The Quality Characteristics Comparison of Stone-Milled Dried Whole Wheat Noodles, Dried Wheat Noodles, and Commercially Dried Whole Wheat Noodles
Abstract
1. Introduction
2. Materials and Methods
2.1. Materials
2.2. Preparation of the Dried Noodles
2.3. Cooking Quality
2.4. Texture Analysis
2.5. Scanning Electron Microscopy (SEM)
2.6. Fourier Transform Infrared Spectroscopy (FT-IR)
2.7. In Vitro Antioxidant Activity
2.8. Antioxidant Activity after the In Vitro Simulated Digestion
2.9. In Vitro Digestive Properties
2.10. Estimated Glycemic Index (eGI)
2.11. Statistical Analysis
3. Results and Discussion
3.1. Cooking Quality
3.2. Texture Properties
3.3. Microstructure
3.4. Analysis of the FT-IR
3.5. In Vitro Antioxidant Activity
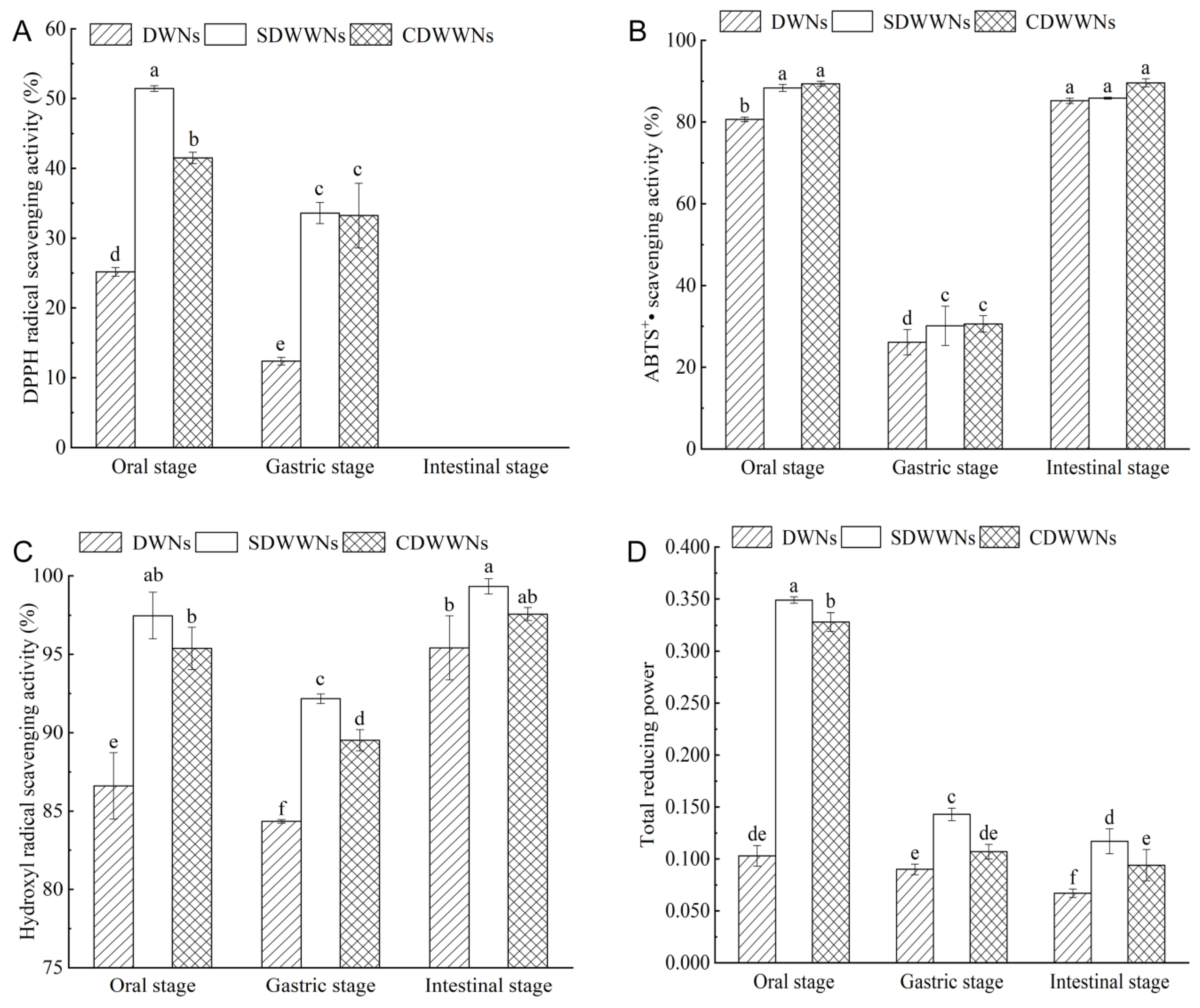
3.6. Antioxidant Activity after the In Vitro Simulated Digestion
3.7. In Vitro Digestive Properties of the Noodles
3.8. Estimated Glycemic Index (eGI)
4. Conclusions
Author Contributions
Funding
Institutional Review Board Statement
Informed Consent Statement
Data Availability Statement
Acknowledgments
Conflicts of Interest
References
- Liu, J.; Yu, L.L.L.; Wu, Y.B. Bioactive Components and Health Beneficial Properties of Whole Wheat Foods. J. Agr. Food Chem. 2020, 68, 12904–12915. [Google Scholar] [CrossRef] [PubMed]
- Gomez, M.; Gutkoski, L.C.; Bravo-Nunez, A. Understanding whole-wheat flour and its effect in breads: A review. Compr. Rev. Food Sci. F. 2020, 19, 3241–3265. [Google Scholar] [CrossRef] [PubMed]
- Cappelli, A.; Oliva, N.; Cini, E. Stone milling versus roller milling: A systematic review of the effects on wheat flour quality, dough rheology, and bread characteristics. Trends Food Sci. Technol. 2020, 97, 147–155. [Google Scholar] [CrossRef]
- Pagani, M.A.; Giordano, D.; Cardone, G.; Pasqualone, A.; Casiraghi, M.C.; Erba, D.; Blandino, M.; Marti, A. Nutritional Features and Bread-Making Performance of Wholewheat: Does the Milling System Matter? Foods 2020, 9, 1035. [Google Scholar] [CrossRef] [PubMed]
- Albergamo, A.; Bua, G.D.; Rotondo, A.; Bartolomeo, G.; Annuario, G.; Costa, R.; Dugo, G. Transfer of major and trace elements along the “farm-to-fork” chain of different whole grain products. J. Food Compos. Anal. 2018, 66, 212–220. [Google Scholar] [CrossRef]
- Ross, A.S.; Kongraksawech, T. Characterizing whole-wheat flours produced using a commercial stone mill, laboratory mills, and household single-stream flour mills. Cereal Chem. 2018, 95, 239–252. [Google Scholar] [CrossRef]
- Lai, S.T.; Liu, J.L.; Zhang, Y.Q.; Wang, Y.M.; Li, G.; Cui, Q.L. Effects of Wheat Bran Micronization on the Quality of Reconstituted Whole-Wheat Flour and Its Cooked Noodles. Processes 2022, 10, 1001. [Google Scholar] [CrossRef]
- Jia, W.T.; Yang, Z.; Guo, X.N.; Zhu, K.X. Effect of Superheated Steam Treatment on the Lipid Stability of Dried Whole Wheat Noodles during Storage. Foods 2021, 10, 1348. [Google Scholar] [CrossRef] [PubMed]
- Sim, E.; Park, E.; Ma, F.Y.; Baik, B.K.; Fonseca, J.M.; Delwiche, S.R. Sensory and physicochemical properties of whole wheat salted noodles under different preparations of bran. J. Cereal. Sci. 2020, 96, 103112. [Google Scholar] [CrossRef]
- Zhang, Y.; Gao, F.M.; He, Z.H. Effects of bran hydration and autoclaving on processing quality of Chinese steamed bread and noodles produced from whole grain wheat flour. Cereal Chem. 2019, 96, 104–114. [Google Scholar] [CrossRef]
- Guo, X.N.; Wu, S.H.; Zhu, K.X. Effect of superheated steam treatment on quality characteristics of whole wheat flour and storage stability of semi-dried whole wheat noodle. Food Chem. 2020, 322, 126738. [Google Scholar] [CrossRef] [PubMed]
- Xu, C.Y.; Guo, X.N.; Zhu, K.X. Effect of pre-treated wheat bran on semi-dried whole wheat noodles for extending shelf-life and improving quality characteristics. LWT 2021, 146, 111503. [Google Scholar] [CrossRef]
- AACC International. Approved Methods of Analysis, 10th ed.; Methods 44-01.01, 08-12.01, 30-25.01 and 46-12.01; American Association of Cereal Chemists International: St. Paul, MN, USA, 2000. [Google Scholar]
- Liu, Q.; Guo, X.N.; Zhu, K.X. Effects of frozen storage on the quality characteristics of frozen cooked noodles. Food Chem. 2019, 283, 522–529. [Google Scholar] [CrossRef] [PubMed]
- Wang, Z.H.; Wang, K.Y.; Zhang, M.; Duan, M.J.; Tuersuntuoheti, T.; Li, M.; Wang, J.; Ren, X. Effect of electron beam irradiation on shelf life, noodle quality, and volatile compounds of fresh millet-wheat noodles. J. Food Process. Pres. 2021, 45, e16064. [Google Scholar] [CrossRef]
- Yang, Y.; Li, T.T.; Li, Y.; Qian, H.F.; Qi, X.G.; Zhang, H.; Wang, L. Understanding the molecular weight distribution, in vitro digestibility and rheological properties of the deep-fried wheat starch. Food Chem. 2020, 331, 127315. [Google Scholar] [CrossRef]
- Cao, Y.F.; Yang, Z.; Zhang, H.J.; Guo, P.; Dong, S.; Li, H.J. Influence of potato pulp on gluten network structure in wheat dough and steamed bread. Cereal Chem. 2020, 97, 226–234. [Google Scholar] [CrossRef]
- Ye, F.Y.; Li, J.F.; Zhao, G.H. Physicochemical properties of different-sized fractions of sweet potato starch and their contributions to the quality of sweet potato starch. Food Hydrocoll. 2020, 108, 106023. [Google Scholar] [CrossRef]
- Shiau, S.Y.; Li, G.H.; Pan, W.C.; Xiong, C. Effect of pitaya peel powder addition on the phytochemical and textural properties and sensory acceptability of dried and cooked noodles. J. Food Process. Pres. 2020, 44, 14491. [Google Scholar] [CrossRef]
- Zhu, M.T.; Huang, Y.S.; Wang, Y.L.; Shi, T.; Zhang, L.L.; Chen, Y.; Xie, M.Y. Comparison of (poly) phenolic compounds and antioxidant properties of pomace extracts from kiwi and grape juice. Food Chem. 2019, 271, 425–432. [Google Scholar] [CrossRef]
- Sridhar, K.; Charles, A.L. In vitro antioxidant activity of Kyoho grape extracts in DPPH• and ABTS• assays: Estimation methods for EC50 using advanced statistical programs. Food Chem. 2019, 275, 41–49. [Google Scholar] [CrossRef]
- Zhang, M.Y.; Liao, A.M.; Thakur, K.; Huang, J.H.; Zhang, J.G.; Wei, Z.J. Modification of wheat bran insoluble dietary fiber with carboxymethylation, complex enzymatic hydrolysis and ultrafine comminution. Food Chem. 2019, 297, 124983. [Google Scholar] [CrossRef] [PubMed]
- Gawlik-Dziki, U.; Dziki, D.; Baraniak, B.; Lin, R.F. The effect of simulated digestion in vitro on bioactivity of wheat bread with Tartary buckwheat flavones addition. LWT 2009, 42, 137–143. [Google Scholar] [CrossRef]
- Koehnlein, E.A.; Koehnlein, E.M.; Correa, R.C.G.; Nishida, V.S.; Correa, V.G.; Bracht, A.; Peralta, R.M. Analysis of a whole diet in terms of phenolic content and antioxidant capacity: Effects of a simulated gastrointestinal digestion. Int. J. Food Sci. Nutr. 2016, 67, 614–623. [Google Scholar] [CrossRef] [PubMed]
- Du, J.; Tao, H.; Qi, Y.; Hassane Hamadou, A.; Xu, J.; An, D.; Liu, M.; Xu, B. Exploring the underlying mechanisms on starch restricted swelling-induced reduction in digestion rate of buckwheat noodles. Food Chem. 2022, 403, 134430. [Google Scholar] [CrossRef] [PubMed]
- Karim, Z.; Holmes, M.; Orfila, C. Inhibitory effect of chlorogenic acid on digestion of potato starch. Food Chem. 2017, 217, 498–504. [Google Scholar] [CrossRef]
- Zhi, W.L.; Zhou, Y.; Wang, R.B.; Wang, M.; Wang, W.; Hu, A.J.; Zheng, J. Effect of Microwave Treatment on the Properties of Starch in Millet Kernels. Starch-Stärke 2022, 74, 2200063. [Google Scholar] [CrossRef]
- Fan, J.X.; Guo, X.N.; Zhu, K.X. Impact of laccase-induced protein cross-linking on the in vitro starch digestion of black highland barley noodles. Food Hydrocoll. 2022, 124, 107298. [Google Scholar] [CrossRef]
- Goñi, I.; Garcia-Alonso, A.; Saura-Calixto, F. A starch hydrolysis procedure to estimate glycemic index. Nutr. Res. 1997, 17, 427–437. [Google Scholar] [CrossRef]
- Liu, D.X.; Song, S.X.; Tao, L.; Yu, L.; Wang, J.Y. Effects of common buckwheat bran on wheat dough properties and noodle quality compared with common buckwheat hull. LWT 2022, 155, 112971. [Google Scholar] [CrossRef]
- Niu, M.; Hou, G.G.; Kindelspire, J.; Krishnan, P.; Zhao, S.M. Microstructural, textural, and sensory properties of whole-wheat noodle modified by enzymes and emulsifiers. Food Chem. 2017, 223, 16–24. [Google Scholar] [CrossRef]
- Wang, C.C.; Ma, S.; Li, L.; Zheng, X.L.; Wang, X.X. Effect of modified dietary fibre from wheat bran on the quality of noodle. Qual. Assur. Saf. Crop. 2018, 10, 61–68. [Google Scholar] [CrossRef]
- Lambrecht, M.A.; Rombouts, I.; Nivelle, M.A.; Delcour, J.A. The Role of Wheat and Egg Constituents in the Formation of a Covalent and Non-covalent Protein Network in Fresh and Cooked Egg Noodles. J. Food Sci. 2017, 82, 24–35. [Google Scholar] [CrossRef] [PubMed]
- Sun, X.J.; Li, W.H.; Hu, Y.Y.; Zhou, X.J.; Ji, M.Y.; Yu, D.D.; Fujita, K.; Tatsumi, E.; Luan, G.Z. Comparison of pregelatinization methods on physicochemical, functional and structural properties of tartary buckwheat flour and noodle quality. J. Cereal Sci. 2018, 80, 63–71. [Google Scholar] [CrossRef]
- Zhang, L.F.; Chen, J.; Xu, F.; Han, R.; Quan, M.M.; Wang, L. Effect of Tremella fuciformis on dough structure and rheology, noodle flavor, and quality characteristics. LWT 2022, 172, 114180. [Google Scholar] [CrossRef]
- Jin, X.X.; Lin, S.Y.; Gao, J.; Wang, Y.; Ying, J.; Dong, Z.Z.; Zhou, W.B.A. Effect of Coarse and Superfine-ground Wheat Brans on the Microstructure and Quality Attributes of Dried White Noodle. Food Bioprocess Technol. 2021, 14, 1089–1100. [Google Scholar] [CrossRef]
- Vela, A.J.; Villanueva, M.; Solaesa, A.G.; Ronda, F. Impact of high-intensity ultrasound waves on structural, functional, thermal and rheological properties of rice flour and its biopolymers structural features. Food Hydrocoll. 2021, 113, 106480. [Google Scholar] [CrossRef]
- Wu, Y.N.; Ye, G.D.; Li, X.N.; Wang, L.P.; Liu, Y.X.; Tan, B.; Shen, W.Y.; Zhou, J. Comparison of quality characteristics of six reconstituted whole wheat flour with different modified bran. LWT 2022, 153, 112543. [Google Scholar] [CrossRef]
- Zou, X.; Wang, X.; Zhang, M.; Peng, P.; Ma, Q.; Hu, X. Pre-baking-steaming of oat induces stronger macromolecular interactions and more resistant starch in oat-buckwheat noodle. Food Chem. 2023, 400, 134045. [Google Scholar] [CrossRef]
- Zhang, L.L.; Guan, E.Q.; Zhang, K.G.; Zhang, T.J.; Bian, K. The aggregation characteristics of wheat globulin induced by heating and edible salts and its effects on noodle processing quality. LWT 2022, 154, 112803. [Google Scholar] [CrossRef]
- Tenore, G.C.; Campiglia, P.; Giannetti, D.; Novellino, E. Simulated gastrointestinal digestion, intestinal permeation and plasma protein interaction of white, green, and black tea polyphenols. Food Chem. 2015, 169, 320–326. [Google Scholar] [CrossRef]
- Inada, K.O.P.; Silva, T.B.R.; Lobo, L.A.; Domingues, R.M.C.P.; Perrone, D.; Monteiro, M. Bioaccessibility of phenolic compounds of jaboticaba (Plinia jaboticaba) peel and seed after simulated gastrointestinal digestion and gut microbiota fermentation. J. Funct. Foods 2020, 67, 103851. [Google Scholar] [CrossRef]
- Al-Dabbas, M.M.; Al-Ismail, K.; Kitahara, K.; Chishaki, N.; Hashinaga, F.; Suganuma, T.; Tadera, K. The effects of different inorganic salts, buffer systems, and desalting of Varthemia crude water extract on DPPH radical scavenging activity. Food Chem. 2007, 104, 734–739. [Google Scholar] [CrossRef]
- Gutierrez-Grijalva, E.P.; Angulo-Escalante, M.A.; Leon-Felix, J.; Heredia, J.B. Effect of In Vitro Digestion on the Total Antioxidant Capacity and Phenolic Content of 3 Species of Oregano (Hedeoma patens, Lippia graveolens, Lippia palmeri). J. Food Sci. 2017, 82, 2832–2839. [Google Scholar] [CrossRef] [PubMed]
- Bustos, M.C.; Vignola, M.B.; Perez, G.T.; Leon, A.E. In vitro digestion kinetics and bioaccessibility of starch in cereal food products. J. Cereal Sci. 2017, 77, 243–250. [Google Scholar] [CrossRef]
- Tang, M.Y.; Wang, L.Y.; Cheng, X.X.; Wu, Y.W.; Ouyang, J. Non-starch constituents influence the in vitro digestibility of naked oat (Avena nuda L.) starch. Food Chem. 2019, 297, 124953. [Google Scholar] [CrossRef] [PubMed]
- Sasaki, T.; Okunishi, T.; Sotome, I.; Okadome, H. Effects of Milling and Cooking Conditions of Rice on In Vitro Starch Digestibility and Blood Glucose Response. Cereal Chem. 2016, 93, 242–247. [Google Scholar] [CrossRef]
- Shamloo, M.; Jones, P.J.H.; Eck, P.K. Inhibition of Intestinal Cellular Glucose Uptake by Phenolics Extracted from Whole Wheat Grown at Different Locations. J. Nutr. Metab. 2018, 2018, 5421714. [Google Scholar] [CrossRef]
- Liu, S.; Zhao, L.P.; Wang, L.H.; Liu, H. Microstructure-modified products from stone-milled wheat bran powder improve glycemic response and sustain colonic fermentation. Int. J. Biol. Macromol. 2020, 153, 1193–1201. [Google Scholar] [CrossRef]
- Zhang, Y.; Ma, Z.M.; Cao, H.W.; Huang, K.; Guan, X. Effect of germinating quinoa flour on wheat noodle quality and changes in blood glucose. Food Biosci. 2022, 48, 101809. [Google Scholar] [CrossRef]





| Sample | (%) | (%) | Turbidity of the Noodle Soup |
|---|---|---|---|
| DWNs | 165.58 ± 1.87 a | 3.98 ± 0.16 c | 0.072 ± 0.011 b |
| SDWWNs | 154.68 ± 2.26 b | 6.31 ± 0.11 b | 0.085 ± 0.004 b |
| CDWWNs | 140.52 ± 3.04 c | 7.05 ± 0.08 a | 0.111 ± 0.005 a |
| Sample | Breaking Force (N) | Breaking Distance (mm) | Tensile Strength (N) | Extensibility (mm) | Elongation (%) |
|---|---|---|---|---|---|
| DWNs | 0.73 ± 0.05 c | 4.21 ± 0.25 b | 0.16 ± 0.01 c | 24.66 ± 4.29 a | 87.77 ± 14.67 a |
| SDWWNs | 0.90 ± 0.06 b | 4.29 ± 0.18 ab | 0.24 ± 0.02 a | 28.30 ± 5.36 a | 105.92 ± 22.41 a |
| CDWWNs | 0.97 ± 0.08 a | 4.41 ± 0.23 a | 0.21 ± 0.02 b | 25.72 ± 3.35 a | 92.53 ± 11.34 a |
| Sample | Hardness (N) | Springiness | Cohesiveness | Gumminess (N) | Chewiness (N) | Resilience |
|---|---|---|---|---|---|---|
| DWNs | 14.85 ± 0.74 b | 0.89 ± 0.02 ab | 0.76 ± 0.02 c | 11.28 ± 0.66 c | 9.98 ± 0.52 c | 0.36 ± 0.03 c |
| SDWWNs | 21.79 ± 0.84 a | 0.91 ± 0.04 a | 0.81 ± 0.02 a | 17.67 ± 0.79 a | 16.11 ± 1.20 a | 0.49 ± 0.02 a |
| CDWWNs | 21.91 ± 0.98 a | 0.87 ± 0.05 b | 0.78 ± 0.02 b | 17.00 ± 0.70 b | 14.88 ± 1.23 b | 0.43 ± 0.02 b |
| Sample | C∞ (%) | k (min−1) | AUC | HI (%) | eGI |
|---|---|---|---|---|---|
| White bread | 80.23 ± 0.66 a | 0.033 ± 0.002 a | 12,042.91 ± 18.74 a | 100.00 ± 0.00 a | 94.40 ± 0.00 a |
| DWNs | 69.68 ± 1.51 b | 0.027 ± 0.003 b | 9923.35 ± 41.64 b | 82.40 ± 0.35 b | 79.23 ± 0.30 b |
| SDWWNs | 60.76 ± 0.38 c | 0.025 ± 0.001 b | 8546.87 ± 73.02 d | 70.97 ± 0.61 d | 69.37 ± 0.52 d |
| CDWWNs | 61.80 ± 1.21 c | 0.027 ± 0.001 b | 8845.60 ± 82.84 c | 73.45 ± 0.69 c | 71.51 ± 0.59 c |
Disclaimer/Publisher’s Note: The statements, opinions and data contained in all publications are solely those of the individual author(s) and contributor(s) and not of MDPI and/or the editor(s). MDPI and/or the editor(s) disclaim responsibility for any injury to people or property resulting from any ideas, methods, instructions or products referred to in the content. |
© 2022 by the authors. Licensee MDPI, Basel, Switzerland. This article is an open access article distributed under the terms and conditions of the Creative Commons Attribution (CC BY) license (https://creativecommons.org/licenses/by/4.0/).
Share and Cite
Cai, M.; Shen, C.; Li, Y.; Xiong, S.; Li, F. The Quality Characteristics Comparison of Stone-Milled Dried Whole Wheat Noodles, Dried Wheat Noodles, and Commercially Dried Whole Wheat Noodles. Foods 2023, 12, 55. https://doi.org/10.3390/foods12010055
Cai M, Shen C, Li Y, Xiong S, Li F. The Quality Characteristics Comparison of Stone-Milled Dried Whole Wheat Noodles, Dried Wheat Noodles, and Commercially Dried Whole Wheat Noodles. Foods. 2023; 12(1):55. https://doi.org/10.3390/foods12010055
Chicago/Turabian StyleCai, Mengdi, Chunxia Shen, Yuhui Li, Shuangli Xiong, and Feng Li. 2023. "The Quality Characteristics Comparison of Stone-Milled Dried Whole Wheat Noodles, Dried Wheat Noodles, and Commercially Dried Whole Wheat Noodles" Foods 12, no. 1: 55. https://doi.org/10.3390/foods12010055
APA StyleCai, M., Shen, C., Li, Y., Xiong, S., & Li, F. (2023). The Quality Characteristics Comparison of Stone-Milled Dried Whole Wheat Noodles, Dried Wheat Noodles, and Commercially Dried Whole Wheat Noodles. Foods, 12(1), 55. https://doi.org/10.3390/foods12010055

