Characteristics of Unripened Cow Milk Curd Cheese Enriched with Raspberry (Rubus idaeus), Blueberry (Vaccinium myrtillus) and Elderberry (Sambucus nigra) Industry By-Products
Abstract
1. Introduction
2. Materials and Methods
2.1. Materials Used for Berry Industry By-Product (BIB) Immobilization, Unripened Cow Milk Curd Cheese (U-CC) Preparation and General Experiment of the Current Study
2.2. Berry Industry By-Product (BIB) Immobilization and Unripened Cow Milk Curd Cheese Preparation
2.2.1. Preparation of Agar-Immobilized (AI) Berry Industry By-Products (BIBs)
2.2.2. Preparation of Unripened Cow Milk Curd Cheese (U-CC)
2.3. Methods for Berry Industry By-Product (BIB) Analyses
2.3.1. Evaluation of the Antimicrobial Properties in Berry Industry By-Products (BIBs)
2.3.2. Evaluation of pH, Acidity and Color Characteristics in Berry Industry By-Products (BIBs)
2.3.3. Determination of Total Phenolic Compounds (TPCs) and 2,2-Diphenyl-1-picrylhydrazyl (DPPH−)-Radical Scavenging Activity
2.4. Methods for Unripened Cow Milk Curd Cheese (U-CC) Analyses
2.4.1. Evaluation of pH, Acidity, Color Coordinates, Texture Hardness, Moisture Content and Antioxidant Characteristics in Unripened Cow Milk Curd Cheese (U-CC)
2.4.2. Evaluation of Fatty Acid (FA) Profile in Unripened Cow Milk Curd Cheese (U-CC)
2.4.3. Evaluation of Volatile Compounds (VCs) in Unripened Cow Milk Curd Cheese (U-CC)
2.4.4. Evaluation of Biogenic Amine (BA) Content in Unripened Cow Milk Curd Cheese (U-CC)
2.4.5. Evaluation of Changes in Total Lactic Acid Bacteria (LAB), Total Bacteria (TBC) and Total Enterobacteria (TEC) Viable Counts in Unripened Cow Milk Curd Cheese (U-CC) during Storage
2.4.6. Evaluation of Overall Acceptability and Induced Emotions for Consumers in Unripened Cow Milk Curd Cheese (U-CC)
2.5. Statistical Analysis
3. Results and Discussion
3.1. Characteristics of the Non-Immobilized (NI) and Immobilized (AI) Berry Industry By-Products (BIBs)
3.1.1. Antimicrobial Properties of Non-Immobilized (NI) Berry Industry By-Products (BIBs)
3.1.2. Antioxidant Characteristics, Color Coordinates (L*, a* and b*), pH and Acidity (TTA) Parameters of Berry Industrial By-Products (BIBs)
3.2. Characteristics of the Unripened Cow Milk Curd Cheese (U-CC)
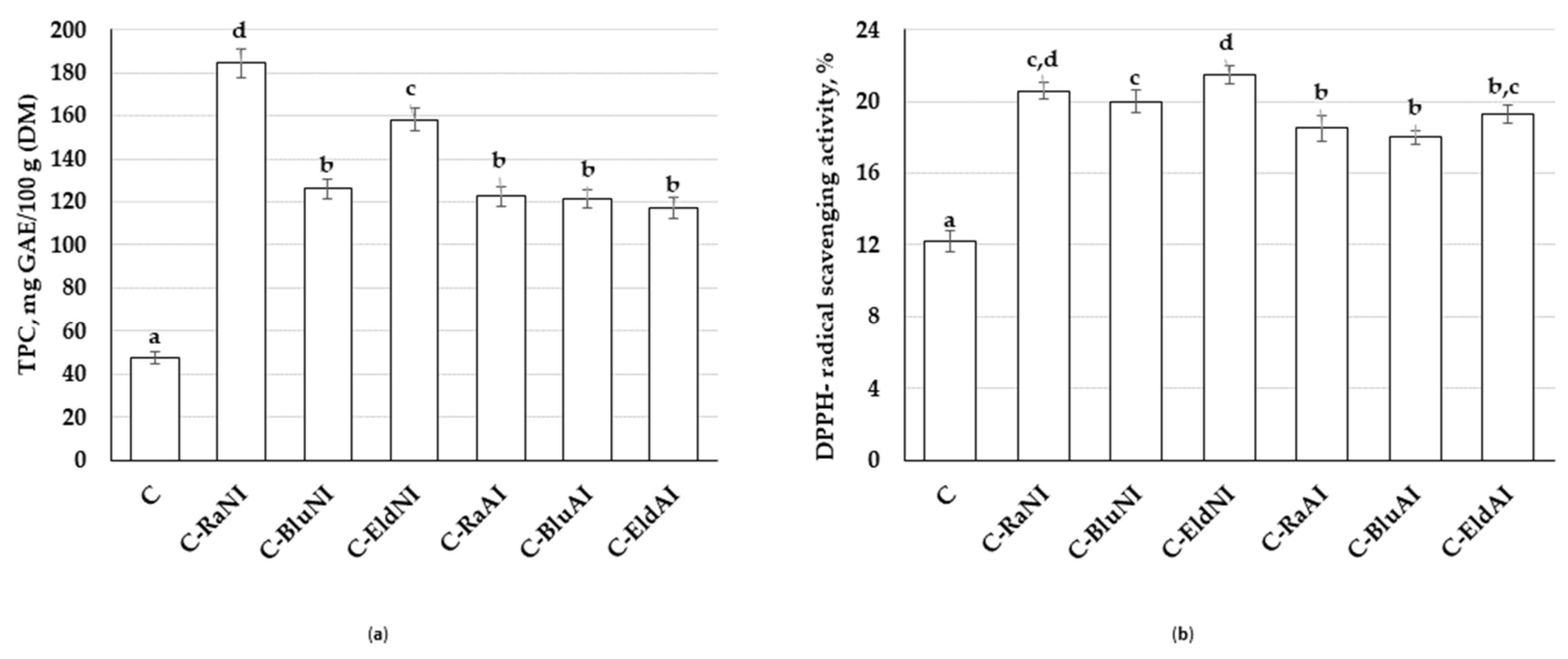
3.2.1. pH and Acidity (TTA) Parameters, Color (L*, a* and b*) Parameters, Texture Parameters and Antioxidant Characteristics of Unripened Cow Milk Curd Cheese (U-CC)
3.2.2. Fatty Acid (FA) Profile of Unripened Cow Milk Curd Cheese (U-CC)
3.2.3. Volatile Compound (VC) Profile of Unripened Cow Milk Curd Cheese (U-CC)
3.2.4. Biogenic Amine (BA) Content of Unripened Cow Milk Curd Cheese (U-CC)
3.2.5. Microbiological Parameters of Unripened Cow Milk Curd Cheese (U-CC) during Storage
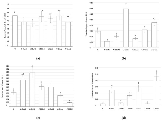
3.2.6. Overall Acceptability and Induced Emotions for the Judges of Unripened Cow Milk Curd Cheese (U-CC)
4. Conclusions
Supplementary Materials
Author Contributions
Funding
Data Availability Statement
Acknowledgments
Conflicts of Interest
References
- Cheese: Consumption per Capita Worldwide Country Comparison. 2021. Available online: https://www.statista.com/statistics/527195/consumption-of-cheese-per-capita-worldwide-country/ (accessed on 8 May 2023).
- Walle, T.; Yusuf, M.; Ipsen, R.; Hailu, Y.; Eshetu, M. Coagulation and Preparation of Soft Unripened Cheese from Camel Milk Using Camel Chymosin. East Afr. J. Sci. 2017, 11, 99–106. [Google Scholar]
- Dmytrów, I.; Szymczak, M.; Szkolnicka, K.; Kamiński, P. Development of Functional Acid Curd Cheese (Tvarog) with Antioxidant Activity Containing Astaxanthin from Shrimp Shells Preliminary Experiment. Foods 2021, 10, 895. [Google Scholar] [CrossRef] [PubMed]
- Bennato, F.; Ianni, A.; Innosa, D.; Martino, C.; Grotta, L.; Pomilio, F.; Verna, M.; Martino, G. Influence of Licorice Root Feeding on Chemical-Nutritional Quality of Cow Milk and Stracciata Cheese, an Italian Traditional Fresh Dairy Product. Animals 2019, 9, 1153. [Google Scholar] [CrossRef]
- Khalifa, S.; Wahdan, K. Improving the Quality Characteristics of White Soft Cheese Using Cranberry (Vaccinium Macrocarpon) Fruit Extract. Int. Food Res. J. 2015, 22, 2203–2211. [Google Scholar]
- Mohamed, A.G.; Shalaby, S.M. Texture, Chemical Properties and Sensory Evaluation of a Spreadable Processed Cheese Analogue Made with Apricot Pulp (Prunus armeniaca L.). Int. J. Dairy Sci. 2016, 11, 61–68. [Google Scholar] [CrossRef]
- Mehanna, N.S.; Hassan, F.A.M.; El-Messery, T.M.; Mohamed, A.G. Production of Functional Processed Cheese by Using Tomato Juice. Int. J. Dairy Sci. 2017, 12, 155–160. [Google Scholar] [CrossRef]
- Dilucia, F.; Lacivita, V.; Conte, A.; Del Nobile, M.A. Sustainable Use of Fruit and Vegetable By-Products to Enhance Food Packaging Performance. Foods 2020, 9, 857. [Google Scholar] [CrossRef] [PubMed]
- Ispiryan, A.; Viškelis, J.; Viškelis, P. Red Raspberry (Rubus idaeus L.) Seed Oil: A Review. Plants 2021, 10, 944. [Google Scholar] [CrossRef] [PubMed]
- Tobar-Bolaños, G.; Casas-Forero, N.; Orellana-Palma, P.; Petzold, G. Blueberry Juice: Bioactive Compounds, Health Impact, and Concentration Technologies—A Review. J. Food Sci. 2021, 86, 5062–5077. [Google Scholar] [CrossRef]
- Lavefve, L.; Howard, L.R.; Carbonero, F. Berry Polyphenols Metabolism and Impact on Human Gut Microbiota and Health. Food Funct. 2020, 11, 45–65. [Google Scholar] [CrossRef]
- Silva, S.; Costa, E.M.; Veiga, M.; Morais, R.M.; Calhau, C.; Pintado, M. Health Promoting Properties of Blueberries: A Review. Crit. Rev. Food Sci. Nutr. 2020, 60, 181–200. [Google Scholar] [CrossRef] [PubMed]
- Pires, T.C.S.P.; Caleja, C.; Santos-Buelga, C.; Barros, L.; Ferreira, I.C.F.R. Vaccinium myrtillus L. Fruits as a Novel Source of Phenolic Compounds with Health Benefits and Industrial Applications—A Review. Curr. Pharm. Des. 2020, 26, 1917–1928. [Google Scholar] [CrossRef] [PubMed]
- Musilová, J.; Franková, H.; Lidiková, J.; Vollmannová, A.; Bojňanská, T.; Jurítková, J. The Content of Bioactive Substances and Their Antioxidant Effects in the European Blueberry (Vaccinium myrtillus L.) Influenced by Different Ways of Their Processing. J. Food Process. Preserv. 2022, 46, e16549. [Google Scholar] [CrossRef]
- Urbonaviciene, D.; Bobinaite, R.; Viskelis, P.; Bobinas, C.; Petruskevicius, A.; Klavins, L.; Viskelis, J. Geographic Variability of Biologically Active Compounds, Antioxidant Activity and Physico-Chemical Properties in Wild Bilberries (Vaccinium myrtillus L.). Antioxidants 2022, 11, 588. [Google Scholar] [CrossRef]
- Liu, D.; He, X.-Q.; Wu, D.-T.; Li, H.-B.; Feng, Y.-B.; Zou, L.; Gan, R.-Y. Elderberry (Sambucus nigra L.): Bioactive Compounds, Health Functions, and Applications. J. Agric. Food Chem. 2022, 70, 4202–4220. [Google Scholar] [CrossRef]
- Corrado, G.; Basile, B.; Mataffo, A.; Yousefi, S.; Salami, S.A.; Perrone, A.; Martinelli, F. Cultivation, Phytochemistry, Health Claims, and Genetic Diversity of Sambucus Nigra, a Versatile Plant with Many Beneficial Properties. Horticulturae 2023, 9, 488. [Google Scholar] [CrossRef]
- Domínguez, R.; Zhang, L.; Rocchetti, G.; Lucini, L.; Pateiro, M.; Munekata, P.E.S.; Lorenzo, J.M. Elderberry (Sambucus nigra L.) as Potential Source of Antioxidants. Characterization, Optimization of Extraction Parameters and Bioactive Properties. Food Chem. 2020, 330, 127266. [Google Scholar] [CrossRef]
- Ferreira, S.S.; Martins-Gomes, C.; Nunes, F.M.; Silva, A.M. Elderberry (Sambucus nigra L.) Extracts Promote Anti-Inflammatory and Cellular Antioxidant Activity. Food Chem. X 2022, 15, 100437. [Google Scholar] [CrossRef] [PubMed]
- Rathee, R.; Rajain, P. Role Colour Plays in Influencing Consumer Behaviour. Int. Res. J. Bus. Stud. 2019, 12, 209–222. [Google Scholar] [CrossRef]
- Pandya, Y.H.; Bakshi, M.; Sharma, A. Agar-Agar Extraction, Structural Properties and Applications: A Review. Pharma Innov. 2022, 6, 1151–1157. [Google Scholar]
- Karolewicz, B. A Review of Polymers as Multifunctional Excipients in Drug Dosage Form Technology. Saudi Pharm. J. 2016, 24, 525–536. [Google Scholar] [CrossRef] [PubMed]
- Sanchez-Cardozo, J.; Quintanilla-Carvajal, M.X.; Ruiz-Pardo, R.; Acosta-González, A.; Sanchez-Cardozo, J.; Quintanilla-Carvajal, M.X.; Ruiz-Pardo, R.; Acosta-González, A. Evaluating Gelling-Agent Mixtures as Potential Substitutes for Bacteriological Agar: An Approach by Mixture Design. DYNA 2019, 86, 171–176. [Google Scholar] [CrossRef]
- Balouiri, M.; Sadiki, M.; Ibnsouda, S.K. Methods for in Vitro Evaluating Antimicrobial Activity: A Review. J. Pharm. Anal. 2016, 6, 71–79. [Google Scholar] [CrossRef] [PubMed]
- Vaher, M.; Matso, K.; Levandi, T.; Helmja, K.; Kaljurand, M. Phenolic Compounds and the Antioxidant Activity of the Bran, Flour and Whole Grain of Different Wheat Varieties. Procedia Chem. 2010, 2, 76–82. [Google Scholar] [CrossRef]
- Zhu, K.-X.; Lian, C.-X.; Guo, X.-N.; Peng, W.; Zhou, H.-M. Antioxidant Activities and Total Phenolic Contents of Various Extracts from Defatted Wheat Germ. Food Chem. 2011, 126, 1122–1126. [Google Scholar] [CrossRef]
- ICC Method, M. 110/1 Determination of the Moisture Content of Cereals and Cereal Products (Practical Method). Available online: https://icc.or.at/publications/icc-standards/standards-overview/110-1-standard-method (accessed on 6 December 2022).
- Perez-Palacios, T.; Solomando, J.C.; Ruiz-Carrascal, J.; Antequera, T. Improvements in the Methodology for Fatty Acids Analysis in Meat Products: One-Stage Transmethylation and Fast-GC Method. Food Chem. 2022, 371, 130995. [Google Scholar] [CrossRef]
- Bartkiene, E.; Starkute, V.; Katuskevicius, K.; Laukyte, N.; Fomkinas, M.; Vysniauskas, E.; Kasciukaityte, P.; Radvilavicius, E.; Rokaite, S.; Medonas, D.; et al. The Contribution of Edible Cricket Flour to Quality Parameters and Sensory Characteristics of Wheat Bread. Food Sci. Nutr. 2022, 10, 4319–4330. [Google Scholar] [CrossRef]
- Ben-Gigirey, B.; Vieites Baaptista de Sousa, J.M.; Villa, T.G.; Barros-Velazquez, J. Histamine and Cadaverine Production by Bacteria Isolated from Fresh and Frozen Albacore (Thunnus alalunga). J. Food Prot. 1999, 62, 933–939. [Google Scholar] [CrossRef]
- Bartkiene, E.; Zarovaite, P.; Starkute, V.; Mockus, E.; Zokaityte, E.; Zokaityte, G.; Rocha, J.M.; Ruibys, R.; Klupsaite, D. Changes in Lacto-Fermented Agaricus Bisporus (White and Brown Varieties) Mushroom Characteristics, Including Biogenic Amine and Volatile Compound Formation. Foods 2023, 12, 2441. [Google Scholar] [CrossRef]
- Bartkiene, E.; Ruzauskas, M.; Lele, V.; Zavistanaviciute, P.; Bernatoniene, J.; Jakstas, V.; Ivanauskas, L.; Zadeike, D.; Klupsaite, D.; Viskelis, P. Development of Antimicrobial Gummy Candies with Addition of Bovine Colostrum, Essential Oils and Probiotics. Int. J. Food Sci. Technol. 2018, 53, 1227–1235. [Google Scholar] [CrossRef]
- ISO 6658:2017; Sensory Analysis—Methodology—General Guidance 2017. International Organization for Standardization (ISO): Geneva, Switzerland, 2017.
- ISO-8586 Sensory Analysis—General Guidelines for the Selection, Training and Monitoring of Selected Assessors and Expert Sensory Assessors. Available online: https://www.iso.org/cms/render/live/en/sites/isoorg/contents/data/standard/04/53/45352.html (accessed on 15 October 2021).
- ISO:5492:2008. Available online: https://www.iso.org/standard/38051.html (accessed on 12 May 2023).
- Gaze, L.V.; Oliveira, B.R.; Ferrao, L.L.; Granato, D.; Cavalcanti, R.N.; Conte Júnior, C.A.; Cruz, A.G.; Freitas, M.Q. Preference Mapping of Dulce de Leche Commercialized in Brazilian Markets. J. Dairy Sci. 2015, 98, 1443–1454. [Google Scholar] [CrossRef] [PubMed]
- Janiaski, D.R.; Pimentel, T.C.; Cruz, A.G.; Prudencio, S.H. Strawberry-Flavored Yogurts and Whey Beverages: What Is the Sensory Profile of the Ideal Product? J. Dairy Sci. 2016, 99, 5273–5283. [Google Scholar] [CrossRef]
- Torres, F.R.; Esmerino, E.A.; Carr, B.T.; Ferrão, L.L.; Granato, D.; Pimentel, T.C.; Bolini, H.M.A.; Freitas, M.Q.; Cruz, A.G. Rapid Consumer-Based Sensory Characterization of Requeijão Cremoso, a Spreadable Processed Cheese: Performance of New Statistical Approaches to Evaluate Check-All-That-Apply Data. J. Dairy Sci. 2017, 100, 6100–6110. [Google Scholar] [CrossRef]
- Bartkiene, E.; Mockus, E.; Mozuriene, E.; Klementaviciute, J.; Monstaviciute, E.; Starkute, V.; Zavistanaviciute, P.; Zokaityte, E.; Cernauskas, D.; Klupsaite, D. The Evaluation of Dark Chocolate-Elicited Emotions and Their Relation with Physico Chemical Attributes of Chocolate. Foods 2021, 10, 642. [Google Scholar] [CrossRef]
- Evans, J.D. Straightforward Statistics for the Behavioral Sciences; Thomson Brooks/Cole Publishing, Co.: Belmont, CA, USA, 1996; pp. xxii, 1–600. ISBN 0-534-23100-4. [Google Scholar]
- Velicanski, A.; Cvetkovic, D.; Markov, S. Screening of Antibacterial Activity of Raspberry (Rubus idaeus L.) Fruit and Pomace Extracts. Acta Period. Technol. 2012, 43, 305–313. [Google Scholar] [CrossRef]
- Puupponen-Pimiä, R.; Nohynek, L.; Hartmann-Schmidlin, S.; Kähkönen, M.; Heinonen, M.; Määttä-Riihinen, K.; Oksman-Caldentey, K.-M. Berry Phenolics Selectively Inhibit the Growth of Intestinal Pathogens. J. Appl. Microbiol. 2005, 98, 991–1000. [Google Scholar] [CrossRef] [PubMed]
- Nohynek, L.J.; Alakomi, H.-L.; Kähkönen, M.P.; Heinonen, M.; Helander, I.M.; Oksman-Caldentey, K.-M.; Puupponen-Pimiä, R.H. Berry Phenolics: Antimicrobial Properties and Mechanisms of Action against Severe Human Pathogens. Nutr. Cancer 2006, 54, 18–32. [Google Scholar] [CrossRef] [PubMed]
- Abdel-Shafi, S.; Al-Mohammadi, A.-R.; Sitohy, M.; Mosa, B.; Ismaiel, A.; Enan, G.; Osman, A. Antimicrobial Activity and Chemical Constitution of the Crude, Phenolic-Rich Extracts of Hibiscus Sabdariffa, Brassica Oleracea and Beta Vulgaris. Molecules 2019, 24, 4280. [Google Scholar] [CrossRef]
- Shen, X.; Sun, X.; Xie, Q.; Liu, H.; Zhao, Y.; Pan, Y.; Hwang, C.-A.; Wu, V.C.H. Antimicrobial Effect of Blueberry (Vaccinium corymbosum L.) Extracts against the Growth of Listeria Monocytogenes and Salmonella Enteritidis. Food Control 2014, 35, 159–165. [Google Scholar] [CrossRef]
- Albuquerque, T.G.; Silva, M.A.; Oliveira, M.B.P.P.; Costa, H.S. Chapter 34—Analysis, Identification, and Quantification of Anthocyanins in Fruit Juices. In Fruit Juices; Rajauria, G., Tiwari, B.K., Eds.; Academic Press: San Diego, CA, USA, 2018; pp. 693–737. ISBN 978-0-12-802230-6. [Google Scholar]
- Vatai, T.; Škerget, M.; Knez, Ž. Extraction of Phenolic Compounds from Elder Berry and Different Grape Marc Varieties Using Organic Solvents and/or Supercritical Carbon Dioxide. J. Food Eng. 2009, 90, 246–254. [Google Scholar] [CrossRef]
- Ördögh, L. Antioxidant and Antimicrobial Activities of Fruit Juices and Pomace Extracts against Acne-Inducing Bacteria. Acta Biol. Szeged. 2010, 54, 45–49. [Google Scholar]
- ‘Aqilah, N.M.N.; Rovina, K.; Felicia, W.X.L.; Vonnie, J.M. A Review on the Potential Bioactive Components in Fruits and Vegetable Wastes as Value-Added Products in the Food Industry. Molecules 2023, 28, 2631. [Google Scholar] [CrossRef]
- Tena, N.; Martín, J.; Asuero, A.G. State of the Art of Anthocyanins: Antioxidant Activity, Sources, Bioavailability, and Therapeutic Effect in Human Health. Antioxidants 2020, 9, 451. [Google Scholar] [CrossRef]
- Lila, M.A.; Burton-Freeman, B.; Grace, M.; Kalt, W. Unraveling Anthocyanin Bioavailability for Human Health. Annu. Rev. Food Sci. Technol. 2016, 7, 375–393. [Google Scholar] [CrossRef]
- Zorzi, M.; Gai, F.; Medana, C.; Aigotti, R.; Morello, S.; Peiretti, P.G. Bioactive Compounds and Antioxidant Capacity of Small Berries. Foods 2020, 9, 623. [Google Scholar] [CrossRef]
- Calabuig-Jiménez, L.; Hinestroza-Córdoba, L.I.; Barrera, C.; Seguí, L.; Betoret, N. Effects of Processing and Storage Conditions on Functional Properties of Powdered Blueberry Pomace. Sustainability 2022, 14, 1839. [Google Scholar] [CrossRef]
- Popović, T.; Šarić, B.; Martačić, J.D.; Arsić, A.; Jovanov, P.; Stokić, E.; Mišan, A.; Mandić, A. Potential Health Benefits of Blueberry and Raspberry Pomace as Functional Food Ingredients: Dietetic Intervention Study on Healthy Women Volunteers. Front. Nutr. 2022, 9, 969996. [Google Scholar] [CrossRef]
- Mutavski, Z.; Nastić, N.; Živković, J.; Šavikin, K.; Veberič, R.; Medič, A.; Pastor, K.; Jokić, S.; Vidović, S. Black Elderberry Press Cake as a Source of Bioactive Ingredients Using Green-Based Extraction Approaches. Biology 2022, 11, 1465. [Google Scholar] [CrossRef]
- Četojević-Simin, D.D.; Velićanski, A.S.; Cvetković, D.D.; Markov, S.L.; Ćetković, G.S.; Tumbas Šaponjac, V.T.; Vulić, J.J.; Čanadanović-Brunet, J.M.; Djilas, S.M. Bioactivity of Meeker and Willamette Raspberry (Rubus idaeus L.) Pomace Extracts. Food Chem. 2015, 166, 407–413. [Google Scholar] [CrossRef]
- Tańska, M.; Roszkowska, B.; Czaplicki, S.; Borowska, E.J.; Bojarska, J.; Dąbrowska, A. Effect of Fruit Pomace Addition on Shortbread Cookies to Improve Their Physical and Nutritional Values. Plant Foods Hum. Nutr. 2016, 71, 307–313. [Google Scholar] [CrossRef]
- Mandrone, M.; Lorenzi, B.; Maggio, A.; La Mantia, T.; Scordino, M.; Bruno, M.; Poli, F. Polyphenols Pattern and Correlation with Antioxidant Activities of Berries Extracts from Four Different Populations of Sicilian Sambucus nigra L. Nat. Prod. Res. 2014, 28, 1246–1253. [Google Scholar] [CrossRef]
- Martín, J.; Kuskoski, E.M.; Navas, M.J.; Asuero, A.G. Antioxidant Capacity of Anthocyanin Pigments. Flavonoids-From Biosynth. Hum. Health 2017, 3, 205–255. [Google Scholar]
- Kowalska, H.; Marzec, A.; Kowalska, J.; Ciurzyńska, A.; Czajkowska, K.; Cichowska, J.; Rybak, K.; Lenart, A. Osmotic Dehydration of Honeoye Strawberries in Solutions Enriched with Natural Bioactive Molecules. LWT—Food Sci. Technol. 2017, 85, 500–505. [Google Scholar] [CrossRef]
- Sharma, M.; Hussain, S.; Shalima, T.; Aav, R.; Bhat, R. Valorization of Seabuckthorn Pomace to Obtain Bioactive Carotenoids: An Innovative Approach of Using Green Extraction Techniques (Ultrasonic and Microwave-Assisted Extractions) Synergized with Green Solvents (Edible Oils). Ind. Crop. Prod. 2022, 175, 114257. [Google Scholar] [CrossRef]
- Wallace, T.C.; Giusti, M.M. Determination of Color, Pigment, and Phenolic Stability in Yogurt Systems Colored with Nonacylated Anthocyanins from Berberis boliviana L. as Compared to Other Natural/Synthetic Colorants. J. Food Sci. 2008, 73, C241–C248. [Google Scholar] [CrossRef]
- Mazur, S.P.; Nes, A.; Wold, A.-B.; Remberg, S.F.; Aaby, K. Quality and Chemical Composition of Ten Red Raspberry (Rubus idaeus L.) Genotypes during Three Harvest Seasons. Food Chem. 2014, 160, 233–240. [Google Scholar] [CrossRef]
- Borges, G.; Degeneve, A.; Mullen, W.; Crozier, A. Identification of Flavonoid and Phenolic Antioxidants in Black Currants, Blueberries, Raspberries, Red Currants, and Cranberries. J. Agric. Food Chem. 2010, 58, 3901–3909. [Google Scholar] [CrossRef]
- Mullen, W.; McGinn, J.; Lean, M.E.J.; MacLean, M.R.; Gardner, P.; Duthie, G.G.; Yokota, T.; Crozier, A. Ellagitannins, Flavonoids, and Other Phenolics in Red Raspberries and Their Contribution to Antioxidant Capacity and Vasorelaxation Properties. J. Agric. Food Chem. 2002, 50, 5191–5196. [Google Scholar] [CrossRef]
- Mullen, W.; Stewart, A.J.; Lean, M.E.J.; Gardner, P.; Duthie, G.G.; Crozier, A. Effect of Freezing and Storage on the Phenolics, Ellagitannins, Flavonoids, and Antioxidant Capacity of Red Raspberries. J. Agric. Food Chem. 2002, 50, 5197–5201. [Google Scholar] [CrossRef]
- Scibisz, I.; Mitek, M. Influence of Freezing Process and Frozen Storage on Anthocyanin Contents of Highbush Blueberries. Zywnosc Nauka Technol. Jakosc Pol. 2007, 5, 23–238. [Google Scholar]
- Michalska, A.; Łysiak, G. Bioactive Compounds of Blueberries: Post-Harvest Factors Influencing the Nutritional Value of Products. Int. J. Mol. Sci. 2015, 16, 18642–18663. [Google Scholar] [CrossRef]
- Mikulic-Petkovsek, M.; Schmitzer, V.; Slatnar, A.; Todorovic, B.; Veberic, R.; Stampar, F.; Ivancic, A. Investigation of Anthocyanin Profile of Four Elderberry Species and Interspecific Hybrids. J. Agric. Food Chem. 2014, 62, 5573–5580. [Google Scholar] [CrossRef]
- Yu, Y.; Yang, G.; Sun, L.; Song, X.; Bao, Y.; Luo, T.; Wang, J. Comprehensive Evaluation of 24 Red Raspberry Varieties in Northeast China Based on Nutrition and Taste. Foods 2022, 11, 3232. [Google Scholar] [CrossRef] [PubMed]
- Sargent, S.A.; Lyrene, P.M.; Fox, A.J.; Berry, A.D. Effect of Harvest Maturity and Canopy Cover on Blueberry (Vaccinium corymbosum) Fruit Quality. Proc. Fla. State Hortic. Soc. 2009, 122, 330–333. [Google Scholar]
- Zhang, J.; Nie, J.; Li, J.; Zhang, H.; Li, Y.; Farooq, S.; Bacha, S.A.S.; Wang, J. Evaluation of Sugar and Organic Acid Composition and Their Levels in Highbush Blueberries from Two Regions of China. J. Integr. Agric. 2020, 19, 2352–2361. [Google Scholar] [CrossRef]
- Nawirska-Olszańska, A.; Oziembłowski, M.; Brandova, P.; Czaplicka, M. Comparison of the Chemical Composition of Selected Varieties of Elderberry with Wild Growing Elderberry. Molecules 2022, 27, 5050. [Google Scholar] [CrossRef]
- Ibáñez, R.A.; Govindasamy-Lucey, S.; Jaeggi, J.J.; Johnson, M.E.; McSweeney, P.L.H.; Lucey, J.A. Effect of Lactose Standardization of Milk Using Low-Concentration Factor Ultrafiltration: Effect of Reducing the Lactose-to-Casein Ratio on the Properties of Milled-Curd Cheddar Cheese. J. Dairy Sci. 2021, 104, 8467–8478. [Google Scholar] [CrossRef]
- McSweeney, P.L.H.; Ottogalli, G.; Fox, P.F. Chapter 31—Diversity and Classification of Cheese Varieties: An Overview. In Cheese, 4th ed.; McSweeney, P.L.H., Fox, P.F., Cotter, P.D., Everett, D.W., Eds.; Academic Press: San Diego, CA, USA, 2017; pp. 781–808. ISBN 978-0-12-417012-4. [Google Scholar]
- Nour, V.; Trandafir, I.; Ionica, M.E. HPLC Organic Acid Analysis in Different Citrus Juices under Reversed Phase Conditions. Not. Bot. Horti Agrobot. Cluj-Napoca 2010, 38, 44–48. [Google Scholar] [CrossRef]
- Mikulic-Petkovsek, M.; Schmitzer, V.; Slatnar, A.; Stampar, F.; Veberic, R. Composition of Sugars, Organic Acids, and Total Phenolics in 25 Wild or Cultivated Berry Species. J. Food Sci. 2012, 77, C1064–C1070. [Google Scholar] [CrossRef] [PubMed]
- Viljakainen, S.; Visti, A.; Laakso, S. Concentrations of Organic Acids and Soluble Sugars in Juices from Nordic Berries. Acta Agric. Scand. Sect. B—Soil Plant Sci. 2002, 52, 101–109. [Google Scholar] [CrossRef]
- Basson, C.E.; Groenewald, J.-H.; Kossmann, J.; Cronjé, C.; Bauer, R. Sugar and Acid-Related Quality Attributes and Enzyme Activities in Strawberry Fruits: Invertase Is the Main Sucrose Hydrolysing Enzyme. Food Chem. 2010, 121, 1156–1162. [Google Scholar] [CrossRef]
- Ercisli, S.; Orhan, E. Some Physico-Chemical Characteristics of Black Mulberry (Morus nigra L.) Genotypes from Northeast Anatolia Region of Turkey. Sci. Hortic. 2008, 116, 41–46. [Google Scholar] [CrossRef]
- Veberic, R.; Jakopic, J.; Stampar, F.; Schmitzer, V. European Elderberry (Sambucus nigra L.) Rich in Sugars, Organic Acids, Anthocyanins and Selected Polyphenols. Food Chem. 2009, 114, 511–515. [Google Scholar] [CrossRef]
- Arfaoui, L. Dietary Plant Polyphenols: Effects of Food Processing on Their Content and Bioavailability. Molecules 2021, 26, 2959. [Google Scholar] [CrossRef]
- Guiné, R.; Leitão, S.; Gonçalves, F.; Correia, P. Evaluation of Colour in a Newly Developed Food Product: Fresh Cheese with Red Fruits. J. Sci. Eng. Res. 2017, 4, 108–115. [Google Scholar]
- Amarowicz, R.; Carle, R.; Dongowski, G.; Durazzo, A.; Galensa, R.; Kammerer, D.; Maiani, G.; Piskula, M.K. Influence of Postharvest Processing and Storage on the Content of Phenolic Acids and Flavonoids in Foods. Mol. Nutr. Food Res. 2009, 53, S151–S183. [Google Scholar] [CrossRef]
- Li, T.; Li, X.; Dai, T.; Hu, P.; Niu, X.; Liu, C.; Chen, J. Binding Mechanism and Antioxidant Capacity of Selected Phenolic Acid-β-Casein Complexes. Food Res. Int. 2020, 129, 108802. [Google Scholar] [CrossRef] [PubMed]
- Jiang, J.; Zhang, Z.; Zhao, J.; Liu, Y. The Effect of Non-Covalent Interaction of Chlorogenic Acid with Whey Protein and Casein on Physicochemical and Radical-Scavenging Activity of in Vitro Protein Digests. Food Chem. 2018, 268, 334–341. [Google Scholar] [CrossRef]
- Kaur, J.; Katopo, L.; Hung, A.; Ashton, J.; Kasapis, S. Combined Spectroscopic, Molecular Docking and Quantum Mechanics Study of β-Casein and p-Coumaric Acid Interactions Following Thermal Treatment. Food Chem. 2018, 252, 163–170. [Google Scholar] [CrossRef]
- Wu, S.; Zhang, Y.; Ren, F.; Qin, Y.; Liu, J.; Liu, J.; Wang, Q.; Zhang, H. Structure–Affinity Relationship of the Interaction between Phenolic Acids and Their Derivatives and β-Lactoglobulin and Effect on Antioxidant Activity. Food Chem. 2018, 245, 613–619. [Google Scholar] [CrossRef]
- Yuan, S.; Zhang, Y.; Liu, J.; Zhao, Y.; Tan, L.; Liu, J.; Wang, Q.; Zhang, H. Structure-Affinity Relationship of the Binding of Phenolic Acids and Their Derivatives to Bovine Serum Albumin. Food Chem. 2019, 278, 77–83. [Google Scholar] [CrossRef]
- Zhang, H.; Yu, D.; Sun, J.; Guo, H.; Ding, Q.; Liu, R.; Ren, F. Interaction of Milk Whey Protein with Common Phenolic Acids. J. Mol. Struct. 2014, 1058, 228–233. [Google Scholar] [CrossRef]
- Dai, T.; Chen, J.; McClements, D.J.; Hu, P.; Ye, X.; Liu, C.; Li, T. Protein–Polyphenol Interactions Enhance the Antioxidant Capacity of Phenolics: Analysis of Rice Glutelin–Procyanidin Dimer Interactions. Food Funct. 2019, 10, 765–774. [Google Scholar] [CrossRef]
- Ozdal, T.; Capanoglu, E.; Altay, F. A Review on Protein–Phenolic Interactions and Associated Changes. Food Res. Int. 2013, 51, 954–970. [Google Scholar] [CrossRef]
- Masmoudi, M.; Ammar, I.; Ghribi, H.; Attia, H. Physicochemical, Radical Scavenging Activity and Sensory Properties of a Soft Cheese Fortified with Arbutus unedo L. Extract. Food Biosci. 2020, 35, 100579. [Google Scholar] [CrossRef]
- Arora, B.; Sethi, S.; Joshi, A.; Sagar, V.R.; Sharma, R.R. Antioxidant Degradation Kinetics in Apples. J. Food Sci. Technol. 2018, 55, 1306–1313. [Google Scholar] [CrossRef]
- Araki, C. Some Recent Studies on the Polysaccharides of Agarophytes. In Proceedings of the Fifth International Seaweed Symposium, Halifax, NS, Canada, 25–28 August 1965; pp. 3–17, ISBN 978-0-08-011841-3. [Google Scholar] [CrossRef]
- Knutsen, S.H.; Myslabodski, D.E.; Larsen, B.; Usov, A.I. A Modified System of Nomenclature for Red Algal Galactans. Bot. Mar. 1994, 37, 163–170. [Google Scholar] [CrossRef]
- Martínez-Sanz, M.; Ström, A.; Lopez-Sanchez, P.; Knutsen, S.H.; Ballance, S.; Zobel, H.K.; Sokolova, A.; Gilbert, E.P.; López-Rubio, A. Advanced Structural Characterisation of Agar-Based Hydrogels: Rheological and Small Angle Scattering Studies. Carbohydr. Polym. 2020, 236, 115655. [Google Scholar] [CrossRef]
- Duckworth, M.; Yaphe, W. The Structure of Agar: Part I. Fractionation of a Complex Mixture of Polysaccharides. Carbohydr. Res. 1971, 16, 189–197. [Google Scholar] [CrossRef]
- Gonçalves, F.; Leitão, S.; Correia, P.; Guiné, R. Study of Total Phenolic Composition and Antioxidant Activity of Fresh Cheese with Red Fruits. In Proceedings of the ICEUBI: International Congress on Engineering—A Vision for the Future, Covilhã, Portugal, 4–7 December 2017; pp. 1–9. [Google Scholar]
- Lucera, A.; Costa, C.; Marinelli, V.; Saccotelli, M.A.; Del Nobile, M.A.; Conte, A. Fruit and Vegetable By-Products to Fortify Spreadable Cheese. Antioxidants 2018, 7, 61. [Google Scholar] [CrossRef]
- Lindberg, M. Milk Fatty Acid Profiles from Inclusion of Different Calcium Salts in Dairy Cow Diets. Acta Agric. Scand. Sect.—Anim. Sci. 2020, 69, 249–253. [Google Scholar] [CrossRef]
- Paszczyk, B. Cheese and Butter as a Source of Health-Promoting Fatty Acids in the Human Diet. Animals 2022, 12, 3424. [Google Scholar] [CrossRef]
- Prado, L.A.; Schmidely, P.; Nozière, P.; Ferlay, A. Milk Saturated Fatty Acids, Odd- and Branched-Chain Fatty Acids, and Isomers of C18:1, C18:2, and C18:3n-3 According to Their Duodenal Flows in Dairy Cows: A Meta-Analysis Approach. J. Dairy Sci. 2019, 102, 3053–3070. [Google Scholar] [CrossRef]
- Lordan, R.; Tsoupras, A.; Mitra, B.; Zabetakis, I. Dairy Fats and Cardiovascular Disease: Do We Really Need to Be Concerned? Foods 2018, 7, 29. [Google Scholar] [CrossRef]
- Lordan, R.; Zabetakis, I. Invited Review: The Anti-Inflammatory Properties of Dairy Lipids. J. Dairy Sci. 2017, 100, 4197–4212. [Google Scholar] [CrossRef]
- Unger, A.L.; Torres-Gonzalez, M.; Kraft, J. Dairy Fat Consumption and the Risk of Metabolic Syndrome: An Examination of the Saturated Fatty Acids in Dairy. Nutrients 2019, 11, 2200. [Google Scholar] [CrossRef]
- Gómez-Cortés, P.; Juárez, M.; de la Fuente, M.A. Milk Fatty Acids and Potential Health Benefits: An Updated Vision. Trends Food Sci. Technol. 2018, 81, 1–9. [Google Scholar] [CrossRef]
- Hanuš, O.; Samková, E.; Křížová, L.; Hasoňová, L.; Kala, R. Role of Fatty Acids in Milk Fat and the Influence of Selected Factors on Their Variability—A Review. Molecules 2018, 23, 1636. [Google Scholar] [CrossRef]
- Adamska, A.; Rutkowska, J. Odd- and branched-chain fatty acids in milk fat-characteristic and health properties. Postepy Hig. Med. Doswiadczalnej Online 2014, 68, 998–1007. [Google Scholar] [CrossRef]
- Wongtangtintharn, S.; Oku, H.; Iwasaki, H.; Toda, T. Effect of Branched-Chain Fatty Acids on Fatty Acid Biosynthesis of Human Breast Cancer Cells. J. Nutr. Sci. Vitaminol. 2004, 50, 137–143. [Google Scholar] [CrossRef]
- Paszczyk, B.; Łuczyńska, J. Fatty Acids Profile, Conjugated Linoleic Acid Contents and Fat Quality in Selected Dairy Products Available on the Polish Market. Czech J. Food Sci. 2020, 38, 109–114. [Google Scholar] [CrossRef]
- Farag, M.A.; Gad, M.Z. Omega-9 Fatty Acids: Potential Roles in Inflammation and Cancer Management. J. Genet. Eng. Biotechnol. 2022, 20, 48. [Google Scholar] [CrossRef] [PubMed]
- Haug, A.; Høstmark, A.T.; Harstad, O.M. Bovine Milk in Human Nutrition—A Review. Lipids Health Dis. 2007, 6, 25. [Google Scholar] [CrossRef]
- Williams, C.M. Dietary Fatty Acids and Human Health. Ann. Zootech. 2000, 49, 165–180. [Google Scholar] [CrossRef]
- Arnould, V.M.-R.; Soyeurt, H. Genetic Variability of Milk Fatty Acids. J. Appl. Genet. 2009, 50, 29–39. [Google Scholar] [CrossRef]
- Najjar, R.; Meister, M.; Knapp, D.; Wanders, D.; Feresin, R. Raspberry Protects Against High-Fat, High-Sucrose Diet-Induced Vascular Oxidative Stress via NRF2. Curr. Dev. Nutr. 2022, 6, 321. [Google Scholar] [CrossRef]
- Van Hoed, V.; De Clercq, N.; Echim, C.; Andjelkovic, M.; Leber, E.; Dewettinck, K.; Verhé, R. Berry Seeds: A Source of Specialty Oils with High Content of Bioactives and Nutritional Value. J. Food Lipids 2009, 16, 33–49. [Google Scholar] [CrossRef]
- Radočaj, O.; Vujasinović, V.; Dimić, E.; Basić, Z. Blackberry (Rubus fruticosus L.) and Raspberry (Rubus idaeus L.) Seed Oils Extracted from Dried Press Pomace after Longterm Frozen Storage of Berries Can Be Used as Functional Food Ingredients. Eur. J. Lipid Sci. Technol. 2014, 116, 1015–1024. [Google Scholar] [CrossRef]
- Luo, Y.; Yuan, F.; Li, Y.; Wang, J.; Gao, B.; Yu, L. Triacylglycerol and Fatty Acid Compositions of Blackberry, Red Raspberry, Black Raspberry, Blueberry and Cranberry Seed Oils by Ultra-Performance Convergence Chromatography-Quadrupole Time-of-Flight Mass Spectrometry. Foods 2021, 10, 2530. [Google Scholar] [CrossRef]
- Dulf, F.V.; Oroian, I.; Vodnar, D.C.; Socaciu, C.; Pintea, A. Lipid Classes and Fatty Acid Regiodistribution in Triacylglycerols of Seed Oils of Two Sambucus Species (S. nigra L. and S. ebulus L.). Molecules 2013, 18, 11768–11782. [Google Scholar] [CrossRef]
- Klimek-Szczykutowicz, M.; Szopa, A.; Ekiert, H. Citrus limon (Lemon) Phenomenon—A Review of the Chemistry, Pharmacological Properties, Applications in the Modern Pharmaceutical, Food, and Cosmetics Industries, and Biotechnological Studies. Plants 2020, 9, 119. [Google Scholar] [CrossRef] [PubMed]
- Wang, J.; Yang, Z.J.; Xu, L.Y.; Wang, B.; Zhang, J.H.; Li, B.Z.; Cao, Y.P.; Tan, L. Key Aroma Compounds Identified in Cheddar Cheese with Different Ripening Times by Aroma Extract Dilution Analysis, Odor Activity Value, Aroma Recombination, and Omission. J. Dairy Sci. 2021, 104, 1576–1590. [Google Scholar] [CrossRef] [PubMed]
- Vespermann, K.A.C.; Paulino, B.N.; Barcelos, M.C.S.; Pessôa, M.G.; Pastore, G.M.; Molina, G. Biotransformation of α- and β-Pinene into Flavor Compounds. Appl. Microbiol. Biotechnol. 2017, 101, 1805–1817. [Google Scholar] [CrossRef] [PubMed]
- Mollica, F.; Gelabert, I.; Amorati, R. Synergic Antioxidant Effects of the Essential Oil Component γ-Terpinene on High-Temperature Oil Oxidation. ACS Food Sci. Technol. 2022, 2, 180–186. [Google Scholar] [CrossRef]
- Santamarina-García, G.; Amores, G.; Hernández, I.; Morán, L.; Barrón, L.J.R.; Virto, M. Relationship between the Dynamics of Volatile Aroma Compounds and Microbial Succession during the Ripening of Raw Ewe Milk-Derived Idiazabal Cheese. Curr. Res. Food Sci. 2023, 6, 100425. [Google Scholar] [CrossRef]
- Hale, A.; Betül, D.E.M. The Volatile Compounds of Elderberries (Sambucus nigra L.). Nat. Volatiles Essent. Oils 2014, 1, 51–54. [Google Scholar]
- Du, X.; Qian, M. Flavor Chemistry of Small Fruits: Blackberry, Raspberry, and Blueberry. In Flavor and Health Benefits of Small Fruits; American Chemical Society: Washington, DC, USA, 2010; pp. 27–43. ISBN 1947-5918. [Google Scholar]
- Pluta-Kubica, A.; Najgebauer-Lejko, D.; Domagała, J.; Štefániková, J.; Golian, J. The Effect of Cow Breed and Wild Garlic Leaves (Allium ursinum L.) on the Sensory Quality, Volatile Compounds, and Physical Properties of Unripened Soft Rennet-Curd Cheese. Foods 2022, 11, 3948. [Google Scholar] [CrossRef]
- Moniente, M.; Botello-Morte, L.; García-Gonzalo, D.; Virto, R.; Pagán, R.; Ferreira, V.; Ontañón, I. Combination of SPE and Fluorescent Detection of AQC-Derivatives for the Determination at Sub-Mg/L Levels of Biogenic Amines in Dairy Products. Food Res. Int. 2023, 165, 112448. [Google Scholar] [CrossRef]
- Linares, D.M.; del Río, B.; Ladero, V.; Martínez, N.; Fernández, M.; Martín, M.C.; Alvarez, M.A. Factors Influencing Biogenic Amines Accumulation in Dairy Products. Front. Microbiol. 2012, 3, 180. [Google Scholar] [CrossRef]
- Gardini, F.; Özogul, Y.; Suzzi, G.; Tabanelli, G.; Özogul, F. Technological Factors Affecting Biogenic Amine Content in Foods: A Review. Front. Microbiol. 2016, 7, 1218. [Google Scholar] [CrossRef]
- Moniente, M.; García-Gonzalo, D.; Ontañón, I.; Pagán, R.; Botello-Morte, L. Histamine Accumulation in Dairy Products: Microbial Causes, Techniques for the Detection of Histamine-Producing Microbiota, and Potential Solutions. Compr. Rev. Food Sci. Food Saf. 2021, 20, 1481–1523. [Google Scholar] [CrossRef]
- Schirone, M.; Esposito, L.; D’Onofrio, F.; Visciano, P.; Martuscelli, M.; Mastrocola, D.; Paparella, A. Biogenic Amines in Meat and Meat Products: A Review of the Science and Future Perspectives. Foods 2022, 11, 788. [Google Scholar] [CrossRef]
- Ercan, S.Ș.; Soysal, Ç.; Bozkurt, H. Biogenic Amine Contents of Fresh and Mature Kashar Cheeses during Refrigerated Storage. Food Health 2019, 5, 19–29. [Google Scholar] [CrossRef]
- Sturza, R.; Sandulachi, E.; Cojocari, D.; Balan, G.; Popescu, L.; Ghendov-Mosanu, A. Antimicrobial Properties of Berry Powders in Cream Cheese. J. Eng. Sci. 2019, XXVI, 125–136. [Google Scholar] [CrossRef]
- Martin, N.H.; Torres-Frenzel, P.; Wiedmann, M. Invited Review: Controlling Dairy Product Spoilage to Reduce Food Loss and Waste. J. Dairy Sci. 2021, 104, 1251–1261. [Google Scholar] [CrossRef]
- Bartkiene, E.; Lele, V.; Sakiene, V.; Zavistanaviciute, P.; Ruzauskas, M.; Bernatoniene, J.; Jakstas, V.; Viskelis, P.; Zadeike, D.; Juodeikiene, G. Improvement of the Antimicrobial Activity of Lactic Acid Bacteria in Combination with Berries/Fruits and Dairy Industry by-Products. J. Sci. Food Agric. 2019, 99, 3992–4002. [Google Scholar] [CrossRef]
- Zokaityte, E.; Lele, V.; Starkute, V.; Zavistanaviciute, P.; Cernauskas, D.; Klupsaite, D.; Ruzauskas, M.; Alisauskaite, J.; Baltrusaitytė, A.; Dapsas, M.; et al. Antimicrobial, Antioxidant, Sensory Properties, and Emotions Induced for the Consumers of Nutraceutical Beverages Developed from Technological Functionalised Food Industry By-Products. Foods 2020, 9, 1620. [Google Scholar] [CrossRef]
- Penna, A.C.G.; Durço, B.B.; Pagani, M.M.; Pimentel, T.C.; Mársico, E.T.; Silva, A.C.O.; Esmerino, E.A. Kefir with Artificial and Natural Dyes: Assessment of Consumer Knowledge, Attitude, and Emotional Profile Using Emojis. J. Sens. Stud. 2022, 37, e12734. [Google Scholar] [CrossRef]
- Cardello, A.V.; Llobell, F.; Giacalone, D.; Roigard, C.M.; Jaeger, S.R. Plant-Based Alternatives vs Dairy Milk: Consumer Segments and Their Sensory, Emotional, Cognitive and Situational Use Responses to Tasted Products. Food Qual. Prefer. 2022, 100, 104599. [Google Scholar] [CrossRef]
- Falkeisen, A.; Gorman, M.; Knowles, S.; Barker, S.; Moss, R.; McSweeney, M.B. Consumer Perception and Emotional Responses to Plant-Based Cheeses. Food Res. Int. 2022, 158, 111513. [Google Scholar] [CrossRef]
- Rodrigues, J.F.; Siman, I.B.; de Oliveira, L.E.A.; de Fátima Barcelos, A.; Oliveira, R.A.A.; Silva, R.; da Cruz, A.G. Use of Diaries as a Research Strategy on Sensory Perception and Consumer Behavior of Canastra Cheese. J. Sens. Stud. 2021, 36, e12627. [Google Scholar] [CrossRef]
- Schouteten, J.J.; De Steur, H.; De Pelsmaeker, S.; Lagast, S.; De Bourdeaudhuij, I.; Gellynck, X. Impact of Health Labels on Flavor Perception and Emotional Profiling: A Consumer Study on Cheese. Nutrients 2015, 7, 10251–10268. [Google Scholar] [CrossRef]
- Godard, O.; Baudouin, J.-Y.; Schaal, B.; Durand, K. Affective Matching of Odors and Facial Expressions in Infants: Shifting Patterns between 3 and 7 Months. Dev. Sci. 2016, 19, 155–163. [Google Scholar] [CrossRef]
- Macht, M.; Dettmer, D. Everyday Mood and Emotions after Eating a Chocolate Bar or an Apple. Appetite 2006, 46, 332–336. [Google Scholar] [CrossRef]
- Macht, M.; Mueller, J. Immediate Effects of Chocolate on Experimentally Induced Mood States. Appetite 2007, 49, 667–674. [Google Scholar] [CrossRef]
- Pandolfi, E.; Sacripante, R.; Cardini, F. Food-Induced Emotional Resonance Improves Emotion Recognition. PLoS ONE 2016, 11, e0167462. [Google Scholar] [CrossRef]
- Rousmans, S.; Robin, O.; Dittmar, A.; Vernet-Maury, E. Autonomic Nervous System Responses Associated with Primary Tastes. Chem. Senses 2000, 25, 709–718. [Google Scholar] [CrossRef]








| Berry By-Products | DIZ, mm | |||||||||
|---|---|---|---|---|---|---|---|---|---|---|
| Pathogenic Opportunistic Bacteria Strains | ||||||||||
| 1 | 2 | 3 | 4 | 5 | 6 | 7 | 8 | 9 | 10 | |
| Ras | nd | nd | 12.0 ± 0.4 | 15.5 ± 0.3 b | 14.4 ± 0.3 | 12.2 ± 0.2 | 10.5 ± 0.4 a | 13.6 ± 0.4 b | nd | 13.4 ± 0.2 b |
| Blu | nd | 9.2 ± 0.2 a | nd | 14.2 ± 0.1 a | nd | nd | 10.7 ± 0.21 a | 12.4 ± 0.3 a | nd | 12.3 ± 0.4 a |
| Eld | nd | 13.3 ± 0.4 b | nd | nd | nd | nd | nd | 12.9 ± 0.3 a,b | nd | nd |
| Berry Industry By-Products | DPPH, % | TPC, mg GAE/100 g (DM) | Color Coordinates, NBS Units | pH | TTA, °N | ||
|---|---|---|---|---|---|---|---|
| L* | a* | b* | |||||
| RasNI | 75.2 ± 1.47 e | 137.4 ± 0.95 e | 32.6 ± 3.59 c | 29.6 ± 2.31 e | 6.75 ± 0.81 d | 3.29 ± 0.11 a | 0.500 ± 0.010 b |
| BluNI | 68.1 ± 1.33 c | 115.1 ± 0.77 b | 23.9 ± 2.15 b | 10.0 ± 1.11 c | 1.88 ± 0.16 c | 3.89 ± 0.18 b,c | 0.400 ± 0.010 a |
| EldNI | 77.7 ± 1.14 e | 143.6 ± 0.89 f | 20.2 ± 1.87 a,b | 6.07 ± 0.73 b | 2.14 ± 0.24 c | 4.08 ± 0.21 b,c | 0.600 ± 0.010 c |
| RasAI | 64.3 ± 0.95 b | 121.7 ± 0.82 c | 32.5 ± 3.48 c | 20.5 ± 1.84 d | 6.83 ± 0.91 d | 3.72 ± 0.16 b | 0.900 ± 0.020 e |
| BluAI | 61.4 ± 0.78 a | 104.3 ± 0.68 a | 23.4 ± 2.02 a,b | 5.97 ± 0.61 b | 0.260 ± 0.020 a | 4.22 ± 0.19 c | 0.700 ± 0.010 d |
| EldAI | 72.2 ± 1.02 d | 130.4 ± 0.85 d | 19.9 ± 1.71 a | 4.32 ± 0.43 a | 1.37 ± 0.09 b | 4.67 ± 0.22 d | 1.00 ± 0.02 f |
| Cheese Samples | Acidity Parameters | Color Coordinates, NBS Units | Texture, mJ | Moisture, % | |||
|---|---|---|---|---|---|---|---|
| pH | TTA, °T | L* | a* | b* | |||
| C | 5.80 ± 0.02 d | 1.90 ± 0.12 a | 99.5 ± 3.48 e | −4.68 ± 0.47 a | 25.0 ± 1.64 d | 0.100 ± 0.010 a | 68.4 ± 2.4 a |
| C-RaNI | 5.27 ± 0.03 a | 2.20 ± 0.14 b | 89.8 ± 2.47 d | 1.07 ± 0.22 d | 18.6 ± 1.18 c | 0.300 ± 0.010 c | 68.2 ± 2.1 a |
| C-BluNI | 5.35 ± 0.02 b | 2.30 ± 0.17 b | 80.4 ± 3.21 c | 1.69 ± 0.39 e | 8.26 ± 0.51 a | 0.200 ± 0.010 b | 68.1 ± 1.9 a |
| C-EldNI | 5.58 ± 0.02 c | 2.50 ± 0.22 b | 70.2 ± 3.82 a | 7.35 ± 0.88 f | 7.24 ± 0.49 a | 0.300 ± 0.010 c | 67.8 ± 1.6 a |
| C-RaAI | 5.31 ± 0.01 a | 2.40 ± 0.21 b | 90.0 ± 4.36 d | −2.71 ± 0.44 b | 20.8 ± 1.49 c | 0.500 ± 0.010 e | 67.5 ± 1.2 a |
| C-BluAI | 5.39 ± 0.02 b | 2.30 ± 0.19 b | 78.7 ± 2.90 b | −1.94 ± 0.32 c | 15.0 ± 1.15 b | 0.400 ± 0.010 d | 67.9 ± 1.7 a |
| C-EldAI | 5.61 ± 0.07 c | 2.40 ± 0.23 b | 70.5 ± 2.58 a | 2.12 ± 0.29 e | 7.9 ± 0.40 a | 0.500 ± 0.020 e | 67.7 ± 1.4 a |
| Fatty Acid | C | C-RaNI | C-BluNI | C-EldNI | C-RaAI | C-BluAI | C-EldAI |
|---|---|---|---|---|---|---|---|
| Fatty acid content, % from the total fat content | |||||||
| Butyric acid | 3.42 ± 0.34 d | 2.84 ± 0.13 b | 2.74 ± 0.15 b | 3.93 ± 0.22 d | 3.87 ± 0.21 d | 3.29 ± 0.22 c | 2.05 ± 0.14 a |
| Caproic acid | 1.97 ± 0.11 c | 1.49 ± 0.07 b | 1.63 ± 0.08 b | 2.30 ± 0.14 d | 2.25 ± 0.15 d | 1.93 ± 0.09 c | 1.21 ±0.06 a |
| Caprylic acid | 0.720 ± 0.027 d | 0.290 ± 0.016 a | 0.660 ± 0.023 c | 0.990 ± 0.038 f | 1.13 ± 0.05 g | 0.900 ± 0.029 e | 0.470 ± 0.018 b |
| Capric acid | 2.65 ± 0.17 b,c | 2.12 ± 0.11 b | 2.35 ± 0.12 b | 3.22 ± 0.27 d | 3.30 ± 0.23 d | 2.63 ± 0.16 b,c | 1.68 ± 0.18 a |
| Lauric acid | 3.14 ± 0.18 c | 2.50 ± 0.12 b | 2.59 ± 0.13 b | 3.51 ± 0.22 c | 3.41 ± 0.19 c | 2.78 ± 0.12 b | 1.77 ± 0.11 a |
| Myristic acid | 11.4 ± 0.44 c | 10.3 ± 0.37 b | 9.74 ± 0.31 b | 12.2 ± 0.44 c | 11.4 ± 0.41 c | 9.94 ± 0.34 b | 6.70 ± 0.21 a |
| Myristoleic acid | 0.880 ± 0.032 e | 0.620 ± 0.023 b | 0.710 ± 0.030 c | 0.970 ± 0.039 f | 0.996 ± 0.040 f | 0.820 ± 0.028 d | 0.520 ± 0.021 a |
| Pentadecylic acid | 1.07 ± 0.06 e | 0.710 ± 0.022 c | 0.860 ± 0.027 d | 1.14 ± 0.08 e,f | 0.100 ± 0.004 a | 0.990 ± 0.032 e | 0.610 ± 0.021 b |
| Palmitic acid | 33.8 ± 0.75 d | 30.8 ± 0.82 b,c | 29.1 ± 0.60 b | 33.7 ± 0.72 d | 32.2 ± 0.69 c | 29.6 ± 0.61 b | 21.5 ± 0.53 a |
| Margaric acid | 0.450 ± 0.011 e | 0.270 ± 0.004 b | 0.360 ± 0.007 c | 0.430 ± 0.010 d | 0.460 ± 0.012 e | 0.380 ± 0.006 c | 0.220 ± 0.004 a |
| Palmitoleic acid | 1.61 ± 0.08 c | 1.32 ± 0.07 b | 1.33 ± 0.06 b | 1.69 ± 0.09 c,d | 1.72 ± 0.10 c,d | 1.48 ± 0.07 c | 1.06 ± 0.05 a |
| Stearic acid | 11.5 ± 0.45 c | 10.4 ± 0.40 b | 10.2 ± 0.38 b | 11.4 ± 0.43 b,c | 10.6 ± 0.39 b | 10.4 ± 0.37 b | 7.31 ± 0.11 a |
| Oleic acid | 22.1 ± 0.70 a | 21.6 ± 0.77 a | 21.1 ± 0.73 a | 21.8 ± 0.75 a | 24.0 ± 0.78 b | 25.5 ± 0.81 b | 37.6 ± 0.87 c |
| Linoleic acid | 4.23 ± 0.17 c | 10.7 ± 0.27 f | 5.74 ± 0.19 d | 2.12 ± 0.11 a | 2.98 ± 0.13 b | 6.49 ± 0.22 e | 11.2 ± 0.29 f |
| α-Linolenic acid | 1.09 ± 0.03 c | 4.78 ± 0.11 e | 8.04 ± 0.25 f | 0.630 ± 0.015 a | 0.880 ± 0.019 b | 2.40 ± 0.09 d | 5.00 ± 0.15 e |
| Arachidic acid | nd | nd | 0.190 ± 0.007 b | nd | nd | 0.090 ± 0.004 a | 0.200 ± 0.011 b |
| Gondoic acid | nd | nd | 2.74 ± 0.17 e | 0.030 ± 0.002 a | 0.070 ± 0.004 b | 0.510 ± 0.021 c | 0.800 ± 0.024 d |
| Fatty acid profile, % from the total fat content | |||||||
| Omega-3 | 1.09 ± 0.06 c | 4.78 ± 0.13 e | 8.04 ± 0.26 f | 0.630 ± 0.011 a | 0.880 ± 0.018 b | 2.40 ± 0.11 d | 5.00 ± 0.14 e |
| Omega-6 | 4.23 ± 0.11 c | 10.7 ± 0.16 f | 5.74 ± 0.13 d | 2.12 ± 0.12 a | 2.98 ± 0.14 b | 6.49 ± 0.32 e | 11.2 ± 0.52 f |
| Omega-9 | 22.1 ± 0.61 a | 21.6 ± 0.64 a | 23.8 ± 0.75 b | 21.8 ± 0.65 a | 23.5 ± 0.70 b | 26.0 ± 0.75 c | 38.4 ± 0.85 d |
| SFA | 70.1 ±0.88 d | 61.0 ± 0.66 b | 60.4 ± 0.67 b | 72.8 ± 0.77 e | 69.9 ± 0.91 d | 62.8 ± 0.82 c | 43.7 ± 0.69 a |
| MUFA | 24.6 ± 0.56 a | 23.5 ± 0.52 a | 25.8 ± 0.59 b | 24.5 ± 0.58 a | 26.3 ± 0.61 b | 28.3 ± 0.64 c | 40.0 ± 0.73 d |
| PUFA | 5.31 ± 0.15 c | 15.5 ± 0.29 f | 13.8 ± 0.22 e | 2.75 ± 0.11 a | 3.86 ± 0.14 b | 8.88 ± 0.19 d | 16.2 ± 0.32 g |
| Multivariate Test Results | |||||||
| Fatty acid | Significance (p) of the influence of analyzed factors and their interaction on FA content in U-CC samples | ||||||
| Type of BIB | Immobilization | Interaction: type of BIB * immobilization | |||||
| Butyric acid | 0.018 | 0.335 | <0.001 | ||||
| Caproic acid | 0.365 | 0.457 | 0.465 | ||||
| Caprylic acid | 0.155 | 0.078 | 0.294 | ||||
| Capric acid | 0.909 | 0.178 | 0.035 | ||||
| Lauric acid | 0.625 | 0.205 | 0.158 | ||||
| Myristic acid | 0.028 | 0.378 | 0.575 | ||||
| Myristoleic acid | 0.231 | 0.145 | 0.080 | ||||
| Pentadecylic acid | 0.356 | 0.103 | 0.025 | ||||
| Palmitic acid | <0.001 | 0.007 | <0.001 | ||||
| Margaric acid | 0.225 | 0.320 | 0.827 | ||||
| Palmitoleic acid | 0.003 | 0.459 | <0.001 | ||||
| Stearic acid | 0.203 | 0.010 | 0.156 | ||||
| Oleic acid | 0.314 | 0.671 | 0.495 | ||||
| Linoleic acid | 0.675 | 0.655 | 0.044 | ||||
| α-Linolenic acid | 0.058 | 0.253 | 0.029 | ||||
| Arachidic acid | <0.001 | 0.011 | <0.001 | ||||
| Gondoic acid | 0.084 | 0.041 | 0.126 | ||||
| Omega-3 | 0.193 | 0.399 | 0.318 | ||||
| Omega-6 | 0.851 | 0.558 | 0.028 | ||||
| Omega-9 | <0.001 | <0.001 | <0.001 | ||||
| SFA | 0.035 | 0.206 | 0.006 | ||||
| MUFA | 0.105 | 0.675 | 0.019 | ||||
| PUFA | <0.001 | <0.001 | <0.001 | ||||
| RT, min | Volatile Compound | Cheese Samples | ||||||
|---|---|---|---|---|---|---|---|---|
| C | C-RaNI | C-BluNI | C-EldNI | C-RaAI | C-BluAI | C-EldAI | ||
| Aldehydes | ||||||||
| 6.73 | Hexanal | nd | 7.98 ± 0.67 c | 1.47 ± 0.13 b | nd | 0.310 ± 0.031 a | nd | nd |
| 11.73 | (E)-hept-2-enal | nd | 0.480 ± 0.011 | nd | nd | nd | nd | nd |
| 11.86 | Benzaldehyde | nd | 0.710 ± 0.019 a | nd | 0.710 ± 0.017 a | nd | nd | nd |
| 14.59 | Benzeneacetaldehyde | nd | nd | nd | 0.440 ± 0.009 | nd | nd | nd |
| 16.53 | Nonanal | 0.480 ± 0.031 a | 1.31 ± 0.16 c | 0.490 ± 0.090 a | 0.410 ± 0.080 a | 0.480 ± 0.100 a | 0.770 ± 0.070 b | 0.710 ± 0.081 b |
| Ketones | ||||||||
| 9.56 | 2-Heptanone | 2.84 ± 0.26 d | 1.18 ± 0.11 a,b | 2.55 ± 0.19 d | 2.77 ± 0.22 c | 1.34 ± 0.14 b | 2.02 ± 0.18 c | 1.02 ± 0.12 a |
| 14.43 | 3-Octen-2-one | nd | 0.090 ± 0.012 | nd | nd | nd | nd | nd |
| 15.46 | 3,5-Octadien-2-one | nd | 1.41 ± 0.21 | nd | nd | nd | nd | nd |
| 16.14 | 2-Nonanone | 3.71 ± 0.35 b | 3.54 ± 0.31 b | 3.42 ± 0.27 b | 3.38 ± 0.26 b | 2.66 ± 0.15 a | 2.65 ± 0.18 a | 3.04 ± 0.22 a,b |
| 22.12 | 2-Undecanone | 1.39 ± 0.11 d | 0.940 ± 0.017 b | 1.11 ± 0.08 c | 1.42 ± 0.12 d | 0.890 ± 0.015 a | 1.11 ± 0.07 c | 1.00 ± 0.05 b,c |
| 27.41 | 2-Tridecanone | 0.520 ± 0.02 b | 0.620 ± 0.031 c | 0.920 ± 0.041 d | 0.590 ± 0.033 c | 0.570 ± 0.029 b,c | 0.370 ± 0.017 a | 0.590 ± 0.034 c |
| Terpenoids | ||||||||
| 11.06 | α-Pinene | 0.440 ± 0.020 c | 0.210 ± 0.012 a | 0.370 ± 0.016 b | 0.410 ± 0.023 c | 0.373 ± 0.018 b | 0.520 ± 0.024 d | 0.370 ± 0.017 b |
| 12.35 | Sabinene | 0.410 ± 0.018 d | 0.230 ± 0.011 a | 0.360 ± 0.012 b | 0.390 ± 0.013 c | 0.490 ± 0.017 e | 0.510 ± 0.022 e | 0.480 ± 0.019 e |
| 12.47 | β-Pinene | 4.33 ± 0.31 a,b | 3.83 ± 0.25 a | 4.94 ± 0.35 b | 4.99 ± 0.37 b | 6.27 ± 0.42 d | 5.44 ± 0.39 b,c | 5.05 ± 0.37 c |
| 12.93 | β-myrcene | 1.09 ± 0.07 a | nd | 1.93 ± 0.11 c | 1.66 ± 0.10 b | 1.72 ± 0.12 b,c | 2.01 ± 0.15 c | 1.94 ± 0.13 c |
| 14.03 | p-Cymene | 1.22 ± 0.09 b,c | 0.920 ± 0.030 a | 1.33 ± 0.07 c | 1.08 ± 0.05 b | 1.22 ± 0.10 b,c | 1.03 ± 0.06 b | 1.57 ± 0.14 c |
| 14.14 | D-Limonene | 57.8 ± 2.9 c | 36.2 ± 1.2 a | 50.8 ± 1.8 b | 55.5 ± 2.8 c | 58.8 ± 2.9 c | 57.9 ± 2.7 c | 57.9 ± 2.6 c |
| 15.13 | γ-Terpinene | 7.22 ± 0.27 a | 8.05 ± 0.30 b | 7.18 ± 0.23 a | 6.77 ± 0.18 a | 8.97 ± 0.25 c | 8.00 ± 0.27 b,c | 7.57 ± 0.29 b |
| 16.38 | Linalol | 0.270 ± 0.012 b | 0.340 ± 0.021 c | 0.690 ± 0.031 e | 0.440 ± 0.022 d | 0.380 ± 0.019 c | 0.280 ± 0.014 b | 0.240 ± 0.017 a |
| 17.87 | trans-Verbenol | nd | nd | nd | nd | 0.120 ± 0.012 | nd | nd |
| 18.85 | Terpinen-4-ol | 0.390 ± 0.013 a | nd | nd | 0.591 ± 0.021 d | 0.520 ± 0.019 c | 0.470 ± 0.020 b | 0.330 ± 0.018 a |
| 19.25 | α-Terpineol | 0.490 ± 0.022 c | 0.440 ± 0.018 b | 0.720 ± 0.028 d | 0.390 ± 0.017 a | 0.440 ± 0.021 b | 2.04 ± 0.11 f | 1.80 ± 0.05 e |
| 19.83 | Verbenone | nd | nd | nd | nd | 0.310 ± 0.031 | nd | nd |
| 21.50 | Citral | 0.520 ± 0.022 c,d | 0.620 ± 0.025 e | 0.580 ± 0.021 d | 0.490 ± 0.017 c | 0.470 ± 0.015 c | 0.290 ± 0.013 b | 0.120 ± 0.009 a |
| 22.01 | Isobornyl acetate | nd | nd | nd | nd | 0.550 ± 0.060 | nd | nd |
| 24.54 | Geranyl acetate | nd | nd | 0.080 ± 0.006 a | nd | 0.120 ± 0.011 b | 0.090 ± 0.009 a | nd |
| 25.74 | Caryophyllene | 0.220 ± 0.021 c,d | 0.170 ± 0.013 c | 0.140 ± 0.010 b | 0.190 ± 0.012 c | 0.290 ± 0.022 e | 0.120 ± 0.010 b | 0.100 ± 0.007 a |
| 26.03 | cis-α-Bergamotene | 0.330 ± 0.022 c | 0.270 ± 0.014 b | 0.310 ± 0.024 c | 0.240 ± 0.013 a | nd | 0.520 ± 0.021 d | 0.510 ± 0.025 d |
| 26.09 | Calarene | nd | nd | nd | nd | 2.01 ± 0.21 | nd | nd |
| 27.84 | β-Bisabolene | 0.230 ± 0.012 b | 0.250 ± 0.017 b,c | 0.670 ± 0.032 e | 0.210 ± 0.014 b | 0.350 ± 0.021 d | 0.730 ± 0.035 f | 0.170 ± 0.009 a |
| Organic acids | ||||||||
| 12.73 | Hexanoic acid | 3.99 ± 0.19 d | 13.69 ± 1.36 g | 5.92 ± 0.47 f | 4.91 ± 0.36 e | 1.77 ± 0.14 a | 3.02 ± 0.17 c | 2.07 ± 0.11 b |
| 15.61 | Heptanoic acid | nd | 0.270 ± 0.014 | nd | nd | nd | nd | nd |
| 18.72 | Octanoic acid | 6.87 ± 0.12 d | 9.33 ± 0.22 f | 7.98 ± 0.17 e | 6.98 ± 0.77 d | 3.44 ± 0.11 a | 4.90 ± 0.14 c | 3.89 ± 0.13 b |
| 24.10 | Decanoic acid | 2.39 ± 0.11 c | 4.11 ± 0.18 e | 3.33 ± 0.17 d | 3.03 ± 0.24 d | 1.98 ± 0.15 b | 3.08 ± 0.15 d | 1.65 ± 0.11 a |
| Aliphatic hydrocarbons | ||||||||
| 13.20 | Decane | nd | nd | nd | nd | 1.33 ± 0.05 a | nd | 3.14 ± 0.11 b |
| 18.36 | 5-(2-Methylpropyl)nonane | nd | nd | nd | nd | nd | nd | 0.060 ± 0.021 |
| 19.43 | Dodecane | 1.59 ± 0.13 c,d | 1.54 ± 0.11 c | 1.39 ± 0.10 c | 1.07 ± 0.06 b | 0.880 ± 0.027 a | 0.890 ± 0.029 a | 3.08 ± 0.27 c |
| 19.85 | 6-Methyldodecane | nd | nd | nd | nd | nd | nd | 0.160 ± 0.011 |
| 21.74 | 4,6-dimethyldodecane | 0.380 ± 0.017 d | 0.250 ± 0.013 a | 0.290 ± 0.011 b | 0.320 ± 0.022 b,c | 0.290 ± 0.012 b | 0.470 ± 0.032 e | 0.340 ± 0.021 b,c |
| 24.95 | Tetradecane | 0.540 ± 0.031 c | 0.480 ± 0.025 b | 0.590 ± 0.034 c,d | 0.640 ± 0.037 d | 0.470 ± 0.024 a | 0.550 ± 0.033 c | 0.370 ± 0.018 a |
| Other compounds | ||||||||
| 13.75 | 3,4-Dimethylbenzyl alcohol | nd | nd | nd | nd | nd | nd | 0.180 ± 0.016 |
| 21.07 | 1,3-bis(1,1-dimethylethyl)benzene | 0.313 ± 0.013 c | 0.350 ± 0.015 d | 0.430 ± 0.027 e | 0.240 ± 0.017 b | 0.190 ± 0.014 a | 0.220 ± 0.016 a,b | 0.550 ± 0.029 f |
| 24.84 | Decanoic acid, ethyl ester | nd | 0.190 ± 0.014 b | nd | 0.090 ± 0.008 a | nd | nd | nd |
| Volatile Compound | Significance (p) of the Influence of Analyzed Factors and Their Interaction on VC Content in U-CC Samples | ||
|---|---|---|---|
| Type of BIB | Immobilization | Interaction: Type of BIB * Immobilization | |
| Hexanal | <0.001 | <0.001 | <0.001 |
| 2-Heptanone | 0.234 | 0.006 | 0.144 |
| α-Pinene | 0.082 | 0.033 | 0.021 |
| (E)-hept-2-enal | 0.012 | 0.025 | 0.011 |
| Benzaldehyde | 0.025 | 0.003 | 0.073 |
| Sabinene | 0.941 | 0.277 | 0.893 |
| β-Pinene | 0.008 | 0.004 | 0.048 |
| Hexanoic acid | <0.001 | <0.001 | <0.001 |
| β-Myrcene | 0.241 | 0.445 | 0.258 |
| Decane | <0.001 | <0.001 | <0.001 |
| 3,4-Dimethylbenzyl alcohol | 0.027 | 0.026 | 0.012 |
| p-Cymene | 0.495 | 0.500 | 0.338 |
| D-Limonene | <0.001 | <0.001 | <0.001 |
| 3-Octen-2-one | 0.015 | 0.029 | 0.013 |
| Benzeneacetaldehyde | 0.064 | 0.076 | 0.053 |
| γ-Terpinene | 0.219 | 0.968 | 0.337 |
| 3,5-Octadien-2-one | 0.016 | 0.030 | 0.014 |
| Heptanoic acid | 0.012 | 0.025 | 0.011 |
| 2-Nonanone | 0.326 | <0.001 | 0.194 |
| Linalol | 0.582 | 0.202 | 0.452 |
| Nonanal | 0.012 | 0.833 | 0.575 |
| trans-Verbenol | 0.028 | 0.027 | 0.012 |
| 5-(2-Methylpropyl)nonane | 0.242 | 0.148 | 0.132 |
| Octanoic acid | 0.156 | <0.001 | 0.091 |
| Terpinen-4-ol | 0.065 | 0.395 | 0.067 |
| α-Terpineol | 0.693 | 0.186 | 0.535 |
| Dodecane | 0.577 | 0.005 | 0.557 |
| Verbenone | <0.001 | <0.001 | <0.001 |
| 6-Methyldodecane | 0.027 | 0.026 | 0.012 |
| 1,3-bis(1,1-dimethylethyl)benzene | 0.868 | 0.875 | 0.206 |
| Citral | 0.891 | 0.062 | 0.979 |
| 4,6-dimethyldodecane | 0.831 | 0.525 | 0.850 |
| Isobornyl acetate | <0.001 | <0.001 | <0.001 |
| 2-Undecanone | 0.484 | 0.262 | 0.407 |
| Decanoic acid | 0.045 | 0.030 | 0.017 |
| Geranyl acetate | 0.045 | 0.078 | 0.092 |
| Decanoic acid, ethyl ester | 0.023 | 0.005 | 0.048 |
| Tetradecane | 0.977 | 0.574 | 0.824 |
| Caryophyllene | 0.063 | 0.903 | 0.383 |
| cis-α-Bergamotene | 0.262 | 0.044 | 0.052 |
| Calarene | 0.398 | 0.228 | 0.239 |
| 2-Tridecanone | 0.607 | 0.368 | 0.529 |
| β-Bisabolene | 0.306 | 0.397 | 0.599 |
| Biogenic Amines Content, mg/kg | ||||||||
|---|---|---|---|---|---|---|---|---|
| Cheese Samples | TRY | PHE | PUT | CAD | HIS | TYR | SPER | SPRMD |
| C | nd | nd | nd | nd | nd | nd | nd | nd |
| C-RaNI | nd | nd | nd | nd | nd | nd | nd | 2.40 ± 0.28 b |
| C-BluNI | nd | nd | nd | nd | nd | nd | nd | 11.6 ± 1.38 c |
| C-EldNI | nd | nd | 7.96 ± 1.03 a | nd | nd | nd | nd | 1.40 ± 0.14 a |
| C-RaAI | nd | nd | nd | nd | nd | nd | nd | nd |
| C-BluAI | nd | nd | nd | nd | nd | nd | nd | nd |
| C-EldAI | 0.870 ± 0.110 | nd | 22.6 ± 2.48 b | 19.8 ± 2.77 | 8.91 ± 1.15 | 11.2 ± 1.23 | 21.0 ± 1.89 | 19.7 ± 2.37 d |
Disclaimer/Publisher’s Note: The statements, opinions and data contained in all publications are solely those of the individual author(s) and contributor(s) and not of MDPI and/or the editor(s). MDPI and/or the editor(s) disclaim responsibility for any injury to people or property resulting from any ideas, methods, instructions or products referred to in the content. |
© 2023 by the authors. Licensee MDPI, Basel, Switzerland. This article is an open access article distributed under the terms and conditions of the Creative Commons Attribution (CC BY) license (https://creativecommons.org/licenses/by/4.0/).
Share and Cite
Starkute, V.; Lukseviciute, J.; Klupsaite, D.; Mockus, E.; Klementaviciute, J.; Rocha, J.M.; Özogul, F.; Ruzauskas, M.; Viskelis, P.; Bartkiene, E. Characteristics of Unripened Cow Milk Curd Cheese Enriched with Raspberry (Rubus idaeus), Blueberry (Vaccinium myrtillus) and Elderberry (Sambucus nigra) Industry By-Products. Foods 2023, 12, 2860. https://doi.org/10.3390/foods12152860
Starkute V, Lukseviciute J, Klupsaite D, Mockus E, Klementaviciute J, Rocha JM, Özogul F, Ruzauskas M, Viskelis P, Bartkiene E. Characteristics of Unripened Cow Milk Curd Cheese Enriched with Raspberry (Rubus idaeus), Blueberry (Vaccinium myrtillus) and Elderberry (Sambucus nigra) Industry By-Products. Foods. 2023; 12(15):2860. https://doi.org/10.3390/foods12152860
Chicago/Turabian StyleStarkute, Vytaute, Justina Lukseviciute, Dovile Klupsaite, Ernestas Mockus, Jolita Klementaviciute, João Miguel Rocha, Fatih Özogul, Modestas Ruzauskas, Pranas Viskelis, and Elena Bartkiene. 2023. "Characteristics of Unripened Cow Milk Curd Cheese Enriched with Raspberry (Rubus idaeus), Blueberry (Vaccinium myrtillus) and Elderberry (Sambucus nigra) Industry By-Products" Foods 12, no. 15: 2860. https://doi.org/10.3390/foods12152860
APA StyleStarkute, V., Lukseviciute, J., Klupsaite, D., Mockus, E., Klementaviciute, J., Rocha, J. M., Özogul, F., Ruzauskas, M., Viskelis, P., & Bartkiene, E. (2023). Characteristics of Unripened Cow Milk Curd Cheese Enriched with Raspberry (Rubus idaeus), Blueberry (Vaccinium myrtillus) and Elderberry (Sambucus nigra) Industry By-Products. Foods, 12(15), 2860. https://doi.org/10.3390/foods12152860

