Effects of Hydroxyethyl Cellulose and Sulfated Rice Bran Polysaccharide Coating on Quality Maintenance of Cherry Tomatoes during Cold Storage
Abstract
:1. Introduction
2. Materials and Methods
2.1. Materials
2.2. SRBP
2.3. Preparation of Coatings
2.4. Preservation of Cherry Tomatoes
2.5. Determination of Physicochemical Quality
2.5.1. Color
2.5.2. Sensory Evaluation
2.5.3. The Rate of Decay and Weight Loss
2.5.4. Firmness
2.6. Nutrient Composition
2.6.1. Total Soluble Solids (TSS), Titratable Acidity (TA), and Ascorbic Acid
2.6.2. Total Phenolic (TP) Content
2.6.3. Carotenoids
2.7. Enzyme Activity
2.8. Malondialdehyde (MDA)
2.9. Volatile Substances
2.10. Data Analysis
3. Results
3.1. Effect of the Coating on the Physicochemical Quality of Cherry Tomatoes
3.1.1. Color and Sensory Score
3.1.2. Weight Loss, Decay Rate, and Surface Appearance
3.1.3. Firmness
3.2. Nutrient Composition
3.3. PPO and POD Activities
3.4. MDA
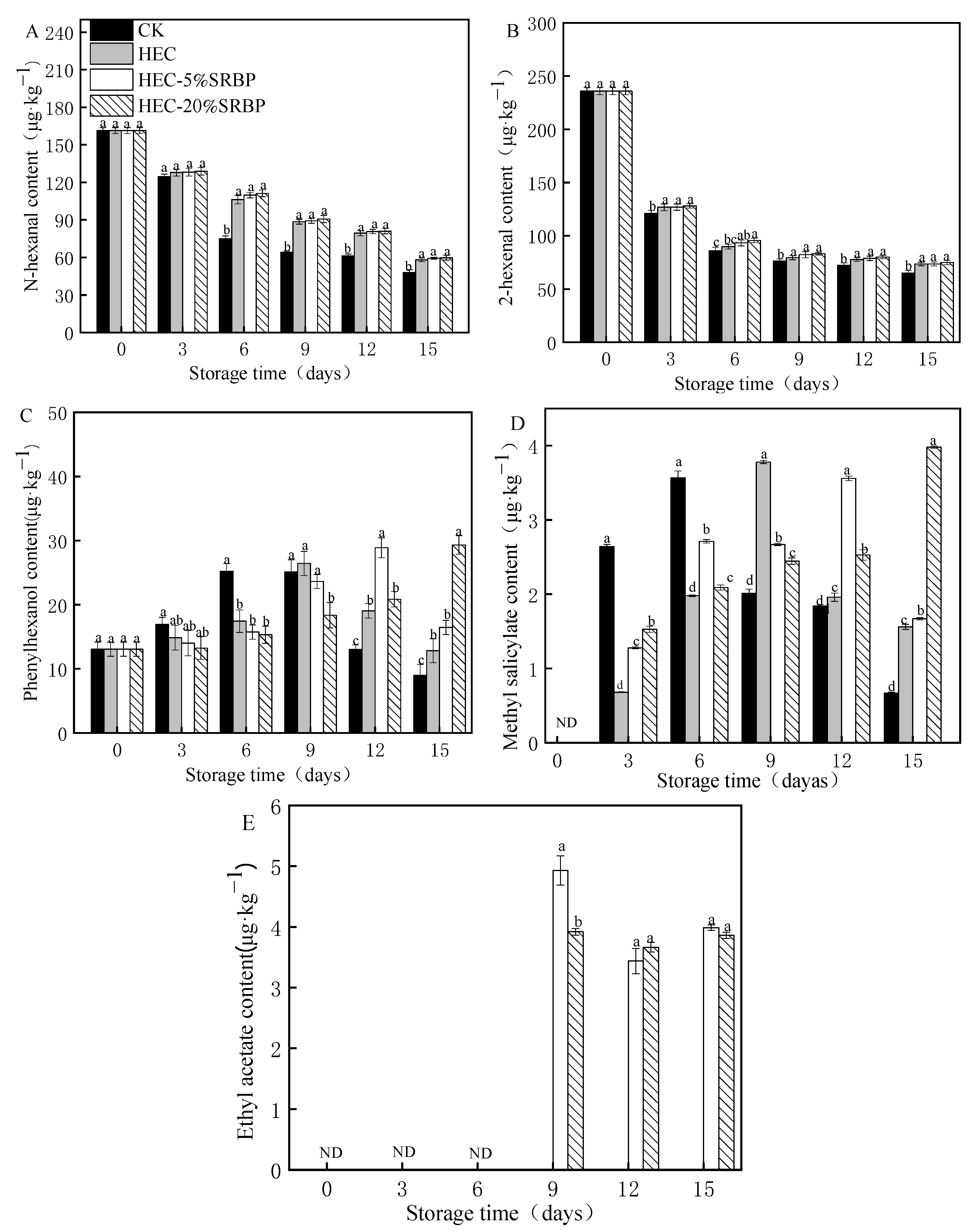
3.5. Volatile Substances
4. Discussion and Conclusions
Supplementary Materials
Author Contributions
Funding
Data Availability Statement
Conflicts of Interest
Abbreviations
| Abbreviation | Name |
| SRBP | Sulfated rice bran polysaccharides |
| HEC | Hydroxyethyl cellulose |
| L* | Luminosity |
| a* | Redness/greenness, |
| b* | Yellowness/blueness |
| TSS | Total soluble solids |
| TA | Titratable acidity |
| TP | Total phenolic |
| PPO | Polyphenol oxidase |
| POD | Peroxidase |
| MDA | Malondialdehyde |
References
- Coyago-Cruz, E.; Corell, M.; Moriana, A.; Hernanz, D.; Benítez-González, A.M.; Stinco, C.M.; Meléndez-Martínez, A.J. Antioxidants (carotenoids and phenolics) profile of cherry tomatoes as influenced by deficit irrigation, ripening and cluster. Food Chem. 2018, 240, 870–884. [Google Scholar] [CrossRef]
- Liu, X.; Gao, Y.; Yang, H. Pichia kudriavzevii retards fungal decay by influencing the fungal community succession during cherry tomato fruit storage. Food Microbiol. 2020, 88, 103404. [Google Scholar] [CrossRef] [PubMed]
- Arain, M.A.; Mei, Z.; Hassan, F.U.; Saeed, M.; Alagwany, M.; Shar, A.H.; Pajput, L.R. Lycopene: A natural antioxidant for prevention of heat-induced oxidative stress in poultry. World Poult. Sci. J. 2018, 74, 89–100. [Google Scholar] [CrossRef]
- Chang, X.Y.; Wang, G.Q.; Chang, X.G.; Zhao, X.; Feng, X.; Chen, X. The Establishment of Cherry Tomatoes Evaluation System. IOP Conf. Ser. EEES 2020, 474, 032038. [Google Scholar] [CrossRef]
- Domínguez, I.; Lafuente, M.T.; Hernández-Muñoz, P.; Gavara, R. Influence of modified atmosphere and ethylene levels on quality attributes of fresh tomatoes (Lycopersicon esculentum Mill.). Food Chem. 2016, 209, 211–219. [Google Scholar] [CrossRef] [PubMed]
- Tsaniklidis, G.; Delis, C.; Nikoloudakis, N.; Katinakis, P.; Aivalakis, G. Low temperature storage affects the ascorbic acid metabolism of cherry tomato fruits. Plant Physiol. Biochem. 2014, 84, 149–157. [Google Scholar] [CrossRef] [PubMed]
- Roshandel-hesari, N.; Mokaber-Esfahani, M.; Taleghani, A.; Akbari, R. Investigation of physicochemical properties, antimicrobial and antioxidant activity of edible films based on chitosan/casein containing Origanum vulgare L. essential oil and its effect on quality maintenance of cherry tomato. Food Chem. 2020, 396, 133650. [Google Scholar] [CrossRef]
- Mannozzi, C.; Cecchini, J.P.; Tylewicz, U.; Siroli, L.; Patrignani, F.; Lanciotti, R.; Rocculi, P.; Rosa, M.D.; Romani, S. Study on the efficacy of edible coatings on quality of blueberry fruits during shelf-life. LWT-Food Sci. Technol. 2017, 85, 440–444. [Google Scholar] [CrossRef]
- Ali, S.; Anjum, M.K.; Khan, A.S.; Nawaz, A.; Ejaz, S.; Khaliq, G.; Iqbal, S.; Ullah, S.; Rehman, R.N.U.; Ali, M.M.; et al. Carboxymethyl cellulose coating delays ripening of harvested mango fruits by regulating softening enzymes activities. Food Chem. 2022, 380, 131804. [Google Scholar] [CrossRef]
- Ncama, K.; Magwaza, L.S.; Mditshwa, A.; Tesfay, S.Z. Plant-based edible coatings for managing postharvest quality of fresh horticultural produce: A review. Food Packag. Shelf Life 2018, 16, 157–167. [Google Scholar] [CrossRef]
- Liu, C.H.; Jin, T.; Liu, W.; Hao, W.Z.; Yan, L.; Zheng, L. Effects of hydroxyethyl cellulose and sodium alginate edible coating containing asparagus waste extract on postharvest quality of strawberry fruit. LWT-Food Sci. Technol. 2021, 148, 111770. [Google Scholar] [CrossRef]
- Cen, C.N.; Wang, F.F.; Wang, Y.F.; Li, H.; Fu, L.L.; Li, Y.; Chen, J.; Wang, Y.B. Design and characterization of an antibacterial film composited by hydroxyethyl cellulose (HEC), carboxymethyl chitosan (CMCS), and nano ZnO for food packaging. Int. J. Biol. Macromol. 2023, 231, 123203. [Google Scholar] [CrossRef] [PubMed]
- Surin, S.; Seesuriyachan, P.; Thakeow, P.; You, S.G.; Phimolsiripol, Y. Antioxidant and antimicrobial properties of polysaccha rides from rice brans. Chiang Mai J. Sci. 2018, 45, 1372–1382. [Google Scholar]
- Surin, S.; Surayot, U.; Seesuriyachan, P.; You, S.G.; Phimolsiripol, Y. Antioxidant and immunomodulatory activities of sulphated polysaccharides from purple glutinous rice bran (Oryza sativa L.). Int. J. Food Sci. Tech. 2018, 53, 994–1004. [Google Scholar] [CrossRef]
- Li, X.L.; Thakur, K.; Zhang, Y.Y.; Ti, X.F.; Zhang, Y.S.; Zhu, D.Y.; Zhang, J.G.; Wei, Z.J. Effects of different chemical modifications on the antibacterial activities of polysaccharides sequentially extracted from peony seed dreg. Int. J. Biol. Macromol. 2018, 116, 664–675. [Google Scholar] [CrossRef]
- Wang, L.; Zhang, H.; Zhang, X.Y.; Chen, Z.X. Purification and identification of a novel heteropolysaccharide RBPS2a with anti-complementary activity from defatted rice bran. Food Chem. 2008, 110, 150–155. [Google Scholar] [CrossRef]
- Li, H.; Wang, X.; Xiong, Q.; Yu, Y.; Peng, L. Sulfated modification, characterization, and potential bioactivities of polysaccharide from the fruiting bodies of Russula virescens. Int. J. Biol. Macromol. 2020, 154, 1438–1447. [Google Scholar] [CrossRef]
- Akhtar, H.M.S.; Riaz, A.; Hamed, Y.S.; Mohamed, A.; Chen, G.; Wan, P.; Zeng, X. Production and characterization of CMC-based antioxidant and antimicrobial films enriched with chickpea hull polysaccharides. Int. J. Biol. Macromol. 2018, 118 Pt A, 469–477. [Google Scholar] [CrossRef]
- Mustapha, A.T.; Zhou, C.S.; Amanor-Atiemoh, R.; Ali, T.A.A.; Wahia, H.; Ma, H.; Sun, Y.H. Efficacy of dual-frequency ultrasound and sanitizers washing treatments on quality retention of cherry tomato. Innov. Food Sci. Emerg. Technol. 2020, 62, 102348. [Google Scholar] [CrossRef]
- Shi, D.F.; Yin, C.M.; Fan, X.; Yao, F.; Qiao, Y.; Xue, S.; Lu, Q.; Feng, C.; Meng, J.; Gao, H. Effects of ultrasound and gamma irradiation on quality maintenance of fresh Lentinula edodes during cold storage. Food Chem. 2022, 373, 131478. [Google Scholar] [CrossRef]
- Wang, L.; Shan, T.; Xie, B.; Ling, C.; Shao, S.; Jin, P.; Zeng, Y. Glycine betaine reduces chilling injury in peach fruit by enhancing phenolic and sugar metabolisms. Food Chem. 2019, 272, 530–538. [Google Scholar] [CrossRef] [PubMed]
- Zeng, C.Z.; Tan, P.P.; Liu, Z.X. Effect of exogenous ARA treatment for improving postharvest quality in cherry tomato (Solanum lycopersicum L.) fruits. Sci. Hortic. 2020, 261, 108959. [Google Scholar] [CrossRef]
- Li, W.X.; Lu, X.; Li, J.M. The effect of organic nutrient solution on flavor in ripe cherry tomato fruit-Transcriptome and metabolomic analyses. Environ. Exp. Bot. 2022, 194, 104721. [Google Scholar] [CrossRef]
- Tsanasidou, C.; Kosma, I.; Badeka, A.; Kontominas, M. Quality Parameters of Wheat Bread with the Addition of Untreated Cheese Whey. Molecules 2021, 26, 7518. [Google Scholar] [CrossRef]
- Zhang, W.I.; Rhim, J.W. Functional edible films/coatings integrated with lactoperoxidase and lysozyme and their application in food preservation. Food Control. 2022, 133, 108670. [Google Scholar] [CrossRef]
- Paulsen, E.; Barrios, S.; Lema, P. Ready-to-eat cherry tomatoes: Passive modified atmosphere packaging conditions for shelf life extension. Food Packag. Shelf Life 2019, 22, 100407. [Google Scholar] [CrossRef]
- Gao, P.S.; Zhu, Z.Q.; Zhang, P. Effects of chitosan–glucose complex coating on postharvest quality and shelf life of table grapes. Carbohydrate Polym. 2013, 95, 371–378. [Google Scholar] [CrossRef] [PubMed]
- Li, H.Y.; Yu, T. Effect of chitosan on incidence of brown rot, quality and physiological attributes of postharvest peach fruit. JSFA 2001, 81, 269–274. [Google Scholar] [CrossRef]
- Kittur, F.; Habibunnisa, N.S.; Tharanathan, R. Polysaccharide-based composite coating formulations for shelf-life extension of fresh banana and mango. Eur. Food Res. Technol. 2001, 213, 306–311. [Google Scholar] [CrossRef]
- Álvarez, A.; Manjarres, J.J.; Ramírez, C.; Bolívar, G. Use of an exopolysaccharide-based edible coating and lactic acid bacteria with antifungal activity to preserve the postharvest quality of cherry tomato. LWT-Food Sci. Technol. 2021, 151, 112225. [Google Scholar] [CrossRef]
- Kim, D.; Thanakkasaranee, S.; Lee, K.; Sadeghi, K.; Seo, J. Smart packaging with temperature-dependent gas permeability maintains the quality of cherry tomatoes. Food Biosci. 2021, 41, 100997. [Google Scholar] [CrossRef]
- Khaliq, G.; Ramzan, M.; Baloch, A.H. Effect of Aloe vera gel coating enriched with Fagonia indica plant extract on physicochemical and antioxidant activity of sapodilla fruit during postharvest storage. Food Chem. 2019, 286, 346–353. [Google Scholar] [CrossRef] [PubMed]
- Jahani, R.; Behnamlan, M.; Dezhsetan, S.; Karimirad, R.; Chamani, E. Chitosan nano-biopolymer/Citrus paradisi peel oil delivery system enhanced shelf-life and postharvest quality of cherry tomato. Int. J. Biol. Macromol. 2023, 225, 1212–1223. [Google Scholar] [CrossRef]
- Chen, K.; Tian, R.; Xu, G.; Wu, K.; Liu, Y.; Jiang, F. Characterizations of konjac glucomannan/curdlan edible coatings and the preservation effect on cherry tomatoes. Int. J. Biol. Macromol. 2023, 232, 123359. [Google Scholar] [CrossRef] [PubMed]
- Wu, S.J.; Lu, M.S.; Wang, S.J. Effect of oligosaccharides derived from Laminaria japonica-incorporated pullulan coatings on preservation of cherry tomatoes. Food Chem. 2016, 199, 296–300. [Google Scholar] [CrossRef]
- Hu, Q.H.; Fang, Y.; Yang, Y.T.; Ma, N.; Zhao, L.Y. Effect of nanocomposite-based packaging on postharvest quality of ethylene-treated kiwifruit (Actinidia deliciosa) during cold storage. Food Res. Int. 2011, 44, 1589–1596. [Google Scholar] [CrossRef]
- Zhu, C.; Wu, S.; Sun, T.; Zhou, Z.; Hu, Z.; Yu, J. Rosmarinic acid delays tomato fruit ripening by regulating ripening-associated traits. Antioxidants 2021, 10, 1821. [Google Scholar] [CrossRef]
- Gol, N.B.; Patel, P.R.; Rao, T.V.R. Improvement of quality and shelf-life of strawberries with edible coatings enriched with chitosan. Postharvest Biol. Technol. 2013, 85, 185–195. [Google Scholar] [CrossRef]
- Gómez-Sagasti, M.T.; López-Pozo, M.; Artetxe, U.; Becerril, J.M.; Hernández, A.; García-Plazaola, J.I.; Esteban, R. Carotenoids and their derivatives: A “Swiss Army knife-like” multifunctional tool for fine-tuning plant-environment interactions. Environ. Exp. Bot. 2023, 207, 105229. [Google Scholar] [CrossRef]
- Liu, H.; Zhao, H.Y.; Ye, L.L.; Fan, D.D.; Wang, Z.Z. Effects of the combination of phytic acid and vacuum packaging on storage quality of freshcut lettuce. Food Sci. Technol. Res. 2022, 28, 45–52. [Google Scholar] [CrossRef]
- Mayén, M.; Barón, R.; Mérida, J.; Medina, M. Changes in phenolic compounds during accelerated browning in white wines from cv. Pedro Ximenez and cv. Baladi grapes. Food Chem. 1997, 58, 89–95. [Google Scholar] [CrossRef]
- Mustapha, A.T.; Zhou, C.S. Novel assisted/unassisted ultrasound treatment: Effect on respiration rate, ethylene production, enzymes activity, volatile composition, and odor of cherry tomato. LWT-Food Sci. Technol. 2021, 149, 111779. [Google Scholar] [CrossRef]
- Liu, Q.; Cui, X.; Song, Z.B.; Kong, W.W.; Kang, Y.C.; Kong, W.L.; Ng, T.B. Coating shiitake mushrooms (Lentinus edodes) with a polysaccharide from Oudemansiella radicata improves product quality and flavor during postharvest storage. Food Chem. 2021, 352, 12937. [Google Scholar] [CrossRef] [PubMed]
- Li, J.; Fu, Y.L.; Bao, X.L.; Li, H.; Zuo, J.H.; Zhang, M.Q.; Wang, J. Comparison and analysis of tomato flavor compounds using different extraction methods. J. Food Meas. Charact. 2020, 14, 465–475. [Google Scholar] [CrossRef]
- Tandon, K.S.; Baldwin, E.A.; Shewfelt, R.L. Aroma perception of individual volatile compounds in fresh tomatoes (Lycopersicon esculentum, Mill.) as affected by the medium of evaluation. Postharvest Biol. Technol. 2000, 20, 261–268. [Google Scholar] [CrossRef]
- Tieman, D.M.; Loucas, H.M.; Kim, J.Y.; Clark, D.G.; Klee, H.J. Tomato phenylacetaldehyde reductases catalyze the last step in the synthesis of the aroma volatile 2-phenylethanol. Phytochem. Lett. 2007, 68, 2660–2669. [Google Scholar] [CrossRef]
- Lu, Z.Q.; Huang, J.Z.; Songfeng, E.; Li, J.Y.; Si, L.M.; Yao, C.; Jia, F.F.; Zhang, M.Y. All cellulose composites prepared by hy-droxyethyl cellulose and cellulose nanocrystals through the crosslink of polyisocyanate. Carbohyd. Polym. 2020, 250, 116919. [Google Scholar] [CrossRef]
- Huang, J.Z.; Lu, Z.Q.; Li, J.T.; Ning, D.D.; Jin, Z.F.; Ma, Q.; Hua, L.E.; Songfeng, E.; Zhang, M.Y. Improved mechanical and ultraviolet shielding performances of hydroxyethyl cellulose film by using aramid nanofibers as additives. Carbohyd. Polym. 2021, 255, 117330. [Google Scholar] [CrossRef]
- Sganzerla, W.G.; Ribeiro, C.P.; Uliana, N.R.; Rodrigues, M.B.C.; Rosa CG de Ferrareze, J.P.; Veeck, A.P.d.L.; Nunes, M.R. Bioactive and pH-sensitive films based on carboxymethyl cellulose and blackberry (Morus nigra L.) anthocyanin-rich extract: A perspective coating material to improve the shelf life of cherry tomato (Solanum lycopersicum L. var. cerasiforme). Biocatal. Agric. Biotechnol. 2021, 33, 101989. [Google Scholar] [CrossRef]
- Wu, X.C.; Hu, Q.Y.; Liang, X.R.; Chen, J.; Huan, C.; Fang, S. Methyl jasmonate encapsulated in protein-based nanoparticles to enhance water dispersibility and used as coatings to improve cherry tomato storage. Food Packag. Shelf Life 2022, 33, 100925. [Google Scholar] [CrossRef]







| L* | a* | b* | ΔE* | Sensory Score | |
|---|---|---|---|---|---|
| CK | 35.55 ± 1.21 c | 2.84 ± 1.33 b | 23.77 ± 1.27 e | —— | 95 ± 2 a |
| HEC | 35.55 ± 1.21 c | 3.11 ± 1.03 b | 29.72 ± 1.01 d | 8.58 ± 0.18 f | 93 ± 1 a |
| HEC-5% SRBP | 38.64 ± 1.15 b | 3.32 ± 1.14 b | 32.56 ± 1.23 c | 9.33 ± 0.02 e | 92 ± 3 a |
| HEC-10% SRBP | 38.72 ± 1.13 b | 3.33 ± 1.18 b | 33.84 ± 1.15 c | 10.52 ± 0.10 d | 92 ± 1 a |
| HEC-15% SRBP | 38.85 ± 1.09 b | 3.34 ± 1.12 b | 34.16 ± 1.11 c | 10.79 ± 0.13 c | 91 ± 3 a |
| HEC-20% SRBP | 35.31 ± 1.14 c | 3.36 ± 1.17 b | 39.18 ± 1.03 b | 16.89 ± 0.24 b | 91 ± 2 a |
| HEC-25% SRBP | 32.26 ± 1.16 d | 6.39 ± 1.19 a | 49.48 ± 1.38 a | 27.63 ± 0.11 a | 71 ± 3 b |
| Number | Retention Time/min | Aroma Component | RI | RI (Literature) [46] |
|---|---|---|---|---|
| 1 | 13.234 | n-Hexanal | 1079 | 1084 |
| 2 | 19.224 | (E)-2-hexenal | 1219 | 1220 |
| 3 | 40.67 | Phenethyl alcohol | 1928 | 1925 |
| 4 | 35.65 | Methyl salicylate | 1749 | 1745 |
Disclaimer/Publisher’s Note: The statements, opinions and data contained in all publications are solely those of the individual author(s) and contributor(s) and not of MDPI and/or the editor(s). MDPI and/or the editor(s) disclaim responsibility for any injury to people or property resulting from any ideas, methods, instructions or products referred to in the content. |
© 2023 by the authors. Licensee MDPI, Basel, Switzerland. This article is an open access article distributed under the terms and conditions of the Creative Commons Attribution (CC BY) license (https://creativecommons.org/licenses/by/4.0/).
Share and Cite
Liu, G.; Chen, B.; Liu, H.; Wang, X.; Zhang, Y.; Wang, C.; Liu, C.; Zhong, Y.; Qiao, Y. Effects of Hydroxyethyl Cellulose and Sulfated Rice Bran Polysaccharide Coating on Quality Maintenance of Cherry Tomatoes during Cold Storage. Foods 2023, 12, 3156. https://doi.org/10.3390/foods12173156
Liu G, Chen B, Liu H, Wang X, Zhang Y, Wang C, Liu C, Zhong Y, Qiao Y. Effects of Hydroxyethyl Cellulose and Sulfated Rice Bran Polysaccharide Coating on Quality Maintenance of Cherry Tomatoes during Cold Storage. Foods. 2023; 12(17):3156. https://doi.org/10.3390/foods12173156
Chicago/Turabian StyleLiu, Guige, Bingjie Chen, Hongru Liu, Xiao Wang, Yi Zhang, Cunfang Wang, Chenxia Liu, Yaoguang Zhong, and Yongjin Qiao. 2023. "Effects of Hydroxyethyl Cellulose and Sulfated Rice Bran Polysaccharide Coating on Quality Maintenance of Cherry Tomatoes during Cold Storage" Foods 12, no. 17: 3156. https://doi.org/10.3390/foods12173156
APA StyleLiu, G., Chen, B., Liu, H., Wang, X., Zhang, Y., Wang, C., Liu, C., Zhong, Y., & Qiao, Y. (2023). Effects of Hydroxyethyl Cellulose and Sulfated Rice Bran Polysaccharide Coating on Quality Maintenance of Cherry Tomatoes during Cold Storage. Foods, 12(17), 3156. https://doi.org/10.3390/foods12173156

