCl2 + 0.5% chitosan | 0.0246 | 0.5646 | 0.9564 | |
| 18 | 5% CaCl2 + 0.5% chitosan | 0.0871 | 0.0813 | 0.9674 |
Disclaimer/Publisher’s Note: The statements, opinions and data contained in all publications are solely those of the individual author(s) and contributor(s) and not of MDPI and/or the editor(s). MDPI and/or the editor(s) disclaim responsibility for any injury to people or property resulting from any ideas, methods, instructions or products referred to in the content. |
© 2023 by the authors. Licensee MDPI, Basel, Switzerland. This article is an open access article distributed under the terms and conditions of the Creative Commons Attribution (CC BY) license (https://creativecommons.org/licenses/by/4.0/).
Share and Cite
Dobroslavić, E.; Zorić, Z.; Dragović-Uzelac, V.; Elez Garofulić, I. Microencapsulation of Laurus nobilis L. Leaf Extract in Alginate-Based System via Electrostatic Extrusion. Foods 2023, 12, 3242. https://doi.org/10.3390/foods12173242
Dobroslavić E, Zorić Z, Dragović-Uzelac V, Elez Garofulić I. Microencapsulation of Laurus nobilis L. Leaf Extract in Alginate-Based System via Electrostatic Extrusion. Foods. 2023; 12(17):3242. https://doi.org/10.3390/foods12173242
Chicago/Turabian StyleDobroslavić, Erika, Zoran Zorić, Verica Dragović-Uzelac, and Ivona Elez Garofulić. 2023. "Microencapsulation of Laurus nobilis L. Leaf Extract in Alginate-Based System via Electrostatic Extrusion" Foods 12, no. 17: 3242. https://doi.org/10.3390/foods12173242
APA StyleDobroslavić, E., Zorić, Z., Dragović-Uzelac, V., & Elez Garofulić, I. (2023). Microencapsulation of Laurus nobilis L. Leaf Extract in Alginate-Based System via Electrostatic Extrusion. Foods, 12(17), 3242. https://doi.org/10.3390/foods12173242

