Occurrence and Dietary Exposure to Acrylamide from Foods Consumed within and outside Main Meals in Singapore
Abstract
1. Introduction
2. Materials and Methods
2.1. Chemicals and Reagents
2.2. Preparation of Standard Solutions
2.3. Sample Collection and Preparation
2.4. Standard Addition Procedure and Method Validation
2.5. Preparation of Sample for Acrylamide Analysis
2.6. LC-MS/MS Analysis
2.7. Statistical Analysis of Acrylamide Concentrations and Food Consumption Data
2.8. Dietary Exposure Assessment and Risk Assessment
3. Results and Discussion
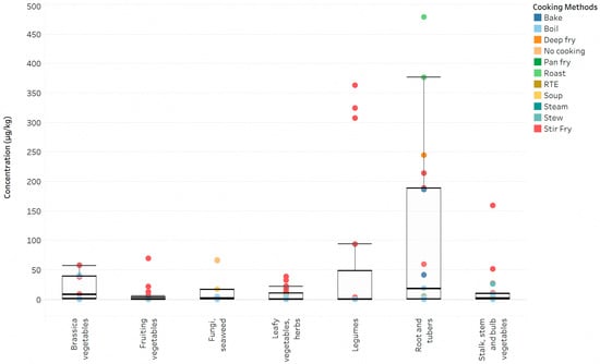
3.1. Foods Consumed within the Three Main Meals of an Asian Diet in Singapore
3.2. Ready-to-Eat Snack Foods Consumed outside the Three Main Meals in Singapore
3.3. Estimation of the Dietary Exposure from Foods Consumed within and outside the Main Meals
3.4. Risk Assessment of Acylamide in Foods Consumed in Singapore
3.5. Potential Mitigation Measures to Reduce Dietary Acrylamide Exposure
4. Conclusions
Supplementary Materials
Author Contributions
Funding
Data Availability Statement
Conflicts of Interest
References
- World Health Organisation International Agency for Research on Cancer. Some Industrial Chemicals. In IARC Monographs on the Evaluation of Carcinogenic Risks to Humans; IARC: Lyon, France, 1994; Volume 60, pp. 389–433. [Google Scholar]
- Tareke, E.; Rydberg, P.; Karlsson, P.; Eriksson, S.; Törnqvist, M. Analysis of Acrylamide, a Carcinogen Formed in Heated Foodstuffs. J. Agric. Food Chem. 2002, 50, 4998–5006. [Google Scholar] [CrossRef] [PubMed]
- Delatour, T.; Stadler, R.H. Two Decades of Research in Dietary Acrylamide: What do We Know Today. Crit. Rev. Food Sci. Nutr. 2022, 1–9. [Google Scholar] [CrossRef]
- Mottram, D.S.; Wedzicha, B.L.; Dodson, A.T. Acrylamide is formed in the Maillard reaction. Nat. Cell Biol. 2002, 419, 448–449. [Google Scholar] [CrossRef]
- Stadler, R.H.; Blank, I.; Varga, N.; Robert, F.; Hau, J.; Guy, P.A.; Robert, M.-C.; Riediker, S. Acrylamide from Maillard reaction products. Nat. Cell Biol. 2002, 419, 449–450. [Google Scholar]
- Timmermann, C.A.G.; Mølck, S.S.; Kadawathagedara, M.; Bjerregaard, A.A.; Törnqvist, M.; Brantsæter, A.L.; Pedersen, M. A review of dietary intake of acrylamide in humans. Toxics 2021, 9, 155. [Google Scholar] [CrossRef]
- Abt, E.; Incorvati, V.; Robin, L.P. Acrylamide: Perspectives form international, national, and regional exposure assessments. Curr. Opin. Food Sci. 2022, 47, 100891. [Google Scholar] [CrossRef]
- Food and Agriculture Organisation/World Health Organisation (FAO/WHO). Health Implications of Acrylamide in Food: Report of a Joint FAO/WHO Consultation; WHO Headquarters: Geneva, Switzerland, 2002; pp. 1–35. [Google Scholar]
- Food and Agriculture Organisation/World Health Organisation (FAO/WHO). Evaluation of Certain Food Contaminants: Sixty-Fourth Report of the Joint FAO/WHO Expert Committee on Food Additives; WHO Headquarters: Geneva, Switzerland, 2006; pp. 1–100. [Google Scholar]
- Food and Agriculture Organisation/World Health Organisation (FAO/WHO). Evaluation of Certain Food Contaminants: Seventy-Second Report of the Joint FAO/WHO Expert Committee on Food Additives; WHO Headquarters: Geneva, Switzerland, 2011; pp. 9–21. [Google Scholar]
- Seventy-second meeting of the Joint FAO/WHO Expert Committee on Food Additives (JECFA). WHO Food Additives Series: 63. In FAO JECFA Monographs 8: Safety Evaluation of Certain Contaminants in food; WHO Headquarters: Geneva, Switzerland, 2011; pp. 1–139.
- Codex Alimentarius. Code of Practice for the Reduction of Acrylamide in Foods. CAC/RCP. 2009. Available online: http://www.codexalimentarius.org/input/download/standards/11258/CXP_067e.pdf (accessed on 30 May 2023).
- EFSA Panel on Contaminants in the Food Chain (CONTAM). Scientific Opinion on acrylamide in food. EFSA J. 2015, 13, 4104. [Google Scholar]
- European Union (EU). Commission Regulation (EU) 2017/2158 of 20 November 2017 establishing mitigation measures and benchmark levels for the reduction of the presence of acrylamide in food. Off. J. Eur. Union 2017, L304, 24–44. [Google Scholar]
- Abt, E.; Robin, L.P.; McGrath, S.; Srinivasan, J.; DiNovi, M.; Adachi, Y.; Chirtel, S. Acrylamide levels and dietary exposure from foods in the United States, an update based on 2011–2015 data. Food Addit. Contam. Part A 2019, 36, 1475–1490. [Google Scholar] [CrossRef]
- U.S. Food and Drug Administration. Survey Data on Acrylamide in Food: Total Diet Study Results. Available online: https://www.fda.gov/food/process-contaminants-food/survey-data-acrylamide-food-total-diet-study-results (accessed on 30 May 2023).
- Wong, W.W.K.; Chung, S.W.C.; Lam, C.-H.; Ho, Y.Y.; Xiao, Y. Dietary exposure of Hong Kong adults to acrylamide: Results of the first Hong Kong Total Diet Study. Food Addit. Contam. Part A 2014, 31, 799–805. [Google Scholar]
- Zhu, F.; Wang, Y.; Liu, H.; Lyu, B.; Chen, D.; Li, J.; Ji, W.; Zhao, Y.; Wu, Y. Preplanned studies: Exposure to acrylamide in the sixth Total Diet Study—China, 2016–2019. China CDC Weekly 2022, 4, 161–164. [Google Scholar]
- Food Safety Commission of Japan (FSCJ). Acrylamide in foods generated through heating. Food Safety 2016, 4, 74–88. [Google Scholar] [CrossRef]
- Jeong, H.; Hwang, S.; Kwon, H. Survey for acrylamide in processed foods from Korean market and individual exposure estimation using a non-parametric probabilistic model. Food Addit. Contam. Part A 2020, 37, 916–930. [Google Scholar] [CrossRef]
- Yeo, M.T.Y.; Bi, X.; Henry, C.J. Acrylamide contents of local snacks in Singapore. Front. Nutr. 2021, 8, 764284. [Google Scholar] [CrossRef]
- Food & Beverage Insider. The Rise of Snackification in Asia-Pacific. Available online: https://www.foodbeverageinsider.com/snacks/rise-snackification-asia-pacific (accessed on 30 May 2023).
- Almoraie, N.M.; Saqaan, R.; Alharthi, R.; Alamoudi, A.; Badh, L.; Shatwan, I.M. Snacking patterns throughout the life span: Potential implications on health. Nutr. Res. 2021, 91, 81–94. [Google Scholar] [CrossRef]
- Mordor Intelligence. Singapore Ready to Eat Food Market Size and Share Analysis—Growth Trends and Forecasts (2023–2028). Available online: https://www.mordorintelligence.com/industry-reports/singapore-ready-to-eat-food-market (accessed on 30 May 2023).
- Health Promotion Board (HPB). National Reports and Surveys. Available online: https://hpb.gov.sg/workplace/workplace-programmes/useful-information-for-organisations/national-reports-and-surveys (accessed on 30 May 2023).
- GEMS/Food-EURO. Reliable Evaluation of Low-Level Contamination of Food. In Proceedings of the Report on a Workshop in the Frame of GEMS/Food-EURO, Kulmbach, Germany, 26–27 May 1995. [Google Scholar]
- Arcella, D.; Ruiz, J.A.G. Use of cut-off values on the limits of quantification reported in datasets used to estimate dietary exposure to chemical contaminants. EFSA Support. Publ. 2018, 15, 1452E. [Google Scholar]
- Shahrbabki, P.E.; Hajimohammadi, B.; Shoeibi, S.; Elmi, M.; Yousefzadeh, A.; Conti, G.O.; Ferrante, M.; Amirahmadi, M.; Fakhri, Y.; Khaneghah, A.M. Probabilistic non-carcinogenic and carcinogenic risk assessments (Monte Carlo simulation method) of the measured acrylamide content in Tah-dig using QuEChERS extraction and UHPLC-MS/MS. Food Chem. Toxicol. 2018, 118, 361–370. [Google Scholar] [CrossRef] [PubMed]
- World Health Organisation (WHO). Dietary Exposure Assessment of Chemicals in Food. In Report of a Joint FAO/WHO Consultation: Annapolis, MD, USA, 2–6 May 2005; WHO Press: Geneva, Switzerland, 2008; pp. 1–80. [Google Scholar]
- World Health Organisation (WHO); Food and Agriculture Organisation (FAO) of the United Nations. Chapter 6: Dietary exposure assessment of chemicals in food. In Environmental Health Criteria 240: Principles and Methods for the Risk Assessment of Chemicals in Food, 2nd ed.; WHO, FAO, Eds.; WHO Press: Geneva, Switzerland, 2020; Volume 3, pp. 1–92. [Google Scholar]
- EFSA Scientific Committee. Statement on the applicability of the Margin of Exposure approach for safety assessment of impurities which are both genotoxic and carcinogenic in substances added to food/feed. EFSA J. 2012, 10, 2578. [Google Scholar]
- Yazdanpanah, H.; Kobarfard, F.; Tsitsimpikou, C.; Eslamizad, S.; Alehashem, M.; Tsatsakis, A. Health risk assessment of process-related contaminants in bread. Food Chem. Toxicol. 2022, 170, 113482. [Google Scholar] [PubMed]
- Nematollahi, A.; Kamankesh, M.; Hosseini, H.; Ghasemi, J.; Hosseini-Esfahani, F.; Mohammadi, A.; Khaneghah, A.M. Acrylamide content of collected food products from Tehran’s market: A risk assessment study. Environ. Sci. Pollut. Res. 2020, 27, 30558–30570. [Google Scholar] [CrossRef] [PubMed]
- Cieślik, I.; Cieslik, E.; Topolska, K.; Surma, M. Dietary acrylamide exposure from traditional food products in Lesser Poland and associated risk assessment. Ann. Agric. Environ. 2020, 27, 225–230. [Google Scholar]
- Diemitrieska-Stojkovikj, E.; Angeleska, A.; Stojanovska-Dimzoska, B.; Hajrilai-Musliu, Z.; Koceva, D.; Uzunov, R.; Ilievska, G.; Stojković, G.; Jankuloski, D. Acrylamide content in food commodities consumed in North Macedonia and its risk assessment in the population. J. Food Qual. Hazards Control 2019, 6, 101–108. [Google Scholar] [CrossRef]
- Oldways. Asian Diet Pyramid. Available online: https://oldwayspt.org/asian-diet-pyramid (accessed on 30 May 2023).
- World Health Organization (WHO). Food Cluster Diets. Available online: https://www.who.int/data/gho/samples/food-cluster-diets (accessed on 30 May 2023).
- Internal Report on the Harmonisation of Dilution Factors to Be Used in the Assessment of Dietary Exposure; Zenodo: Honolulu, HI, USA, 2018. [CrossRef]
- Bethke, P.C.; Bussan, A.J. Acrylamide in processed potato products. Am. J. Potato Res. 2013, 90, 403–424. [Google Scholar] [CrossRef]
- Gökmen, V. Acrylamide in thermally processed potato products. Potato Res. 2023. [Google Scholar] [CrossRef]
- Mihai, A.L.; Negoită, M.; Hornet, G.A. Assessment of acrylamide in potato chips and French fries consumed by the Romanian population. J. Food Process 2021, 46, e15957. [Google Scholar] [CrossRef]
- Hasan, G.M.M.A.; Das, A.K.; Satter, M.A. Detection of acrylamide traces in some commonly consumed heat-treated carbohydrate-rich foods by GC-MS/MS in Bangladesh. Heliyon 2022, 8, e11092. [Google Scholar] [CrossRef] [PubMed]
- Powers, S.J.; Mottram, D.S.; Curtis, A.; Halford, N.G. Progress on reducing acrylamide levels in potato crisps in Europe, 2002 to 2019. Food Addit. Contam. Part A 2021, 38, 782–806. [Google Scholar]
- Liyanage, D.W.K.; Yevtushenko, D.P.; Konschuh, M.; Bizimungu, B.; Lu, Z.-X. Processing strategies to decrease acrylamide formation, reducing sugars and free asparagine content in potato chips from three commercial cultivars. Food Control 2021, 119, 107452. [Google Scholar] [CrossRef]
- Maan, A.A.; Anjum, M.A.; Khan, M.K.I.; Nazir, A.; Saeed, F.; Afzaal, M.; Aadil, R.M. Acrylamide formation and different mitigation strategies during food processing—A review. Food Rev. Int. 2022, 38, 70–87. [Google Scholar] [CrossRef]
- Gunduz, C.P.B. Formulation and processing strategies to reduce acrylamide in thermally processed cereal-based foods. Int. J. Environ. Res. Public Health 2023, 20, 6272. [Google Scholar] [CrossRef] [PubMed]
- Sarion, C.; Codină, G.G.; Dabija, A. Acrylamide in bakery products: A review on health risks, legal regulations and strategies to reduce its formation. Int. J. Environ. Res. Public Health 2021, 18, 4332. [Google Scholar] [CrossRef] [PubMed]
- Strocchi, G.; Rubiolo, P.; Cordero, C.; Bicchi, C.; Liberto, E. Acrylamide in coffee: What is known and what still needs to be explored. A review. Food Chem. 2022, 393, 133406. [Google Scholar] [CrossRef] [PubMed]
- Kocadağli, T.; Gökmen, V. Formation of acrylamide in coffee. Curr. Opin. Food Sci. 2022, 45, 100842. [Google Scholar] [CrossRef]
- Schouten, M.A.; Tappi, S.; Romani, S. Acrylamide in coffee: Formation and possible mitigation strategies. Crit. Rev. Food Sci. Nutr. 2020, 60, 2807–3821. [Google Scholar] [CrossRef] [PubMed]
- Mojska, H.; Gielecińska, I. Studies of acrylamide level in coffee and coffee substitutes: Influence of raw material and manufacturing conditions. Rocz. Panstw. Zakl. Hig. 2013, 64, 173–181. [Google Scholar]
- Žilic, S. Chapter 10—Acrylamide in soybean products, roasted nuts, and dried fruits. In Acrylamide in Food: Analysis, Content and Potential Health Effects, 2nd ed.; Gökmen, V., Ed.; Academic Press: London, UK, 2016; pp. 197–213. [Google Scholar]
- Pingali, P. Westernisation of Asian diets and the transformation of food systems: Implications for research and policy. Food Policy 2007, 32, 281–298. [Google Scholar] [CrossRef]
- Beland, F.A. Technical Report for Experiment No. 2150.05 and 2150.07. Genotoxicity and Carcinogenicity of Acrylamide in B6C3F1 Mice and F334 Rats; FAO/WHO: Jefferson, AK, USA, 2011. [Google Scholar]
- NTP (National Toxicology Program). NTP Technical Report on the Toxicology and Carcinogenesis Studies of Acrylamide (CAS No. 79-06-1) in F344/N Rats and B6C3F1 Mice (Feed and Drinking Water Studies); NTP Technical Report 575; National Toxicology Program: Research Triangle Park, NC, USA, 2012; pp. 1–234.
- Singapore Food Agency (SFA). Risk at a Glance. Something’s Burning—Acrylamide in Heat-Processed Food. Available online: https://www.sfa.gov.sg/food-information/risk-at-a-glance/acrylamide-in-heat-processed-food (accessed on 30 May 2023).
- Singapore Food Agency (SFA). Food for Thought. Acrylamide in Food: What You Need to Know. Available online: https://www.sfa.gov.sg/food-for-thought/article/detail/acrylamide-in-food-what-you-need-to-know (accessed on 30 May 2023).

| Cooking Methods a | Temperature (°C) |
|---|---|
| Boil, braise, brew, half-boil, soup, steam, stew | 100 |
| Stir fry, pan fry | 150 |
| Deep fry | 180 |
| Bake | 180–200 |
| Roast | 200–250 |
| Analyte | Retention Time tR (min) a | Parent Ion (m/z) | Product Ion (m/z) | Collision Energy (CE) |
|---|---|---|---|---|
| Acrylamide | 3.61 ± 0.36 | 72 | 55 | 15 |
| Acrylamide-2,3,3-d3 | 3.57 ± 0.36 | 75 | 58 | 15 |
| Entry | Food Category | Number of Food Products | n a | Cooking Methods | LC b (%) | Range (µg/kg) | Mean (µg/kg) | Median (µg/kg) | SD Mean c | CV (%) |
|---|---|---|---|---|---|---|---|---|---|---|
| 1 | Vegetables | 64 | 120 | see entries 1.1 to 1.7 | 54.0 | 0.5 f–478.4 | 32.2 | 0.5 | 7.6 | 257.9 |
| 1.1 | Brassica vegetables | 4 | 7 | Boil, stir fry g | 28.6 | 0.5 f–57.3 | 21.0 | 8.9 | 8.9 | 112.1 |
| 1.2 | Fruiting vegetables | 8 | 16 | Boil, steam, stir fry g, RTE d | 75.0 | 0.5 f–69.0 | 7.3 | 0.5 f | 4.4 | 241.7 |
| 1.3 | Leafy vegetables, herbs | 17 | 33 | Boil, stir fry g, RTE d, soup | 54.5 | 0.5 f–38.9 | 6.6 | 0.5 f | 1.7 | 148.1 |
| 1.4 | Legumes | 10 | 16 | Boil, stir fry g, NC e, pan fry, soup | 68.8 | 0.5 f–362.9 | 68.6 | 0.5 f | 33.2 | 193.8 |
| 1.5 | Stalk, stem and bulb vegetables | 11 | 20 | Boil, stir fry g, stew, RTE d, steam, soup | 50.0 | 0.5 f–159.0 | 15.4 | 1.5 | 8.1 | 235.1 |
| 1.6 | Root and tubers | 6 | 18 | Boil, stir fry g, RTE d, soup, bake, deep fry, roast g, steam | 38.9 | 0.5 f–478.4 | 101.1 | 12.2 | 34.7 | 145.4 |
| 1.7 | Fungi, seaweed | 7 | 10 | Boil, NC e, stir fry, soup g | 50.0 | 0.5 f–66.4 | 15.9 | 2.1 | 8.5 | 168.0 |
| 2 | Vegetable protein | 3 | 6 | Braised, stir fry, deep fry g | 83.3 | 0 f–3.5 | 0.6 | 0 f | 0.6 | 244.9 |
| 3 | Fruit and fruit products | 34 | 43 | NC e,g | 95.3 | 0 f–3.5 | 0.2 | 0 f | 0.1 | 458.6 |
| 4 | Grain and grain-based products | 21 | 26 | Boil, Soup, RTE d,g, stir fry, NC e, steam | 65.4 | 0 f–82.8 | 8.9 | 0 f | 3.8 | 219.3 |
| 5 | Meat and meat products | 17 | 45 | Boil, grill, pan fry, stir fry, stew, roast, steam, soup (liquid, solids), RTE, bake, deep fry g, braised, NC e | 57.8 | 0.5 f–20.1 | 3.3 | 0.5 f | 0.7 | 137.2 |
| 6 | Eggs and egg products | 4 | 11 | Boil, RTE d,g, NC e, braised, half-boil, pan fry, steam | 90.9 | 0 f–4.6 | 0.4 | 0 f | 0.4 | 331.7 |
| 7 | Milk and dairy products | 15 | 15 | NC e,g, reconstitute | 93.3 | 0 f–10.4 | 0.7 | 0 f | 0.7 | 387.3 |
| 8 | Fish and seafood | 32 | 62 | Deep fry, pan fry, soup, stir fry, stew g, NC e, RTE d, bake, steam g, boil, braised | 83.9 | 0 f–25.4 | 1.7 | 0 f | 0.7 | 318.4 |
| 9 | Fats and oils | 2 | 4 | Stir fry, deep fry, NC e | 100.0 | 0 f | 0 f | 0 f | 0 | - |
| 10 | Sauces and condiments | 22 | 25 | Boil, NC e,g, RTE d, stir fry | 44.0 | 0.5 f–403.8 | 38.8 | 5.5 | 19.5 | 250.5 |
| 11 | Beverages (excluding coffee and coffee substitutes) | 10 | 10 | RTE d, NC e, brew g | 80.0 | 0 f–7.9 | 1.2 | 0 f | 0.8 | 228.5 |
| 12 | Bakery products (excluding biscuits and wafers) | 6 | 6 | NC e,g | 16.7 | 0.5 f–14.4 | 9.9 | 10.9 | 2.0 | 48.7 |
| 13 | Composite foods | 12 | 12 | Pan fry, boil g, deep fry, steam, NC e, RTE d | 50.0 | 0.5 f–57.6 | 17.7 | 2.2 | 7.1 | 138.4 |
| Entry | Food Category (Food Products) | n a | LC b (%) | Range (µg/kg) | Mean (µg/kg) | Median (µg/kg) | SD Mean c | CV (%) |
|---|---|---|---|---|---|---|---|---|
| 1 | RTE Savouries | 295 | 21.4 | 0.5 d–2866.5 | 198.0 | 74.2 | 19.7 | 171.0 |
| 1.1 | Crackers and chips | 149 | 22.1 | 0.5 d–2866.5 | 248.6 | 54.7 | 36.5 | 179.0 |
| Potato-based | 36 | 0 | 81.8–2095.8 | 732.7 | 650.8 | 85.2 | 69.8 | |
| Fruits (banana, belinjau, jackfruit) | 10 | 30.0 | 0.5 d–2866.5 | 339.7 | 72.9 | 281.2 | 261.7 | |
| Wheat flour | 18 | 22.2 | 0.5 d–600.6 | 131.4 | 47.9 | 42.0 | 135.5 | |
| Rice flour, dhall flour | 22 | 4.5 | 0.5 d–458.4 | 113.8 | 43.3 | 29.4 | 121.4 | |
| Vegetables (cassava, corn, popcorn, sorghum, tapioca, taro, tortilla) | 41 | 31.7 | 0.5 d–238.8 | 48.8 | 30.1 | 8.9 | 117.0 | |
| Seafood (fish, fish skin, scallops, shrimp, prawns) | 22 | 54.5 | 0.5 d–132.7 | 18.4 | 0.5 d | 7.2 | 183.7 | |
| 1.2 | Biscuits and wafers | 98 | 8.2 | 0.5 d–673.7 | 195.7 | 155.2 | 16.4 | 83.0 |
| 1.3 | Cereal-based snack bars and popcorns | 14 | 7.1 | 0.5 d–375.3 | 126.9 | 74.5 | 32.2 | 94.9 |
| 1.4 | Dried snack food (cuttlefish, fish, squid titbits) | 34 | 61.8 | 0.5 d–93.4 | 11.8 | 0.5 d | 3.5 | 170.5 |
| 2 | Beverages (Coffee) e | 51 | 0 | 6–593.3 (0.5–30.0) | 108.4 (8.7) | 84.0 (6.1) | 12.9 (0.9) | 85.2 (73.0) |
| Roast coffee (dry) e | 25 | 0 | 45.8–593.3 (2.6–19.3) | 146.0 (7.4) | 109.0 (6.1) | 22.2 (0.8) | 75.9 (53.6) | |
| Instant coffee (dry) e | 6 | 0 | 25.7–102.1 (3.4–14.3) | 60.4 (7.3) | 57.4 (5.5) | 10.6 (1.7) | 42.8 (55.6) | |
| Coffee substitute (dry) exclusively from cereals e | 20 | 0 | 6.0–212.0 (0.5–30.0) | 75.8 (10.8) | 75.6 (9.6) | 12.4 (1.9) | 73.4 (80.3) | |
| 3 | Nuts | 40 | 35.0 | 0.5 d–247.2 | 41.4 | 34.4 | 8.1 | 123.9 |
| Almond | 4 | 50.0 | 0.5 d–71.3 | 33.9 | 31.8 | 19.3 | 114.2 | |
| Brazil nut kernels | 1 | - | 0.5 d | 0.5 d | 0.5 d | - | - | |
| Cashew | 7 | 28.6 | 0.5 d–72.0 | 22.7 | 11.4 | 10.4 | 121.1 | |
| Chestnuts | 2 | 0 | 14.0–77.9 | 46.0 | 46.0 | 32.0 | 98.3 | |
| Peanuts | 13 | 46.2 | 0.5 d–188.5 | 36.8 | 32.8 | 14.6 | 142.9 | |
| Pistachio | 1 | - | 0.5 d | 0.5 d | 0.5 d | - | - | |
| Walnut | 2 | 50.0 | 0.5 d–38.8 | 19.7 | 19.7 | 19.2 | 137.8 | |
| Mixed nuts | 10 | 10.0 | 0.5 d–247.2 | 75.3 | 57.4 | 20.8 | 87.5 |
| Mean Consumer | High Consumer (95th Percentile) | ||||
|---|---|---|---|---|---|
| Entry | Food Category/Products | Dietary Exposure of Acrylamide (µg/kg bw/Day) | Percentage Contribution (%) | Dietary Exposure of Acrylamide (µg/kg bw/Day) | Percentage Contribution (%) |
| 1 | Vegetable | 2.1 × 10−2 | 12.9 | 6.5 × 10−2 | 16.7 |
| 2 | Vegetable protein | 4.3 × 10−4 | 0.3 | 9.7 × 10−4 | 0.2 |
| 3 | Fruit and fruit products | 9.1 × 10−5 | 0.1 | 1.7 × 10−4 | <0.1 |
| 4 | Grains and grain-based products | 9.5 × 10−3 | 5.8 | 1.6 × 10−2 | 4.0 |
| 5 | Meat and meat products | 2.3 × 10−3 | 1.4 | 5.4 × 10−3 | 1.4 |
| 6 | Eggs and egg products | 1.3 × 10−4 | 0.1 | 3.5 × 10−4 | 0.1 |
| 7 | Milk and dairy products | 9.1 × 10−5 | 0.1 | 2.4 × 10−4 | 0.1 |
| 8 | Fish and seafood | 5.9 × 10−4 | 0.4 | 2.0 × 10−3 | 0.5 |
| 9 | Fats and oils | 0 | 0 | 0 | 0 |
| 10 | Sauces and condiments | 7.5 × 10−3 | 4.6 | 2.4 × 10−2 | 6.1 |
| 11 | Beverages (excluding coffee and coffee substitutes) | 2.9 × 10−3 | 1.8 | 6.3 × 10−3 | 1.6 |
| 12 | Bakery products (excluding biscuits and wafers) | 5.8 × 10−3 | 3.5 | 1.2 × 10−2 | 3.0 |
| 13 | Composite foods | 2.0 × 10−2 | 11.9 | 4.5 × 10−2 | 11.5 |
| Dietary exposure (within 3 main meals) a | 0.070 | 42.6 | 0.178 | 45.4 | |
| 14 | RTE savouries | 7.4 × 10−2 | 44.8 | 1.6 × 10−1 | 40.4 |
| 15 | Beverages (Coffee) | 1.3 × 10−2 | 8.1 | 2.8 × 10−2 | 7.0 |
| 16 | Nuts | 7.4 × 10−3 | 4.5 | 2.8 × 10−2 | 7.2 |
| Dietary exposure (outside main meals) b | 0.095 | 57.4 | 0.214 | 54.6 | |
| Total Dietary Exposure (within and outside main meals) c | 0.165 | 100 | 0.392 | 100 | |
| Reference Point (µg/kg bw/Day) | Critical Effect | Calculated MOE in This Study c |
|---|---|---|
| General (High) Consumers | ||
| 1.8 × 102 (BMDL10) a | Tumours in the Harderian gland of male mice a | 1092 (459) |
| 3.1 × 102 (BMDL10) a | Mammary tumours in female rats a | 1880 (790) |
| 1.7 × 102 (BMDL10) b | Neoplastic effects in mice b | 1031 (433) |
Disclaimer/Publisher’s Note: The statements, opinions and data contained in all publications are solely those of the individual author(s) and contributor(s) and not of MDPI and/or the editor(s). MDPI and/or the editor(s) disclaim responsibility for any injury to people or property resulting from any ideas, methods, instructions or products referred to in the content. |
© 2023 by the authors. Licensee MDPI, Basel, Switzerland. This article is an open access article distributed under the terms and conditions of the Creative Commons Attribution (CC BY) license (https://creativecommons.org/licenses/by/4.0/).
Share and Cite
Yu, W.Z.; Shen, P.; Lim, I.; Shi, R.R.S.; Cai, M.; Chin, Y.S.; Tay, A.J.; Ang, W.M.; Er, J.C.; Lim, G.S.; et al. Occurrence and Dietary Exposure to Acrylamide from Foods Consumed within and outside Main Meals in Singapore. Foods 2023, 12, 3022. https://doi.org/10.3390/foods12163022
Yu WZ, Shen P, Lim I, Shi RRS, Cai M, Chin YS, Tay AJ, Ang WM, Er JC, Lim GS, et al. Occurrence and Dietary Exposure to Acrylamide from Foods Consumed within and outside Main Meals in Singapore. Foods. 2023; 12(16):3022. https://doi.org/10.3390/foods12163022
Chicago/Turabian StyleYu, Wesley Zongrong, Ping Shen, Ignatius Lim, Raymond Rong Sheng Shi, Miaohua Cai, Yee Soon Chin, Ai Jin Tay, Wei Min Ang, Jun Cheng Er, Geraldine Songlen Lim, and et al. 2023. "Occurrence and Dietary Exposure to Acrylamide from Foods Consumed within and outside Main Meals in Singapore" Foods 12, no. 16: 3022. https://doi.org/10.3390/foods12163022
APA StyleYu, W. Z., Shen, P., Lim, I., Shi, R. R. S., Cai, M., Chin, Y. S., Tay, A. J., Ang, W. M., Er, J. C., Lim, G. S., Wu, Y., Li, A., Aung, K. T., & Chan, S. H. (2023). Occurrence and Dietary Exposure to Acrylamide from Foods Consumed within and outside Main Meals in Singapore. Foods, 12(16), 3022. https://doi.org/10.3390/foods12163022

