GC-MS Coupled with Rate-All-That-Apply (RATA) to Analyse the Volatile Flavor Substances of Yellow Wine during Fermentation
Abstract
1. Introduction
2. Materials and Methods
2.1. Yellow Wine Sample Preparation
2.2. Annotation of Volatile Compounds
2.3. Consumer Test
2.4. Statistical Analysis
3. Results and Discussion
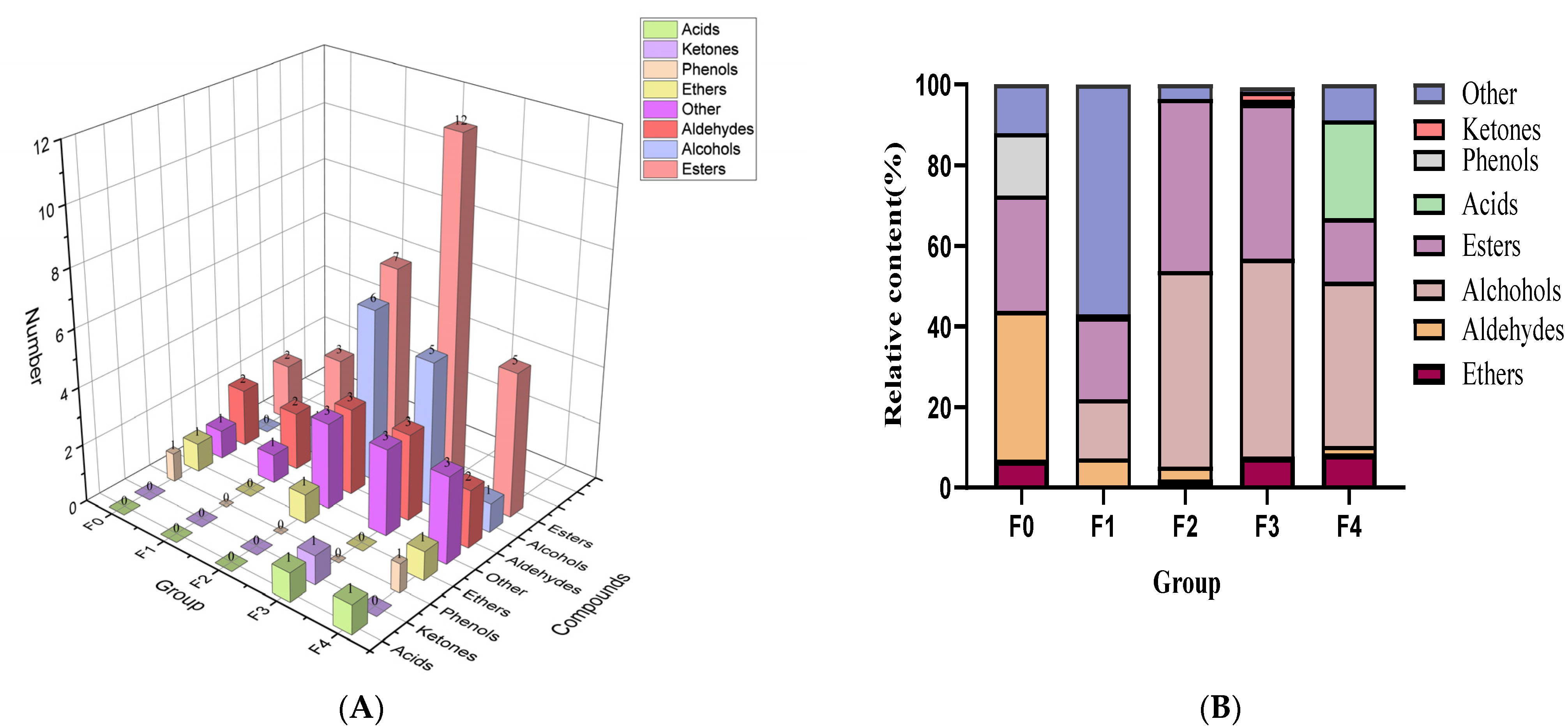
3.1. Changes in Volatiles during the Fermentation of Yellow Wine
3.2. Screening for Characteristic Compounds in the Fermentation of Yellow Wine
3.3. Key Volatile Compounds in Yellow Wine Fermentation
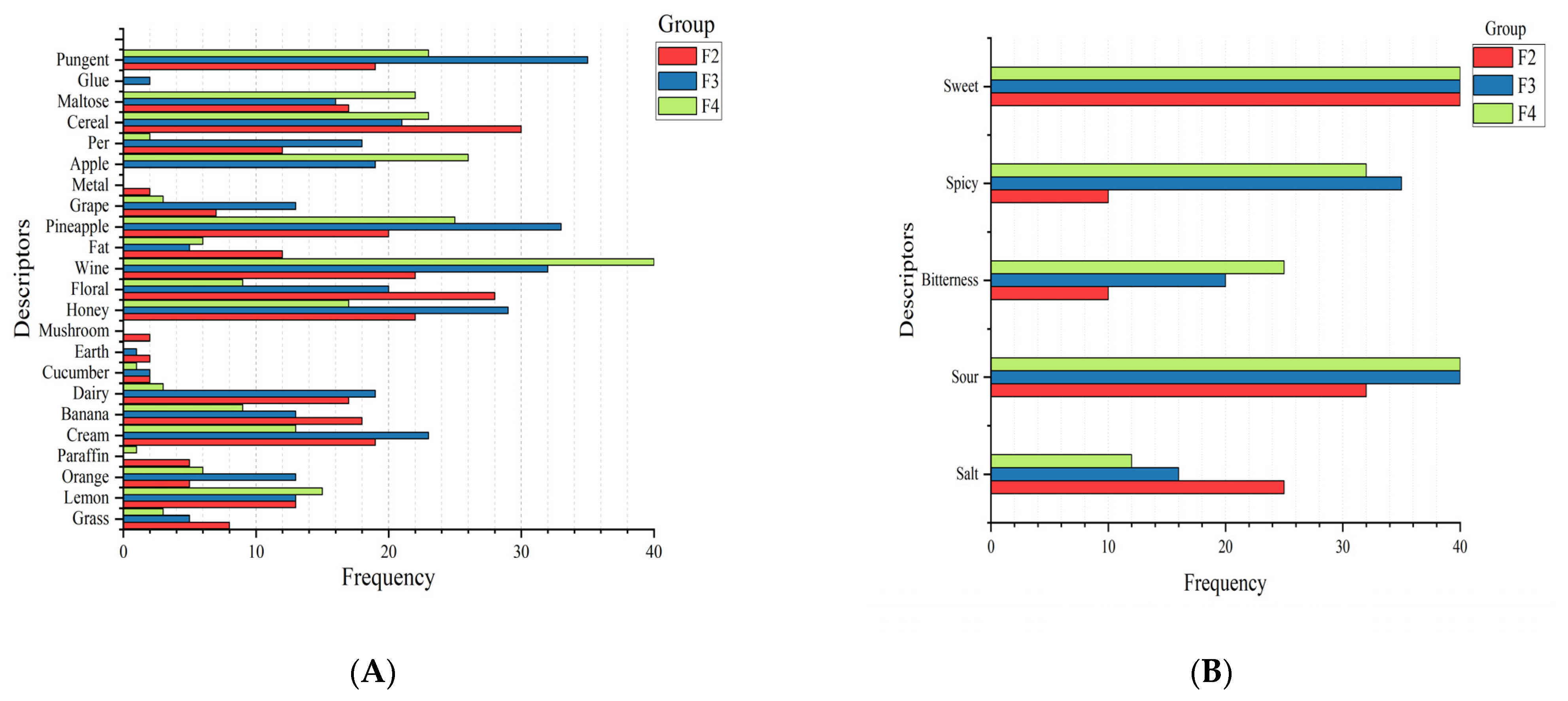
3.4. Comparison of Yellow Wine Descriptions by RATA
3.5. Correspondence Analysis Applied to RATA
3.6. Correlation Analysis between Sensory Characteristics and Volatile Flavor Compounds
4. Conclusions
Author Contributions
Funding
Data Availability Statement
Acknowledgments
Conflicts of Interest
Appendix A
| No. | CAS | Name | Odor Thresholds (mg/kg) |
|---|---|---|---|
| H2 | 124-19-6 | Nonanal | 0.0182 |
| H3 | 112-31-2 | Decanal | 0.017 |
| H6 | 111-27-3 | 1-Hexanol | 5.2 |
| H7 | 24347-58-8 | [R,R]-2,3-Butanediol | 0.0951 |
| H9 | 98-85-1 | 1-Phenylethanol- | 1.38 |
| H10 | 60-12-8 | Phenylethyl Alcohol | 7.5 |
| H14 | 124-06-1 | Ethy Tetradecanoic | 5.7 |
| H15 | 628-97-7 | Ethyl Hexadecanoic | 14 |
| H24 | 141-78-6 | Ethyl Acetate | 17 |
| H28 | 64-19-7 | Acetic Acid | 26 |
References
- Zhao, W.; Qian, M.; Dong, H.; Liu, X.; Bai, W.; Liu, G.; Lv, X.C. Effect of Hong Qu on the flavor and quality of Hakka yellow rice wine (Huangjiu) produced in Southern China. LWT 2022, 160, 113264. [Google Scholar] [CrossRef]
- Shi, Y.; Feng, R.; Mao, J.; Liu, S.; Zhou, Z.; Ji, Z.; Mao, J. Structural characterization of peptides from huangjiu and their regulation of hepatic steatosis and gut microbiota dysbiosis in hyperlipidemia mice. Front. Pharmacol. 2021, 12, 1517. [Google Scholar] [CrossRef] [PubMed]
- Peng, L.; Ai-Lati, A.; Ji, Z.; Chen, S.; Mao, J. Polyphenols extracted from huangjiu have anti-inflammatory activity in lipopolysaccharide stimulated RAW264. 7 cells. RSC Adv. 2019, 9, 5295–5301. [Google Scholar] [CrossRef] [PubMed]
- Song, C.; Zhu, L.; Shao, Y.; Chen, F. Enhancement of GABA content in Hongqu wine by optimisation of fermentation conditions using response surface methodology. Czech J. Food Sci. 2021, 39, 297–304. [Google Scholar] [CrossRef]
- Lin, H.; Zhang, J.; Ni, T.; Lin, N.; Meng, L.; Gao, F.; Guo, H. Yellow Wine Polyphenolic Compounds prevents Doxorubicin-induced cardiotoxicity through activation of the Nrf2 signalling pathway. J. Cell. Mol. Med. 2019, 23, 6034–6047. [Google Scholar] [CrossRef]
- Xie, G.F.; Zhu, C.G.; Hu, C.C.; Zou, H.J.; Wu, J.S. Effects of Shaoxing yellow wine on learning memory in rats. Brew. Sci. Technol. 2007, 5, 139–141. [Google Scholar]
- Feng, X.; Shi, Y.; Zhou, Z.; Ji, Z.; Zhou, W.; Chen, S.; Mao, J. Alleviation of loperamide-induced constipation with sticky rice fermented huangjiu by the regulation of serum neurotransmitters and gut microbiota. J. Sci. Food Agric. 2023, 103, 692–704. [Google Scholar] [CrossRef]
- Wang, J.; Yuan, C.; Gao, X.; Kang, Y.; Huang, M.; Wu, J.; Zhang, Y. Characterization of key aroma compounds in Huangjiu from northern China by sensory-directed flavor analysis. Food Res. Int. 2020, 134, 109238. [Google Scholar] [CrossRef]
- Luo, T. Characteristic aroma of light aroma style Chinese rice wine and effects of wheat Qu by GC-O coupled with GC-MS. Master’s Thesis, Jiangnan University, Wuxi, China, 2008. [Google Scholar]
- Chen, S.; Xu, Y.; Qian, M.C. Aroma characterization of Chinese rice wine by gas chromatography–olfactometry, chemical quantitative analysis, and aroma reconstitution. J. Agric. Food Chem. 2013, 61, 11295–11302. [Google Scholar] [CrossRef]
- Chen, G.M.; Huang, Z.R.; Wu, L.; Wu, Q.; Guo, W.L.; Zhao, W.H.; Sun, B.G. Microbial diversity and flavor of Chinese rice wine (Huangjiu): An overview of current research and future prospects. Curr. Opin. Food Sci. 2021, 42, 37–50. [Google Scholar] [CrossRef]
- Wang, J.; Yu, Y.; Gao, X.; Jiang, X.Y.; Huang, M.Q.; Ye, H.; Wu, Q. Succession patterns of aromacompounds during brewing process of broomcorn millet (Panicum miliaceum L.) Huangjiu. Food Res. Int. 2022, 154, 110982. [Google Scholar] [CrossRef] [PubMed]
- Lawless, H.T.; Heymann, H. Sensory Evaluation of Food: Principles and Practices; Springer: New York, NY, USA, 2010; Volume 2. [Google Scholar]
- Silva, F.; Duarte, A.M.; Mendes, S.; Pinto, F.R.; Barroso, S.; Ganhao, R.; Gil, M.M. CATA vs. FCP for a rapid descriptive analysis in sensory characterization of fish. J. Sens. Stud. 2020, 35, e12605. [Google Scholar] [CrossRef]
- Liu, J.; Bredie, W.L.; Sherman, E.; Harbertson, J.F.; Heymann, H. Comparison of rapid descriptive sensory methodologies: Free-choice profiling, flash profile and modified flash profile. Food Res. Int. 2018, 106, 892–900. [Google Scholar] [CrossRef]
- De Pelsmaeker, S.; De Clercq, G.; Gellynck, X.; Schouteten, J.J. Development of a sensory wheel and lexicon for chocolate. Food Res. Int. 2019, 116, 1183–1191. [Google Scholar] [CrossRef] [PubMed]
- Lee, S.; Kwak, H.S.; Kim, S.S.; Lee, Y. Combination of the Check-All-That-Apply (CATA) Method and Just-About-Right (JAR) Scale to Evaluate Korean Traditional Rice Wine (Yakju). Foods 2021, 10, 1895. [Google Scholar] [CrossRef]
- Llobell, F.; Cariou, V.; Vigneau, E.; Qannar, M. A New approach for the analysis of data and the clustering of subjects in a cata experiment. Food Qual. Prefer. 2018, 72, 31–39. [Google Scholar] [CrossRef]
- Vidal, L.; Ares, G.; Hedderley, D.I.; Meyners, M.; Jaeger, S.R. Comparison of rate-all-that-apply (RATA) and check-all-that-apply (CATA) questions across seven consumer studies. Food Qual. Prefer. 2018, 67, 49–58. [Google Scholar] [CrossRef]
- Meyners, M.; Jaeger, S.R.; Ares, G. On the analysis of rate-all-that-apply (RATA) data. Food Qual. Prefer. 2016, 49, 1–10. [Google Scholar] [CrossRef]
- Franco-Luesma, E.; Sáenz-Navajas, M.P.; Valentin, D.; Ballester, J.; Rodrigues, H.; Ferreira, V. Study of the effect of H2S, MeSH and DMS on the sensory profile of wine model solutions by Rate-All-That-Apply (RATA). Food Res. Int. 2016, 87, 152–160. [Google Scholar] [CrossRef]
- Tan VW, K.; Wee MS, M.; Tomic, O.; Forde, C.G. Rate-All-That-Apply (RATA) comparison of taste profiles for different sweeteners in black tea, chocolate milk, and natural yogurt. J. Food Sci. 2020, 85, 486–492. [Google Scholar] [CrossRef]
- Traill, R.M.; Luckman, M.S.; Fisk, N.A.; Peng, M. Application of the Rate-All-That-Apply (RATA) method to differentiate the visual appearance of milk powders using trained sensory panels. Int. Dairy J. 2019, 97, 230–237. [Google Scholar] [CrossRef]
- Wang, Y.; He, Y.; Liu, Y.; Wang, D.W. Analyzing Volatile Compounds of Young and Mature Docynia delavayi Fruit by HS-SPME-GC-MS and rOAV. Foods. 2022, 12, 59. [Google Scholar] [CrossRef] [PubMed]
- Su, D.; He, J.J.; Zhou, Y.Z.; Li, L.Y.; Zhou, H.J. Aroma effects of key volatile compounds in Keemun black tea at different grades: HS-SPME-GC-MS, sensory evaluation, and chemometrics. Food Chem. 2022, 373, 131587. [Google Scholar] [CrossRef]
- Van Gemert, L.J. Compilations of Flavour Threshold Values in Water and Other Media; Second Enlarged and Revised Edition; Boelens Aroma Chemical Information Service: Huizen, The Netherlands, 2018. [Google Scholar]
- Wang, M.; Zhou, Z.L.; Ji, Z.W.; Zhou, J.D.; Xu, X.B.; Xu, Y.Z.; Mao, J. Study on the sensory quality evaluation system of yellow wine—Shaoxing yellow wine as an example. Food Ferment. Ind. 2023, 49, 7–13. [Google Scholar] [CrossRef]
- Ares, G.; Bruzzone, F.; Vidal, L.; Cadena, R.S.; Giménez, A.; Pineau, B.; Jaeger, S.R. Evaluation of a rating-based variant of check-all-that-apply questions: Rate-all-that-apply (RATA). Food Qual. Prefer. 2014, 36, 87–95. [Google Scholar] [CrossRef]
- Hoffman, D.L.; Franke, G.R. Correspondence analysis: Graphical representation of categorical data in marketing research. J. Mark. Res. 1986, 23, 213–227. [Google Scholar] [CrossRef]
- Son, E.Y.; Lee, S.M.; Kim, M.; Seo, J.A.; Kim, Y.S. Comparison of volatile and non-volatile metabolites in rice wine fermented by Koji inoculated with Saccharomycopsis fibuligera and Aspergillus oryzae. Food Res. Int. 2018, 109, 596–605. [Google Scholar] [CrossRef]
- Mou, R.; Mao, J.; Meng, X.; Liu, Y. Analysis of fungi diversity and volatile flavor compounds in chinese rice wine fermentation process. J. Food Sci. Biotechnol. 2016, 35, 303–309. [Google Scholar] [CrossRef]
- Peng, Q.; Zheng, H.J.; Meng, K.; Yu, H.F. Quantitative study on core bacteria producing flavor substances in Huangjiu (Chinese yellow rice wine). LWT 2022, 168, 113900. [Google Scholar] [CrossRef]
- Shang, X.L.; Hui, M.; Tian, Q. Present status of the production of millet yellow wine & research progress in its functional components. Liquor. Mak. Sci. Technol. 2011, 1, 85–87. [Google Scholar]
- Li, M.; Zhan, P.; Wang, P.; Tian, H.L.; Geng, J.Z.; Wang, L.X. Characterization of aroma-active compounds changes of Xiecun Huangjius with different aging years based on odor activity values and multivariate analysis. Food Chem. 2023, 405, 134890. [Google Scholar] [CrossRef] [PubMed]
- Gong, M.; Zhou, Z.L.; Jin, J.S.; Yu, Y.J.; Mao, J. Effects of soaking on physicochemical properties of four kinds of rice used in Huangjiu. brewing. J. Cereal Sci. 2020, 91, 102855. [Google Scholar] [CrossRef]
- Wang, Z.W.; Yan, F.X.; Xu, J.L.; Liu, Q.S.; Ren, Q. Analysis of starch properties and Huangjiu flavor from three sorghum varieties. Food Sci. 2019, 40, 45–51. [Google Scholar]
- Xu, Y. Modern Baijiu Brewing Microbiology; Science Press: Beijing, China, 2019; pp. 280–329. [Google Scholar]
- Yang, Y.; Xia, Y.; Wang, G.; Zhang, H.; Xiong, Z.; Yu, J.; Yu, H.; Ai, L. Comparison of oenological property, volatile profile, and sensory characteristic of Chinese rice wine fermented by different starters during brewing. Int. J. Food Prop. 2017, 20, S3195–S3211. [Google Scholar] [CrossRef]
- Laura, C.; Vicente, F.; Juan, C. Analysis, occurrence and potential sensory significance of aliphatic aldehydes in white wines. Food Chem. 2011, 127, 1397–1403. [Google Scholar] [CrossRef]
- Castejón-Musulén, O.; Aragón-Capone, A.M.; Ontañón, I.; Peña, C.; Ferreira, V.; Bueno, M. Accurate quantitative determination of the total amounts of Strecker aldehydes contained in wine. Assessment of their presence in table wines. Food Res. Int. 2022, 162, 112125. [Google Scholar] [CrossRef]
- Du, Q.; Ye, D.Q.; Zang, X.M.; Nan, H.; Liu, Y.L. Effect of low temperature on the shaping of yeast-derived metabolite compositions during wine fermentation. Food Res. Int. 2022, 162, 112016. [Google Scholar] [CrossRef]
- Darıcı, M.; Cabaroglu, T. Chemical and sensory characterization of Kalecik Karası wines produced from two different regions in Turkey using chemometrics. J. Food Process. Preserv. 2021, 46, e16278. [Google Scholar] [CrossRef]
- Cordente, A.G.; Solomon, M.; Schulkin, A.; Leigh Francis, I.; Barker, A.; Borneman, A.R.; Curtin, C.D. Novel wine yeast with ARO4 and TYR1 mutations that overproduce ’floral’ aroma compounds 2-phenylethanol and 2-phenylethyl acetate. Appl. Microbiol. Biotechnol. 2018, 102, 5977–5988. [Google Scholar] [CrossRef] [PubMed]
- Niu, Y.W.; Yao, Z.M.; Xiao, Z.B.; Zhu, G.Y.; Zhu, J.C.; Chen, J.Y. Sensory evaluation of the synergism among ester odorants in light aroma-type liquor by odor threshold, aroma intensity and flash GC electronic nose. Food Res. Int. 2018, 113, 102–114. [Google Scholar] [CrossRef]
- Dong, F.; Zhou, Y.; Zeng, L.T.; Peng, Q.Y.; Yang, Z.Y. Elucidation of Differential Accumulation of 1-Phenylethanol in Flowers and Leaves of Tea (Camellia sinensis) Plants. Molecules 2016, 21, 1106. [Google Scholar] [CrossRef] [PubMed]









| Descriptors | Definition | Intensity | |||||
|---|---|---|---|---|---|---|---|
| 1 | 2 | 3 | 4 | 5 | |||
| Odor | Grass | The aromatics associated with green grass | |||||
| Lemon | The smell associated with lemon | ||||||
| Orange Peel | The smell like orange peel | ||||||
| Paraffin | The smell like paraffin wax | ||||||
| Cream | The aromatics associated with sour cream | ||||||
| Banana | The characteristic of banana vanillas | ||||||
| Dairy | The aromatics associated with the flavor of boxed milk | ||||||
| Cucumber | The fresh aroma associated with cucumbers | ||||||
| Earth | The smell associated with moist earth | ||||||
| Mushroom | The aromatics associated with fresh mushroom | ||||||
| Honey | The flavor associated with honey | ||||||
| Floral | The floral smell associated with flowers | ||||||
| Wine | The alcohol odor associated with wine | ||||||
| Fat | The aromatics associated with slightly oxidized fats and oils | ||||||
| Pineapple | The aromatics associated with pineapple | ||||||
| Grape | The characteristic of grape vanillas | ||||||
| Metal | The aromatic associated with metals, tin, or iron | ||||||
| Apple | The smell associated with apple juice | ||||||
| Pear | The aromatics associated with pear | ||||||
| Cereal | The smell of grains | ||||||
| Maltose | The sweet smell similar to maltose | ||||||
| Glue | The smell associated with glue, like formaldehyde | ||||||
| Acetate | The odor similar to acetic acid | ||||||
| Pungent odor | The odor is pungent | ||||||
| Taste | Salt | The basic taste, perceived on the tongue, stimulated by sodium salt | |||||
| Sour | The basic taste, perceived on the tongue, stimulated by acids | ||||||
| Bitterness | The astringent taste associated with tannins | ||||||
| Spicy | The basic taste, perceived on the tongue, stimulated by spicy flavors | ||||||
| Sweet | The basic taste, perceived on the tongue, stimulated by sugars | ||||||
| NO. | Compound Name | Formula | CAS | Relative Content (%) | ||||
|---|---|---|---|---|---|---|---|---|
| F0 | F1 | F2 | F3 | F4 | ||||
| H1 | Dimethyl Ether | C2H6O | 115-10-6 | 6.99 ± 0.66 b | 2.00 ± 0.05 c | 8.53 ± 0.71 a | ||
| H2 | Nonanal | C9H18O | 124-19-6 | 25.79 ± 2.20 a | 4.2 ± 0.10 b | 0.94 ± 0.07 c | 0.20 ± 0.01 c | 1.48 ± 0.09 bc |
| H3 | Decanal | C10H20O | 112-31-2 | 11.05 ± 1.25 a | 3.0 ± 0.12 b | 0.44 ± 0.04 c | 0.40 ± 0.01 c | 0.29 ± 0.03 c |
| H4 | Phenylacetaldehyde | C8H8O | 122-78-1 | N.D | N.D | 1.88 ± 0.07 a | N.D | N.D |
| H5 | Ethane, 1,1-diethoxy- | C6H14O2 | 105-57-7 | N.D | N.D | N.D | 7.17 ± 0.04 a | N.D |
| H6 | 1-Hexanol | C6H14O | 111-27-3 | N.D | 14 ± 0.80 a | 5.39 ± 0.26 b | N.D | N.D |
| H7 | [R,R]-2,3-Butanediol | C4H10O2 | 24,347-58-8 | N.D | N.D | 2.59 ± 0.18 b | 1.85 ± 0.10 c | 18.72 ± 0.33 a |
| H8 | 1-Octen-3-ol | C8H16O | 3391-86-4 | N.D | N.D | 0.74 ± 0.04 a | N.D | N.D |
| H9 | 1-Phenylethanol | C8H10O | 98-85-1 | N.D | N.D | 12.23 ± 0.36 b | 35.7 ± 0.44 a | N.D |
| H10 | Phenylethyl Alcohol | C8H10O | 60-12-8 | N.D | N.D | 26.84 ± 0.42 a | 9.06 ± 0.19 c | 21.98 ± 1.30 b |
| H11 | (-)-Globulol | C15H26O | 489-41-8 | N.D | N.D | 0.65 ± 0.00 a | N.D | N.D |
| H12 | 2,3-Butanediol | C4H10O2 | 513-85-9 | N.D | N.D | N.D | 2.26 ± 0.12 a | N.D |
| H13 | Ledol | C15H26O | 577-27-5 | N.D | N.D | N.D | 0.66 ± 0.66 a | N.D |
| H14 | Ethyl Tetradecanoic | C16H32O2 | 124-06-1 | 3.45 ± 0.53 c | 9.4 ± 0.27 b | 11.51 ± 0.14 a | 3.40 ± 0.13 c | 2.32 ± 0.06 d |
| H15 | Ethyl Hexadecanoic | C18H36O2 | 628-97-7 | 25.11 ± 4.40 a | 10. ± 0.31 b | 22.45 ± 0.21 a | 6.76 ± 0.24 b | 6.19 ± 0.54 b |
| H16 | Ethyl Oleate | C20H38O2 | 111-62-6 | N.D | 0.4 ± 0.13 c | 2.52 ± 0.22 a | 1.84 ± 0.00 b | N.D |
| H17 | Hexyl Formate | C7H14O2 | 629-33-4 | N.D | N.D | 2.73 ± 0.02 a | N.D | N.D |
| H18 | Ethyl Octanoic | C10H20O2 | 106-32-1 | N.D | N.D | 1.08 ± 0.06 c | 2.65 ± 0.06 a | 2.09 ± 0.02 b |
| H19 | Ethyl Decanoic | C12H24O2 | 110-38-3 | N.D | N.D | 0.73 ± 0.05 b | 2.32 ± 0.05 a | N.D |
| H20 | Ethyl Dodecanoic | C14H28O2 | 106-33-2 | N.D | N.D | 1.67 ± 0.07 b | 1.99 ± 0.11 a | N.D |
| H21 | 1-Butanol, 3-methyl-, Acetate | C7H14O2 | 123-92-2 | N.D | N.D | N.D | 2.98 ± 0.02 b | 4.56 ± 0.73 a |
| H22 | Acetic Acid, -phenylethyl Ester | C10H12O2 | 103-45-7 | N.D | N.D | N.D | 2.66 ± 0.07 a | N.D |
| H23 | Ethyl Nonanoic | C11H22O2 | 123-29-5 | N.D | N.D | N.D | 1.51 ± 0.00 a | N.D |
| H24 | Ethyl Acetate | C4H8O2 | 141-78-6 | N.D | N.D | N.D | 10.6 ± 0.16 a | N.D |
| H25 | Succinic Acid, Cyclobutyl Ethyl Ester | C10H16O4 | 1,000,330-06-0 | N.D | N.D | N.D | 1.59 ± 0.01 a | N.D |
| H26 | Oxalic Acid, Hexyl 2-phenylethyl Ester | C16H22O4 | 1,000,309-66-0 | N.D | N.D | N.D | N.D | 0.63 ± 0.02 a |
| H27 | 2,4-Di-tert-butylphenol | C14H22O | 96-76-4 | 15.54 ± 0.55 a | 0.70 ± 0.10 b | N.D | N.D | N.D |
| H28 | Acetic Acid | C2H4O2 | 64-19-7 | N.D | N.D | N.D | 1.09 ± 0.08 b | 24.27 ± 0.81 a |
| H29 | Acetoin | C4H8O2 | 513-86-0 | N.D | N.D | N.D | 1.92 ± 0.08 a | N.D |
| H30 | Heneicosane | C21H44 | 629-94-7 | 12.0 ± 2.18 a | N.D | N.D | N.D | N.D |
| H31 | 1-Chloropentane | C5H11Cl | 543-59-9 | N.D | 57.00 ± 1.51 a | N.D | N.D | N.D |
| H32 | Ammonium Acetate | C2H7NO2 | 631-61-8 | N.D | N.D | 2.01 ± 0.14 a | N.D | N.D |
| H33 | Naphthalene, 1,2,3,5,6,8a-hexahydro-4,7-dimethyl-1-(1-methylethyl)-, (1S-cis)- | C15H24 | 483-76-1 | N.D | N.D | 0.44 ± 0.05 a | 0.11 ± 0.00 b | N.D |
| H34 | Bicyclo[5.2.0]nonane, 2-methylene-4,8,8-trimethyl-4-vinyl- | C15H24 | 242,794-76-9 | N.D | N.D | 1.16 ± 0.05 a | 0.72 ± 0.02 b | 0.74 ± 0.04 b |
| H35 | Pentane, 1-(1-ethoxyethoxy)- | C9H20O2 | 13,442-89-2 | N.D | N.D | N.D | 0.33 ± 0.01 b | 7.82 ± 0.46 a |
| H36 | 1,3,4-Oxadiazole | C2H2N2O | 288-99-3 | N.D | N.D | N.D | N.D | 0.36 ± 0.04 a |
Disclaimer/Publisher’s Note: The statements, opinions and data contained in all publications are solely those of the individual author(s) and contributor(s) and not of MDPI and/or the editor(s). MDPI and/or the editor(s) disclaim responsibility for any injury to people or property resulting from any ideas, methods, instructions or products referred to in the content. |
© 2023 by the authors. Licensee MDPI, Basel, Switzerland. This article is an open access article distributed under the terms and conditions of the Creative Commons Attribution (CC BY) license (https://creativecommons.org/licenses/by/4.0/).
Share and Cite
Xia, D.; Tan, X.; Wang, L.; Li, Z.; Hou, A.; Zhu, Y.; Lai, L.; Wang, Y. GC-MS Coupled with Rate-All-That-Apply (RATA) to Analyse the Volatile Flavor Substances of Yellow Wine during Fermentation. Foods 2023, 12, 1992. https://doi.org/10.3390/foods12101992
Xia D, Tan X, Wang L, Li Z, Hou A, Zhu Y, Lai L, Wang Y. GC-MS Coupled with Rate-All-That-Apply (RATA) to Analyse the Volatile Flavor Substances of Yellow Wine during Fermentation. Foods. 2023; 12(10):1992. https://doi.org/10.3390/foods12101992
Chicago/Turabian StyleXia, Di, Xu Tan, Li Wang, Zongjun Li, Aixiang Hou, Yan Zhu, Ling Lai, and Yuanliang Wang. 2023. "GC-MS Coupled with Rate-All-That-Apply (RATA) to Analyse the Volatile Flavor Substances of Yellow Wine during Fermentation" Foods 12, no. 10: 1992. https://doi.org/10.3390/foods12101992
APA StyleXia, D., Tan, X., Wang, L., Li, Z., Hou, A., Zhu, Y., Lai, L., & Wang, Y. (2023). GC-MS Coupled with Rate-All-That-Apply (RATA) to Analyse the Volatile Flavor Substances of Yellow Wine during Fermentation. Foods, 12(10), 1992. https://doi.org/10.3390/foods12101992

