Sustainable Preparation Behavior for Kitchen Staff in Order to Limit Food Waste
Abstract
1. Introduction
2. Theoretical Background and Hypotheses Development
2.1. Surplus Food and Food Waste
2.2. Social Cognitive Theory
2.3. Ethical Sustainability Affects Personal Behavior
2.4. Relationships among Professional Competence, Self-Efficacy, and Food Waste Prevention
2.5. Mediating Role
3. Methodology
3.1. Data Collection
3.2. Measures
3.3. Data Analysis
4. Results
4.1. Measurement Model
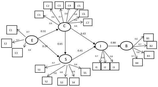
4.2. Structural Model for Path Analysis of Ethical Sustainability, Professional Competence in Food waste Prevention, Self-Efficacy, and Sustainable Behavioral Intentions during Food Preparation
4.3. Mediating Effect
5. Discussion
6. Conclusions and Suggestions
6.1. Conclusions
6.2. Management Suggestions and Implications
6.3. Practical Suggestions and Implications
6.4. Research Limitations and Future Studies
Author Contributions
Funding
Data Availability Statement
Conflicts of Interest
References
- Amicarelli, V.; Lagioia, G.; Bux, C. Global warming potential of food waste through the life cycle assessment: An analytical review. Environ. Impact Assess. Rev. 2021, 91, 106677. [Google Scholar] [CrossRef]
- Food and Agriculture Organization (FAO). Food Losses and Food Waste. Available online: http://www.fao.org/food-loss-and-food-waste/flw-data (accessed on 10 October 2022).
- Tarasuk, V.; Eakin, J. Food Assistance Through “Surplus” Food: Insights from an Ethnographic Study of Food Bank Work. Agric. Hum. Values 2005, 22, 177–186. [Google Scholar] [CrossRef]
- WRAP. Food Surplus and Waste in the UK Key Facts. Available online: https://wrap.org.uk/resources/report/food-surplus-and-waste-uk-key-facts (accessed on 20 August 2022).
- Jungowska, J.; Kulczy’nski, B.; Sidor, A.; Gramza-Michałowska, A. Assessment of Factors Affecting the Amount of Food Waste in Households Run by Polish Women Aware of Well-Being. Sustainability 2021, 13, 976. [Google Scholar] [CrossRef]
- Foley, J.A.; Ramankutty, N.; Brauman, K.A.; Cassidy, E.S.; Gerber, J.S.; Johnston, M.; Zaks, D.P.M. Solutions for a cultivated planet. Nature 2011, 478, 337–342. [Google Scholar] [CrossRef]
- Willett, W.; Rockström, J.; Loken, B.; Springmann, M.; Lang, T.; Vermeulen, S.; Garnett, T.; Tilman, D.; Declerck, F.; Wood, A.; et al. Food in the Anthropocene: The EAT–Lancet Commission on healthy diets from sustainable food systems. Lancet 2019, 393, 447–492. [Google Scholar] [CrossRef]
- Stenmarck, Â.; Jensen, C.; Quested, T.; Moates, G.; Buksti, M.; Cseh, B.; Scherhaufer, S. Estimates of European Food Waste Levels; IVL Swedish Environmental Research Institute: Stockholm, Sweden, 2016. [Google Scholar]
- Stirnimann, A.; Zizka, L. Waste not, want not: Managerial attitudes towards mitigating food waste in the Swiss-German restaurant industry. J. Foodserv. Bus. Res. 2022, 25, 302–328. [Google Scholar] [CrossRef]
- McAdams, B.; Massow, M.; Gallant, M.; Hayhoe, M.A. A cross industry evaluation of food waste in restaurants. J. Foodserv. Bus. Res. 2019, 22, 449–466. [Google Scholar] [CrossRef]
- Ganglbauer, E.; Fitzpatrick, G.; Comber, R. Negotiating food waste: Using a practice lens to inform design. ACM Trans. Hum. Comput. Interact. 2013, 20, 1–25. [Google Scholar] [CrossRef]
- Graham-Rowe, E.; Jessop, D.C.; Sparks, P. Identifying motivations and barriers to minimizing household food waste. Resour. Conserv. Recycl. 2014, 84, 15–23. [Google Scholar] [CrossRef]
- Wang, Y.F. Improving Culinary Education by Examining the Green Culinary Behaviors of Hospitality College Students. J. Hosp. Tour. Educ. 2016, 28, 1–9. [Google Scholar] [CrossRef]
- Farr-Wharton, G.; Foth, M.; Choi, J.H.J. Identifying factors that promote consumer behaviours causing expired domestic food waste. J. Consum. Behav. 2014, 13, 393–402. [Google Scholar] [CrossRef]
- Waitt, G.; Phillips, C. Food waste and domestic refrigeration: A visceral and material approach. Soc. Cult. Geogr. 2016, 17, 359–379. [Google Scholar] [CrossRef]
- Secondi, L.; Principato, L.; Laureti, T. Household food waste behaviour in EU-27 countries: A multilevel analysis. Food Policy 2015, 56, 25–40. [Google Scholar] [CrossRef]
- Blichfeldt, B.S.; Mikkelsen, M.; Gram, M. When it stops being food: The edibility, ideology, procrastination, objectification and internalization of household food waste. Food Cult. Soc. 2015, 18, 89–105. [Google Scholar] [CrossRef]
- Bandura, A. Self-efficacy mechanism in human agency. Am. Psychol. 1982, 37, 122–147. [Google Scholar] [CrossRef]
- Wood, R.; Bandura, A. Impact of conceptions of ability on self-regulatory mechanisms and complex decision making. J. Pers. Soc. Psychol. 1989, 56, 407–415. [Google Scholar] [CrossRef]
- Bandura, A. Self-Efficacy: Toward a Unifying Theory of Behavioral Change. Psychol. Rev. 1977, 84, 191–215. [Google Scholar] [CrossRef]
- Gist, M.E.; Mitchell, T.R. Self-efficacy: A theoretical analysis of its determinants and malleability. Acad. Manag. Rev. 1992, 117, 183–211. [Google Scholar] [CrossRef]
- Stajkovic, A.D.; Luthans, F. Self-efficacy and work-related performance: A metaanalysis. Psychol. Bull. 1998, 124, 240–261. [Google Scholar] [CrossRef]
- Bandura, A. Social Foundations of Thought and Action; Prentice-Hall: Englewood Cliffs, NJ, USA, 1996. [Google Scholar]
- Garrone, P.; Melacini, M.; Perego, A. Feed the Hungry: The Potential of Surplus Food Recovery; Edizioni AngeloGuerini e Associati SpA: Milan, Italy, 2013. [Google Scholar]
- Parfitt, J.; Barthel, M.; Macnaughton, S. Food waste within food supply chains: Quantification and potential for change to 2050. Philos. Trans. R. Soc. Lond. B 2010, 365, 3065–3081. [Google Scholar] [CrossRef]
- Göbel, C.; Langen, N.; Blumentha, A.; Teitscheid, P.; Ritter, G. Cutting Food Waste through Cooperation along the food Supply Chain. Sustainability 2015, 7, 1431–1438. [Google Scholar] [CrossRef]
- Hawkes, C.; Webster, J. Too Much and Too Little? Debates on Surplus Food Redistribution; Sustain: London, UK, 2000. [Google Scholar]
- Bandura, A. Social Learning Theory; Prentice Hall: Englewood Cliff, NJ, USA, 1977. [Google Scholar]
- Rimal, R.N. Closing the knowledge-behavior gap in health promotion: The mediating role of self-efficacy. Health Commun. 2000, 12, 219–237. [Google Scholar] [CrossRef]
- Bearth, A.; Cousin, M.E.; Siegrist, M. Investigating novice cooks’ behavior change: Avoiding cross-contamination. Food Control 2014, 40, 26–31. [Google Scholar] [CrossRef]
- Mullan, B.; Allom, V.; Fayn, K.; Johnston, I. Building habit strength: A pilot intervention designed to improve food-safety behavior. Food Res. Int. 2014, 66, 274–278. [Google Scholar] [CrossRef]
- Watson, M.; Meah, A. Food, waste and safety: Negotiating conflicting social anxieties into the practices of domestic provisioning. Sociol. Rev. 2012, 60, 102–120. [Google Scholar] [CrossRef]
- Goldstein, N.J.; Cialdini, R.B.; Griskevicius, V. A room with a viewpoint: Using norms to motivate environmental conservation in hotels. J. Consum. Res. 2008, 35, 472–482. [Google Scholar] [CrossRef]
- Glendinning, C. My Name Is Chellis and I’m in Recovery from Western Civilization; New Catalyst Books: Gabriola Island, BC, Canada, 1994. [Google Scholar]
- Abram, D. The Spell of the Sensuous; Vintage Books: New York, NY, USA, 1996. [Google Scholar]
- MacMillan, T. What is wrong with waste? Food Ethics 2009, 4, 4. [Google Scholar]
- Stancu, V.; Haugaard, P.; Lähteenmäki, L. Determinants of consumer food waste behaviour: Two routes to food waste. Appetite 2016, 96, 7–17. [Google Scholar] [CrossRef]
- Gjerris, M.; Gaiani, S. Household food waste in Nordic countries:Estimations and ethical implications. Nordic J. Appl. Ethics 2013, 7, 6–23. [Google Scholar] [CrossRef]
- Lehtokunnas, T.; Mattila, M.; Narvanen, E.; Mesiranta, N. Towards a circular economy in food consumption: Food waste reduction practices as ethical work. J. Consum. Cult. 2020, 22, 227–245. [Google Scholar] [CrossRef]
- Lacasse, K. Don’t be satisfied, identify! Strengthening positive spillover by connecting pro-environmental behaviors to an “environmentalist” label. J. Environ. Psychol. 2016, 48, 149–158. [Google Scholar] [CrossRef]
- van der Werff, E.; Steg, L.; Keizer, K. Follow the signal: When past proenvironmental actions signal who you are. J. Environ. Psychol. 2014, 40, 273–282. [Google Scholar] [CrossRef]
- Whitmarsh, L.; O’Neill, S. Green identity, green living? The role of pro-environmental self-identity in determining consistency across diverse proenvironmental behaviours. J. Environ. Psychol. 2010, 30, 305–314. [Google Scholar] [CrossRef]
- Cialdini, R.B.; Kallgren, C.A.; Reno, R.R. A focus theory of normative conduct: A theoretical refinement and reevaluation of the role of norms in human behavior. Adv. Exp. Soc. Psychol. 1991, 24, 201–234. [Google Scholar] [CrossRef]
- Harrington, R.J.; Mandabach, K.H.; VanLeeuwen, D.; Thibodeaux, W. A multi-lens framework explaining structural differences across foodservice and culinary education. Int. J. Hosp. Manag. 2005, 24, 198–218. [Google Scholar] [CrossRef]
- Hegarty, J.A.; O’Mahony, G.B. Gastronomy: A phenomenon of cultural expressionism and an aesthetic for living. Int. J. Hosp. Manag. 2001, 20, 3–13. [Google Scholar] [CrossRef]
- Agut, S.; Grau, R.; Peiro, J.M. Competency needs among managers from Spanish hotels and restaurants and their training demands. Int. J. Hosp. Manag. 2003, 22, 281–295. [Google Scholar] [CrossRef]
- Ko, W.H.; Lu, M.Y. Developing a professional competence scale for kitchen staff: Food value and availability for surplus food. Int. J. Hosp. Manag. 2021, 95, 102926. [Google Scholar] [CrossRef]
- Tekin, Ö.A.; Ilyasov, A. The Food Waste in Five-Star Hotels: A Study on Turkish Guests’ Attitudes. Int. J. Gastron. Food Sci. 2017, 5, 13–31. [Google Scholar] [CrossRef]
- Ajzen, I. Perceived behavioral control, self-efficacy, locus of control, and the theory of planned behavior. J. Appl. Soc. Psychol. 2002, 32, 665–683. [Google Scholar] [CrossRef]
- Ajzen, I.; Fishbein, M. Understanding Attitudes and Predicting Social Behavior; Prentice-Hall: Englewood Cliffs, NJ, USA, 1980. [Google Scholar]
- Ajzen, I. The theory of planned behavior. Organ. Behav. Hum. Decis. Process 1991, 50, 179–211. [Google Scholar] [CrossRef]
- Chan, E.S.; Hon, A.H.; Chan, W.; Okumus, F. What drives employees’ intentions to implement green practices in hotels? the role of knowledge, awareness, concern and ecological behavior. Int. J. Hosp. Manag. 2014, 40, 20–28. [Google Scholar] [CrossRef]
- Spencer, L.M.; Spencer, S.M. Competence at Work-Models for Superior Performance; John Wiley & Sons: Hoboken, NJ, USA, 1993. [Google Scholar]
- Romani, S.; Grappi, S.; Bagozzi, R.P.; Barone, A.M. Domestic food practices. A study of food management behaviors and the role of food preparation planning in reducing waste. Appetite 2018, 121, 215–227. [Google Scholar] [CrossRef] [PubMed]
- Lavelle, F.; McGowan, L.; Spence, M.; Caraher, M.; Raats, M.M.; Hollywood, L.; McDowell, D.; McCloat, A.; Mooney, E.; Dean, M. Barriers and facilitators to cooking from ‘scratch’ using basic or raw ingredients. A qualitative interview study. Appetite 2016, 107, 383–391. [Google Scholar] [CrossRef] [PubMed]
- Thyberg, K.L.; Tonjes, D.J. Drivers of food waste and their implications for sustainable policy development. Resour. Conserv. Recycl. 2016, 106, 110–123. [Google Scholar] [CrossRef]
- Hebrok, M.; Boks, C. Household food waste. Drivers and potential intervention points for design—An extensive review. J. Clean. Prod. 2017, 151, 380–392. [Google Scholar] [CrossRef]
- Schanes, K.; Dobernig, K.; Gözet, B. Food waste matters—A systematic review of household food waste practices and their policy implications. J. Clean. Prod. 2018, 182, 978–991. [Google Scholar] [CrossRef]
- Andreasen, A.R. Marketing social marketing in the social change marketplace. J. Public Policy Mark. 2002, 21, 3–13. [Google Scholar] [CrossRef]
- Lindeman, M.; Väänänen, M. Measurement of ethical food choice motives. Appetite 2000, 34, 55–59. [Google Scholar] [CrossRef]
- Chen, G.; Gully, S.M.; Eden, D. Validation of a New General Self-Efficacy Scale. Organ. Res. Methods 2001, 4, 62–83. [Google Scholar] [CrossRef]
- Fang, W.T.; Ng, E.; Wang, C.M.; Hsu, M.L. Normative Beliefs, Attitudes, and Social Norms: People Reduce Waste as an Index of Social Relationships When Spending Leisure Time. Sustainability 2017, 9, 1696. [Google Scholar] [CrossRef]
- Teng, C.C.; Chih, C.; Wang, Y.C. Decisional Factors Driving Household Food Waste Prevention: Evidence from Taiwanese Families. Sustainability 2020, 12, 6666. [Google Scholar] [CrossRef]
- Anderson, J.C.; Gerbing, D.W. Structural equation modeling in practice: A review and recommended two-step approach. Psychol. Bull. 1988, 103, 411–423. [Google Scholar] [CrossRef]
- Hair, J.F.; Anderson, R.E.; Tatham, R.L.; Black, W.C. Multivariate Data Analysis, 7th ed.; Prentice Hall: Englewood Cliffs, NJ, USA, 2010. [Google Scholar]
- Hu, L.T.; Bentler, P.M. Cutoff criteria for fit indexes in covariance structure analysis: Conventional criteria versus new alternatives. Struct. Equ. Model. Multidiscip. J. 1999, 6, 1–55. [Google Scholar] [CrossRef]
- Jöreskog, K.G.; Sörbom, D. LISREL 7: A Guide to the Program and Applications; SPSS: Chicago, IL, USA, 1989. [Google Scholar]
- Fornell, C.; Larcker, D.F. Evaluating structural equation models with unobservable variables and measurement error. J. Mark. Res. 1981, 18, 39–50. [Google Scholar] [CrossRef]
- Preacher, K.J.; Hayes, A.F. Asymptotic and resampling strategies for assessing and comparing indirect effects in multiple mediator models. Behav. Res. Methods 2008, 40, 879–891. [Google Scholar] [CrossRef]
- Edwards, F.; Mercer, D. Gleaning from Gluttony: An Australian youth subculture confronts the ethics of waste. Aust. Geogr. 2007, 38, 279–296. [Google Scholar] [CrossRef]
- Goodman-Smith, F.; Mirosa, R.; Mirosa, M. Understanding the E_ect of Dining and Motivational Factors on Out-of-Home Consumer Food Waste. Sustainability 2020, 12, 6507. [Google Scholar] [CrossRef]
- Cappellini, B. The sacrifice of re-use: The travels of leftovers and family relations. J. Consum. Behav. 2009, 8, 365–375. [Google Scholar] [CrossRef]
- Southerton, D.; Yates, L. Exploring food waste through the lens of social practice theories: Some reflections on eating as compound practice. In Waste Management and Sustainable Consumption: Reflections on Consumer Waste; Ekstrom, K.M., Ed.; Routledge: London, UK; Chicago, IL, USA, 2015; pp. 133–149. [Google Scholar]
- Lin, H.F. Effects of extrinsic and intrinsic motivation on employee knowledge sharing intentions. J. Inf. Sci. 2007, 33, 135–149. [Google Scholar] [CrossRef]
- Ding, X.H.; Huang, R.H. Effects of knowledge spillover on interorganizational resource sharing decision in collaborative knowledge creation. Eur. J. Oper. Res. 2010, 201, 949–959. [Google Scholar] [CrossRef]
- Grether, T.; Sowislo, J.F.; Wiese, B.S. Top-down or bottom-up? Prospective relations between general and domain-specific self-efficacy beliefs during a work-family transition. Pers. Individ. Differ. 2018, 121, 131–139. [Google Scholar] [CrossRef]
- Luszczynska, A.; Scholz, U.; Schwarzer, R. The general self-efficacy scale: Multicultural validation studies. J. Psychol. 2005, 139, 439–457. [Google Scholar] [CrossRef]
- Saks, A.M. Longitudinal field investigation of the moderating and mediating effects of self-efficacy on the relationship between training and newcomer adjustment. J. Appl. Psychol. 1995, 80, 211–225. [Google Scholar] [CrossRef] [PubMed]
- Kollmuss, A.; Agyeman, J. Mind the gap: Why do people act environmentally and what are the barriers to pro-environmental behavior? Environ. Educ. Res. 2002, 8, 239–260. [Google Scholar] [CrossRef]
- Ruiz-Molina, M.E.; Gil-Saura, I. Perceived value, customer attitude and loyalty in retailing. J. Retail. Lei. Prop. 2008, 7, 305–314. [Google Scholar] [CrossRef]
- Podsakoff, P.M.; MacKenzie, S.B.; Lee, J.Y.; Podsakoff, N.P. Common method biases in behavioral research: A critical review of the literature and recommended remedies. J. Appl. Psychol. 2003, 88, 879–903. [Google Scholar] [CrossRef] [PubMed]



| Background Variables | Category | Number of Persons | Percentage (%) |
|---|---|---|---|
| Gender | Male | 217 | 61.8 |
| Female | 134 | 38.2 | |
| Age | Below 20 | 8 | 2.3 |
| 21–30 | 139 | 39.6 | |
| 31–40 | 107 | 30.5 | |
| 41–50 | 65 | 18.5 | |
| 51–60 | 27 | 7.7 | |
| Older 61 | 5 | 1.4 | |
| Educational level | Junior high school or below | 14 | 4 |
| High school/vocational high school | 130 | 37 | |
| College | 67 | 19.1 | |
| University | 130 | 37 | |
| Graduate school | 10 | 2.8 | |
| Job position | Management | 99 | 28.2 |
| Non-management | 252 | 71.8 | |
| Working years | 1 year or less | 24 | 6.8 |
| More than 1 to 4 years (inclusive) | 99 | 28.2 | |
| More than 4 to 8 years (inclusive) | 64 | 18.2 | |
| More than 8 to 12 years (inclusive) | 61 | 17.4 | |
| More than 12 to 16 years (inclusive) | 34 | 9.7 | |
| More than 16 to 20 years (inclusive) | 29 | 8.3 | |
| More than 20 years | 40 | 11.4 | |
| Employment | Restaurant in hotel | 120 | 34.2 |
| Individual restaurant | 136 | 38.7 | |
| Group meal/central kitchen | 82 | 23.4 | |
| Others | 13 | 3.7 |
| Items | Std. Factor Loadings | Cronbach’s α | CR | AVE |
|---|---|---|---|---|
| E. Ethical sustainability | 0.832 | 0.836 | 0.630 | |
| 0.77 | |||
| 0.79 | |||
| 0.82 | |||
| C. Professional competence in food waste prevention a | 0.926 | 0.930 | 0.655 | |
| 0.80 | |||
| 0.85 | |||
| 0.72 | |||
| 0.81 | |||
| 0.83 | |||
| 0.81 | |||
| 0.84 | |||
| S. Self-efficacy | 0.907 | 0.910 | 0.670 | |
| 0.76 | |||
| 0.83 | |||
| 0.84 | |||
| 0.82 | |||
| 0.84 | |||
| I. Sustainable behavioral intentions during food preparation | 0.879 | 0.843 | 0.696 | |
| 0.78 | |||
| 0.86 | |||
| 0.86 | |||
| B. Sustainable preparation promotion behavior | 0.850 | 0.856 | 0.600 | |
| 0.65 | |||
| 0.77 | |||
| 0.89 | |||
| 0.77 |
| Variable | Average Mean | Standard Deviation | E 1 | C | S | I | B |
|---|---|---|---|---|---|---|---|
| E. Ethical sustainability | 4.10 | 0.58 | 0.818 2 | ||||
| C. Professional competence in food waste prevention | 4.39 | 0.55 | 0.459 | 0.789 | |||
| S. Self-efficacy | 4.12 | 0.51 | 0.712 | 0.497 | 0.806 | ||
| I. Sustainable behavioral intentions during food preparation | 4.23 | 0.61 | 0.680 | 0.537 | 0.665 | 0.844 | |
| B. Sustainable preparation promotion behavior | 4.13 | 0.61 | 0.680 | 0.519 | 0.721 | 0.755 | 0.777 |
| Bootstrapping | ||||
|---|---|---|---|---|
| Estimate | Bias-Corrected | |||
| Lower | Upper | Two-Tailed Significance | ||
| Indirect effects | ||||
| Ethical sustainability→Professional competence in food waste prevention→Self-efficacy | 0.329 | 0.224 | 0.432 | 0.007 ** |
| Professional competence in food waste prevention→Self-efficacy→Sustainable behavioral intentions during food preparation | 0.266 | 0.181 | 0.397 | 0.004 ** |
| Direct effects | ||||
| Ethical sustainability→Professional competence in food waste prevention | 0.510 | 0.385 | 0.603 | 0.019 * |
| Ethical sustainability→Self-efficacy | 0.140 | 0.032 | 0.277 | 0.021 * |
| Professional competence in food waste prevention→Self-efficacy | 0.645 | 0.483 | 0.740 | 0.009 ** |
| Professional competence in food waste prevention→Sustainable behavioral intentions during food preparation | 0.425 | 0.250 | 0.617 | 0.006 ** |
| Self-efficacy→Sustainable behavioral intentions during food preparation | 0.413 | 0.245 | 0.577 | 0.018 * |
| Sustainable behavioral intentions during food preparation→Sustainable preparation promotion | 0.798 | 0.721 | 0.859 | 0.009 ** |
| Total effects | ||||
| Ethical sustainability→Sustainable preparation promotion | 0.328 | 0.234 | 0.420 | 0.018 * |
Disclaimer/Publisher’s Note: The statements, opinions and data contained in all publications are solely those of the individual author(s) and contributor(s) and not of MDPI and/or the editor(s). MDPI and/or the editor(s) disclaim responsibility for any injury to people or property resulting from any ideas, methods, instructions or products referred to in the content. |
© 2023 by the authors. Licensee MDPI, Basel, Switzerland. This article is an open access article distributed under the terms and conditions of the Creative Commons Attribution (CC BY) license (https://creativecommons.org/licenses/by/4.0/).
Share and Cite
Lu, M.-Y.; Ko, W.-H. Sustainable Preparation Behavior for Kitchen Staff in Order to Limit Food Waste. Foods 2023, 12, 3028. https://doi.org/10.3390/foods12163028
Lu M-Y, Ko W-H. Sustainable Preparation Behavior for Kitchen Staff in Order to Limit Food Waste. Foods. 2023; 12(16):3028. https://doi.org/10.3390/foods12163028
Chicago/Turabian StyleLu, Min-Yen, and Wen-Hwa Ko. 2023. "Sustainable Preparation Behavior for Kitchen Staff in Order to Limit Food Waste" Foods 12, no. 16: 3028. https://doi.org/10.3390/foods12163028
APA StyleLu, M.-Y., & Ko, W.-H. (2023). Sustainable Preparation Behavior for Kitchen Staff in Order to Limit Food Waste. Foods, 12(16), 3028. https://doi.org/10.3390/foods12163028

