Influence of Multi-Frequency Ultrasound Treatment on Conformational Characteristics of Beef Myofibrillar Proteins with Different Degrees of Doneness
Abstract
1. Introduction
2. Materials and Methods
2.1. Materials
2.2. Extraction of Beef MPs
2.3. Ultrasound Treatment and Insulation Treatment of Beef MPs
2.4. Determination of Surface Hydrophobicity (SUH)
2.5. Determination of Sulfhydryl Group
2.6. SDS-PAGE Gel Electrophoresis
2.7. Fourier Transform Infrared Spectra (FTIR)
2.8. Particle Sizes Determination
2.9. ζ-Potential Determination
2.10. Atomic Force Microscope (AFM)
2.11. Statistical Analysis
3. Results and Discussions
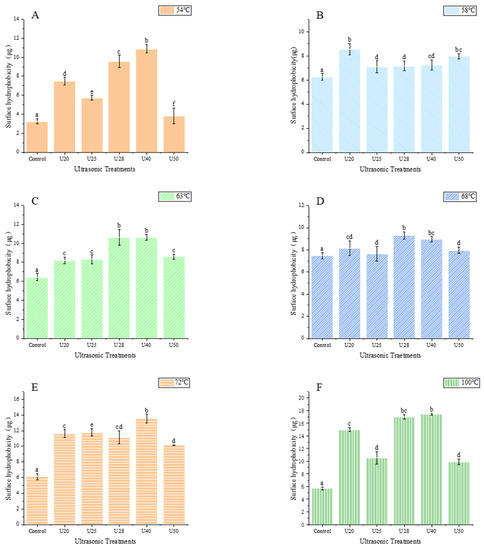
3.1. Surface Hydrophobicity
3.2. Sulfhydryl Content
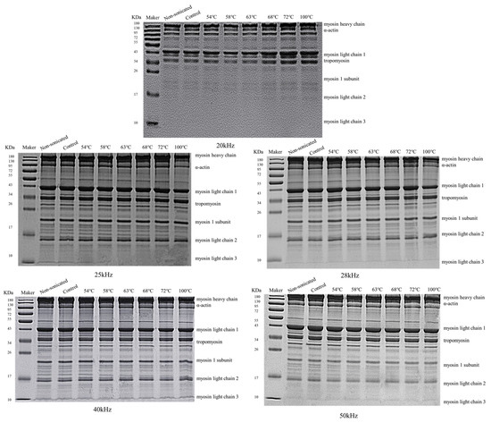
3.3. SDS-PAGE
3.4. Secondary Structure
3.5. Effect of Ultrasound Treatment on the Aggregation Behavior of MPs with Different Degrees of Doneness
3.5.1. Analysis of Particle Size
3.5.2. Analysis of ζ−Potential
3.6. Effects of Ultrasound Treatment on the Microstructure of MPs with Different Degrees of Doneness
4. Conclusions
Author Contributions
Funding
Data Availability Statement
Conflicts of Interest
References
- Holman, B.W.B.; Fowler, S.M.; Bailes, K.L.; Meyer, R.G.; Hopkins, D.L.; Clayton, E.H. Internal endpoint temperature (level of cooking doneness) effects on the fatty acid and mineral profiles of grilled lamb m. longissimus lumborum. Meat Sci. 2023, 201, 109192. [Google Scholar] [CrossRef] [PubMed]
- Han, Z.; Cai, M.J.; Cheng, J.H.; Sun, D.W. Effects of constant power microwave on the adsorption behaviour of myofibril protein to aldehyde flavour compounds. Food Chem. 2021, 336, 127728. [Google Scholar] [CrossRef] [PubMed]
- Wang, J.; Saxena, R.; Vanga, S.K.; Raghavan, V. Effects of Microwaves, Ultrasonication, and Thermosonication on the Secondary Structure and Digestibility of Bovine Milk Protein. Foods 2022, 11, 138. [Google Scholar] [CrossRef]
- Chen, J.; Zhang, X.; Chen, X.; Pius Bassey, A.; Zhou, G.; Xu, X. Phenolic modification of myofibrillar protein enhanced by ultrasound: The structure of phenol matters. Food Chem. 2022, 386, 132662. [Google Scholar] [CrossRef] [PubMed]
- Zhang, Z.L.; Shi, W.L.; Fu, M.; Wang, Y.; Meng, X.R. Mono-Frequency Ultrasonic-assisted Thawing of Frozen Goose Meat: Influence on Thawing Efficiency, Product Quality and Microstructure. Ultrason. Sonochem. 2023, 98, 106489. [Google Scholar] [CrossRef]
- Toldra, F.; Gallego, M.; Reig, M.; Aristoy, M.C.; Mora, L. Recent Progress in Enzymatic Release of Peptides in Foods of Animal Origin and Assessment of Bioactivity. J. Agric. Food Chem. 2020, 68, 12842–12855. [Google Scholar] [CrossRef] [PubMed]
- Chen, K.; Chen, X.; Liang, L.; Xu, X. Gallic Acid-Aided Cross-Linking of Myofibrillar Protein Fabricated Soluble Aggregates for Enhanced Thermal Stability and a Tunable Colloidal State. J. Agric. Food Chem. 2020, 68, 11535–11544. [Google Scholar] [CrossRef]
- Flores, M.; Toldra, F. Chemistry, safety, and regulatory considerations in the use of nitrite and nitrate from natural origin in meat products—Invited review. Meat Sci. 2021, 171, 108272. [Google Scholar] [CrossRef]
- Han, Z.; Cai, M.-j.; Cheng, J.-H.; Sun, D.-W. Effects of electric fields and electromagnetic wave on food protein structure and functionality: A review. Trends Food Sci. Technol. 2018, 75, 1–9. [Google Scholar] [CrossRef]
- Cai, L.; Feng, J.; Cao, A.; Zhang, Y.; Lv, Y.; Li, J. Denaturation Kinetics and Aggregation Mechanism of the Sarcoplasmic and Myofibril Proteins from Grass Carp During Microwave Processing. Food Bioprocess Technol. 2017, 11, 417–426. [Google Scholar] [CrossRef]
- Wang, J.Y.; Yang, Y.L.; Tang, X.Z.; Ni, W.X.; Zhou, L. Effects of pulsed ultrasound on rheological and structural properties of chicken myofibrillar protein. Ultrason. Sonochem. 2017, 38, 225–233. [Google Scholar] [CrossRef]
- Liu, Q.; Lin, Z.; Chen, X.; Chen, J.; Wu, J.; Chen, H.; Zeng, X. Characterization of structures and gel properties of ultra-high-pressure treated-myofibrillar protein extracted from mud carp (Cirrhinus molitorella) and quality characteristics of heat-induced sausage products. Lwt 2022, 165, 113691. [Google Scholar] [CrossRef]
- Carrillo-Lopez, L.M.; Huerta-Jimenez, M.; Garcia-Galicia, I.A.; Alarcon-Rojo, A.D. Bacterial control and structural and physicochemical modification of bovine Longissimus dorsi by ultrasound. Ultrason. Sonochem. 2019, 58, 104608. [Google Scholar] [CrossRef]
- Zou, Y.; Xu, P.; Wu, H.; Zhang, M.; Sun, Z.; Sun, C.; Wang, D.; Cao, J.; Xu, W. Effects of different ultrasound power on physicochemical property and functional performance of chicken actomyosin. Int. J. Biol. Macromol. 2018, 113, 640–647. [Google Scholar] [CrossRef]
- Sun, Q.; Chen, Q.; Xia, X.; Kong, B.; Diao, X. Effects of ultrasound-assisted freezing at different power levels on the structure and thermal stability of common carp (Cyprinus carpio) proteins. Ultrason. Sonochem. 2019, 54, 311–320. [Google Scholar] [CrossRef] [PubMed]
- Mu, L.; Zhao, M.; Yang, B.; Zhao, H.; Cui, C.; Zhao, Q. Effect of ultrasonic treatment on the graft reaction between soy protein isolate and gum acacia and on the physicochemical properties of conjugates. J. Agric. Food Chem. 2010, 58, 4494–4499. [Google Scholar] [CrossRef] [PubMed]
- Knorr, D.; Zenker, M.; Heinz, V.; Lee, D.-U. Applications and potential of ultrasonics in food processing. Trends Food Sci. Technol. 2004, 15, 261–266. [Google Scholar] [CrossRef]
- Chandrapala, J.; Oliver, C.; Kentish, S.; Ashokkumar, M. Ultrasonics in food processing—Food quality assurance and food safety. Trends Food Sci. Technol. 2012, 26, 88–98. [Google Scholar] [CrossRef]
- O’Sullivan, J.; Park, M.; Beevers, J. The effect of ultrasound upon the physicochemical and emulsifying properties of wheat and soy protein isolates. J. Cereal Sci. 2016, 69, 77–84. [Google Scholar] [CrossRef]
- Cheng, Y.; Donkor, P.O.; Ren, X.; Wu, J.; Agyemang, K.; Ayim, I.; Ma, H. Effect of ultrasound pretreatment with mono-frequency and simultaneous dual frequency on the mechanical properties and microstructure of whey protein emulsion gels. Food Hydrocoll. 2019, 89, 434–442. [Google Scholar] [CrossRef]
- Amiri, A.; Sharifian, P.; Soltanizadeh, N. Application of ultrasound treatment for improving the physicochemical, functional and rheological properties of myofibrillar proteins. Int. J. Biol. Macromol. 2018, 111, 139–147. [Google Scholar] [CrossRef] [PubMed]
- Li, K.; Fu, L.; Zhao, Y.-Y.; Xue, S.-W.; Wang, P.; Xu, X.-L.; Bai, Y.-H. Use of high-intensity ultrasound to improve emulsifying properties of chicken myofibrillar protein and enhance the rheological properties and stability of the emulsion. Food Hydrocoll. 2020, 98, 105275. [Google Scholar] [CrossRef]
- Doerscher, D.R.; Briggs, J.L.; Lonergan, S.M. Effects of pork collagen on thermal and viscoelastic properties of purified porcine myofibrillar protein gels. Meat Sci. 2004, 66, 181–188. [Google Scholar] [CrossRef] [PubMed]
- Chelh, I.; Gatellier, P.; Sante-Lhoutellier, V. Technical note: A simplified procedure for myofibril hydrophobicity determination. Meat Sci. 2006, 74, 681–683. [Google Scholar] [CrossRef] [PubMed]
- Hu, Y.; Zhang, L.; Yi, Y.; Solangi, I.; Zan, L.; Zhu, J. Effects of sodium hexametaphosphate, sodium tripolyphosphate and sodium pyrophosphate on the ultrastructure of beef myofibrillar proteins investigated with atomic force microscopy. Food Chem. 2021, 338, 128146. [Google Scholar] [CrossRef]
- Han, G.; Li, Y.; Liu, Q.; Chen, Q.; Liu, H.; Kong, B. Improved water solubility of myofibrillar proteins by ultrasound combined with glycation: A study of myosin molecular behavior. Ultrason. Sonochem. 2022, 89, 106140. [Google Scholar] [CrossRef]
- Bian, C.; Yu, H.; Yang, K.; Mei, J.; Xie, J. Effects of single-, dual-, and multi-frequency ultrasound-assisted freezing on the muscle quality and myofibrillar protein structure in large yellow croaker (Larimichthys crocea). Food Chem. X 2022, 15, 100362. [Google Scholar] [CrossRef]
- Deng, X.; Ma, Y.; Lei, Y.; Zhu, X.; Zhang, L.; Hu, L.; Lu, S.; Guo, X.; Zhang, J. Ultrasonic structural modification of myofibrillar proteins from Coregonus peled improves emulsification properties. Ultrason. Sonochem. 2021, 76, 105659. [Google Scholar] [CrossRef]
- Wang, Y.Y.; Tayyab Rashid, M.; Yan, J.K.; Ma, H. Effect of multi-frequency ultrasound thawing on the structure and rheological properties of myofibrillar proteins from small yellow croaker. Ultrason. Sonochem. 2021, 70, 105352. [Google Scholar] [CrossRef]
- Kang, Z.L.; Kong, L.H.; Gao, Z.S.; Li, Y.P.; Li, X.; Ma, H.J. Effect of temperature increase and NaCl addition on aggregation and gel properties of pork myofibrillar protein. J. Food Process. Preserv. 2021, 45, e15923. [Google Scholar] [CrossRef]
- Promeyrat, A.; Bax, M.L.; Traore, S.; Aubry, L.; Sante-Lhoutellier, V.; Gatellier, P. Changed dynamics in myofibrillar protein aggregation as a consequence of heating time and temperature. Meat Sci. 2010, 85, 625–631. [Google Scholar] [CrossRef]
- Wang, Z.; Li, Y.; Jiang, L.; Qi, B.; Zhou, L. Relationship between Secondary Structure and Surface Hydrophobicity of Soybean Protein Isolate Subjected to Heat Treatment. J. Chem. 2014, 2014, 475389. [Google Scholar] [CrossRef]
- Zhao, X.; Qi, J.; Fan, C.; Wang, B.; Yang, C.; Liu, D. Ultrasound treatment enhanced the ability of the porcine myofibrillar protein to bind furan compounds: Investigation of underlying mechanisms. Food Chem. 2022, 384, 132472. [Google Scholar] [CrossRef] [PubMed]
- Yu, M.-M.; Li, D.-Y.; Liu, Z.-Q.; Liu, Y.-X.; Zhou, J.-Z.; Zhang, M.; Zhou, D.-Y.; Zhu, B.-W. Effects of heat treatments on texture of abalone muscles and its mechanism. Food Biosci. 2021, 44, 101402. [Google Scholar] [CrossRef]
- Wang, K.; Li, Y.; Sun, J.; Qiao, C.; Ho, H.; Huang, M.; Xu, X.; Pang, B.; Huang, H. Synergistic effect of preheating and different power output high-intensity ultrasound on the physicochemical, structural, and gelling properties of myofibrillar protein from chicken wooden breast. Ultrason. Sonochem. 2022, 86, 106030. [Google Scholar] [CrossRef] [PubMed]
- Yang, B.; Wu, Q.; Luo, Y.; Yang, Q.; Wei, X.; Kan, J. High-pressure ultrasonic-assisted extraction of polysaccharides from Hovenia dulcis: Extraction, structure, antioxidant activity and hypoglycemic. Int. J. Biol. Macromol. 2019, 137, 676–687. [Google Scholar] [CrossRef]
- Gao, T.; Zhao, X.; Li, R.; Bassey, A.; Bai, Y.; Ye, K.; Deng, S.; Zhou, G. Synergistic effects of polysaccharide addition-ultrasound treatment on the emulsified properties of low-salt myofibrillar protein. Food Hydrocoll. 2022, 123, 107143. [Google Scholar] [CrossRef]
- Wang, Y.; Zhang, Z.; Li, Y.; Jiang, H.; Kumah Mintah, B.; Dabbour, M.; He, R.; Ma, H. Lysinoalanine formation and conformational characteristics of rice dreg protein isolates by multi-frequency countercurrent S-type sonochemical action. Ultrason. Sonochem. 2020, 69, 105257. [Google Scholar] [CrossRef]
- Chen, J.; Zhang, X.; Fu, M.; Chen, X.; Pius, B.A.; Xu, X. Ultrasound-assisted covalent reaction of myofibrillar protein: The improvement of functional properties and its potential mechanism. Ultrason. Sonochem. 2021, 76, 105652. [Google Scholar] [CrossRef]
- Zhu, Z.; Zhu, W.; Yi, J.; Liu, N.; Cao, Y.; Lu, J.; Decker, E.A.; McClements, D.J. Effects of sonication on the physicochemical and functional properties of walnut protein isolate. Food Res. Int. 2018, 106, 853–861. [Google Scholar] [CrossRef]
- Stathopulos, A.; Skupin, S.; Bergé, L. A Raman-delayed nonlinearity for elliptically polarized ultrashort optical pulses. Eur. Phys. J. Spec. Top. 2022. [CrossRef]
- Lee, J. Measures for the assessment of fuzzy predictions of protein secondary structure. Proteins 2006, 65, 453–462. [Google Scholar] [CrossRef] [PubMed]
- Wang, X.; Wang, L.; Yang, K.; Wu, D.; Ma, J.; Wang, S.; Zhang, Y.; Sun, W. Radio frequency heating improves water retention of pork myofibrillar protein gel: An analysis from water distribution and structure. Food Chem. 2021, 350, 129265. [Google Scholar] [CrossRef]
- Zheng, H.; Han, M.; Bai, Y.; Xu, X.; Zhou, G. Combination of high pressure and heat on the gelation of chicken myofibrillar proteins. Innov. Food Sci. Emerg. Technol. 2019, 52, 122–130. [Google Scholar] [CrossRef]
- Promeyrat, A.; Gatellier, P.; Lebret, B.; Kajak-Siemaszko, K.; Aubry, L.; Santé-Lhoutellier, V. Evaluation of protein aggregation in cooked meat. Food Chem. 2010, 121, 412–417. [Google Scholar] [CrossRef]
- Hu, H.; Fan, X.; Zhou, Z.; Xu, X.; Fan, G.; Wang, L.; Huang, X.; Pan, S.; Zhu, L. Acid-induced gelation behavior of soybean protein isolate with high intensity ultrasonic pre-treatments. Ultrason. Sonochem. 2013, 20, 187–195. [Google Scholar] [CrossRef]
- Li, J.; Dai, Z.; Chen, Z.; Hao, Y.; Wang, S.; Mao, X. Improved gelling and emulsifying properties of myofibrillar protein from frozen shrimp (Litopenaeus vannamei) by high-intensity ultrasound. Food Hydrocoll. 2023, 135, 108188. [Google Scholar] [CrossRef]
- Kang, Z.L.; Shang, X.Y.; Li, Y.P.; Ma, H.J. Effect of Ultrasound-Assisted Sodium Bicarbonate Treatment on Aggregation and Conformation of Reduced-Salt Pork Myofibrillar Protein. Molecules 2022, 27, 7493. [Google Scholar] [CrossRef] [PubMed]
- Zhao, X.; Lan, W.; Zhai, Y.; Xie, J. Multi-frequency ultrasound:A potential method to improve the effects of surface decontamination and structural characteristics on large yellow croaker (Pseudosciaena crocea) during refrigerated storage. Ultrason. Sonochem. 2021, 79, 105787. [Google Scholar] [CrossRef]
- Zhang, Z.; Regenstein, J.M.; Zhou, P.; Yang, Y. Effects of high intensity ultrasound modification on physicochemical property and water in myofibrillar protein gel. Ultrason. Sonochem. 2017, 34, 960–967. [Google Scholar] [CrossRef]
- Zhang, Z.; Yang, Y.; Tang, X.; Chen, Y.; You, Y. Chemical forces and water holding capacity study of heat-induced myofibrillar protein gel as affected by high pressure. Food Chem. 2015, 188, 111–118. [Google Scholar] [CrossRef] [PubMed]
- Zou, Y.; Zhang, K.; Bian, H.; Zhang, M.; Sun, C.; Xu, W.; Wang, D. Rapid tenderizing of goose breast muscle based on actomyosin dissociation by low-frequency ultrasonication. Process Biochem. 2018, 65, 115–122. [Google Scholar] [CrossRef]
- Fu, Q.Q.; Shi, H.B.; Zhou, L.; Li, P.P.; Wang, R.R. Effects of ultrasound power on the properties of non-salt chicken myofibrillar protein emulsions. Int. J. Food Sci. Technol. 2022, 57, 2523–2534. [Google Scholar] [CrossRef]








Disclaimer/Publisher’s Note: The statements, opinions and data contained in all publications are solely those of the individual author(s) and contributor(s) and not of MDPI and/or the editor(s). MDPI and/or the editor(s) disclaim responsibility for any injury to people or property resulting from any ideas, methods, instructions or products referred to in the content. |
© 2023 by the authors. Licensee MDPI, Basel, Switzerland. This article is an open access article distributed under the terms and conditions of the Creative Commons Attribution (CC BY) license (https://creativecommons.org/licenses/by/4.0/).
Share and Cite
Zhang, Z.; Yang, T.; Wang, Y.; Liu, J.; Shi, W.; Hu, H.; Meng, Y.; Meng, X.; He, R. Influence of Multi-Frequency Ultrasound Treatment on Conformational Characteristics of Beef Myofibrillar Proteins with Different Degrees of Doneness. Foods 2023, 12, 2926. https://doi.org/10.3390/foods12152926
Zhang Z, Yang T, Wang Y, Liu J, Shi W, Hu H, Meng Y, Meng X, He R. Influence of Multi-Frequency Ultrasound Treatment on Conformational Characteristics of Beef Myofibrillar Proteins with Different Degrees of Doneness. Foods. 2023; 12(15):2926. https://doi.org/10.3390/foods12152926
Chicago/Turabian StyleZhang, Zhaoli, Tingxuan Yang, Yang Wang, Jiarui Liu, Wangbin Shi, Haochen Hu, Yang Meng, Xiangren Meng, and Ronghai He. 2023. "Influence of Multi-Frequency Ultrasound Treatment on Conformational Characteristics of Beef Myofibrillar Proteins with Different Degrees of Doneness" Foods 12, no. 15: 2926. https://doi.org/10.3390/foods12152926
APA StyleZhang, Z., Yang, T., Wang, Y., Liu, J., Shi, W., Hu, H., Meng, Y., Meng, X., & He, R. (2023). Influence of Multi-Frequency Ultrasound Treatment on Conformational Characteristics of Beef Myofibrillar Proteins with Different Degrees of Doneness. Foods, 12(15), 2926. https://doi.org/10.3390/foods12152926

